Обратимся к личности контроллера и его роли в организации. Роль контроллера в системе планирования заключается в координации отдельных планов и организации общего процесса планирования в компании. Контроллер участвует в процессе планирования и в выстраивании системы информационного обеспечения менеджмента, что определяет его непосредственную подчиненность руководству компании. Однако деятельность контроллера охватывает все уровни организационной иерархии и все подразделения компании. Соответственно в крупных компаниях система контроллинга является весьма дифференцированной, включая большое число децентрализованных контроллинговых подразделений.
Задачи и роль контроллера в значительной мере зависят от размеров компании. Контроллер в компаниях средних размеров «и швец, и жнец, и на дуде игрец» и занимается, как правило, не только контроллинговыми задачами. Крупные компании, как правило, разделяют свое финансовое управление на отдел контроллинга и казначейство, граница между которыми более или менее четкая.
Важным средством определения задач контроллера и его роли в компании является составление должностной инструкции. На рисунке представлена должностная инструкция контроллера компании Lamy– компании средних размеров, выпускающей письменные принадлежности. В должностной инструкции содержится информация о ранге и о подчиненности контроллера, а также точный перечень его задач и прав. Должностная инструкция является хорошим инструментом, позволяющим четко прописать рамки контроллинговой деятельности и документально оформить роль контроллера в компании.
| LAMY |
Должностная инструкция |
С. Josef Lamy GmbH |
| 1.0. Название должности |
2.0. Уровень в иерархии |
3.0. Замещает |
| Руководитель отдела контроллинга |
Руководитель сферы |
| 4.0. Цели деятельности |
– Разработка и использование методов, направленных на достижение целевого значения прибыли по компании в целом
– Сервисная поддержка менеджмента (в качестве аналитика, советника и экономического лоцмана), направленная на реализацию идеи самоконтроля
|
| 5.0. Название должности непосредственного руководителя: |
| Директор компании |
| 5.1. Занимающий должность обязан также выполнять профессиональные распоряжения, отданные |
| 6.0. Название должности сотрудника, находящегося в непосредственном подчинении |
| Руководитель отдела информационных технологий |
| 6.1. Занимающий должность отдает профессиональные распоряжения |
Руководителю финансовой бухгалтерии Руководителю производственной бухгалтерии Руководителю службы персонала Руководителю отдела обработки текстовой информации
Внешним сотрудникам, занятым в сфере контроллинга и информационных технологий
|
| 7.0. Занимающего должность замещает |
| Директор по финансовым, административным и экономическим вопросам Руководитель администрации |
| 8.0. Занимающий должность замещает |
| Руководителя администрации |
| 9.0. Специальные права |
| (Здесь перечисляются специальные полномочия и права, не связанные напрямую с уровнем в иерархии и рассматриваемые как дополнительные помимо основных полномочий) |
– Право генеральной подписи
– Банковское полномочие
– Уполномоченный по коммерческим вопросам
|
10.0. Описание профессиональной деятельности, выполняемой занимающим должность самостоятельно
Планирование
—Содействие при разработке целей компании
—Координация плановой и бюджетной работы
Управление
—Построение информационной системы, в которой содержится информация о плановых, фактических и ожидаемых значениях
—Своевременное проведение сравнения план / факт по выручке, затратам, прибыли, поступлениям, выплатам и др., при необходимости с пояснениями (с целью избежания или устранения нежелательных отклонений)
—Информирование руководства о значительных отклонениях от целевых значений
—Анализ отклонений и обсуждение результатов с руководителями центров ответственности, а также разработка корректирующих мероприятий
Забиваем Сайты В ТОП КУВАЛДОЙ - Уникальные возможности от SeoHammer
Каждая ссылка анализируется по трем пакетам оценки: SEO, Трафик и SMM.
SeoHammer делает продвижение сайта прозрачным и простым занятием.
Ссылки, вечные ссылки, статьи, упоминания, пресс-релизы - используйте по максимуму потенциал SeoHammer для продвижения вашего сайта.
Что умеет делать SeoHammer
— Продвижение в один клик, интеллектуальный подбор запросов, покупка самых лучших ссылок с высокой степенью качества у лучших бирж ссылок.
— Регулярная проверка качества ссылок по более чем 100 показателям и ежедневный пересчет показателей качества проекта.
— Все известные форматы ссылок: арендные ссылки, вечные ссылки, публикации (упоминания, мнения, отзывы, статьи, пресс-релизы).
— SeoHammer покажет, где рост или падение, а также запросы, на которые нужно обратить внимание.
SeoHammer еще предоставляет технологию Буст, она ускоряет продвижение в десятки раз,
а первые результаты появляются уже в течение первых 7 дней.
Зарегистрироваться и Начать продвижение
—Проведение расчетов эффективности
Организация / Информационные технологии
—Проведение стоимостного анализа косвенных затрат во всех подразделениях
—Проект-менеджмент по закрытым рационализаторским проектам
—Реализация проектов внедрения информационных технологий
—Выбор необходимого стандартного программного обеспечения
—Предложения руководству о необходимом компьютерном оборудовании
Прочее
—Подготовка и проведение стратегических плановых совещаний (совместно с директором по маркетингу)
—Сотрудничество с экономическим комитетом Торговой палаты
—Выполнение прочих поручений руководства
Указание для занимающего должность:
Эта должностная инструкция определяет ваши задачи и полномочия. Вы обязаны действовать и принимать решения в соответствии с этой должностной инструкцией. Вы должны информировать вашего непосредственного руководителя, если происходят значительные отклонения от указанного в инструкции.

2. Контроллинг – для кого?
На промышленных предприятиях контроллинг в последние десятилетия получил широкое распространение. Нет ни одного промышленного предприятия, у которого не было бы отдела контроллинга или должности контроллера. В силу этого сформировалось мнение, что контроллинг полезен только промышленным предприятиям. Однако в последние годы ошибочность такого утверждения стала очевидной. Сегодня контроллинг используется практически всеми предприятиями, а не только промышленными. Поэтому в дальнейшем мы рассмотрим подробнее использование контроллинга в разных сферах.
2.1 Контроллинг в торговых компаниях
Что касается эффективности построенных систем контроллинга, то в торговой сфере наблюдается определенное отставание. Это связано с тем, что контроллинг до сих пор не рассматривался как необходимый атрибут системы управления торговой компанией. Поэтому философия контроллинга в торговой сфере (задачи, организация и инструменты) до сих пор не была глубоко проработана. При разработке системы контроллинга необходимо учесть особенности торговой сферы, большое значение для нее следующих факторов:
• места расположения (в том числе филиалов);
• жизненных циклов различных типов предприятий (дискаунтеров, супермаркетов, гипермаркетов, специализированных рынков и др.);
• широты и глубины ассортимента в противоположность значению отдельных позиций;
• потребности в наличии информации и в координации деятельности сферы закупок и сферы продаж (из-за аспектов, связанных с управлением ассортиментом);
Сервис онлайн-записи на собственном Telegram-боте
Попробуйте сервис онлайн-записи VisitTime на основе вашего собственного Telegram-бота:
— Разгрузит мастера, специалиста или компанию;
— Позволит гибко управлять расписанием и загрузкой;
— Разошлет оповещения о новых услугах или акциях;
— Позволит принять оплату на карту/кошелек/счет;
— Позволит записываться на групповые и персональные посещения;
— Поможет получить от клиента отзывы о визите к вам;
— Включает в себя сервис чаевых.
Для новых пользователей первый месяц бесплатно.
Зарегистрироваться в сервисе
• управления физическими потоками товаров;
• организации и управления площадями, на которых выставлен товар;
• управления персоналом.
Практика работы торговых компаний требует построения системы контроллинга, учитывающей значение всех перечисленных элементов. Только в этом случае система контроллинга будет соответствовать требованиям менеджмента. Некоторые авторы описывают, как может выглядеть целостная система контроллинга в торговой компании. В центре интегрированной системы контроллинга в торговой компании находится банк данных, служащий основой построения системы информационного обеспечения и управления отдельными подразделениями (см.: Moehlenbruchи Meier, 1998J. Назовем важнейшие элементы такой системы.
• Общий контроллинг: финансовый контроллинг, организационное и стратегическое планирование, инвестиционный контроллинг, управ-ление филиалами, развитие предприятий различных типов, общее управление клиентами.
• Контроллинг персонала: гибкое планирование персонала и измерение результативности посредством сканирования, «квалификационный контроллинг».
• Контроллинг ассортимента: планирование ассортимента (повторное включение или исключение отдельных видов товаров в продуктовый портфель, общее управление товарными группами), регулирование ассортимента, контроль ассортимента.
• Контроллинг использования площадей: управление использованием площадей на основе сканирования аналитических данных об эффективности использования площадей, системы управления использованием площадей.
• Контроллинг складского хозяйства: система заказов, внешняя логистическая система, внутренняя логистическая система, прием товара и координация работы склада, отгрузка товара.
Очевидно, что сквозная система сбора и агрегирования информации является важнейшим элементом интегрированной системы контроллинга в торговой компании. В 1999 г. было проведено исследование, в ходе которого было выявлено, какие именно информационные системы и какая именно информация о товарах и клиентах используются в практике работы немецких торговых компаний. В ходе исследования было опрошено 45 немецких торговых компаний, суммарный оборот которых составляет около 79% оборота розничной торговли продуктами питания (см.: Schroeder, 2001).
Согласно результатам исследования, большинство торговых компаний использует такие информационные системы, как система сканирования и закрытая система управления складским хозяйством. Почти половина торговых компаний располагает хранилищами данных (DataWarehouse). Однако менее 25% торговых компаний используют такие клиенто-ориентированные информационные системы, как карточки клиента, система DataMining, и централизованную систему управления рекламациями. Кроме того, исследование показало, что работа с информацией о товарах (например, выручка, маржа, ежедневный объем продаж по отдельным товарам) налажена лучше, чем работа с информацией о клиентах (например, удовлетворенность клиента, социологическая и демографическая информация, доля продаж постоянным клиентам). В такой ситуации потенциал ориентированного на клиента управления ассортиментом, выстраиваемого на основе согласования данных о товарах и данных о клиентах, не реализуется. Результаты исследования позволяют также утверждать, что не все торговые компании управляются эффективно и не все способны выживать в острой конкурентной борьбе.
Поскольку построение информационных систем, а также сбор и обработка информации связаны с достаточно большими затратами, менеджмент торговых компаний всегда должен рассматривать получаемую информацию с точки зрения соотношения «затраты / выгоды».
2.2 Контроллинг в страховых компаниях
Страховые компании в последние годы также стали уделять контроллингу гораздо больше внимания. Это связано в первую очередь со структурными изменениями в страховой отрасли и обострением конкуренции. Причинами структурных изменений стали:
• снижение степени государственного вмешательства в деятельность рынка страховых услуг;
• слияния на рынке финансовых услуг;
• критическое отношение потребителей страховых услуг к деятельности страховых компаний;
• разработка современных технологий обработки информации и коммуникационных технологий (см.: Fischer1996, S. 90).
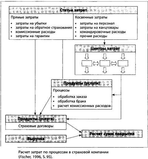
Раньше управленческий инструментарий страховых компаний определялся законодательно. Например, стандарты отчетности страховых компаний, направляемой в государственные органы, определялись нормативными актами. Однако вследствие обострения конкуренции в последние годы вырос интерес к построению эффективных систем планирования, управления и контроля. Этот интерес ориентируется на использование экономического инструмента, который в других отраслях (например, в автомобилестроении) используется уже достаточно давно. Речь идет о технологии расчета затрат по процессам. Схема использования технологии расчета затрат по процессам в страховой компании в этом разделе подробно не рассматривается. Об этом речь пойдет в специальном разделе, посвященном рассмотрению систем расчета затрат и результатов. На рис. представлена общая схема использования этого инструмента применительно к страховой компании.
Внедрение технологии расчета затрат по процессам в страховой компании преследует те же цели, что и в других компаниях (см.: Fischer, 1996, S. 93):
• предоставление информации о затратах, используемой при принятии решений, касающихся протекающих в компании процессов;
• предоставление информации о затратах, используемой при принятии решений, касающихся продуктовой политики и управления продуктовым портфелем;
• достижение прозрачности затрат в сфере внутрифирменных процессов;
• упрощение системы калькулирования при одновременном повышении точности расчетов.
•

В качестве аргумента против внедрения технологии расчета затрат по процессам говорят, что доминирующая в этом секторе (как и в сфере вообще) «офисная работа» не может быть описана при помощи четких соотношений «вход» / «выход» (англ. «input» / «output»). Возможность такого описания протекающих в компании процессов является существенной предпосылкой для использования процессно-ориентированного расчета затрат. Однако существует метод, позволяющий измерять результативность административных процессов и процессов обработки информации. При помощи такого метода возможно описание большей части процессов в страховой компании. В качестве процессов выделяются, например, составление предложения (оферты), заключение договора, обработка ущерба, расчет комиссионных расходов и т. п.
Однако в страховом бизнесе основные расчетные величины и статьи затрат (например, затраты на покрытие убытков) в значительной степени зависят от случая. Высокая зависимость от случая должна быть учтена при разработке систем планирования, управления и контроля. Кроме того, выгоды от использования контроллинговой информации следует соизмерять с затратами на ее получение (см.: Theil> 2002).
Описанные выше структурные изменения влияют прежде всего на системы управления рисками, сбытом и стоимостью. Особое внимание уделяется, как правило, управлению сбытом и контроллингу в сфере сбыта, поскольку в этой сфере существует прямой контакт с клиентом (см.: Richter, 1998, S. 350). К управлению сферой сбыта предъявляются высокие требования. Соответствовать этим требованиям можно только в случае наличия эффективного управленческого инструментария. Например, должна иметься информация о рентабельности отдельных продуктов, каналов сбыта, агентств и клиентов. Система контроллинга способна генерировать такую информацию только в том случае, если она построена по многокритериальному принципу и базируется на использовании информационных технологий.
2.3 Контроллинг в банках
Среди тенденций, обусловливающих возрастающее значение контроллинга в банковской сфере, следует назвать обострение конкуренции, необходимость снижения затрат, снижение ставки по кредитам, высокие риски, переориентацию целей от роста бизнеса к увеличению прибыли.
При построении системы контроллинга особое значение имеет организация системы учета. С одной стороны, это обусловлено необходимостью сбора и передачи внутрифирменной информации. С другой – играют роль особенности банковской сферы, в которой различают так называемые «стоимостную» и «производственную» области. На рис. 1.9. представлено сопоставление двух частей банковской сферы (см.: Schwager, 1998, S. 5).
Эти части характеризуются значительными отличиями, различаются и используемые методы калькулирования (рис. 1.10). В «производственной»


части доминирует традиционный расчет полных затрат. Распределение косвенных затрат осуществляется на основе ставок надбавок и коэффициентов эквивалентности. Однако именно в силу значительной доли косвен ных затрат в банковской сфере целесообразным представляется использование других методов распределения косвенных затрат, в частности расче та затрат по процессам.
Во внутрифирменной отчетности банков, как в системах калькулирования, информация о затратах на выполнение процессов, о группах клиентов, о соблюдении бюджетов и результатах работы дивизионов встречается сегодня достаточно редко. Однако популярны калькулирование затрат на обслуживание клиента, информация о запасах, о расчете затрат по центрам ответственности, о затратах на единицу калькуляционного объекта или о балансе филиалов. Как правило, руководство банков и филиалов получает информацию автоматически и в письменной форме, а не по желанию или по запросу.
Использование современных инструментов контроллинга сначала получило распространение в «стоимостной» части, однако «производственная» часть не поддержала идею использования этих инструментов. Это объясняется тем, что приоритетом номер один является сохранение доверия между банком и клиентом. Поскольку предоставление банковских услуг связано с коммерческой тайной клиента, то ценовая конкуренция между банками становится особенно актуальной. Это утверждение действительно лишь в отношении банковских продуктов, в значительной степени подверженных ценовой конкуренции. Для расчета затрат продуктов, менее подверженных влиянию ценовой конкуренции, целесообразно использование метода расчета затрат по процессам, позволяющего, например, определить нижнюю границу цены.
Изменения в системе внутрифирменной банковской отчетности касаются в первую очередь сбора, обработки и передачи информации, ориентированной на потребности пользователя, а также использования автоматизированных систем управления (Schwager, 1998, S. 4).
2.4 Контроллинг в сфере общественного управления
Внедрение контроллинга в сфере общественного управления было ответом на ситуацию «двойного кризиса» – с одной стороны, высокая и постоянно увеличивающаяся задолженность, с другой – критикуемое клиентами (т. е. гражданами) качество услуг, оказываемых органами общественного управления.
При более подробном рассмотрении были выявлены причины сложившейся кризисной ситуации. По сравнению с предприятиями частного сектора в большинстве организаций, находившихся в государственном управлении, не существовало программ оказания услуг и не были определены «продукты» как таковые. Система внутренней отчетности – важнейший элемент системы информационного обеспечения в частной компании – в этом секторе отсутствовала. В силу неразвитости системы расчета затрат контроль результативности деятельности отдельных структурных подразделений таких организаций либо невозможен, либо крайне затруднителен. Кроме того, системы сбора внутрифирменной информации и коммуникации существовали лишь на бумаге. Были также очевидны недостатки в работе органов общественного управления в сфере работы с клиентами (гражданами) и в сфере управления персоналом. Отмечалось плохое распределение ответственности между управлениями и советами общины, приводившее к постоянным конфликтам и спорам.
Коммунальный совет по управлению предложил так называемую «новую управленческую модель», направленную на реализацию реформ в сфере коммунального управления. Важнейшие элементы этой модели представлены на рис. 1.11.
Внедрение «новой управленческой модели» одновременно послужило толчком к внедрению контроллинга в органах общественного управления. В рамках этой модели контроллинг рассматривается как система координирования и управленческого сервиса.

Базовая идея контроллинга хорошо реализуется в сфере управления, однако с учетом ряда специфических особенностей. Для контроллинга в сфере управления, т. е. целенаправленного планирования, управления и контроля выполнения задач общественного характера, согласно мнению экспертов, хорошо подходит так называемая «З-Е-модель» – effectiveness, efficiency, economy(Beckerи Weise; Budaeus1999, S. 55). С помощью этой модели, содержащей иерархию целей по производительности, процессам и затратам, можно проследить соблюдение интересов различных групп – например, граждан, политиков и др. (рис. 1.12). На основе поставленных управленческих целей определяются так называемые «входы» или «inputs» (ресурсы) – персонал и инфраструктура. Ресурсы в процессе создания продуктов преобразуются в так называемые «выходы» или «outputs». Примером продукта может служить проведение учебного занятия в школе. «Выходы» имеют определенные характеристики (например, способность школьников читать) и подлежат анализу со стороны руководства.
В центре внимания контроллинговых мероприятий в сфере управления результативностью находятся планирование стратегии и целей, а также контроль степени достижения целей (Beckerи Weise, 2000). Успешное управление возможно только в том случае, когда цели согласованы между различными заинтересованными лицами (политическими и административными фигурами, учреждениями) и существует четко сформулированная концепция целей и планирования. Для мониторинга процесса достижения целей разрабатывается система показателей, на основе которой строится система внутренней и внешней отчетности. Для стратегического планирования целей и ресурсов, а также для контроля степени достижения целей, сформулированных в рамках многомерной системы, используется хорошо зарекомендовавшая себя концепция BalancedScorecard(Kaplan, Norton, 1997).

В центре внимания системы управления эффективностью находится планирование и контроль производительности и экономичности при одновременном отслеживании аспектов качества и соблюдения правовых норм (Beckerи Weise, 2002). К централизованным задачам контроллинга, скорее, оперативного уровня относятся: построение системы годового планирования и бюджетирования, управление затратами и качеством, а также планирование и управление продуктами и услугами внутреннего потребления. Например, в рамках «новой управленческой модели» особое значение в системе бюджетирования имеет последовательное соединение профессиональной и финансовой ответственности. Современная концепция бюджетирования основывается на том, что отдельные подразделения должны принимать самостоятельные решения, какие человеческие ресурсы и капитал понадобятся им для производства своих продуктов (оказания услуг). Однако принятие таких решений требует прозрачности в отношении затрат по отдельным продуктам или продуктовым группам. Другими словами, должна существовать система расчета затрат и результатов, в которой содержатся как плановые, так и фактические значения. На базе такой информации проводится сравнение план / факт и анализируются возникающие отклонения.
Для функционирования системы управления результативностью и эффективностью руководство должно располагать оперативной, многоуровневой, понятной и содержательной системой внутренней отчетности. Согласно проводившимся в Германии исследованиям среди 1500 коммун, 2/3 опрошенных организаций не располагают стандартизированной системой внутренней отчетности. Поэтому можно сделать вывод, что потребность в улучшении систем контроллинга в этой сфере весьма велика.
Контроллинг в сфере общественного управления только начинает внедряться. В последние годы профессионализм управленческих кадров в экономических вопросах существенно вырос. Кроме того, весьма высоким стал спрос и на квалифицированные контроллинговые кадры (Роок, Fischer, 2002),
2.5 Контроллинг в неприбыльных организациях
Как уже было отмечено, контроллинг стал необходимым атрибутом деятельности любой организации частного сектора. Но так называемые неприбыльные организации долгое время отказывались от использования экономических инструментов управления. Однако поскольку такие организации стали получать от государства все меньше средств, то для продолжения функционирования они должны обратить внимание на инструменты контроллинга.
В рамках специального исследования были проанализированы состояние и возможные тенденции в развитии контроллинга в сфере неприбыльных организаций. В настоящее время уровень знаний о задачах и возможностях контроллинга в этой сфере сопоставим с уровнем знаний в производственных компаниях. На рис. 1.13 представлена информация о том, с какими утверждениями можно согласиться полностью, а с какими – лишь частично.


В рамках исследования было также выяснено, какие результаты ожидаются от внедрения контроллинга в неприбыльных организациях. При этом чаще всего назывались: повышение внутренней прозрачности, построение профессиональной системы управления экономикой организации, снижение затрат, обеспечение эффективного контроля и выживаемости организации (несмотря на уменьшение дотаций). Анализ этих данных показывает, что контроллинг может стать инструментом внедрения экономических принципов в деятельность таких организаций и средством преодоления кризиса. Это возможно, например, за счет критической оценки продуктового портфеля и исключения из него неэффективных продуктов (услуг). Основной проблемой, препятствующей внедрению контроллинга в неприбыльных организациях, является недостаток соответствующих знаний и кадров.
Важнейшими аспектами построения контроллинга в неприбыльных организациях следует считать: построение системы стратегического планирования, повышение степени ориентированности на клиента, а также анализ внутренних процессов. На рис. 1.14 представлена возможная схема построения контроллинга в неприбыльной организации. При внедрении контроллинга в практику этих организаций предпочтение должно отдаваться простым решениям, поскольку затраты на создание совершенной системы вряд ли окупятся и вызовут критику со стороны сотрудников.
2.6 Контроллинг в сфере здравоохранения
Внедрением контроллинга заинтересовалась система здравоохранения, в которой работают клиники, врачебные кабинеты, организации, оказывающие различные услуги, а также отраслевые производственные и торговые компании. Особая специфика этой отрасли состоит в том, что она характеризуется значительной степенью государственного вмешательства. Изменения рамочных правовых условий послужили важным стимулом к развитию контроллинга в системе здравоохранения. В этой сфере законодательно регулируется не только внешняя отчетность (например, план счетов), но и базовые внутренние аспекты – организации должны построить систему учета затрат и систему расчета результатов (Graumann, Schmidt-Graumann, 2002).
В настоящее время актуальной для здравоохранительных организаций Германии темой стала адаптация систем контроллинга к введенной в действие с 2003 г. системе оплаты труда, которая базируется на требованиях так называемых DiagnosisRelatedGroups (DRG) (Guessow, Graeulich, Ott, 2002). Концепция DRG-системы предусматривает разбиение многочисленных здравоохранительных учреждений на относительно однородные группы с примерно одинаковой структурой затрат. Это позволяет, с одной стороны, добиться прозрачности затрат на оказание сопоставимых услуг различными организациями, а с другой – разработать стандартизированные системы оплаты труда. В Австралии, где DRG-система уже внедрена, был разработан каталог, включающий 661 услугу, для каждого вида услуг были утверждены стандартные ставки стоимости.
Система экономического планирования, управления и контроля за оказанием медицинских услуг предполагает наличие системы расчета затрат и результатов, выполняющей следующие учетные цели (Guessow, Graeulich, Ott, 2002):
• достижение прозрачности отдельных видов деятельности и процессов с регистрацией объема оказанных услуг одному пациенту (от поступления до выписки);
• последующая калькуляция совокупных затрат на оказание услуг, контроль экономичности в сравнении с выручкой по соответствующей позиции в каталоге DRG;
• предоставление информации для обеспечения минимального уровня качества лечения при максимально низком объеме потребления ресурсов. Здесь особое значение имеет влияние на поведение медицинского и административного персонала, работа которого сравнивается с работой персонала в других учреждениях сферы здравоохранения.

С учетом специфических особенностей сферы здравоохранения метод расчета затрат по процессам хорошо применим для построения системы учета затрат, соответствующей требованиям DRG(Guessow, Graeulich, Ott, 2002). На рис. 1.15 представлен пример использования метода расчета затрат по процессам. Этот метод позволяет добиться прозрачности процессов, достигаемых результатов и затрат в отдельных подразделениях. Такая прозрачность служит необходимой предпосылкой построения системы экономического планирования, управления и контроля в сфере здравоохранения, а также основой для переговоров здравоохранительных организаций с государственными органами.
Другой задачей контроллинга в этой сфере является анализ рыночной информации, информации о работе лечащего персонала, информации о поставленных диагнозах и назначенном лечении. Такая информация используется для разработки предложений о дальнейшей деятельности организации. Кроме того, контроллер выполняет роль модератора при переговорах медицинского персонала с руководством организации, касающихся установления плановых значений отдельных показателей и составления бюджетов (Hecht, Schlepper, 2002).
Поскольку работа в сфере здравоохранения требует определенных знаний в области медицины (например, касающихся проверки кодирования диагнозов и оказанных услуг, разработки программ лечения или проведения анализа отклонений), то в последние годы популярным стало такое понятие, как «медицинский контроллинг», который предполагает совместную работу персонала, имеющего медицинское образование, и персонала, имеющего экономическое образование. Другими словами, контроллинг в сфере здравоохранения не может быть делегирован только одному отделу, он зависит от совместной работы многих сотрудников.
2.7 Другие «новые» потребители контроллинга
В последнее время активно обсуждается внедрение контроллинга в организациях, деятельность которых не основана на экономических принципах или, по крайней мере, не предполагает какой-либо экономической интерпретации. Типичными примерами таких организаций могут служить театры или телевизионные студии.
Контроллинг в театре должен быть адаптирован к специфическим особенностям театральной деятельности. Другими словами, традиционные инструменты контроллинга используются в этой сфере в несколько измененном виде. В этой сфере желательно, чтобы контроллер обладал навыками человека искусства. Система контроллинга в театре должна соответствовать требованиям целостности, простоты, гибкости и поддерживаться информационными технологиями и быть сконцентрированной на ключевых областях. Институциональные аспекты при этом отходят на второй план, уступая место аспектам функциональным и инструментальным.
В театре, как и в других отраслях, существует своя контроллинговая специфика. Но принципиальная задача контроллинга остается той же – информационная поддержка руководства при принятии управленческих решений (Almstedt, Biethahn, 1997, S. 386).
Специфика контроллинга в телевизионных студиях (относительно новая сфера применения контроллинга) состоит в концентрации на построении системы расчета затрат. В качестве основных статей затрат рассматриваются затраты на приобретение программ, на персонал, на привлечение сторонних услуг, на исследование рынка, на управление. Эти статьи затрат распределяются по продуктам – отдельные транслируемые программы. Объектами контроллинга служат подразделения организации – производство программ, студия, продвижение и администрация. Производству программ придается особое значение. Польза контроллинга в этой сфере связана с оптимизацией самоуправления отдельных центров ответственности, с повышением эффективности и ростом прибыли.
|