Министерство сельского хозяйства Российской Федерации
Государственное образовательное учреждение
Высшего профессионального образования
"Ижевская государственная сельскохозяйственная академия"
Факультет непрерывного профессионального образования
Контрольная работа
ЭКОНОМИЧЕСКАЯ ОЦЕНКА ИНВЕСТИЦИЙ
Студент: И.В. Малых
Гр.15 ЭКУ
Шифр 5108
4 курс
8 вариант
Руководитель: доцент кафедры
экономики АПК
Е.В. Марковина
Ижевск 2008
Комплексная задача
Мини-пекарня, производившая стандартные хлебобулочные изделия, в связи с ужесточившейся конкуренцией, решила освоить выпуск новой на рынке продукции: диетического хлеба из обогащенной муки и хлеба с повышенным содержанием витаминов. Маркетинговые исследования показали перспективность нового бизнеса и позволили спрогнозировать спрос на новую продукцию. Необходимо рассчитать экономические показатели инвестиционного проекта при условиях, содержащихся в табл.9.1 - 9.5
Режим работы организации - 2 смены по 8 часов. В году 312 рабочих дней. Состав и цена оборудования приведены в табл. 1.
Таблица 1. - Характеристика оборудования
| Наименование |
Технические характеристики |
Цена, руб. |
| Тестомес |
40 кг/смена или 80шт/смена |
12 000 |
| Расстойный шкаф |
Вместимость 40 шт, расстойка 1 ч |
3 000 |
| Печь |
160 шт/смена |
15 000 |
| Поддоны для транспортировки |
Вместимость 20 шт. |
3 000 |
Затраты на транспортировку оборудования - 3% от стоимости.
Затраты на монтаж оборудования - 2% от всех затрат на оборудование.
Необходимо 100 м2
дополнительных площадей, стоимость аренды - 50 руб/м2
в год.
Инвестиции - свои и заемные средства (10% от дополнительных капитальных вложений в основные фонды (ОФ)).
Таблица 2. - Сведения об условиях предоставления кредита
| Наименование банков |
Сроки |
Ставки |
Банк “Эхо"
Банк “Лига”
|
3 года
2 года
|
15%
13%
|
Форма возврата - ежемесячный процент по кредиту, выплата кредита в конце срока.
Таблица 3. - Расход сырья на 100 кг. по видам продукции
| Наименование сырья |
Виды продукции |
| хлеб диетический (А) |
хлеб витаминный (В) |
| Мука, кг |
70 |
68 |
| Дрожжи, кг |
2 |
2 |
| Подсолнечное масло, кг |
4 |
5 |
| Сухое молоко, кг |
8 |
10 |
| Диетические пищевые добавки, кг |
10 |
6 |
| Витаминные добавки, кг |
6 |
9 |
Таблица 4. - Стоимость сырья
| Наименование сырья |
Цена с учетом
транспортировки, руб/кг
|
| Мука |
3 |
| Дрожжи |
6 |
| Подсолнечное масло |
15 |
| Сухое молоко |
25 |
| Диетические пищевые добавки |
40 |
| Витаминные добавки |
10 |
Таблица 5. - Исходные данные по вариантам
| Показатели |
Варианты |
| 1 |
2 |
3 |
4 |
5
|
6 |
7 |
8 |
9 |
Прогнозируемый
объем продаж по
полугодиям,
тыс. шт.
|
I полугодие |
Продукт А |
27 |
33 |
31 |
32 |
35
|
29 |
36 |
28 |
30 |
| Продукт В |
27 |
33 |
31 |
32 |
35
|
29 |
36 |
28 |
30 |
| II полугодие |
Продукт А |
30 |
35 |
33 |
34 |
39
|
30 |
37 |
31 |
33 |
| Продукт В |
30 |
35 |
33 |
34 |
39
|
30 |
37 |
31 |
33 |
| III полугодие |
Продукт А |
33 |
37 |
35 |
36 |
43
|
33 |
39 |
34 |
35 |
| Продукт В |
33 |
37 |
35 |
36 |
43
|
33 |
39 |
34 |
35 |
| IV полугодие |
Продукт А |
35 |
40 |
38 |
39 |
45
|
36 |
40 |
36 |
37 |
| Продукт В |
35 |
40 |
38 |
39 |
45
|
36 |
40 |
36 |
37 |
| V полугодие |
Продукт А |
37 |
45 |
43 |
44 |
47
|
38 |
41 |
39 |
40 |
| Продукт В |
37 |
45 |
43 |
44 |
47
|
38 |
41 |
39 |
40 |
| VI полугодие |
Продукт А |
38 |
46 |
44 |
48 |
49
|
41 |
43 |
42 |
43 |
| Продукт В |
38 |
46 |
44 |
48 |
49
|
41 |
43 |
42 |
43 |
Потребление всем оборудованием мощности в час - 100 кВт. Стоимость 1 кВт×ч - 50 коп.
Численность производственного персонала - 12 чел.
Среднемесячная заработная плата - 1300 руб.
Районный коэффициент - 25%.
Заработная плата управленческого персонала - 50% от з/платы производственного персонала.
Средняя норма амортизационных отчислений - 10% (продолжительность проекта больше, чем рассматриваемый в задаче период).
Забиваем Сайты В ТОП КУВАЛДОЙ - Уникальные возможности от SeoHammer
Каждая ссылка анализируется по трем пакетам оценки: SEO, Трафик и SMM.
SeoHammer делает продвижение сайта прозрачным и простым занятием.
Ссылки, вечные ссылки, статьи, упоминания, пресс-релизы - используйте по максимуму потенциал SeoHammer для продвижения вашего сайта.
Что умеет делать SeoHammer
— Продвижение в один клик, интеллектуальный подбор запросов, покупка самых лучших ссылок с высокой степенью качества у лучших бирж ссылок.
— Регулярная проверка качества ссылок по более чем 100 показателям и ежедневный пересчет показателей качества проекта.
— Все известные форматы ссылок: арендные ссылки, вечные ссылки, публикации (упоминания, мнения, отзывы, статьи, пресс-релизы).
— SeoHammer покажет, где рост или падение, а также запросы, на которые нужно обратить внимание.
SeoHammer еще предоставляет технологию Буст, она ускоряет продвижение в десятки раз,
а первые результаты появляются уже в течение первых 7 дней.
Зарегистрироваться и Начать продвижение
Расходы на хранение сырья и готовой продукции - 1% от стоимости сырья.
Управленческие расходы - 50% от расходов на оплату труда.
Реклама и сбыт - 10% от общей суммы постоянных затрат.
Цена определяется исходя из величины 1 булки - 500 г и уровня рентабельности 20%. Реализация - оптом.
Налоги, относимые на финансовый результат, принять на уровне 30% от выручки.
Допущения: вся производимая продукция реализуется; арендная плата вносится равными долями раз в полугодие; тех. процесс упрощен; сырье приобретается по мере надобности; все производственные издержки, кроме сырьевых, распределяются по видам продукции в равных долях; не выделяются операции с оборотными средствами.
Решение:
Исходя из прогнозируемого объема спроса и производительности оборудования за смену рассчитываются потребности в оборудовании и затраты на его приобретение:
Требуемая Объем реализации Объем реализации
Производительность = продукта А + продукта В
за смену 6 месяцев
´ количество
´ количество смен
дней в месяце за сутки
Производительность тестомеса - 80 шт/ смена, производительность одной печи - 160 шт/смена.
Требуемая производительность за смену = (49 000+49 000) / 6*26*2 = 314 шт/смена
Для определения количества оборудования требуемую производительность делим на производительность 1 ед. оборудования.
Таб.1
| Расчет стоимости оборудования, 1 полугодие |
| Наименование |
1 полугодие |
| Количество, шт |
Стоимость 1 ед. дополнительных ОФ, руб. |
Транспортировка, руб. |
Установка и монтаж, руб. |
Стоимость дополнительных ОФ, руб. |
| Тестомес
|
4 |
12 000 |
1 440 |
989 |
48 000 |
| Расстойный шкаф |
8 |
3 000 |
720 |
494 |
24 000 |
| Печь |
2 |
15 000 |
900 |
618 |
30 000 |
| Поддоны для транспортировки |
16 |
3 000 |
1 440 |
989 |
48 000 |
| Всего |
4 500 |
3 090 |
150 000 |
Потребность в сырье рассчитывается по приведенной рецептуре и весу готового изделия:
Потребность = Доля сырья в ´ Прогнозируемый
в сырье готовом изделии выпуск
Затраты на приобретение = Потребность в сырье * цена с учетом транспортировки
| Таб.2 |
| Потребность в сырье
|
| Виды |
Потребность, кг |
| I полугодие |
II полугодие |
III полугодие |
IV полугодие |
V полугодие |
VI полугодие |
Доля сырья в готовом изделии |
| А |
В |
А |
В |
А |
В |
А |
В |
А |
В |
А |
В |
А |
В |
| Объем реализации |
35 000 |
35 000 |
39 000 |
39 000 |
43 000 |
43 000 |
45 000 |
45 000 |
47 000 |
47 000 |
49 000 |
49 000 |
100 |
100 |
| Мука |
24 500 |
23 800 |
27 300 |
26 520 |
30 100 |
29 240 |
31 500 |
30 600 |
32 900 |
31 960 |
34 300 |
33 320 |
0,7 |
0,68 |
| Дрожжи |
700 |
700 |
780 |
780 |
860 |
860 |
900 |
900 |
940 |
940 |
980 |
980 |
0,02 |
0,02 |
| Подсолнечное масло |
1 400 |
1 750 |
1 560 |
1 950 |
1 720 |
2 150 |
1 800 |
2 250 |
1 880 |
2 350 |
1 960 |
2 450 |
0,04 |
0,05 |
| Сухое молоко |
2 800 |
3 500 |
3 120 |
3 900 |
3 440 |
4 300 |
3 600 |
4 500 |
3 760 |
4 700 |
3 920 |
4 900 |
0,08 |
0,1 |
| Диетические пищевые добавки |
3 500 |
2 100 |
3 900 |
2 340 |
4 300 |
2 580 |
4 500 |
2 700 |
4 700 |
2 820 |
4 900 |
2 940 |
0,1 |
0,06 |
| Витаминные добавки |
2 100 |
3 150 |
2 340 |
3 510 |
2 580 |
3 870 |
2 700 |
4 050 |
2 820 |
4 230 |
2 940 |
4 410 |
0,06 |
0,09 |
Таб.3
| Затраты на приобретение сырья, руб. |
| Наименование сырья |
I полугодие |
II полугодие |
III полугодие |
IV полугодие |
V полугодие |
VI полугодие |
Цена сырья, руб/кг |
| А |
В |
А |
В |
А |
В |
А |
В |
А |
В |
А |
В |
| Мука |
73 500 |
71 400 |
81 900 |
79 560 |
90 300 |
87 720 |
94 500 |
91 800 |
98 700 |
95 880 |
102 900 |
99 960 |
3 |
| Дрожжи |
4 200 |
4 200 |
4 680 |
4 680 |
5 160 |
5 160 |
5 400 |
5 400 |
5 640 |
5 640 |
5 880 |
5 880 |
6 |
| Подсолнечное масло |
21 000 |
26 250 |
23 400 |
29 250 |
25 800 |
32 250 |
27 000 |
33 750 |
28 200 |
35 250 |
29 400 |
36 750 |
15 |
| Сухое молоко |
70 000 |
87 500 |
78 000 |
97 500 |
86 000 |
107 500 |
90 000 |
112 500 |
94 000 |
117 500 |
98 000 |
122 500 |
25 |
| Диетические пищевые добавки |
140 000 |
84 000 |
156 000 |
93 600 |
172 000 |
103 200 |
180 000 |
108 000 |
188 000 |
112 800 |
196 000 |
117 600 |
40 |
| Витаминные добавки |
21 000 |
31 500 |
23 400 |
35 100 |
25 800 |
38 700 |
27 000 |
40 500 |
28 200 |
42 300 |
29 400 |
44 100 |
10 |
| Всего |
329 700 |
304 850 |
367 380 |
339 690 |
405 060 |
374 530 |
423 900 |
391 950 |
442 740 |
409 370 |
461 580 |
426 790 |
- |
Расчет оплаты труда.
ФОТ работников = Численность производственного персонала* Среднемесячная зарплата* (1+ Районный коэффициент);
Заработная плата АУП = ФОТ работников * 0,5;
Таб. №4
| Расчет оплаты труда за месяц |
| Наименование |
Сумма, руб. |
| Численность производственного персонала, чел |
12 |
| Среднемесячная зарплата, руб. |
1300 |
| Районный коэффициент,% |
25 |
| ФОТ работников, руб. |
19 500 |
| Заработная плата АУП, руб. |
9 750 |
| Итого |
29 250 |
Определение постоянных затрат.
Амортизационные отчисления = Стоимость дополнительных ОФ * 0,1/2
Аренда = 100 * 50/2
Управленческие расходы = Оплата труда за месяц * 0,5 * 6
Таб. №5
| Постоянные затраты за полугодие |
| Наименование |
Сумма, руб. |
| Амортизационные отчисления |
7 500 |
| Аренда |
2 500 |
| Управленческие расходы |
87 750 |
| Всего |
97 750 |
Расчет полной себестоимости.
Полная себестоимость = Затраты на сырье и материалы + Энергия + ЗП производственных рабочих + ЗП управленческого персонала + Амортизация + Реклама + Хранение продукции
Себестоимость ед. изделия = Полная себестоимость / Объем производства
| Таб. №6 |
| Расчет полной себестоимости
|
| Статьи затрат |
Величина показателя по периодам, тыс. руб. |
| I полугодие |
II полугодие |
III полугодие |
IV полугодие |
V полугодие |
VI полугодие |
| А |
В |
А |
В |
А |
В |
А |
В |
А |
В |
А |
В |
| Сырье и материалы |
329 700 |
304 850 |
367 380 |
339 690 |
405 060 |
374 530 |
423 900 |
391 950 |
442 740 |
409 370 |
461 580 |
426 790,00 |
| Энергия |
1 248 |
1 248 |
1 248 |
1 248 |
1 248 |
1 248 |
1 248 |
1 248 |
1 248 |
1 248 |
1 248 |
1 248,00 |
| ЗП производственных рабочих |
117 000 |
117 000 |
117 000 |
117 000 |
117 000 |
117 000 |
117 000 |
117 000 |
117 000 |
117 000 |
117 000 |
117 000,00 |
| ЗП управленческого персонала |
58 500 |
58 500 |
58 500 |
58 500 |
58 500 |
58 500 |
58 500 |
58 500 |
58 500 |
58 500 |
58 500 |
58 500,00 |
| Амортизация |
7 500 |
7 500 |
7 500 |
7 500 |
7 500 |
7 500 |
7 500 |
7 500 |
7 500 |
7 500 |
7 500 |
7 500,00 |
| Реклама |
977,50 |
977,50 |
977,50 |
977,50 |
977,50 |
977,50 |
977,50 |
977,50 |
977,50 |
977,50 |
977,50 |
977,50 |
| Хранение продукции |
3 297,00 |
3 048,50 |
3 673,80 |
3 396,90 |
4 050,60 |
3 745,30 |
4 239,00 |
3 919,50 |
4 427,40 |
4 093,70 |
4 615,80 |
4 267,90 |
| Себестоимость продукции |
518 222,50 |
493 124,00 |
556 279,30 |
528 312,40 |
594 336,10 |
563 500,80 |
613 364,50 |
581 095,00 |
632 392,90 |
598 689, 20 |
651 421,30 |
616 283,40 |
| Себестоимость изделия, руб. |
14,81 |
14,09 |
14,26 |
13,55 |
13,82 |
13,10 |
13,63 |
12,91 |
13,46 |
12,74 |
13,29 |
12,58 |
| Транспор. оборудования, монтаж |
7 590 |
| Таб. №7 |
| Расчет цены изделия, и выручки руб.
|
| Показатели |
Величина показателя по периодам, тыс. руб. |
| I полугодие |
II полугодие |
III полугодие |
IV полугодие |
V полугодие |
VI полугодие |
| А |
В |
А |
В |
А |
В |
А |
В |
А |
В |
А |
В |
| Себестоимость изделия, руб. |
14,81 |
14,09 |
14,26 |
13,55 |
13,82 |
13,10 |
13,63 |
12,91 |
13,46 |
12,74 |
13,29 |
12,58 |
| Рентабельность производства,% |
20,00 |
20,00 |
20,00 |
20,00 |
20,00 |
20,00 |
20,00 |
20,00 |
20,00 |
20,00 |
20,00 |
20,00 |
| Цена изделия, руб. |
17,77 |
16,91 |
17,12 |
16,26 |
16,59 |
15,73 |
16,36 |
15,50 |
16,15 |
15,29 |
15,95 |
15,09 |
| Объем производства, шт. |
35 000 |
35 000 |
39 000 |
39 000 |
43 000 |
43 000 |
45 000 |
45 000 |
47 000 |
47 000 |
49 000 |
49 000 |
| Выручка от реализации, руб. |
621 867 |
591 748 |
667 535 |
633 974 |
713 203 |
676 200 |
736 037 |
697 314 |
758 871 |
718 427 |
781 705 |
739 540 |
| Таб. №8 |
| Расчет прибыли, тыс. руб.
|
| Показатели |
Величина показателя по периодам, тыс. руб. |
| I полугодие |
II полугодие |
III полугодие |
IV полугодие |
V полугодие |
VI полугодие |
| А |
В |
А |
В |
А |
В |
А |
В |
А |
В |
А |
В |
| Выручка от реализации |
621 867,0 |
591 748,8 |
667 535,2 |
633 974,9 |
713 203,3 |
676 201,0 |
736 037,4 |
697 314,0 |
758 871,5 |
718 427,0 |
781 705,6 |
739 540,1 |
| Производственные затраты |
518 222,5 |
493 124,0 |
556 279,3 |
528 312,4 |
594 336,1 |
563 500,8 |
613 364,5 |
581 095,0 |
632 392,9 |
598 689,2 |
651 421,3 |
616 283,4 |
| Валовая прибыль |
103 644,5 |
98 624,8 |
111 255,9 |
105 662,5 |
118 867,2 |
112 700,2 |
122 672,9 |
116 219,0 |
126 478,6 |
119 737,8 |
130 284,3 |
123 256,7 |
| Налоги на прибыль |
31 093,35 |
29 587,44 |
33 376,76 |
31 698,74 |
35 660,17 |
33 810,05 |
36 801,87 |
34 865,70 |
37 943,57 |
35 921,35 |
39 085,28 |
36 977,00 |
| Чистая прибыль |
72 551,15 |
69 037,36 |
77 879,10 |
73 963,74 |
83 207,05 |
78 890,11 |
85 871,03 |
81 353,30 |
88 535,01 |
83 816,49 |
91 198,98 |
86 279,68 |
Расчет цены изделия.
Цена изделия = Себестоимость изделия * (1+20/100)
Выручка от реализации = (Цена изделия - Себестоимость изделия) * Объем реализации.
Расчет прибыли.
Выручка от реализации = Объем реализации * Цена изделия;
Валовая прибыль = Выручка от реализации - Производственные затраты (Полная себестоимость);
Сервис онлайн-записи на собственном Telegram-боте
Попробуйте сервис онлайн-записи VisitTime на основе вашего собственного Telegram-бота:
— Разгрузит мастера, специалиста или компанию;
— Позволит гибко управлять расписанием и загрузкой;
— Разошлет оповещения о новых услугах или акциях;
— Позволит принять оплату на карту/кошелек/счет;
— Позволит записываться на групповые и персональные посещения;
— Поможет получить от клиента отзывы о визите к вам;
— Включает в себя сервис чаевых.
Для новых пользователей первый месяц бесплатно.
Зарегистрироваться в сервисе
Налоги на прибыль = Валовая прибыль * 0,3;
Чистая прибыль = Валовая прибыль - Налоги на прибыль;
Прогноз денежных потоков.
Инвестиционный кредит = Стоимость дополнительных ОФ * 0,1;
Инвестиционные издержки = Стоимость дополнительных ОФ + Транспортные расходы + Расходы на установку и монтаж;
Чистый денежный поток
- разность между суммами поступлений и выплат денежных средств компании за определенный период времени. Чистый денежный поток рассчитывается с учетом выплат, дивидендов и налогов. Чистый денежный поток = Чистая прибыль - Проценты за кредит - инвестиционные издержки;
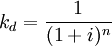
КОЭФФИЦИЕНТ ДИСКОНТИРОВАНИЯ [discount factor] - коэффициент, применяемый для дисконтирования, т.е. приведения величины денежного потока на m-ом шаге многошагового расчета эффективности инвестиционного проекта к моменту, называемому моментом приведения (он не обязательно совпадает с базовым моментом). Рассчитывается по формуле

где kd - коэффициент дисконтирования; n - промежуток между оцениваемым периодом и моментом приведения (в годах); Е - норма дисконта, которая может быть как единой для всех шагов расчета, так и переменной.
Дисконтированный поток денег - текущая сумма наличными, эквивалентная размеру платежа или потоку платежей, которые должны быть получены в будущем.
PV = FV * Коэффициент дисконтирования
,
где
PV-
текущая стоимость; FV-
будущая стоимость.
Чистая текущая стоимость (чистый приведенный эффект, чистый дисконтированный доход, Net Present Value, NPV) - сумма текущих стоимостей всех спрогнозированных, с учетом ставки дисконтирования, денежных потоков.
1. Определяется текущая стоимость затрат (Io), т.е. решается вопрос, сколько инвестиций нужно зарезервировать для проекта.
2. Рассчитывается текущая стоимость будущих денежных поступлений от проекта, для чего доходы за каждый год CF (кеш-фло) приводятся к текущей дате.
Результаты расчетов показывают, сколько средств нужно было бы вложить сейчас для получения запланированных доходов, если бы ставка доходов была равна барьерной ставке.
3. Текущая стоимость инвестиционных затрат (Io) сравнивается с текущей стоимостью доходов (PV). Разность между ними составляет чистую текущую стоимость доходов (NPV):
NPV = PV - Io;
NPV показывает чистые доходы или чистые убытки инвестора от помещения денег в проект по сравнению с хранением денег в банке. Если NPV > 0, то можно считать, что инвестиция приумножит богатство предприятия и инвестицию следует осуществлять. При NPV < 0, то значит доходы от предложенной инвестиции недостаточно высоки, чтобы компенсировать риск, присущий данному проекту (или с точки зрения цены капитала не хватит денег на выплату дивидендов и процентов по кредитам) и инвестиционное предложение должно быть отклонено.
Таб. №9
| Прогноз денежных потоков, тыс. руб. |
| Наименование показателя |
I полугодие |
II полугодие |
III полугодие |
IV полугодие |
V полугодие |
VI полугодие |
| Чистая прибыль |
141 588,51 |
151 842,84 |
162 097,17 |
167 224,33 |
172 351,49 |
177 478,66 |
| Амортизация |
7 500 |
7 500 |
7 500 |
7 500 |
7 500 |
7 500 |
| Инвестиционный кредит |
15 000 |
| Инвестиционные издержки |
142 590 |
| Проценты за кредит, 13% |
975 |
975 |
975 |
975 |
0 |
0 |
| Проценты за кредит, 15% |
1 125 |
1 125 |
1 125 |
1 125 |
1 125 |
1 125 |
| Возврат инвестиционного кредита, 13% |
15 000 |
| Возврат инвестиционного кредита, 15% |
15 000 |
| Чистый денежный поток при кредите под 13% |
-9 476,49 |
143 367,84 |
153 622,17 |
143 749,33 |
164 851,49 |
169 978,66 |
| Чистый денежный поток при кредите под 15% |
-9 626,49 |
143 217,84 |
153 472,17 |
158 599,33 |
163 726,49 |
153 853,66 |
| Коэффициент дисконтирования, 13% |
0,96 |
0,94 |
0,91 |
0,88 |
0,85 |
0,83 |
| Коэффициент дисконтирования, 15% |
0,97 |
0,93 |
0,90 |
0,87 |
0,83 |
0,80 |
| Дисконтированный поток денег, при 13% |
-9 139,94 |
134 617,69 |
139 774,99 |
126 737,93 |
140 837,68 |
140 716,68 |
| Дисконтированный поток денег при 15% |
-9 328,10 |
133 225,90 |
137 694,61 |
137 241,17 |
136 646,28 |
123 846,13 |
| NPV, 13%
|
516 735,98 |
| NPV, 15% |
374 145,98 |
| IRR
|
14,16 |
Внутренняя норма доходности (IRR) - этот показатель отражает безубыточную норму рентабельности. Иными словами, если ставка дисконта ниже внутренней нормы рентабельности, инвестиции будут приносить положительную чистую приведенную стоимость (и в данный проект следует вкладывать средства), но если ставка дисконта выше показателя IRR, то значение чистой приведенной стоимости для рассматриваемых капиталовложений будет отрицательным и от вложения средств следует воздержаться. IRR - это обеспечивающая безубыточный результат ставка дисконта, при которой суммы поступающей денежной наличности равны суммам убывающей денежной наличности.
Вывод
Решение освоить выпуск новой продукции: диетического хлеба из обогащенной муки и хлеба с повышенным содержанием витаминов является экономически выгодным и затраты окупаются во второй год использования оборудования. Более выгодный кредит предоставляется в банке "Лига", дисконтная ставка в это банке ниже внутренней нормы доходности, инвестиции будут приносить прибыль.
Список литературы:
1. www.aup.ru
2. Е.Г. Непомнящий, Инвестиционное проектирование, Учебное пособие. Таганрог: Изд-во ТРТУ, 2003.
3. Г.Я. Гольдштейн, Стратегический инновационный менеджмент, Учебное пособие. Таганрог: Изд-во ТРТУ, 2004.
4. М.И. Ример, Экономическая оценка инвестиций: Учебное пособие Изд-во: Питер, 2006.
5. Графова Г.Ф., Экономическая оценка инвестиций. Изд.: Дашков и К ", 2006
|