Министерство образования и науки Украины
Национальный технический университет
«Харьковский политехнический институт»
кафедра «менеджмента и налогообложения»
КОНТРОЛЬНАЯ РАБОТА
По курсу: Операционный менеджмент
Выполнил:
Дербак Константин Васильевич
Студент 4-го курса
Экономического ф-та
Гр. БФЗ-15 б
з/к №25979
Харьков 2008
Содержание
1.Экономическая сущность проблемы очередей.
2.Соотношение между затратами и пропускной способностью системы обслуживания.
3.Практическое значение очередей.
4.Система массового обслуживания.
5.Входящий поток заявок клиентов.
6.Характеристика очередей.
7.Выход из системы.
8.Модели очередей.
1. Практически в любой ситуации, связанной с очередями, основным является поиск компромиссного решения. Менеджер должен оценить, как соотносятся между собой дополнительная стоимость, необходимая для ускорения процесса обслуживания (например, строительство дополнительных автомобильных полос и посадочных полос в аэропорту, добавление пунктов расчета в универмаге и т.п.), и издержки, связанные с ожиданием в очереди. В реальных условиях принятие компромиссного решения в задачах массового обслуживания часто не такая уж сложная проблема. Так, например, если в результате анализа выясняется, что общее время, которое проводят служащие компании, ожидая очереди к копировальному аппарату, можно использовать на выполнение основных операций, руководству следует сравнить затраты на установку дополнительного ксерокса со стоимостью сэкономленного благодаря этому рабочего времени. Результаты такого анализа легко представляются в денежном выражении, и принятие компромиссного решения в этом случае будет достаточно легкой задачей. В больнице также существует проблема очереди пациентов, которая связана с потребностью в койко-местах. Для решения этой проблемы можно расширить больницу и вычислить стоимость дополнительных койко-мест, сложив стоимости строительства новых помещений, дополнительного оборудования и суммы, на которую повысятся затраты на содержание больных. Но что же будет противовесом стоимости дополнительных койко-мест? В данном случае приходится сталкиваться с тем, что трудно найти денежный эквивалент, отображающий потребность пациента в больничной койке. Действительно, утрачиваемую прибыль больницы оценить можно, но как быть с потерями гуманитарного характера, связанными с неполноценным медицинским обслуживанием? Соотношение между затратами и пропускной способностью системы обслуживания На рис. 5.1 для устойчивого потока клиентов показаны зависимости затрат, связанных с обслуживанием очереди, от увеличения пропускной способности системы обслуживания.
Забиваем Сайты В ТОП КУВАЛДОЙ - Уникальные возможности от SeoHammer
Каждая ссылка анализируется по трем пакетам оценки: SEO, Трафик и SMM.
SeoHammer делает продвижение сайта прозрачным и простым занятием.
Ссылки, вечные ссылки, статьи, упоминания, пресс-релизы - используйте по максимуму потенциал SeoHammer для продвижения вашего сайта.
Что умеет делать SeoHammer
— Продвижение в один клик, интеллектуальный подбор запросов, покупка самых лучших ссылок с высокой степенью качества у лучших бирж ссылок.
— Регулярная проверка качества ссылок по более чем 100 показателям и ежедневный пересчет показателей качества проекта.
— Все известные форматы ссылок: арендные ссылки, вечные ссылки, публикации (упоминания, мнения, отзывы, статьи, пресс-релизы).
— SeoHammer покажет, где рост или падение, а также запросы, на которые нужно обратить внимание.
SeoHammer еще предоставляет технологию Буст, она ускоряет продвижение в десятки раз,
а первые результаты появляются уже в течение первых 7 дней.
Зарегистрироваться и Начать продвижение
Определение оптимальной пропускной способности канала обслуживания При малой пропускной способности канала обслуживания стоимость пребывания в очереди максимальна. По мере увеличения пропускной способности количество клиентов в очереди и время их ожидания сокращаются, что приводит к снижению затрат, связанных с очередями. Аппроксимацию затрат пребывания в очереди часто представляют в виде отрицательной экспоненциальной функции. Затраты на увеличение пропускной способности возрастают равномерно и ступенчато, но для упрощения в данном примере они отображены линейной функцией. Совокупные или суммарные затраты имеют вид U-образной кривой,характерной для задач, связанных с уравновешиванием показателей. Оптимальные затраты соответствуют точке пересечения кривой стоимости пребывания в очереди и затрат на увеличение пропускной способности.
Практическое значение очередей
Прежде чем перейти к подробному рассмотрению основ теории очередей, рассмотрим пробле- му очередей с качественной стороны. На рис. 5.2 показан входящий поток заявок на обслуживание сервисного предприятия (например, банка) и сервисные возможности этого предприятия (например, количество кассиров и банковских служащих по предоставлению ссуд).
Одной из важнейших переменных является объем входящего потока заявок за конкретный период времени работы сервисной системы. В системе предоставления услуг изменение потребительского спроса приводит к изменению объема оказываемых услуг, часто превышая нормальную пропускную способность. Существует несколько способов управления входящими потоками. Так, например, можно намеренно сократить длину очереди (например, отвести несколько площадок в ресторане, специализирующемся на обслуживании в автомобилях); ввести конкретные часы для конкретных категорий посетителей, предложить специальные услуги. Если же говорить о собственно каналах обслуживания, то можно влиять на время обслуживания, используя для этого более быстрые или медленные каналы, разное оборудование, инструментарий, материалы, разное расположение помещений, разное время наладки оборудования и т.д. Существование очередей - это нормальное состояние производственной системы; ими довольно эффективно можно управлять с помощью средств системного менеджмента и
Сервис онлайн-записи на собственном Telegram-боте
Попробуйте сервис онлайн-записи VisitTime на основе вашего собственного Telegram-бота:
— Разгрузит мастера, специалиста или компанию;
— Позволит гибко управлять расписанием и загрузкой;
— Разошлет оповещения о новых услугах или акциях;
— Позволит принять оплату на карту/кошелек/счет;
— Позволит записываться на групповые и персональные посещения;
— Поможет получить от клиента отзывы о визите к вам;
— Включает в себя сервис чаевых.
Для новых пользователей первый месяц бесплатно.
Зарегистрироваться в сервисе
проектирования. Известный исследователь теории очередей профессор Ричард и его коллеги предложили очень полезные рекомендации для управления очередями, основанные на результатах изучения работы банков (врезка "Рекомендации по управлению очередями").
Система массового обслуживания из трех основных компонентов:
• исходной генеральной совокупности пользователей (клиентов)
рассматриваемой сервисной системы;
• сервисной системы;
• сценариев выхода клиентов из сервисной системы (возвратиться обратно в исходную генеральную совокупность или покинуть ее?).
В следующих подразделах все этих три компонента обсуждаются подробнее.
Рекомендации по управлению очередями
Ниже представлены весьма полезные рекомендации для управления очередями, вытекающие из анализа количественных моделей очередей.
1. Определите приемлемое время ожидания для своих клиентов. Сколько готовы ждать ваши клиенты? На основе этой оценки определите требования к операциям.
2. Постарайтесь отвлекать внимание клиентов в процессе ожидания в очереди. Проигрывая музыку, показывая фильм по видео или развлекая клиентов каким-либо еще способом, вы сможете отвлечь их внимание от мыслей о необходимости стоять в очереди.
3. Информируйте клиентов о ситуации. Это особенно важно, если очередь превышает обычные размеры. Объясните клиентам причину сложившейся ситуации и расскажите, что конкретно делается для ускорения процесса обслуживания.
4. Не размещайте служащих, не занимающихся непосредственным обслуживанием клиентов, на виду очереди. Ничто так не раздражает людей в очереди, как вид работников, которые потенциально могли бы их обслуживать, но занимаются другими делами.
5. Разбейте очередь. Если можно выделить группу клиентов, обслуживание которых занимает немного времени, объедините их в отдельную очередь, чтобы их не задерживали те, на работу с которыми потребуется много времени.
6. Подготовьте обслуживающий персонал к работе с людьми, научите его быть вежливым и дружелюбным. Обращение к клиенту по имени или какие-либо другие индивидуальные знаки внимания очень способствуют устранению негативной атмосферы в длинной очереди. (Практическая рекомендация: вместо того чтобы просто учить служащих "быть дружелюбными", психологи советуют указывать, в какие именно моменты следует показывать свое доброе отношение, например улыбаться: при приветствии клиента, при приеме заказа или при расчете у кассы). Тесты с использованием специальных поведенческих моделей подтвердили, что в этом случае клиенты намного позитивнее воспринимают дружелюбное отношение обслуживающего персонала.
7. Стимулируйте посещение предприятия в периоды затишья. Информируйте клиентов времени, когда у вас практически не бывает очередей; сообщайте им и о периодах, когда наплыв посетителей особенно велик. Это позволит вам сгладить нагрузку.
8. Подходите к задаче сокращения очередей с точки зрения перспективы. Разрабатывайте планы альтернативных способов обслуживания клиентов. Если возможно, разработайте планы автоматизации или ускорения процесса обслуживания. Это однако не означает, что автоматизацию следует проводить за счет сокращения индивидуального внимания к посетителям, поскольку некоторые клиенты ждут от сервисного предприятия, кроме всего прочего, еще и доброго отношения.
Входящий поток заявок клиентов
Источником входящего потока заявок в сервисную систему может быть конечная или
бесконечная генеральная совокупность (популяция) клиентов. Такое разграничение необходимо, поскольку анализ конечной и бесконечной генеральных совокупностей основывается на различных исходных предпосылках и проводится с использованием разных уравнений и формул.
Конечная генеральная совокупность
Термином конечная генеральная совокупность (популяция) описывается ограниченная совокупность пользователей, которые время от времени будут создавать очереди. Конечная генеральная совокупность характеризуется тем, что, когда пользователь покидает свое место в исходной совокупности (например, станок ломается и нуждается в ремонте) и число пользователей в исходной генеральной совокупности сокращается на одну единицу, это приводит к снижению вероятности появления следующей заявки на обслуживание. И наоборот, после того как клиент обслужен, генеральная совокупность снова увеличивается и вероятность появления заявки на обслуживание возрастает, так как в будущем этому клиенту вновь может потребоваться данная услуга. Для решения задач такого рода необходим набор формул, отличный от тех, которые применяются при анализе бесконечной генеральной совокупности. Рассмотрим следующий пример. Представьте себе мастерскую, в которой находится шесть станков, обслуживаемых одним ремонтным рабочим. Если ломается один станок, исходная генеральная совокупность уменьшается до пяти станков, и вероятность поломки одного из исправных станков будет, конечно, несколько ниже, чем для шести работающих станков. Если же поломаются сразу два станка и останутся работать только четыре, вероятность следующей поломки снижается еще больше. И наоборот, после того как станок отремонтирован и начинает вновь работать, конечная генеральная совокупность станков увеличивается, увеличивая соответственно вероятность следующей поломки. Модель конечной генеральной совокупности с одним каналом обслуживания, которая может применяться для анализа ситуаций такого характера, представлена в этой главе в табл. 5.1 и 5.2.
Бесконечная генеральная совокупность
Предполагается, что бесконечная генеральная совокупность пользователей настолько велика, что изменение ее размеров вследствие прибытия (т.е. появления клиента, который нуждается в услуге) или возвращения обслуженного клиента в свою исходную совокупность не оказывает существенного влияния на вероятность появления заявки на обслуживание. Если бы в мастерской, в рассмотренном выше примере, было не шесть, а 100 станков, то при поломке одного или двух из них вероятность выхода из строя следующего изменилась бы совсем незначительно, и при анализе ситуации можно было бы с малой погрешностью исходить из предположения, что данная генеральная совокупность практически является бесконечной. Формулы для решения задач, связанных с "бесконечными" очередями, могут применяться, например, при анализе работы врача, обслуживающего 1000 пациентов, или крупного универмага с потоком в 10 тысяч покупателей.
Распределение входящего потока
Для выбора параметров системы управления очередями вначале следует определить способ, с помощью которого ожидающие заявки ( требования) организуются для последующего обслуживания. В формулах для анализа очередей используется такой показатель, как интенсивность входящего потока т.е. количество поступивших заявок за определенный период времени (например, среднее число заявок за полгода). На практике различают равномерное и произвольное распределения поступающего потока заявок. Равномерное распределение входящего потока характеризуется строгой периодичностью, т.е. равными интервалами времени между подряд идущими входящими заявками. В производственных системах такими потоками могут быть только ритмичные процессы и ими можно управлять автоматически. Значительно шире распространено произвольное (переменное) распределение входящих потоков заявок, которое обсуждается ниже. При рассмотрении входящих потоков заявок в сервисную систему следует учитывать два основных момента. Во-первых, необходимо проанализировать интервалы времени между двумя следующими подряд входящими заявками и определить закон их статистического распределения. Обычно принимается, что интервалы между поступающими заявками на обслуживание распределяются экспоненциально. Во-вторых, можно установить определенный период времени Ф и попытаться определить, сколько заявок может поступить в систему за этот период Т. Для этого чаще всего используется распределение Пуассона.
Экспоненциальное распределение
Если заявки на обслуживание поступают в сервисную систему абсолютно произвольно, временные интервалы между соседними заявками распределяются по экспоненциальному закону (рис.5.4).Функция распределения вероятностей в таком случае имеет вид

где - среднее количество заявок, поступающих за определенный период времени.
Интегрируя кривую (5д. 1), т.е. 
, в области положительных значений, можно вычислить
вероятность появления входящих заявок за определенный период времени. Так, например, при условии поступлении в очередь одной заявки в единицу времени можно образовать приведенную ниже таблицу, значения для которой либо получены из формулы , либо взяты из Приложения F. Во втором столбце этой таблицы приведены вероятности того, что следующая входящая заявка поступит более чем через t минут после предыдущей. В третьем столбце приведены вероятности появления следующей входящей заявки в течение t минут (они вычисляются вычитанием из столбца 1 значений столбца 2).

Рис. 5.4. Экспоненциальное распределение

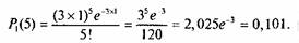
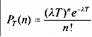
Чтобы найти число поступающих заявок в течение определенного периода Т, необходимо воспользоваться распределением Пуассона, приведенным на рис. 5.5. Оно получено вычислением вероятности появления n событий (заявок) в течение периода Т при условии, что появление событий носит произвольный характер. Закон распределения вероятностей Пуассона описывается формулой Применительно к рассматриваемой проблеме очередей формула (5д.2) отображает вероятность поступления конкретного числа n входящих заявок за определенный период времени T1. так,например, если средняя интенсивность входящего в систему потока равна трем заявкам в минуту
(λ = 3) и нужно определить вероятность того, что в течение минутного периода в систему поступят именно пять заявок (λ = 5, Т= 1), то получаем 
Следовательно, в любой минутный интервал в сервисную систему поступает 5 заявок с вероятностью 10,1%. Распределение Пуассона графически чаще отображается в виде плавной кривой, как, например, показано на рис. 5.5, однако фактически оно дискретно. (Кривая сглаживается в большей мере при увеличении значения п.) Рассматриваемое нами распределение может быть только дискретным, поскольку n в рассматриваемом случае обозначает количество заявок, поступающих в сервисную систему, а следовательно, обязательно должно быть целым числом (например, не может быть 1,5 заявки).
Обратите также внимание, что экспоненциальное и пуассоновское распределения взаимосвязаны. Среднее значение и дисперсия распределения Пуассона одинаковы и равны λ . Среднее значение экспоненциального распределения равно а дисперсия --- . (Нужно помнить, что интервалы между двумя входящими заявками распределяются экспоненциально, а количество заявок в единицу времени - в соответствии с распределением Пуассона.) 1 n!= n(n- 1)(n- 197 )
Другие характеристики входящих потоков
Другими важными характеристиками входящих потоков являются: вид входящего потока, размер единицы входящего потока заявок и уровень терпеливости клиентов (рис. 5.6).
Bug входящего потока
Входящие в систему потоки намного лучше поддаются управлению, чем принято считать. Так, например, парикмахер может снизить интенсивность входящего потока в субботу (и, чаще всего, переместить его на другие дни недели), увеличив цену стрижки взрослого посетителя на 1 доллар или взимая за стрижку ребенка "взрослую" цену. Магазины проводят сезонные распродажи в периоды затишья или однодневные распродажи частично для регулирования потока покупателей. С такой же целью авиалинии предлагают своим пассажирам сезонные скидки и сниженные расценки для туристов. Проще всего управлять входящими потоками, назначив конкретные часы работы предприятия. Однако следует помнить, что в некоторых сервисных организациях спрос неуправляемый, как, например, потребность в неотложной медицинской помощи в городской больнице. Однако даже в таких ситуациях входящими потоками в пункты скорой помощи конкретных больниц в некоторой степени можно управлять, например, информировать водителей машин, работающих в конкретном районе, о степени загруженности разных больниц.
Единица входящего потока
Одиночная заявка рассматривается как единица измерения потока (т.е. наименьшее возможное число). Так, например, одиночная заявка на Нью-йоркской фондовой бирже составляет пакет из 100 акций; одиночная заявка потока на яйцеперерабатывающей фабрике может быть как десяток яиц, так и лоток на 2,5 десятка яиц; одиночная заявка в ресторан --- один посетитель. Групповая заявка включает в себя множество единиц, например, лот акций из 10 пакетов (1000 акций), ящик из лотков яиц или компания из пяти человек, пришедшая в ресторан.
Терпеливой называют заявку клиента, который будет ожидать момента оказания услуги сервисным предприятием столько времени, сколько необходимо. В соответствии с теорией очередей, даже если клиент ведет себя нетерпеливо и выражает свое недовольство, уже тот факт, что он тем не менее продолжает ожидать, позволяет назвать его терпеливым. Существует два типа нетерпеливых входящих потоков. Клиенты (заявки) первого типа прибывают в систему обслуживания, осматривают ее и очередь и решают немедленно уйти. Ко второму типу относятся те, кто прибывает, знакомится с ситуацией, становится в очередь и затем, постояв некоторое время, все же уходит. Поведение первого типа называют неприсоединением к очереди , а второго - переоценкой условий ожидания .
Характеристика очередей
Как уже отмечалось, основными элементами системы массового обслуживания являются очереди (или несколько очередей) и имеющиеся в наличии каналы обслуживания. Ниже описываются основные характеристики очередей и правила управления ими, а также анализируются структуры очередей.
Параметры очередей
Основными характеристиками очередей являются: длина очереди,количество очередей ("хвостов") и дисциплина очереди.
Длина очереди
С практической точки зрения бесконечной называется любая очередь, длина которой по сравнению с пропускной способностью сервисной системы очень велика. Возможными примерами бесконечной очереди могут быть дорожные пробки, растянувшиеся на несколько километров, либо очередь в театральную кассу на несколько кварталов. Автозаправочные станции, загрузочные доки и автомобильные стоянки имеют ограниченную пропускную способность обслуживания очередей, которая регулируется юридическими нормами или техническими возможностями. Ограниченная пропускная способность накладывает отпечаток на управление очередями и одновременно вызывает перераспределение входящего потока. Клиенты, которым было отказано во вхождении в конкретную очередь вследствие недостатка места, могут присоединиться к данной генеральной совокупности позднее, а могут найти другую сервисную систему и выйти из генеральной совокупности рассматриваемой сервисной системы. И такие действия клиентов приводят к совершенно разным результатам.
Количество очередей
Очередь называется однолинейной, если сервисная система работает с одной очередью, выстроенной в одну линию. Многолинейные очереди состоят из двух или нескольких однолинейных очередей, образующихся к двум или нескольким каналам обслуживания. К ним относятся также несколько однолинейных очередей, соединяющихся в определенной точке перераспределения в одну линию. Особенностью многолинейных очередей на перегруженных сервисных предприятиях является то, что они не постоянны и часто смещаются, например, если несколько заявок поступили через короткие интервалы, то одна очередь может оказаться более длинной, чем другие, и клиенты переходят из нее в более короткие. То же самое происходит, если очевидно, что на обслуживание клиентов, стоящих в других очередях, требуется меньше времени.
Дисциплиной очереди называют правило или набор правил, определяющих приоритетный порядок обслуживания клиентов в очереди. Выбранные предприятием правила могут оказать весьма серьезное влияние на общую производительность сервисной системы. От правил назначения приоритета зависит количество клиентов в очереди, среднее время ожидания, диапазон варьирования длины очереди, продуктивность работы сервисного предприятия и многое другое. Наиболее распространенным правилом назначения приоритета является правило первым прибыл, первым обслужен (FirstCome, FirstServed --- FCFS). Согласно ему клиенты в очереди обслуживаются в хронологическом порядке прибытия, и никакие другие характеристики на порядок обслуживания влияния не оказывают. Это правило считается самым справедливым, однако на практике оно зачастую приводит к дискриминации тех клиентов (заявок), время обслуживания которых намного короче времени обслуживания других. Другими примерами правил назначения приоритета являются: первоочередное обслуживание по предварительным заказам, первоочередное обслуживание в случаях крайней необходимости, первоочередное обслуживание наиболее доходных клиентов, первоочередное 200 больших заказов, первоочередное обслуживание постоянных клиентов, первоочередное обслуживание клиентов, ожидавших в очереди наибольшее время, и обслуживание по ближайшей обещанной дате. В реальных условиях могут применяться сразу несколько приоритетов, выстраиваемых в порядке значимости.
При использовании любого из этих правил возникает две основные проблемы практического характера. Первая заключается в том, что о них необходимо проинформировать клиентов с тем, чтобы они могли им следовать, а вторая --- в необходимости создании специальной системы, позволяющей служащим управлять такими очередями (например, ввести номерную систему).
Распределение времени обслуживания
Еще одной важной характеристикой очереди является время, которое клиент или единица потока (заявка) проводит в контакте с каналом обслуживания от начала процесса обслуживания. В рассмотренных выше формулах использовалась интенсивность обслуживания, определяемая как пропускная способность канала обслуживания в количествах единиц потока за определенный период времени (например, 12 завершенных операций в час), а не как время обслуживания, которое для данного примера в среднем составляет пять минут. Если каждое обслуживание имеет одну и ту же продолжительность, то говорят о правиле постоянного времени обслуживания. Соблюдение этого правила (так же как неизменный интервал поступления заявок) чаще присуще только автоматически выполняемым операциям. Если же время обслуживания имеет произвольную величину, то для его описания используют закон экспоненциального распределения. Исходя из него определяют среднее число, обозначаемое м, единиц потока (заявок) или клиентов, которые могут быть обслужены в течение этого периода.
Структура очередей Как ВИДНО из приведенного ниже рисунка, поток заявок, подлежащих обслуживанию, может проходить через одну очередь, через несколько очередей либо через комбинацию этих двух вариантов. Выбор формата структуры частично зависит от количества клиентов (заявок), нуждающихся в обслуживании, и частично --- от ограничений, связанных с конкретным порядком, в котором должно проводиться обслуживание. Одноканальная, однофазовая структура Это самый простой тип структуры очереди и, если входящие потоки и процесс обслуживания описываются стандартными распределениями, то существуют простые формулы для решения соответствующих задач. Если же эти распределения нестандартные, то такие задачи относительно легко решаются с помощью компьютерного моделирования. Типичным примером одноканальной и однофазовой структуры может служить парикмахерская с одним парикмахером.
Одноканальная, многофазовая структура В качестве иллюстрации такой структуры можно привести станцию для мойки автомобилей, поскольку в ходе этого обслуживания выполняется целый ряд сервисных операций в относительно стабильной последовательности: чистка пылесосом, увлажнение, мытье, ополаскивание, сушка, мойка окон и парковка. Основным показателем одноканальной, многофазовой структуры
обслуживания с определенной последовательностью услуг является объем накопления единиц потока (заявок) перед каждой операцией, где также образуются свои отдельные очереди.
Примерами такого типа структуры могут служить очереди к окнам банковских клерков или к кассам в крупных магазинах. Особенностью данной структуры является то, что вследствие неравномерного времени обслуживания каждого клиента очереди продвигаются с разной скоростью. При этом некоторые клиенты, прибывшие в систему позже, обслуживаются раньше тех, кто пришел первым. Это приводит также к определенному перераспределению очередей, произвольно осуществляемому клиентами. Для того чтобы соблюдать правило обслуживания клиентов в хронологическом порядке их прибытия, необходимо предварительно сформировать одноканальную очередь, в которой, как только освобождается один из каналов обслуживания, обслуживается следующий в очереди клиент. Основная проблема такого формата обслуживания состоит в том, что для соблюдения хронологического порядка требуется очень строгий контроль за движением очереди, который дает возможность четко направлять клиентов к освобождающимся каналам обслуживания. В некоторых ситуациях решить эту проблему помогает присвоение клиентам номеров по мере их
входа в систему.
Многоканальная, многофазовая структура
Эта ситуация в общем похожа на описанную в предыдущем разделе, с той лишь разницей, что в определенной последовательности выполняется две или несколько обслуживающих операций. Примером формата такого обслуживания может служить прием пациента в больнице, поскольку эта процедура обычно состоит из ряда этапов: первоначальный контакт с сотрудником приемного отделения, заполнение медицинских карт, получение идентификационных номерков, назначение палаты и отправка в нее пациента и т.д. Поскольку в этом процессе обычно задействовано несколько служащих, одновременно обслуживаются несколько пациентов.
Комбинированная структура
Этот тип структуры подразделяется на две категории: (1) структуры с переходом многоканального обслуживания в одноканальное и (2) структуры альтернативного пути. В первом случае разные очереди сливаются в одну для последующего однофазового обслуживания (как, например, при переходе через мост, когда две очереди объединяются в одну) либо они сливаются в одну очередь для многофазового обслуживания (например, когда комплектующие,поступающие с разных линий по сборке подузлов, поступают на основную сборочную линию). Во втором случае также возникают два варианта, отличающихся требованиями, предъявляемыми к упорядочению потока. Первый вариант напоминает многофазовую многоканальную структуру, но с возможностью перемещения клиентов из одного канала в другой после завершения первой обслуживающей операции. Во втором варианте количество фаз и каналов может варьироваться, но также после выполнения первой обслуживающей операции.
Выход из системы
После обслуживания клиента существует два сценария его выхода из системы: он может вернуться в исходную генеральную совокупность и сразу стать вероятным кандидатом на следующее такое же обслуживание; клиент не возвращается вообще либо вероятность повторного обслуживания его в данной системе очень мала. Для иллюстрации первой ситуации вспомним о станке, который только что отремонтировали после поломки и опять ввели в эксплуатацию, но в любой момент он может поломаться снова. Примером второй ситуации служит станок, который прошел капитальный ремонт или модернизирован и существует небольшая вероятность, что ему в ближайшем будущем снова понадобится такой же капитальный ремонт. Если говорить несерьезно, то первый случай можно назвать "рецидивным насморком", а второй "единовременной аппендэктомией". Очевидно, что если исходная генеральная совокупность является конечной, то любое поступление клиента (заявки) на обслуживание и последующий возврат его в исходную генеральную совокупность влечет за собой изменение параметров интенсивности входящего в сервисную систему потока. Это, разумеется, приводит к изменению характеристик анализируемой очереди и вызывает необходимость их уточнения.
Модели очередей
В этом разделе приведены примеры четырех типов задач анализа очередей с решениями. Все они имеют разную структуру (табл. 5.1), и для их решения применяются разные уравнения (табл. 5.2). Существуют и другие типы моделей, кроме этих четырех, но формулы для их решения слишком сложны, такие задачи обычно решаются с помощью компьютерного моделирования . Кроме того, при использовании представленных здесь формул следует помнить, что они получены при допущении, что анализируемый процесс в данный момент является устойчивым и неизменным. Следовательно, применение их к процессам, в которых интенсивности входящего потока и обслуживания изменяются во времени, может привести к неточным результатам. Далее вашему вниманию представлено краткое описание четырех задач, иллюстрирующих четыре основные модели очередей, характеристики которых перечислены в табл. 5.1 и 5.2. В табл. 5.3 представлена система обозначений, использованных в табл. 5.2.
Задача 1. Количество клиентов в очереди. Руководство банка хочет узнать, сколько клиентов ожидает в очереди к банковскому клерку, обслуживающему автомобилистов прямо в автомобилях; сколько времени им приходится ждать; насколько загружен клерк и какой должна быть интенсивность обслуживания, чтобы 95% времени в системе находилось не больше трех автомобилей.
Задача 2. Выбор оборудования. Франчайзинговое предприятие Robot Car Wash, специализирующееся на мойке автомобилей, должно решить, какое из трех доступных типов оборудования ему следует закупить. Более производительное оборудование стоит дороже, но быстрее обслуживает клиентов. Для принятия решения издержки следует сопоставить с доходам.
Задача 3. Определение необходимого количества каналов обслуживания. Агентству по ремонту автомобилей предстоит принять решение, сколько клерков необходимо нанять для работы с клиентами в офисе. Увеличение числа клерков влечет рост затрат на их содержание, но при этомодновременно возникает экономия вследствие уменьшения простоев механиков.
Задача 4. Конечная генеральная совокупность. Во всех предыдущих задачах рассматриваются ситуации с бесконечными генеральными совокупностями, а при решении задач с конечными очередями используются иные уравнения и формулы. Данная задача заключается в следующем: на фабрике всего четыре ткацких станка, которых в процессе эксплуатации должны обслуживать механики. Необходимо решить, сколько механиков следует нанять на работу с учетом затрат, связанных с простоями станков и затратами на оплату труда механиков.
Для очередей с одним каналом обслуживания этот показатель эквивалентен коэффициенту загрузки.
Пример 5д.1. Количество клиентов в очереди
Банк Western National Bank рассматривает возможность открытия пункта обслуживания клиентов в автомобилях.
Управленческий персонал оценил, что клиенты будут прибывать с интенсивностью 15 автомобилей в час. Клерк, назначенный на эту работу, может обслуживать их со скоростью один автомобиль в каждые три минуты.
Часть 1. Исходя из распределения Пуассона входящих заявок и экспоненциального распределения времени обслуживания, определите следующие значения.
1. Загрузка клерка.
2. Среднее количество клиентов, ожидающих в очереди.
3. Среднее количество клиентов в системе.
4. Среднее время ожидания в очереди.
5. Среднее время ожидания в системе, включая время обслуживания.
Решение.
Часть 1
1. Средняя загрузка клерка будет

2. Среднее количество клиентов, ожидающих в очереди 
3. Среднее количество клиентов в системе 
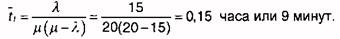
4. Среднее время ожидания в очереди 
5. Среднее время ожидания в системе 
Часть 2. Из-за ограниченности площади, стремясь обеспечить приемлемый уровень обслуживания, банковский менеджер хочет добиться 95%-ной гарантии того, что очередь в системе не будет превышать трех автомобилей. Какая интенсивность обслуживания соответствует данному пределу? Какой уровень загрузки клерка следует обеспечить и какая должна быть интенсивность обслуживания этого служащего, чтобы добиться 95%-ного уровня обслуживания?
Решение. Часть 2
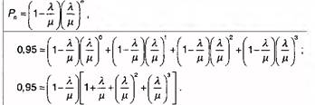
Текущий уровень обслуживания для трех или меньше автомобилей представляет собой вероятность того, что в системе находится 1, 2 или 3 машины. Выбираем из табл. 5.2 для модели 1 расчетную формулу

Это уравнение можно решить методом проб и ошибок, путем подстановки разных значений для λ/μ. Так, при λ/μ = 0,50 получаем 0,5(1+0,5+ 0,25 + 0,125) = 0,9375, т.е. меньше заданного значения 0,95. При λ/μ = 0,45 получим (1 - 0,45)(1 + 0,45 + 0,203 + 0,091) = = 0,96, т.е. больше заданного значения 0,95. При λ/μ = 0,47 находим (1 - 0,47)(1 + 0,47 + 0,221 + 0,104) = = 0,9512, что приблизительно равно 0,95.
Таким образом, именно при загрузке с = λ/μ = 47% вероятность образования в системе очереди, состоящей из трех и меньше машин, составляет 95%.
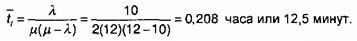
Чтобы узнать, какая интенсивность обслуживания необходима для достижения этого 95%-ного уровня обслуживания, следует просто решить уравнение λ/μ = 0,47, где λ= 15--- интенсивность прибывающих в течение часа клиентов. Это дает значение μ = 32 в час. Таким образом, чтобы иметь 95%-ную уверенность в том, что в системе не будет находиться больше трех автомобилей, банковский клерк должен обслуживать по 32 человека в час (заметьте, что для этого необходимо 60%-ное повышение скорости обслуживания по сравнению с имеющейся, равной всего 20 человек в час). Обслуживание можно ускорить, изменив методы предоставления услуг, добавив еще одного клерка либо ограничив количество банковских операций, доступных в системе обслуживания водителей в автомобилях. Обратите внимание также на то, что при условии 95%-ной уверенности в том, что в системе не будет собираться больше трех автомобилей, клерк будет простаивать 53% времени. Пример 5д.2. Выбор оборудования Компания Robot на франчайзинговой основе предоставляет для эксплуатации комбинированные автозаправочно-автомоечные станции в разных точках США. Если клиент заправляется, его автомобиль моют бесплатно; если же он хочет только вымыть машину, с него взимается плата 0,50 доллара. Прошлый опыт работы показал, что на станцию приезжает практически равное количество тех водителей, которые хотят только вымыть машину, и тех, которые хотят прежде заправить ее. Средняя прибыль от заправки составляет 70 долларов, а стоимость мойки одной машины для компании--- 0,10 доллара. Компания Robot работает по 14 часов в день. Компания Robot предоставляет фирмам, получившим право на эксплуатацию станции, на выбор три типа заправочных блоков и моечных устройств, из которых нужно выбрать один. Оборудование первого типа может мыть по одной машине каждые пять минут и за его аренду необходимо платить 12 долл. в день. Оборудование второго типа несколько мощнее, оно способно работать с интенсивностью один автомобиль за каждые четыре минуты, но стоит оно уже 16 долл. в день. Аренда самого мощного оборудования третьего типа составляет 22 долл. в день, но оно может вымыть машину всего за три минуты. По оценке фирмы, клиенты не намерены ожидать в очереди на мойку машины больше пяти минут. Более длительное время ожидания приведет к потере компанией Robot объемов продаж бензина и прибыли
от мытья машин. Учитывая, что по предварительным оценкам входящий поток клиентов на мытье автомобиля составляет 10 единиц в час, определите, какое моечное оборудование следует выбрать компании.
Решение.При условии, что будет выбрано оборудование 1-го типа, вычислим среднее время ожидания клиентов в очереди на мойку (для оборудования 1-го типа μ = 12 в час). Воспользовавшись уравнениями для модели 2
( табл. 5.2), получаем 
Показатель м для оборудования 2-го типа равен 15, следовательно 
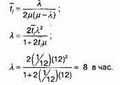
Если единственным критерием является время, которое клиентам приходится проводить в очереди, то компании следует приобрести оборудование 2-го типа. Однако, прежде чем принять окончательное решение, необходимо определить, как отличаются показатели прибыльности обоих видов оборудования. Если приобрести оборудование 1-го типа, то, несомненно, вследствие длительного времени ожидания (12,5 минут) некоторые клиенты не станут в очередь либо сначала станут, но вскоре покинут ее. Кроме
того, хоть это и значительно затрудняет математический анализ, мы можем получить приблизительную оценку потерянных объемов продаж при использовании оборудования 1-го типа. Для этого мы изменим время ожидания на 5 минут 
или 0,12 часа (среднее время, которое готовы ожидать клиенты) и решим
уравнение для λ. Это даст нам показатель интенсивности входящего потока клиентов:

Таким образом, поскольку первоначальный показатель л составлял 10 клиентов в час, то по предварительным расчетам .Таким образом, поскольку первоначальный показатель л составлял 10 клиентов в час, то по предварительным расчетам получается, что фирма будет терять 2 клиента в час. При этом не полученная компанией прибыль составит:
2 клиента в час х 14 часов х 0,2 (прибыль 0,70 долл. за заправку + прибыль 0,40 долл. за мойку) = 15,40 долл. в день. Таким образом, поскольку дополнительные затраты на приобретение оборудования 2-го типа по сравнению с оборудованием 1-го типа составляют всего 4 долл. в день, потеря 15,40 долл. в день несомненно указывает на то, что приобретать следует оборудование 2-го типа. Кроме того, данное оборудование удовлетворяет исходному требованию относительно предельного времени ожидания, которое составляет 5 минут. Вариант же приобретения оборудования 3-го типа не рассматривается вообще, во всяком случае до того, пока специалисты не спрогнозируют увеличение входящего потока.
Пример 5д.З. Определение количества каналов обслуживания
В автосервисном отделе компании Glenn-Mark Auto Agency механики, которым понадобились запасные части для ремонта и технического обслуживания автомобилей, предоставляют бланки-заявки в отдел запасных частей. Клерк отдела заполняет эти заявки в присутствии механика. Механики приходят произвольно (распределение Пуассона), со средней интенсивностью 40 человек в час; клерк способен заполнить 20 заявок в час (экспоненциальное распределение). Если стоимость труда клерка составляет 6 долл. в час, а стоимость труда механика--- 12 долл. в час, определите оптимальное количество клерков для обслуживания механиков. (Поскольку интенсивность входящего потока велика, можно исходить из предположения, что источник бесконечный.)
Решение
Для начала предположим, что будут работать три клерка, поскольку при одном или двух служащих будут образовываться бесконечно длинные очереди (исходя из того, что λ = 40, а μ = 20). В данном случае будут использованы уравнения для модели 3 (см. табл. 5.2). Но сначала необходимо получить среднее количество клиентов в очереди, для чего следует воспользоваться табл. 5.4. Воспользовавшись этой таблицей и выбрав значения λ/μ = 2 и М= 3, получаем значение n, = 0,8888 (механика).Таким образом, мы видим, что в среднем очередь на протяжении дня состоит из 0,8888 механика. Следовательно, если исходить из того, что рабочий день механика составляет 8 часов, а его работа стоит 12 долл. в час, получаем потери рабочего времени в долларовом выражении: 0,8888 механиках 12 долл. в день ч 8 часов = 85,32 долл.
Следующий этап заключается в определении времени ожидания в очереди при наличии еще одного клерка. Затем можно будет сравнить дополнительные затраты на использование дополнительного служащего со временем, сэкономленным механиками в результате его найма. В данном случае следует опять воспользоваться табл. 5.4, но выбрать показатель М = 4: n, = 0,1730 (механика в очереди). Получаем, что в этом случае затраты на одного механика, ожидающего в очереди, составят 0,1730 х 12 долл. ч 8 часов = 16,61 долл. Стоимость времени, сэкономленного механиками в результате введения дополнительного клерка: 85,32 долл. - 16,61 долл. = 68,71 долл.
Затраты на дополнительного клерка:
8часовх6долл.вчас=48долл. Сокращение затрат в результате ввода дополнительного клерка: 68,71 долл. - 48 долл. = 20,71 долл.
Данную задачу можно расширить, если учесть стоимость найма дополнительных рабочих, доставляющих запасные части механикам; в этом случае необходимо определить количество этих рабочих. Однако в таких условиях нужно также учесть дополнительную стоимость времени, потерянного вследствие ошибок в заявках на запасные части. Ведь если механик может определить, что для него выписана не та запасная часть, еще стоя у стойки клерка, то рабочий-подносчик такой возможности не имеет.
Пример 5д.4. Источник конечной генеральной совокупности Анализ работы четырех ткацких станков на текстильной фабрике компании Loose Knit показал, что в среднем каждая машина ежечасно нуждается в наладке и наладчику требуется на эту работу в среднем 7,5 минут. Исходя из распределения Пуассона входящего потока и экспоненциального распределения времени обслуживания, а также из того, что простой станка обходится в 40 долл. в час, определите, не следует ли компании нанять второго наладчика (при условии, что его скорость наладки также будет составлять 7,5 минут). Труд рабочего-наладчика оплачивается по 7 долл. в час.
Решение Эта задача связана с конечными очередями и решается она с использованием специальных таблиц параметров конечной генеральной совокупности, аналогичных табл. 5.5. В данном примере необходимо сравнить стоимость простоя станков (как во время ожидания наладки, так и в процессе обслуживания) и затраты на одного наладчика со стоимостью простоя станков и затратами на двух рабочих. Для этого следует определить среднее количество станков в сервисной системе и умножить это число на стоимость простоя в час. К полученному значению добавляются затраты на рабочую силу.
Прежде чем приступить к расчетам, следует привести условные обозначения параметров,
принятых в табл. 5.5 :
N--- количество станков в генеральной совокупности (размер популяции);
М --- количество наладчиков;
T--- время, необходимое для обслуживания одного станка;
U --- среднее время эксплуатации станка между двумя очередными наладками;
X--- коэффициент обслуживания или доля времени обслуживания каждого станка (X=T/(T+U);
L --- среднее число станков, пребывающих в очереди на обслуживание;
H--- среднее количество станков, находящихся в процессе обслуживания.
На основе параметров, приведенных в табл. 5.5, необходимо определить следующие значения: D --- вероятность того, что станку, нуждающемуся в наладке, придется ждать своей очереди на обслуживание; F--- коэффициент эффективности ожидания в очереди на обслуживание.
Таблица параметров конечной генеральной совокупности составляется исходя из трех
переменных: N (размер генеральной совокупности); X (коэффициент обслуживания); М
(количество каналов обслуживания, в данной задаче --- наладчиков). Чтобы найти нужное
решение, вначале следует составить таблицу, соответствующую конкретному размеру популяции N; затем из первого столбца определить соответствующее значение X и, наконец, из второго столбца найти нужную строку для М. То же самое необходимо проделать для D и F. (Другие параметры конечной генеральной совокупности определяются по специальным формулам.) В рассматриваемой задаче необходимо проанализировать две ситуации: с одним и с двумя наладчиками.
Ситуация 1. Один наладчик
Из условий задачи известно следующее:
N=4;М=1;Т=7,5минут;U=60минут. Сразу определяем коэффициент обслуживания: 
В табл. 5.5, содержащей параметры для популяции Л/ = 4, величинам Х= 0,111 и М- 1 примерно соответствует значение F = 0,957. Количество станков, ожидающих в очереди на обслуживание, выраженное значением L, составит: L=N(1-F)=4(1-0,957)=0,172станка.
Количество станков, находящихся в процессе обслуживания, составит:
H = FNX = 0,957 (4) (0,111) = 0,425 станка. В табл. 5.6 сравниваются потери от простоя станков с затратами на оплату труда рабочих-наладчиков.
Ситуация 2. Два наладчика Из табл. 5.5 получаем, что при Х= 0,111 и М = 2 будет F = 0,957. Количество станков, ожидающих в очереди, составит:
L = N (1 - F) = 4 (1 - 0,998) = 0,008 станка. Количество станков, находящихся в процессе
обслуживания, равно: H = FNX = 0,998 (4) (0,111) = 0,443 станка. Потери от простоя станков и на оплату труда двух наладчиков показаны в табл. 5.6. Из данных
последнего столбца очевидно, что фабрике нанимать второго наладчика не выгодно.
Литература:
1.Производственный и операционный менеджмент. Чейз Р. Б., Эквилайн Н.Дж., Якобс Р.Ф. 8-е изд..Пер. с англ. –М.: Изд. Дом «Вильямс», 2004-704 с.
|