МИНИСТЕРСТВО ОБРАЗОВАНИЯ И НАУКИ РОССИЙСКОЙ ФЕДЕРАЦИИ
ФЕДЕРАЛЬНОЕ АГЕНТСТВО ПО ОБРАЗОВАНИЮ
Государственное образовательное учреждение высшего профессионального образования
Кафедра бухгалтерского учета, анализа и аудита
КУРСОВАЯ РАБОТА
по дисциплине
Бухгалтерский управленческий учет
на тему
Принятие управленческих решений по ценообразованию
Студентки
Тимкаевой Анастасии Александровны
Самара 2009г.
Содержание
Введение
1. Экономическая теория ценообразования
2. Принципы и факторы ценообразования
3. Виды издержек в процессе формирования цен
4. Стратегии установления цен на новые товары. Основные подходы к ценообразованию
5. Ценообразование при наличии переменных издержек
6. Ограничения при ценообразовании в зависимости от величины издержек
7. Использование в ценообразовании зависимости прибыли от объема производства
8. Издержки будущего периода, принимаемые в расчет при оценках
Заключение
Список литературы
Введение
Цены являются активным инструментом формирования структуры производства, оказывают решающее воздействие на движение общественного продукта, способствуют повышению эффективности производства, влияют на распределение и использование рабочей силы, предопределяют жизненный уровень населения. Рыночная экономика основывается на самостоятельных, экономически обоснованных товаропроизводителях, а для них цены - решающий фактор результатов производственной и финансовой деятельности фирмы. Рынок диктует условия выживания. Поэтому правильно выбранная ценовая политика, грамотная тактика формирования цен, экономически выверенные методы ценообразования составляют основу успешной деятельности любого предприятия, независимо от форм собственности. Политика ценообразования предопределяет как краткосрочные, так и долгосрочные показатели прибыльности деятельности компании. В краткосрочном периоде ценообразование оказывает самое большое влияние на показатели прибылей и убытков. Обычно эффективное ценообразование – единственный способ, с помощью которого руководство имеет возможность практически мгновенно добиться увеличения получаемой компанией прибыли.
Еще более важное значение приобретает политика ценообразования компании в долгосрочном периоде. Основная цель стратегии – предложение покупателям такого товара, ценность которого позволяла бы компании назначить на него цену, превышающую издержки. Компании стремятся обеспечить конкурентоспособность товаров посредством инноваций, повышения качества, скорости доставки, уровня сервиса и других усовершенствований, а не за счет снижения цен и рентабельности.
Забиваем Сайты В ТОП КУВАЛДОЙ - Уникальные возможности от SeoHammer
Каждая ссылка анализируется по трем пакетам оценки: SEO, Трафик и SMM.
SeoHammer делает продвижение сайта прозрачным и простым занятием.
Ссылки, вечные ссылки, статьи, упоминания, пресс-релизы - используйте по максимуму потенциал SeoHammer для продвижения вашего сайта.
Что умеет делать SeoHammer
— Продвижение в один клик, интеллектуальный подбор запросов, покупка самых лучших ссылок с высокой степенью качества у лучших бирж ссылок.
— Регулярная проверка качества ссылок по более чем 100 показателям и ежедневный пересчет показателей качества проекта.
— Все известные форматы ссылок: арендные ссылки, вечные ссылки, публикации (упоминания, мнения, отзывы, статьи, пресс-релизы).
— SeoHammer покажет, где рост или падение, а также запросы, на которые нужно обратить внимание.
SeoHammer еще предоставляет технологию Буст, она ускоряет продвижение в десятки раз,
а первые результаты появляются уже в течение первых 7 дней.
Зарегистрироваться и Начать продвижение
В современных условиях достаточно редко низкая цена товара выступает как база для создания конкурентного преимущества компании. Жестокая конкуренция на мировом рынке компаний из стран с низкими затратами на рабочую силу и высокой производительностью на ряду с повышающейся неустойчивостью валютных курсов обусловливает быструю потерю ценовых преимуществ. Кроме того, внешние товарные рынки и большое число покупателей не отличаются высокой чувствительностью к ценам, поэтому цена товара – всего лишь один из параметров его ценности. И наконец, на тех товарных ранках, где спрос весьма чувствителен к ценам, конкуренты будут неизбежно снижать цены на товар, чтобы предотвратить существенное сокращение доли рынка, даже если это повлечет за собой убытки.
Многие компании проявляют явную некомпетентность в области установления цен.
Их общая ошибка заключается в образовании цен на основе формулы «издержки плюс …», когда менеджеры не понимают последствий подобных методов, их влияния на прибыль и рыночные возможности компании. Снижение расходов необходимо. Но основным стимулом в данном случае должно служить не установление более низких цен. А получение средств для инвестиций в усовершенствование существующих товаров и разработку новых продуктов. Другая распространенная ошибка – переоценка ценовой эластичности рынка.
В данной курсовой рассмотрим основные вопросы ценообразования, с которыми сталкиваются компании.
1. Как оценивается эффективность стратегии ценообразования?
2. Как устанавливаются цены на этапе выхода на рынок нового товара?
3. Значение издержек в процессе формирования цен?
1. Экономическая теория ценообразования.
Цена и ценообразование являются центральными элементами рыночной экономики. Цены обслуживают весь оборот по приобретению и реализации товаров.
В самом общем виде цена представляет собой сумму денег, которую покупатель уплачивает продавцу за приобретаемый товар. В условиях рыночной экономики цена является характеристикой товара на рынке. В ней концентрируются такие основные понятия рыночной экономики, как потребность, запросы, спрос, предложение и т. д.
Сервис онлайн-записи на собственном Telegram-боте
Попробуйте сервис онлайн-записи VisitTime на основе вашего собственного Telegram-бота:
— Разгрузит мастера, специалиста или компанию;
— Позволит гибко управлять расписанием и загрузкой;
— Разошлет оповещения о новых услугах или акциях;
— Позволит принять оплату на карту/кошелек/счет;
— Позволит записываться на групповые и персональные посещения;
— Поможет получить от клиента отзывы о визите к вам;
— Включает в себя сервис чаевых.
Для новых пользователей первый месяц бесплатно.
Зарегистрироваться в сервисе
Цена является конечным показателем, характеризующим товар, она в равной степени учитывает интересы всех участников процесса товарообмена - производителей и потребителей.
Ценообразование представляет собой процесс формирования цен на товары и услуги. Традиционно выделяются две противоположные модели ценообразования: рыночное ценообразование и централизованное (государственное) ценообразование.
В условиях командного ценообразования установление цены является прерогативной сферы производства. Цены устанавливаются исходя из затрат на производство товара или услуги. Часто это делается даже до начала процесса производства, на плановой основе с непосредственным участием государственных органов. В результате рынок не играет существенной роли в ценообразовании. Он просто фиксирует спрос на уровне заранее заданного размера цен, не влияя на их дальнейшее изменение.
Процесс формирования цен в условиях рыночного ценообразования происходит в сфере реализации продукции. Именно здесь сталкиваются спрос на продукцию или услугу, предложение, полезность предлагаемого товара, целесообразность его приобретения, качество и конкурентоспособность. Произведенный в сфере производства товар или цена на него проходят непосредственную проверку рынка, где формируется окончательная цена товара или услуги.
Принципиальное отличие рыночного ценообразования заключается в том, что цены устанавливаются здесь в соответствии со спросом и предложением самим собственником или производителем товара. Государственные органы могут регулировать цены только на ограниченный круг товаров. Прерогативой государства становится установление «правил игры», общих и подходов к ценообразованию. Перечень товаров, реализуемых по государственным ценам, определяется законодательством. Государственное регулирование цен допускается на продукцию предприятий-монополистов, на товаров и услуги, определяющие масштаб цен в экономике и социальную защищенность отдельных групп населения.
Цены играют важную роль не только в экономике в целом, но и в предпринимательской деятельности отдельных предприятий, т.к. от их уровня зависят конечные результаты их деятельности, в том числе прибыль и рентабельность. Цены выступают основным фактором в решении таких вопросов, как определение рынков сбыта продукции, целесообразности производства товаров или услуги, расчета издержек производства, определения объемов инвестиций.
2. Принципы и факторы ценообразования
Принципы ценообразования
Важнейшими принципами ценообразования являются:
· научная обоснованность цен, т.е. необходимость учета в ценообразовании объективных экономических законов. Научная обоснованность устанавливаемых цен базируется на тщательном сборе и анализе информации о действующих ценах, уровнях издержек, соотношении спроса и предложения, других рыночных факторах. Особое значение приобретает прогнозирование макро- и микроэкономических показателей. Полнота информационного обеспечения процесса ценообразования становится ключевым моментом при обосновании уровня цен;
· целевая направленность цен. Предприятие должно определить, какие конкретные экономические и социальные задачи оно будет решать в результате использования выбранного подхода к ценообразованию;
· непрерывность процесса ценообразования. Согласно этому принципу продукция на каждом этапе ее изготовления имеет свою цену. Кроме того, в реальной рыночной ситуации постоянно вносятся изменения в уровень действующих на рынке цен;
· единство процесса ценообразования и контроля за соблюдением цен. Целью контроля является проверка правильности применения установленных законодательством правил ценообразования. Прежде всего это касается установления цен продукции предприятий-монополистов, а также товаров первой необходимости, имеющих большое социальное значение. За нарушение определенных государством принципов ценообразования предусматриваются административные и экономические санкции.
Цены играют важную роль не только для экономики в целом, но и для предпринимательской деятельности отдельных бизнес-единиц (предприятий), так как от их уровня зависят конечные результаты их деятельности, в том числе прибыль и рентабельность. Цены являются основным фактором при решении таких вопросов, как определение рынков сбыта продукции, целесообразность производства товаров или услуг, расчеты издержек производства и объемов инвестиций.
Факторы, оказывающие влияние на процесс ценообразования
Цена, как уже отмечалось, - это сумма денег, которая уплачивается за товар. Стоимость денег определяется их покупательной способностью, т.е. тем, что на них можно купить. В условиях рыночной экономики изменение покупательной способности денег в определенных пределах происходит постоянно. Существенный рост цен возникает в результате резкого увеличения инфляции и других кризисных явлений, обусловливающих значительное ухудшение макроэкономических показателей и их производных, к которым относятся валовый и национальный продукт, внешний и внутренний долг страны, дефицит и реальный размер бюджета, размер эмиссии, ставки кредитования, котировки на фондовых и валютных рынках. На рост цен влияют также и иные факторы: уровень совершенства налоговой системы и развития законодательной базы, существование теневого бизнеса и коррупции, преступности, безработицы, уровень и продолжительность жизни, происходящие политические события, состояние мировой экономики и др.
Установление цены - это трудный и сложный процесс, требующий учета большого количества факторов. Одним из факторов, влияющих на формирование цены, является экономическая ценность товара. В сфере ценообразования под экономической ценностью блага для покупателя или ценностью, проявляющейся при обмене, понимается оценка желаемого блага, которая в денежном выражении превышает его цену. С этой точки зрения ценность можно реально измерить на основе соотношения полезности и цены благ, которые являются доступными покупателям альтернативами. Таким образом, под общей экономической ценностью товара понимается цена лучшего из доступных потребителю альтернативных товаров (цена безразличия) плюс ценность для него тех свойств товара, которые отличают его от этой лучшей альтернативы (ценность отличий).
Формирование общей экономической ценности товара для потребителя можно описать с помощью следующей формулы:
общая ценность = цена безразличия + положительная ценность отличий - отрицательная ценность отличий.
Иными словами, определяя для себя ценность товара, покупатель в качестве отправной точки принимает цену наилучших из реально доступных ему разновидностей товаров других фирм, удовлетворяющих ту же потребность. Процедура расчета экономической ценности товара может быть достаточно строго формализована и стать основой для надежных количественных оценок. Практически эта процедура состоит из четырех основных этапов: определения цены безразличия, установления отличий, оценки значимости отличий с позиций потребителя, суммирования цены безразличия с оценками отличий.
Этап 1 - определение цены (или затрат) того блага (товара или технологии), которое покупатель склонен рассматривать как лучшее из реально доступных ему альтернатив. На этом этапе следует функционально соизмерить и определить цену, которую покупатель уплатит, если приобретет функционально соизмеримое количество товаров, предложенных конкурентами.
Этап 2 - определение всех параметров, которые отличают товар как в лучшую, так и в худшую сторону от альтернативного. Наиболее часто анализируются следующие параметры:
· функционирование;
· надежность;
· число (большее или меньшее) полезных свойств;
· содержание полезных (вредных) веществ;
· затраты на обслуживание;
· затраты на ввод в эксплуатацию;
· техническое обслуживание.
Этап 3 - оценка значимости отличий параметров товара и его альтернатив с позиций покупателя. На этом этапе отличия товара необходимо оценить в денежном выражении. Такие оценки могут быть получены разными способами:
· в результате опроса экспертов и продавцов;
· путем проведения пробных продаж и опросов покупателей с использованием специальных методик;
· на основе расчетов экономической эффективности (когда речь идет о параметрах товара, способных напрямую сократить затраты покупателя).
При этом необходимо помнить, что масштаб количественных изменений уровня того или иного потребительского параметра товара по сравнению с параметрами альтернативных товаров вовсе не обязательно совпадает с масштабом изменения выгоды от его использования покупателем и, соответственно, с изменением той суммы денег, которую он согласен заплатить за получение этого товара.
Этап 4 - суммирование цены безразличия и оценок положительной и отрицательной ценности отличий товара от его альтернатив. При этом обычно рекомендуется устанавливать цену ниже верхней границы экономической ценности, чтобы усилить интерес потребителя к товару.
Кроме того, на ценообразование воздействуют многочисленные факторы внешней и внутренней среды, поэтому все остальные технико-экономические параметры анализируют и прогнозируют в основном для определения цены производимых товаров и услуг. В реальных условиях цены формируются под воздействием двух групп факторов - внутренних и внешних. Иными словами, в процессе определения цены на предприятии необходимо учитывать информацию как о рынке (внешние факторы), так и о затратах (внутренние факторы).
Внутренние факторы
Внутренние факторы обязательно должны учитываться при ценообразовании. Они связаны непосредственно с деятельностью самого предприятия (фирмы). Наиболее существенным из этих факторов является себестоимость. Поэтому при определении цены необходимо сопоставлять величину затрат с возможностью их покрытия. Выживаемость фирмы зависит от степени покрытия не только текущих расходов, но и расходов, связанных с капитальными вложениями, рассчитанными на длительный период. К внутренним факторам относятся:
· особые свойства товара;
· вид и способ производства (его трудоемкость, качество материалов и труда);
· мобильность производства;
· себестоимость продукции;
· рекламное обеспечение;
· ориентация на сегменты рынка;
· жизненный цикл товара;
· длительность цикла товародвижения;
· организация сервиса;
· репутация предприятия (фирмы) на рынке.
Необходимо принимать во внимание, что товар, обладающий особыми свойствами, уникальными характеристиками, будет иметь более высокую цену, отражающую его качество. Таким образом, цена товара во многом зависит от масштаба производства. Вид и способ производства определяют серийность выпуска продукции. Как правило, мелкосерийная продукция, а тем более уникальная, единичная, имеет более высокие себестоимость и цену. Затраты на выпуск товаров массового производства, как правило, незначительные, поэтому на них устанавливаются относительно низкие цены. Освоение предприятием нескольких сегментов рынка обусловливает дифференциацию цен с целью удовлетворения потребностей различных категорий покупателей, имеющих разные доходы.
Продолжительность и стадия жизненного цикла товара также оказывают влияние на уровень цены. Обычно продукция имеет более высокую цену при коротком жизненном цикле и относительно низкую - при длительном. Рост числа посредников в цепочке "производитель - потребитель", приводит к существенному увеличению конечной цены товара. Имидж предприятия, отлаженный сервис и послепродажное обслуживание позволяют устанавливать более высокие цены.
Внешние факторы
Внешние факторы не зависят от деятельности предприятия и учитывают изменения общеэкономических процессов, условий в стране и за ее пределами. Внешние факторы определяются рынком, на котором работает фирма. Если на рынке существует сильная конкуренция, имеется большое количество товаров аналогичного качества, то фирма для его завоевания обычно устанавливает более низкие цены, иногда даже меньше полной себестоимости.
Если фирма начинает производство совсем новой и в какой-то степени уникальной продукции, то при установлении цены она может не учитывать рыночную конкуренцию, но должна иметь в виду, что покупателю надо привыкнуть к новому продукту, поэтому ее задачей становится формирование покупательского спроса. И в этом случае цены, устанавливаемые на продукцию, должны быть достаточно гибкими. Таким образом, для принятия окончательного решения по установлению цены необходимо хорошо знать положение на рынке, т.е. потребности покупателя.
Структура внешних факторов может быть представлена следующим образом:
· политическая стабильность в стране;
· обеспеченность основными ресурсами;
· масштабы государственного регулирования экономики и, соответственно, цен;
· общий уровень инфляции;
· внешнеэкономическая политика государства;
· совершенство налогового законодательства;
· характер спроса на продукцию (предпочтение потребителем высокого качества или низкой цены; сезонность покупательского спроса).
Факторы внешней среды, влияющие на процесс ценообразования на предприятии, можно представить в виде четырех основных групп: потребители, рыночная среда, участники каналов товародвижения, государство.
I. Потребители. Они существенно влияют на деятельность предприятий в области ценообразования. Для того чтобы правильно реагировать и учитывать поведение потребителей, предприятию необходимо обладать определенными знаниями об общих закономерностях и особенностях их поведения на рынке. Прежде всего необходимо обращать внимание на психологические аспекты поведения покупателей: потребности, нужды, запросы, мотивацию при выборе товара или услуги, способы потребления, отношение к продукции и появлению новых предложений, чувствительность к ценам и качеству товаров или услуг.
Помимо психологических существуют и экономические аспекты поведения потребителей: покупательская способность, бюджетные ограничения и их связь с потребительскими предпочтениями. В связи с тем что бюджет покупателя ограничен, а цены постоянно подвержены изменениям, он всегда стоит перед выбором: как использовать свой бюджет самым рациональным образом, какой товар покупать, а какой нет. Согласно теории предельной полезности и потребительского выбора покупатель предпочтет тот товар, который в наибольшей степени соответствует его личному представлению о полезности предстоящей покупки с учетом финансовых возможностей.
II. Рыночная среда
. Это понятие является очень сложным и многогранным, так как рыночная среда формируется под влиянием большого количества экономических, политических и культурных факторов. Обычно выделяют четыре основные модели рынка: чистой конкуренции, монополистической конкуренции, олигополии, чистой монополии.
С точки зрения ценообразования основной отличительной чертой этих типов рынка является степень влияния предприятия на установление рыночной цены. Максимально оно сказывается в условиях монополии, а минимально - при совершенной конкуренции. Цена на рынке может контролироваться отдельной фирмой, группой фирм, государством и самим рынком.
III. Участники каналов товародвижения
. Товародвижение - это процесс, обеспечивающий доставку товаров конечному потребителю. Известно, что существуют три основных вида его каналов:
· прямые (товары и услуги доставляются конечному потребителю без участия посредников);
· косвенные (товары и услуги доставляются конечному потребителю с помощью одного или нескольких посредников);
· смешанные (когда объединяются особенности первых двух видов каналов).
С точки зрения ценообразования интерес представляет влияние участников каналов товародвижения на возрастание цены. Чем большее количество посредников находится между производителем товара и его конечным потребителем, тем значительнее розничная цена будет выше отпускной, первоначальной цены предприятия - изготовителя данной продукции. В итоге это ограничит спрос на товары или услуги, что в свою очередь приведет к снижению цен и тем самым будет способствовать оптимизации каналов товародвижения. Вместе с тем в результате мультипликационного эффекта может сложиться прямо противоположная ситуация: при росте цен будет наблюдаться неограниченный спрос, так как в движение придет инфляционная спираль "цены - заработная плата".
IV. Государство
. Можно выделить три формы влияния государства на ценообразование: фиксацию цен; регулирование цен за счет установления их предельных уровней; регулирование системы свободного ценообразования.
1. Фиксация цен. Государство применяет следующие основные способы фиксации цен: использование прейскурантных цен; фиксирование монопольных цен; замораживание цен.
Использование прейскурантных цен. Прейскуранты цен товаров и услуг - это официальные сборники цен и тарифов, утверждаемые и издаваемые министерствами, ведомствами, государственными органами ценообразования. Количество цен, фиксируемых в прейскурантах, может быть очень разным: близким к 100% в условиях жесткого тотального контроля государства за уровнем цен и незначительным, практически близким к нулю при преимущественно рыночном способе ценообразования. Обычно с помощью прейскурантов регулируются цены продукции предприятий-монополистов: электроэнергии, газа, нефти, коммунальных услуг, транспорта. Цены данной продукции вызывают мультипликационный эффект в экономике, поэтому их фиксация на определенном уровне способствует стабилизации цен во всех других сферах и, соответственно, экономической ситуации в целом. Самым трудным моментом является установление уровня, на котором должна быть зафиксирована цена в прейскуранте. Фиксация цен на уровне выше рыночной приводит к состоянию избытка предложения на рынке, а ниже - к дефициту.
Фиксирование монопольных цен. Государство фиксирует цены предприятий, занимающих доминирующее (монопольное) положение на рынке, которое позволяет им существенно влиять на конкуренцию, доступ на рынок и уровень цен, что в итоге ограничивает свободу действий других участников рынка. Решить вопрос о том, является ли данное предприятие доминирующим или нет, помогает антимонопольное законодательство. В соответствии с российским законодательством предприятие занимает доминирующее положение, если его доля на рынке составляет от 35 до замораживания цен. Данный подход используется в случае возникновения диспропорций в ценах или кризисных ситуаций в экономике и осуществляется исключительно в целях стабилизации положения. Применение замораживания цен считается целесообразным только в краткосрочном периоде.
2. Регулирование цен за счет установления предельных уровней цен (установление верхнего или нижнего лимита цен) представляет собой введение фиксированных коэффициентов по отношению к прейскурантным ценам, установление предельных надбавок, регламентация основных параметров, влияющих на формирование цены (порядок формирования издержек, максимальный размер прибыли, размер и структура налогов), установление и регулирование цен на продукцию и услуги государственных предприятий.
3. Регулирование системы свободного ценообразования осуществляется посредством законодательного регламентирования ценообразовательной деятельности участников рынка для ограничения недобросовестной конкуренции. Данный метод воздействия государства на процесс ценообразования заключается в установлении ряда запретов: на демпинг, недобросовестную ценовую рекламу, вертикальное, а также горизонтальное фиксирование цен.
Запрет на демпинг - это запрет на продажу товара ниже его себестоимости с целью устранения конкурентов. На практике данный запрет особенно актуален, если на рынке имеется лидер, стремящийся вытеснить конкурентов или не допустить их проникновения на данный рынок. Кроме того, этот запрет широко применяется в практике международной торговли, так как он позволяет предотвратить проникновение на рынок агрессивных импортеров продукции, имеющих низкие издержки производства.
Запрет на недобросовестную ценовую рекламу - это запрет на такую рекламу, которая создает у потребителей иллюзию снижения цен с целью привлечения их внимания к товару.
Запрет на вертикальное фиксирование цен - это запрет на диктат цен производителями посредникам, оптовой и розничной торговле.
Запрет на горизонтальное фиксирование цен - это запрет на соглашение между несколькими производителями о поддержании цен продукции на определенном уровне в случае, если их совокупная доля рынка будет обеспечивать этим производителям доминирующее положение на нем. Подобное ограничение особенно актуально в условиях олигополистического рынка. Однако его легко можно проигнорировать, если, например, предприятия-олигополисты договорятся между собой не о единой цене, а о единой методике исчисления затрат и определения цены конечной продукции.
3. Виды издержек в процессе формирования цен
Традиционно существуют две основных схемы вычисления цены на продукцию: исходя из издержек на производство и исходя из возможностей рынка (покупательной способности). Первый способ называется ценообразование по издержкам, второй — ценообразование по спросу. Третьим, менее распространенным, но тоже важным способом является ценообразование, основанное на ценах на конкурентную продукцию. Далее в своем докладе я попытаюсь остановится именно на методах вычисления издержек производства, спроса и анализе цен конкурента.
Как правило, именно затратная составляющая цены является основной и самой большой по абсолютному значению Себестоимость продукции представляет собой стоимостную оценку используемых в процессе производства продукции природных ресурсов, сырья, материалов, топлива, энергии, основных фондов, трудовых ресурсов, а также других затрат на ее производство и реализацию. В состав себестоимости включаются следующие виды затрат.
Основными затратами при производстве продукции являются затраты, непосредственно связанные с производством продукции, обусловленные технологией и организацией производства, включая расходы на обеспечение качества. Важными оказываются и затраты, связанные с отчислениями на заработную плату, с обслуживанием производственного процесса, с управлением производством, с совершенствованием технологии, повышением качества и надежности продукции, с обеспечением нормальных условий труда и техники безопасности, с подготовкой и переподготовкой кадров и т.д. К затратам, связанным непосредственно с производством относятся и затраты на воспроизводство основных производственных фондов (амортизационные отчисления).
Планируя коммерческую деятельность не стоит забывать и о затратах, связанных с особенностями местного законодательства. Это могут быть налоги, предусмотренные законодательством о труде и коммерческой деятельности, пошлины, сборы на содержание и эксплуатацию природоохранных сооружений, платежи по обязательным (установленным законом) видам страхования, по кредитам банка, отчисления в специальные фонды. К этой же группе относятся и затраты на выплату установленных законом пособий денежные пособия в установленном законом порядке.
На окончательной стоимости товара при правильном маркетинге должны отражаться и возможные потери от брака и недостачи при отсутствии виновных лиц, и затраты на гарантийный ремонт, обслуживание, и потери от простоев по внутрипроизводственным причинам,
Вышеизложенное деление издержек носит тематический характер, существует и чисто экономическое. Издержки по разным признакам делятся на различные группы. Издержки могут быть явными и вмененными, постоянными и временными. Как производные от этих категорий существуют валовые, средние и предельные издержки.
Теперь несколько слов о каждой из этих групп издержек.
К явным относятся все издержки фирмы на оплату используемых факторов производства. Классическими факторами производства являются труд, земля (естественные ресурсы) и капитал. Так или иначе, все явные затраты фирмы в конечном счете сводятся к возмещению использованных факторов производства. Сюда входит оплата труда в виде заработной платы, земли в виде аренды, капитала в виде расходов на основные и оборотные фонды, а также оплата предпринимательских способностей организаторов производства и сбыта. Сумма всех явных издержек выступает как себестоимость продукции, а разница между рыночной ценой и себестоимостью — как прибыль.
Однако сумма производственных издержек, если в них включать только явные издержки, может быть заниженной, и прибыль, соответственно, завышенной. Для более точной картины, с тем чтобы принятие фирмой решения о начале или развитии производства было обоснованным, в издержки следует включать не только явные, но и скрытые (вмененные) затраты.
Вмененными называются альтернативные издержки (альтернативная стоимость) использования ресурсов, являющихся собственностью фирмы. Эти издержки не входят в платежи фирмы другим организациям или лицам. Их еще можно назвать издержками потерянной возможности. С ними сталкиваются не только субъекты, занимающиеся хозяйственной деятельностью, но и физические личности, когда делают выбор между самостоятельным решением проблемы (соответственно с потерей времени, в течение которого они могли бы вести другую полезную и выгодную деятельность) и обращением за помощью к третьим лицам (фактически покупкой этого решения). Таким образом, важнейшим фактором в этой ситуации оказывается разница между потерями и затратами. Когда потери больше затрат, имеет смысл купить услугу (товар), в противном случае стоит решить проблему самостоятельно. Иными словами, чистая экономическая прибыль определяется разницей между доходом от реализации продукции и всеми (явными и вмененными) издержками.
Бухгалтерская прибыль (финансовая прибыль) представляет собой разность между валовым доходом (выручкой) фирмы и ее явными издержками. Как правило, на практике, руководитель сталкивается именно с этим видом прибыли.
Экономическая прибыль является разницей между валовым доходом (выручкой) и всеми (как явными, так и вмененными) издержками фирмы. Экономическая прибыль заметно отличается от бухгалтерской (номинальной), которая вычисляется как разница между выручкой и издержками. Нормальной экономической прибылью считается прибыль, равная вмененным издержкам, вложенным в дело владельцем фирмы. Основным показателем вмененных издержек традиционно считается размер банковской учетной ставки.
Существует два основных вида явных издержек – постоянные и переменные. К постоянным (FC, англ. fixedcosts).относятся факторы, которые используются фирмой постоянно, независимо от объемов производства и даже независимо от его временного прекращения. К таким издержкам относится аренда помещения, поскольку арендную плату надо платить в любом случае, сколько бы продукции мы ни производили. То же можно сказать и о возмещении банковского кредита, уплате страховых взносов, коммунальных услуг, об амортизационных отчислениях и т.п.
К переменным издержкам фирмы (VC, англ. variablecosts) относят возмещение затрат на выплату заработной платы персоналу, начисляемой в зависимости от выработки, платежи за используемое сырье и материалы, топливо, электроэнергию и т.д. Если производство прекратится, то переменные издержки сократятся почти до нуля, в то время как постоянные издержки останутся на том же уровне. С расширением производства переменные издержки будут возрастать, фирме потребуется больше сырья, материалов, работников и т.п.
В сумме постоянные и переменные издержки составляют общие, или валовые, издержки производства (ТС, англ. totalcost).
Производной категорией от валовых являются средние издержки. Средними (AC англ. averagecost) называются издержки на единицу производимой продукции. Сравнивая средние издержки с ценой продукции, можно получить представление о прибыльности работы фирмы, можно рассчитать средние постоянные (AFC англ. averagefixedcost), средние переменные (AFC англ. averagevariablecost) и средние валовые (AFC англ. averagetotalcost).
Другой, не менее важной категорией являются предельные издержки, расчет которых позволяет определить максимальную эффективность использования производственных фондов. С предельными издержками напрямую связан так называемый закон убывающей отдачи (возрастающих затрат). В соответствии с этим законом непрерывное увеличение использования одного переменного ресурса в сочетании с неизменным количеством других ресурсов на определенном этапе приведет к прекращению роста отдачи от него, а затем и к ее сокращению. Как правило, действие закона предполагает неизменность технологического уровня производства, и поэтому переход к более прогрессивной технологии может повысить отдачу независимо от соотношения постоянных и переменных факторов.
Закон убывающей отдачи применим ко всем видам переменных факторов во всех отраслях. При постепенном введении в производство дополнительных единиц переменного ресурса при условии, что все остальные ресурсы постоянны, отдача от этого ресурса сначала быстро растет, а затем ее прирост начинает снижаться.
Допустим, что фирма в своей деятельности использует только один переменный ресурс — труд, отдачей которого является производительность. По мере загрузки оборудования выпуск продукции быстро нарастает, затем прирост постепенно замедляется до тех пор, пока рабочих станет достаточно для полной загрузки оборудования. Если продолжать нанимать рабочих, они уже ничего не смогут добавить к объему производимой продукции. В конце концов рабочих станет так много, что они будут мешать друг другу, и выпуск сократится.
Прирост продукции за счет увеличения на единицу количества переменного фактора называется предельным продуктом этого фактора. В данном случае предельным продуктом труда (МРl
англ. marginalproduct) будет прирост объема производства за счет привлечения одного дополнительного рабочего.
Однако фирма в своей деятельности сталкивается в первую очередь не с количеством используемых ресурсов, а с их денежной оценкой: ее интересует не количество нанятых рабочих, а затраты на выплату заработной платы. Как изменятся издержки фирмы (в данном случае на оплату труда) на каждую дополнительную единицу выпускаемой продукции видно в приведенной ниже таблице.
Таблица 1. Издержки и выпуск при одном виде переменных ресурсов
| Численность рабочих, чел. |
Выпуск продукции, шт. |
Издержки фирмы, руб. |
| на выплату зарплаты |
предельные |
1
|
0 |
0 |
— |
| 2 |
5 |
2000 |
400 |
| 3 |
15 |
3000 |
100 |
| 4 |
35 |
4000 |
50 |
| 5 |
50 |
5000 |
66,7 |
| 6 |
60 |
6000 |
100 |
| 7 |
65 |
7000 |
200 |
| 8 |
65 |
8000 |
— |
| 9 |
55 |
9000 |
— |
Наем каждого рабочего обходится фирме в 1000 руб. Один рабочий вообще не в состоянии произвести продукцию, двое рабочих могут произвести 5 единиц, трое рабочих — 15 единиц и т.д. Фирма не будет нанимать восьмого и девятого рабочих, так как восьмой не сможет обеспечить прироста производства, а девятый будет мешать, и производство сократится. Поэтому фирма либо примет решение о расширении производственных площадей, которые позволят эффективно использовать дополнительных рабочих, либо ограничится наймом 2—7 рабочих при уже существующих мощностях. Этот пример характерен для краткосрочного периода деятельности предприятия.
В долгосрочном временном интервале фирма может менять все используемые факторы производства. Иными словами, все издержки будут выступать в качестве переменных. Анализ изменения долгосрочных издержек важен для выбора стратегии фирмы в области масштабов своей деятельности. Например, стоит ли создавать для выпуска заданного объема товаров одно крупное предприятие или несколько мелких? Какой вариант позволит минимизировать издержки? Если размеры нашей фирмы удвоились (построили новое здание, закупили новое оборудование), в какой пропорции изменится объем выпускаемой продукции?
Нивелировать действие закона убывающей отдачи можно только расширив масштабы производства, открыв новый цех с новым оборудованием. На этом новом, более крупном предприятии закон убывающей отдачи начнет действовать при большем объеме. Однако, даже у расширения масштабов производства есть свой предел. В какой момент дальнейшее расширение не только не будет уменьшать издержки, но будет и увеличивать их.
Существует много объяснений эффекта масштаба. Экономия, обусловленная расширением масштаба производства, как правило, вызвана тем, что по мере роста размеров предприятия увеличиваются возможности использования преимуществ специализации в производстве и Управлении, на более крупных предприятиях может применяться высокопроизводительное и дорогостоящее оборудование, кроме того существует большие возможности для диверсификации деятельности, развития побочных производств, выпуска продукции на базе отходов основного производства.
Отрицательный эффект масштаба возникает в связи с нарушением управляемости в чрезмерно крупной фирме:, со снижением эффективности взаимодействия между ее отдельными подразделениями, с тем, что затрудняется контроль за реализацией решений, принимаемых руководством фирмы. Зачастую в крупных коммерческих структурах в отдельных их подразделениях возникают локальные интересы, противоречащие интересам фирмы в целом; С ростом размеров увеличиваются издержки на передачу и обработку информации, необходимую для принятия решений, и т.п.
Эффект масштаба проявляется в отдельных отраслях по-разному. Существуют отрасли, где средние издержки достигают минимума при очень большом объеме выпускаемой продукции, достаточном для удовлетворения рыночного спроса. Это отрасли, так называемой естественной монополии. С точки зрения экономии издержек в них целесообразно существование одной крупной фирмы. К естественным монополиям относятся, например, предприятия электро-, газо- и водоснабжения крупного города. Деятельность естественных монополий регулируется специальным законодательством со стороны государства. Анализ издержек фирмы в краткосрочном и долгосрочном периодах, приведенный выше, является необходимым, но не достаточным условием при планировании выпуска продукции на ближайшее время и на перспективу. Минимизация издержек — это не самоцель, а лишь средство повышения прибыли или сокращения убытков, а в конечном счете — обеспечения стабильности и устойчивости положения фирмы в рыночной экономике.
4. Стратегии установления цен на новые товары. Основные подходы к ценообразованию
Успех деятельности предприятия определяют следующие составляющие: ценовая стратегия, разумная ценовая тактика, правильная методика ценообразования.
Развитие рыночной экономики означает переход к принципиально иной модели установления цен, что сопряжено с необходимостью учитывать комплекс ценообразующих факторов, отражающих интересы соответствующих субъектов хозяйствования.
Ценообразование является важнейшим рычагом экономического управления. Цена должна отражать общественно-необходимые затраты на производство и реализацию продукции, соответствовать ее потребительским свойствам и качеству, учитывать спрос и предложение на товары и услуги.
В отличие от единой стабильной государственной системы цен, построенной на традиционном затратном механизме ценообразования, основанный на свободной конкуренции и на других факторах, характерных для товарного производства.
Понятие о цене определяется как денежное выражение стоимости товара или «цена – это форма денег, за которую покупатель готов купить товар, а производитель – продать».
Фирма устанавливает исходную цену, а затем корректирует ее с учетом различных факторов, действующих в окружающей среде.
Установление цен на новый товар
Стратегический подход фирмы к проблеме ценообразования частично зависит от этапов жизненного цикла товара. Особые требования предъявляет этап выведения на рынок. Можно провести различие между установлением цены на подлинную новинку — «ноу-хау» и установлением цены на товар, имитирующий уже существующие.
Установление цены на подлинную новинку. Фирма, выпускающая на рынок защищенную патентом или «ноу-хау» новинку, при установлении цены на нее может выбрать стратегию «снятия сливок» или стратегию прочного внедрения на рынок.
Стратегия «снятия сливок» предусматривает высокие цены, чтобы «снять сливки» с рынка. После того как начальная волна сбыта замедляется, фирма снижает цену, чтобы привлечь следующий эшелон клиентов, которых устраивает новая цена. Подлинные лидеры затем переходят на выпуск новой, более совершенной продукции.
Такая стратегия характерна для наукоемких отраслей и предприятий, обладающих высоким технологическим потенциалом. Примером может служить фирма «Интелл» с микропроцессорами «Пентиум» и «Пентиум II». В российских условиях такая стратегия доступна в основном научно-производственным предприятиям военно-промышленного комплекса. Использование метода «снятия сливок» с рынка имеет смысл при следующих условиях:
- высокий уровень спроса со стороны большого числа покупателей;
- издержки мелкосерийного производства не настолько высоки, чтобы исключить финансовые выгоды;
- высокая цена поддерживает образ высокого качества товара.
Стратегия прочного внедрения на рынок предполагает сравнительно низкую цену новинки в надежде на привлечение большого числа покупателей и завоевания большой доли рынка. Эта стратегия может быть реализована путем экономичного массового производства. На товар устанавливают минимально возможную цену, завоевывают большую долю рынка и сокращают издержки производства. По мере их сокращения продолжают постепенно снижать цену. Эта стратегия возможна в следующих условиях:
- рынок очень чувствителен к иенам, и низкая цена способствует его расширению;
- с ростом объемов издержки производства и реализации падают;
- низкая цена непривлекательна для конкурентов.
Обе стратегии долгосрочных перспектив не имеют.
Установление цены на новый товар-имитатор. Фирма, планирующая разработать новый товар-имитатор, сталкивается с проблемой его позиционирования. Она должна принять решение о позиционировании новинки по показателям качества и цены. Обычно выделяют три уровня цены и три уровня качества. Сочетания образуют девять вариантов стратегии. Выбор определяется путем изучения девяти соответствующих сегментов рынка и конкурентов. Процесс формирования цен в условиях рыночной экономики происходит в сфере реализации продукции. Так как именно на рынке происходит столкновение спроса и предложения, оцениваются полезность предлагаемого товара, целесообразность его приобретения, качество и конкурентоспособность. Созданный в сфере производства товар или его цена проходят непосредственную проверку рынком, где и формируется окончательная цена товара или услуги.
От централизованного рыночное ценообразование принципиально отличается тем, что цены в данном случае устанавливаются в соответствии со спросом и предложением самим собственником или производителем товара. Государственные органы могут регулировать цены только на ограниченный круг товаров. Прерогативой государства становится лишь установление общих "правил игры" в области ценообразования. Перечень товаров, реализуемых по государственным ценам, определяется законодательством. Государственное регулирование цен осуществляется на продукцию предприятий-монополистов, товары и услуги, определяющие масштаб цен в экономике и обеспечивающие социальную защищенность отдельных групп населения.
Существует два альтернативных подхода к ценообразованию: затратный и ценностный.
Затратный подход к ценообразованию исторически является самым устоявшимся и на первый взгляд самым надежным, поскольку в его основе лежит такая реальная категория, как затраты фирмы на производство и сбыт товара, подтвержденные бухгалтерскими документами. Затратный подход к ценообразованию - это метод ценообразования, с помощью которого для определения цены применяются фактические затраты фирмы на производство и организацию сбыта продукции. Тем не менее необходимо отметить, что этот подход имеет существенный недостаток, так как во многих случаях до того как цена будет установлена, невозможно точно определить величину удельных затрат на единицу продукции, которая должна стать основой цены. Это связано с тем, что при рыночной организации сбыта продукции уровень цены определяет возможный объем продаж и, соответственно, возможный объем производства, от масштаба которого зависит величина удельных затрат на выпуск единицы продукции (при росте объемов выпуска продукции снижается сумма постоянных затрат и, соответственно, величина средних затрат, приходящаяся на единицу продукции).
Решения в области ценообразования, основывающиеся на необходимости покрытия фактических затрат и получение желаемой величины прибыли при уже сложившихся условиях деятельности, приводят к пассивному ценообразованию. В этом случае цены устанавливаются строго на основе затратного метода или только под влиянием ценовых решений конкурентов.
Наиболее оптимальным подходом является активное ценообразование, когда через управление ценами достигаются нужная величина продаж и соответствующая ей величина средних затрат, что в итоге обеспечивает желаемый уровень прибыльности. В этом случае цены устанавливаются в рамках политики управления сбытом с целью достижения наиболее выгодных объемов продаж, средних затрат на производство и целевого уровня прибыльности. Логика активного ценообразования связана с ответом на вопрос: насколько нужно увеличить количество продаваемых товаров, чтобы при более низкой цене получить большую массу прибыли, или каким количеством продаваемых товаров можно пожертвовать, чтобы при более высокой цене получать большую массу прибыли, чем раньше? Именно такой подход позволяет избежать серьезного недостатка затратного ценообразования: установления слишком высоких цен на "слабых" рынках (т.е. рынках с ухудшающейся конъюнктурой) или слишком низких цен на "сильных" рынках (т.е. рынках с растущим спросом).
Ценностный подход к ценообразованию призван обеспечить получение большей прибыли за счет достижения выгодного для фирмы соотношения "ценность/затраты", а не за счет максимального наращивания объемов продаж.
Вместе с тем необходимо отметить, что отказ от затратного ценообразования вызывает некоторые сложности, поскольку при ценностном подходе цены определяются до начала инвестирования в производство новой продукции. Особенно это касается российских предприятий, где стимулом развития производства традиционно является изделие как таковое. Однако для того чтобы добиться успеха, нужно полностью пересмотреть логику создания новых изделий, перейти к ценностному подходу в ценообразовании.
5. Ценообразование при наличии переменных издержек
Оценка издержек производства товара дает возможность определить его минимальную цену. Обычно издержки предприятия делятся на переменные и постоянные.
Переменные издержки изменяются прямо пропорционально объему производства и в расчете на единицу товара остаются неизменными (сырье, материалы, зарплата производственных рабочих, упаковка).
Постоянные издержки относительно стабильны и не зависят от изменения объема производства (зарплата служащих, аренда помещения, амортизация здания). Желательно цену устанавливать таким образом, чтобы она покрывала все издержки предприятия. Вместе с тем в условиях жесткой конкуренции считается, что производство в краткосрочном периоде имеет смысл даже в том случае, если цена возмещает только переменные издержки.
Эффективный подход к ценообразованию заключается в сопоставлении цен, по которым можно продать продукцию, с издержками, которые потребуются на ее производство, на основе чего принимается окончательное решение. Тем не менее и при таком подходе издержки оказывают существенное влияние на цены и коммерческую политику предприятии в целом. При этом необходимо отметить, что при ценообразовании необходимо принимать во внимание, во-первых, только предельные, или приростные, затраты, а во-вторых, только те издержки (или затраты), которых можно избежать (т.е. не являющиеся невозвратными).
В соответствии с законом спроса при более высокой цене предприятие будет иметь возможность продавать товаров меньше, чем при более низкой. Однако не существует столь уж однозначной зависимости затрат от объемов продаж. При достаточно существенных колебаниях объемов производства (продаж) некоторые элементы затрат останутся теми же по абсолютной величине. Поэтому при анализе различных вариантов ценовой политики предприятия необходимо прежде всего учитывать только те затраты, которые действительно изменяются при изменении цен и объемов продаж. Такие затраты называются приростными, поскольку в их состав включаются только те затраты, величина которых меняется при изменениях цен и объемов продаж. Разделение всех затрат на приростные и неприростные достаточно близко к их традиционной классификации на постоянные и переменные, однако между ними имеются некоторые отличия.
По своей экономической природе переменные затраты представляют собой затраты на реальное осуществление целевой деятельности предприятии - выпуск соответствующей продукции, а постоянные - на создание условий для осуществления целевой деятельности. И поскольку величина этих затрат не меняется в результате изменений объемов производства, то, решая задачу о рациональности того или иного изменения цены конкретного продукта предприятия, нельзя в полной мере отнести эти затраты к приростным.
6. Ограничения при ценообразовании в зависимости от величины издержек
Валовые издержки представляют собой сумму постоянных и переменных издержек при каждом конкретном уровне производства. Руководство стремиться взимать за товар такую цену, которая как минимум покрывала бы все валовые издержки производства.
Для обеспечения рациональной ценовой политики предприниматель обязан сопоставлять структуру издержек с планируемыми объемами производства и рассчитывать краткосрочные средние издержки (на единицу продукции). При увеличении выпуска продукции издержки единицы вначале снижаются до достижения определенного объема производства. Однако если наращивать производство и дальше, то возникают дополнительные затраты из-за перегрузки оборудования, дополнительного ремонта, нарушений производственного ритма, простоев и т.д. Средние издержки тогда станут возрастать. Для замедления наступления периода роста издержек фирма расширяет производственные мощности и благодаря этому продолжает увеличивать выпуск продукции, сопровождающийся экономией краткосрочных средних издержек (при наличии неудовлетворенного спроса на продукт). Тем не менее, эффективное расширение снова прекратится, и издержки начнут возрастать, подталкивая предпринимателя к новым капиталовложениям. Но такой процесс наращивания производства не может длиться бесконечно. Помимо ограничений по спросу, пределы имеет само производство. Современное крупномасштабное производство ведет к большим затратам на управление, специализацию и разделение труда, усиливается бюрократизация и снижается мотивация. Иначе говоря, есть пределы эффективного расширения производства. Эта закономерность динамики издержек важна и при выборе ценовой политики. Если на рынке функционирует несколько конкурирующих фирм, производящих какой-либо товар, но имеющих разные производственные возможности, то у них существуют различные потенциалы для конкуренции.
Можно, конечно, попробовать противостоять натиску конкурента, если суметь быстро произвести более крупные капиталовложения в производство, чем конкурент. Однако, далеко не всегда реально найти требующийся капитал. Кроме того, при подобной взаимной гонке на расширение легко превысить объем платежеспособного спроса, и тогда продукция не найдет сбыта. Наконец, игра на понижение цен может сформировать у потребителя имидж “дешевого товара”, который оттолкнет часть покупателей и снизит спрос. Все эти риски особенно чувствительны для малого и среднего бизнеса. Поэтому агрессивная ценовая стратегия обычно используется на практике крупными фирмами для вытеснения или подчинения более мелких конкурентов.
7. Использование в ценообразовании зависимости прибыли от объема производства
Предпринимателю в процессе деятельности постоянно приходится принимать решения о цене, по которой продукция будет реализована, о переменных и постоянных издержках, о приобретении и использовании ресурсов. Для этого необходимо точно и достоверно организовать уровни затрат и прибыли.
Все предпринимаемые в условиях рынка управленческие модели основаны на изучении взаимосвязи затрат, объема производства и прибыли. Специальный анализ помогает понять взаимоотношения между ценой изделия, объемом производства, переменными и постоянными затратами. Он позволяет сравнить различные варианты цен на продукцию и получение прибыли, а также отыскать наиболее выгодное соотношение между переменными, постоянными затратами, ценой и объемом производства продукции. Достичь этого можно разными способами: снизить цену продаж и соответственно увеличить объем реализации; увеличить постоянные затраты и увеличить объем; пропорционально изменять переменные, постоянные затраты и объем выпуска продукции. Иногда анализ соотношения затрат, объема производства и прибыли (CVP-анализ, Cost-Volume-Profit) трактуют более узко, как анализ критической точки.
Под критической понимается та точка объема производства, в которой затраты равны выручке от реализации всей продукции, т.е. где нет ни прибыли, ни убытков. Эту точку называют также «мертвой», или точкой безубыточности.
Для ее вычисления можно использовать три метода: уравнения, маржинальной прибыли и графического изображения.
Метод уравнения
В качестве исходного уравнения для анализа принимают следующее соотношение выручки, издержек и прибыли:
Выручка — переменные затраты — постоянные затраты = прибыль.
Если выручку представить как произведение цены продажи единицы изделия и количества проданных единиц, а затраты пересчитать на единицу изделия, то в точке критического объема производства будем иметь:

Исходя из этого определяем количество единиц продукции, которое необходимо продать, чтобы достигнуть критической точки:

где Qкр — объем производства продукции в критической точке (количество единиц);
Р — цена единицы продукции;
VС — удельные переменные затраты на единицу продукции;
FС — постоянные расходы.
Рассмотрим этот метод на условном
Пример 3. Предприятие планирует продать свою продукцию по цене 500 ден. ед., постоянные расходы составляют 70 000 ден. ед., удельные переменные расходы на единицу продукции — 300 ден. ед. В точке безубыточности прибыль равна 0, тогда
500 • Х - 300 • Х - 70 000 = О
200 • Х = 70 000
Х = 350
Таким образом, при продаже 350 ед. изделий предприятие достигнет точки, в которой прибыль и убытки равны.
Критическую точку можно рассчитать и в стоимостном выражении, если умножить полученный объем на цену единицы продукции:
350 * 500= 175 000 ден. ед.
CVP-анализ может быть использован для определения объема реализации, необходимого для получения желаемой величины прибыли.
Предположим в нашем Примере 4, что предприятие хочет достигнуть прибыли в размере 40 000 ден. ед. Каким должен быть объем производства и продаж? Эту задачу можно решить методом уравнений.
В точке безубыточности, как известно, выручка равна сумме постоянных и переменных затрат. Поэтому, чтобы рассчитать заданную величину прибыли, необходимо прибавить ее к сумме затрат:
Выручка = переменные затраты + постоянные затраты + прибыль.

500 • Х = 300 • Х + 70 000 + 40 000
200-Х= 110000
X = 550
Таким образом, заданная величина прибыли может быть получена при объеме продаж, равном 550 ед., что составляет в денежном выражении
550 • 500 = 275 000 ден. ед.
Метод маржинальной прибыли представляет собой модификацию
метода уравнений.
Маржинальная прибыль — это разность между выручкой от реализации продукции и переменными затратами, т.е. это определенная сумма средств, необходимая, в первую очередь, для покрытия постоянных затрат и получения прибыли предприятия. Маржинальную прибыль на единицу изделия можно также представить как разность между ценой реализации единицы товара и удельными переменными расходами. Маржинальная прибыль, приходящаяся на единицу продукции, представляет вклад каждой проданной единицы в покрытие постоянных затрат.
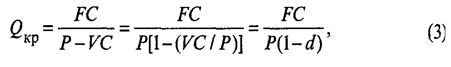
Преобразование формулы (2) раскрывает связь объема продукции
и относительного маржинального дохода:

где d— относительный уровень удельных переменных расходов в цене продукта (d = VC/Р);
(1 - d) — относительная маржинальная прибыль на единицу объема реализации.
В Примере 5 маржинальная прибыль на единицу составляет
500 - 300 = 200 ден. ед., а точка безубыточности равна
70 000 / 200 =350ед.
Графический метод дает наглядное представление о СVР-анализе и сводится к построению комплексного графика «затраты — объем
производства — прибыль».
В прямоугольной системе координат строится график зависимости затрат и дохода от количества единиц произведенной продукции (см. рис.).
По вертикали откладываются данные об издержках и доходе, по
горизонтали — количество единиц продукции. Порядок построения графика следующий:
1. Чтобы нанести на график линию переменных расходов (VС), выбираем любой объем, предположим, 500 ед. и находим точку расходов, соответствующую этому объему:
300 • 500 =150 000 (точка А).
Проводим линию переменных расходов через точки 0 и A.
2. Чтобы нанести линию постоянных расходов (ТС), отметим на оси ординат точку, соответствующую 70 000 ед. (точка В), а от точки А вверх отложим 70 000 ед. (точка С). Используя точки В и С, проводим линию постоянных расходов параллельно линии переменных расходов. Линия ВС показывает общую сумму затрат.

Рис. График поведения затрат, прибыли и объема продаж
3. Чтобы нанести на график линию выручки (ТR), возьмем тот же условный объем продаж (500 ед.). Отметим точку Д, полученную от умножения цены единицы продукции на объем (500 • 500 = 250 000 ден. ед.). Проводим линию выручки через точки 0 и Д.
Критическая точка (точка перелома) образуется в месте пересечения линии выручки ОД и линии валовых (совокупных) издержек ВС. В точке критического объема производства К нет прибыли и нет убытка.
Слева от критической точки заштрихована область чистых убытков, которая образуется в результате превышения величины постоянных издержек над величиной маржинальной прибыли. Справа от нее заштрихована область чистых прибылей. Для каждого значения Q (количества единиц продукции) чистая прибыль определяется как разность между величиной маржинальной прибыли и постоянных издержек.
Проекция точки К на ось абсцисс дает критический объем производства в физических единицах измерения (шт. м, кг). Проекция точки К на ось ординат дает критический объем производства в стоимостном измерении.
TC=VC+FC
где TC-общие (валовые) издержки;
FC-постоянные издержки;
VC-переменные издержки.
Приведенная графическая зависимость затрат, прибыли и объема продаж позволяет сделать важные для предприятия выводы:
1. Предприятие может получить прибыль (выручка за минусом постоянных и переменных издержек) лишь при условии реализации продукции большего объема, чем критическая точка К.
2. Точка К, находящаяся на пересечении кривой валовых издержек (ГС) и кривой выручки от реализации (TR), называется критической точкой, при переходе через которую наступает окупаемость всех издержек и предприятие начинает получать прибыль.
3. Точка пересечения кривой постоянных издержек (FC) и кривой маржинального дохода показывает тот объем производства, после прохождения которого наступает окупаемость постоянных затрат.
4. С повышением цен на производимую продукцию минимальный объем производства, который соответствует критической точке, уменьшается, а при снижении цены — возрастает.
5. С увеличением постоянных расходов минимальный объем производства, соответствующий точке безубыточности, повышается.
6. Сохранение безубыточного объема производства при росте переменных расходов возможно при прочих равных условиях за счет увеличения минимального объема производства.
При проведении CVP-анализа условно принимается целый ряд допусков, которые ограничивают точность и надежность результатов анализа: объем производства равен объему продаж; цена за единицу продаваемого товара, а также доли переменных и постоянных издержек остаются неизменными; производится единственный вид изделия.
В заключении подведём итог, что же такое CVP-анализ(анализ критической точки). Итак, СVP-анализ – взаимосвязь затрат, объёма производства и прибыли, позволяющая сравнить различные варианты цен на продукцию и получение прибыли. Так же анализ критической точки может быть использован для определения объёма реализации, необходимого для получения нужной величины прибыли. Так же нужно отметить, что CVP-анализ будет нагляден если построить комплексный график «затраты - объём производства - прибыль»
Прибыль в составе цены
При формировании цен необходимо учитывать размер прибыли. Прибыль - это форма дохода, полученного после того, как товар будет реализован по установленной цене. При формировании цен прибыль определяется на единицу продукции. Уровень прибыли зависит от уровня цен, себестоимости и фиктивности хозяйствования. После уплаты налогов организация получает чистую прибыль. Чистая прибыль по решению собрания акционеров делится в определенном соотношение на фонд накопления и фонд потребления. Относительной величиной прибыли является рентабельность. Прибыль от реализации продукции определяется, как разница между выручкой от реализации продукции без налогов и сборов, не относящихся на себестоимость и затратами включенных в себестоимость.
Предельные нормы рентабельности при этом не предусматриваются.
8. Издержки будущего периода, принимаемые в расчет при оценках
УЧЕТ РАСХОДОВ БУДУЩИХ ПЕРИОДОВ для бухгалтерского учета расходов будущих периодов используются счета: " Расходы будущих периодов" - для обобщения информации о расходах, произведенных в данном отчетном периоде, но относящихся к будущим отчетным периодам; " Оценочные резервы" - для обобщения информации о резервах, создаваемых с целью уточнения оценки отдельных объектов бухгалтерского учета за счет прибыли предприятия; "Резервы предстоящих расходов и платежей" - для обобщения информации о состоянии и движении сумм, зарезервированных в установленном порядке в целях равномерного включения расходов и платежей в издержки производства или обращения. К расходам будущего периода относятся расходы по неравномерно производимому ремонту основных средств, суммы арендной платы, расходов на рекламу, подготовку кадров и т. д., уплаченные вперед. Расходы будущих периодов подлежат отнесению на издержки производства и обращения в течение срока, к которому относятся. Данные расходы вне зависимости от их вида должны ежемесячно равными долями в суммах, обоснованных договорами или расчетами предприятия, в течение срока, к которому они относятся, включаться в себестоимость продукции. При наличии договора, определяющего срок использования объекта учета, с которым связаны расходы будущих периодов, их стоимость списывается на себестоимость продукции в течение данного срока. В остальных случаях срок списания расходов может зависеть от периода совершения определенного вида работ.
Важнейшим направлением минимизации текущих затрат торгового предприятия, является их экономическое обоснование на стадии принятия управленческих решений. Планирование затрат в розничной торговле потребительской кооперации является важнейшей функцией управления. планирование текущих затрат в кооперативных предприятиях заменено оперативным управлением используемыми ресурсами. В связи с этим роль субъективного фактора чрезвычайно возросла, что чревато значительным ростом затратности торговой деятельности.
Значение планирования издержек в торговле очень занижено. Планирование издержек обращения должно быть неотъемлемой и обязательной частью управления затратами на торговом предприятии. Оно должно обеспечить выявление наилучших способов использования всех ресурсов и предотвратить влияние любых неожиданностей, что особенно важно в условиях подвижной внешней среды. В настоящее время возрастает роль методов учитывающих специфику отдельных видов затрат и факторов, влияющих на них.
Общепринятая методика основана на планировании расходов по отдельным статьям с последующим их суммированием и определением общей суммы и уровня издержек. Методика предполагает использование метода технико-экономических расчетов, связанного с применением действующих норм и нормативов расходов.
Планирование издержек обращения тесно связано с остальными экономическими показателями: валовой доход, оборот розничной торговли, прибыль. Оптимальным будет считаться такой план издержек обращения, который при заданном обороте розничной торговли и принятой ценовой политике обеспечит предприятию получение необходимого размера чистой прибыли.
При планировании издержек обращения может быть использован подход, при котором затраты необходимо разделить на постоянные и переменные. Планирование постоянных издержек обращения производится с учетом сложившегося за предплановый период темпа роста затрат.
Ипост 2006
= Ипост 1
* Тпост,
где: Ипост
– сумма условно-постоянных издержек обращения в плановом году, руб.
Ипост 1
– сумма условно-постоянных издержек обращения отчетного года, руб.
Тпост
– среднегодовой темп роста суммы условно-постоянных издержек обращения.
Переменные издержки обращения находятся в прямой зависимости от изменения оборота розничной торговли, однако изменяются они не всегда в одинаковой пропорции. При планировании их суммы необходимо учитывать сложившееся за предплановый период соотношение темпов изменения издержек обращения и оборота розничной торговли, которое может быть охарактеризовано коэффициентом реагирования затрат.
Заключение
Написав курсовую работу, я могу сделать некоторые выводы. В работе я ответила на вопросы: как оценивается эффективность стратегии ценообразования, как устанавливаются цены на этапе выхода на рынок нового товара, значение издержек в процессе формирования цен?
В условиях рынка ценообразование является сложным процессом, подверженным воздействию многих факторов. Выбор общей ориентации в ценообразовании, подходов к определению цен на новые и уже выпускаемые изделия, оказываемые услуги в целях увеличения объемов реализации, товарооборота, повышения уровня производства, максимизации прибыли и укрепления рыночных позиций фирмы осуществляется в рамках управленческого учета.
Цены находятся в тесной зависимости со всеми составляющими деятельности фирмы в целом. От цен во многом зависят реальные коммерческие результаты, а верная или ошибочная ценовая политика оказывает долговременное воздействие на положение фирмы на рынке.
Цене принадлежит большая роль в конкурентной борьбе. Ценовая конкуренция это обычно снижение цен. Многие компании вместо того, чтобы создавать цену, разрушают ее. Это означает, что они легко и охотно снижают цены, чтобы захватить долю рынка или заполучить выгодного клиента. Для снижения цены по сравнению с конкурентами надо иметь более низкие суммарные издержки. Прежде чем объявлять «ценовую войну», нужно очень тщательно оценить запас «экономической устойчивости» у себя и у конкурентов. Иначе возможна ситуация, когда развязавший «ценовую войну» в ней и проигрывает. Поэтому «ценовая война» - дело трудное, а возможно и разорительное. Если же конкурирующие организации находятся в примерно равных условиях, то «ценовая война» не просто расточительна, но и бессмысленна.
Эффективная ценовая стратегия компании должна представлять собой нечто большее, чем резкая ответная реакция на изменение рыночных условий. Любое ценовое решение должно отражать, во-первых, фундаментальную ценовую стратегию, во-вторых, сегментацию рынка, в-третьих, эластичность рынка, в-четвертых, уровень издержек, в-пятых, потенциал конкурента, поскольку знание своих конкурентов позволяет компании с большей степенью вероятности прогнозировать их ответные реакции, учитываемые при разработке ценовых стратегий, в-шестых, компетентность руководства компании.
Стратегическое ценообразование требует, чтобы руководство отвечало за проведение согласованных между собой ценовой политики и действий, направленных на достижение стратегических целей компании.
Таким образом, ценовая политика фирмы заключается в том, чтобы устанавливать на товары такие цены, так варьировать ими, в зависимости от ситуации на рынке, чтобы овладеть его максимально возможной долей, добиться запланированного объема прибыли, то есть успешно решать все стратегические задачи.
Список литературы
1. Аксененко А.Ф. и др. Управленческий учет на промышленном предприятии в условиях формирования рыночных отношений.-М.: МГУ,1994г.
2. Вещунова Н.Л., Фомина Л.Ф. Бухгалтерский учет и налогообложение.- СПб.: Издательский Торговый Дом "Герда", 2004г.
3. Вахрушина М.А. Бухгалтерский управленческий учет: Учебник для вузов, 2-изд.-М.: Омега-Л,2003г.
4. Бурцев В.В. Управленческий аудит системы сбыта готовой продукции. – М.: Маркетинг,2002г.
5. Друри К. Введение в управленческий и производственный учет: Пер. с англ./Под ред. С.А.Табалиной. - М.: Аудит, ЮНИТИ,2005г.
6. Карпова Т.П. Управленческий учет: Учебник для вузов. - М.: Аудит, ЮНИТИ, 2003г.
7. Кондратова И.Г. Основы управленческого учета.–М.: Финансы и статистика, 2003г.
8. Николаева С.А. Особенности учета затрат в условиях рынка. Система "директ-костинг": теория и практика. - М.: Финансы и статистика, 2006г.
9. Управление затратами на предприятии: Учебник / В.Г. Лебедев, Т.Г. Дроздова, В.П. Кустарев и др.; Под общ. ред. Г.А. Краюхина. - СПб.: "Издательский дом "Бизнесс-пресса", 2004г.
|