|
Курсовая работа на тему:
«Факторный анализ уровня издержек обращения»
Введение
На уровень издержек обращения оказывают влияние как управляемые (зависящие от деятельности предприятия), так и неуправляемые (независящие) факторы.
К неуправляемым факторам относится фактор цен (кроме цен на собственные товары), так как цены на материалы, тарифы на транспортные услуги, арендные ставки зависят от внешних условий и оказывают прямое воздействие на сумму издержек.
К управляемым можно отнести факторы организации и управления хозяйственными процессами, которые включают степень рационального использования основных и оборотных средств, изучение конъюнктуры рынка, выбор эффективных форм торгового обслуживания, повышение производительности труда, рациональное осуществление кредитных и финансовых операций.
Следует иметь в виду, что не всегда абсолютное увеличение затрат ухудшает финансовый результат. Например, улучшение качества торгового обслуживания повышает уровень издержек. Но, если повышение качества осуществляется эффективно, абсолютный рост затрат будет сопровождаться снижением их удельного веса в объеме товарооборота или по отношению к прибыли.
При определении воздействия факторов на издержки исчисляют влияние объема товарооборота, его структуры и скорости.
Рост товарооборота приводит к увеличению суммы затрат, однако их относительный уровень при этом должен уменьшаться. Уменьшение товарооборота обычно сопровождается снижением абсолютной величины издержек и повышением относительного уровня.
1.
Особенности анализа издержек в условиях меняющихся цен
Динамическое изменение величины издержек в условиях инфляции приводит к искажению аналитических расчетов, возникающему из-за инфляционных процессов. Поэтому сопоставление издержек и товарооборота различных периодов временного ряда возможно лишь при условии выражения этих показателей в единых, т. е. в сопоставимых ценах. Сопоставимыми должны быть цены на выполненные работы и оказанные услуги, транспортные тарифы, ставки за коммунальные услуги
Для приведения цен в сопоставимый вид можно использовать индекс цен на товар или индекс инфляции. При делении отчетной суммы издержек на индекс цены соответствующих видов затрат или коэффициент инфляции получают сумму затрат в сопоставимых ценах (или приведенную к сопоставимому виду). Полученная сумма затрат в сопоставимых ценах представляет отчетное значение издержек, приведенной к сопоставимым ценам (ценам базисного периода).
Забиваем Сайты В ТОП КУВАЛДОЙ - Уникальные возможности от SeoHammer
Каждая ссылка анализируется по трем пакетам оценки: SEO, Трафик и SMM.
SeoHammer делает продвижение сайта прозрачным и простым занятием.
Ссылки, вечные ссылки, статьи, упоминания, пресс-релизы - используйте по максимуму потенциал SeoHammer для продвижения вашего сайта.
Что умеет делать SeoHammer
— Продвижение в один клик, интеллектуальный подбор запросов, покупка самых лучших ссылок с высокой степенью качества у лучших бирж ссылок.
— Регулярная проверка качества ссылок по более чем 100 показателям и ежедневный пересчет показателей качества проекта.
— Все известные форматы ссылок: арендные ссылки, вечные ссылки, публикации (упоминания, мнения, отзывы, статьи, пресс-релизы).
— SeoHammer покажет, где рост или падение, а также запросы, на которые нужно обратить внимание.
SeoHammer еще предоставляет технологию Буст, она ускоряет продвижение в десятки раз,
а первые результаты появляются уже в течение первых 7 дней.
Зарегистрироваться и Начать продвижение
Аналогично получают приведенное значение товарооборота делением отчетного товарооборота на средний индекс цен соответствующих товаров или коэффициент инфляции. В дальнейших аналитических расчетах приведенные показатели используют вместо отчетных для выявления изменения работы предприятия в чистом виде, т. е. без влияния ценовых факторов.
В общем, абсолютное изменение показателя в условиях инфляции представляет собой изменение, отражающее как результат работы организации (в чистом виде), так и изменение, происшедшее из-за увеличения инфляции (т. е. под влиянием ценовых факторов). Поэтому абсолютное изменение в чистом виде (без влияния цен) находят как разность между приведенным и базисным значениями показателя.
Изменение показателя под влиянием ценовых факторов будет равно разности между отчетным и приведенным значением показателя. Изменение показателя в чистом виде в сумме с изменением показателя под влиянием ценовых факторов должно составить общее абсолютное изменение этого показателя.
В процессе анализа следует иметь в виду, что не всегда индекс цены на отдельный товар или услугу следует отождествлять с индексом (коэффициентом) инфляции, поскольку под инфляцией понимается обесценивание денежной единицы, а субъективное изменение цены на отдельный товар отдельным предприятием еще не свидетельствует об изменении стоимости денег, следовательно, уровне инфляции. Поэтому такой индекс цен нельзя назвать индексом инфляции. Индекс цен отдельных статей расходов используют при их разделении на не зависящие и зависящие от цен для определения влияния цен на издержки.
В условиях инфляции, а не частичного изменения цен на отдельные товары, сопоставление относительных показателей (т. е. их уровней) исключает искажение аналитических расчетов, возникающее из-за инфляционных процессов. Поэтому при общей (средней) величине индекса цен для всех видов товаров (работ, услуг) и затрат уровни расходов по отношению к товарообороту следует сравнивать без деления их отчетных значений на индекс цены (инфляции).
Рассмотрим пример расчетов в условиях влияния ценового фактора на основе данных табл. 1. Расчет темпа роста по статьям затрат, не подверженным ценовым факторам осуществляется делением величины отчетного периода к базисной без корректировки. Поэтому отношение отчетной суммы износа основных средств к базисной [(гр. 3) / (гр. 2) табл. 1] отражает темп роста без влияния цены (гр. 9 табл. 1). Разница между издержками отчетного и базисного периодов показывает абсолютную экономию, а в случае их увеличения - абсолютный перерасход затрат.
Сервис онлайн-записи на собственном Telegram-боте
Попробуйте сервис онлайн-записи VisitTime на основе вашего собственного Telegram-бота:
— Разгрузит мастера, специалиста или компанию;
— Позволит гибко управлять расписанием и загрузкой;
— Разошлет оповещения о новых услугах или акциях;
— Позволит принять оплату на карту/кошелек/счет;
— Позволит записываться на групповые и персональные посещения;
— Поможет получить от клиента отзывы о визите к вам;
— Включает в себя сервис чаевых.
Для новых пользователей первый месяц бесплатно.
Зарегистрироваться в сервисе
2. Анализ влияния товарооборота на издержки
Оценка абсолютных отклонений отражает изменение затрат, но не позволяет оценить целесообразность этого изменения. В связи с тем, что рост товарооборота должен сопровождаться ростом издержек, необходимо выявить, пропорционально ли меняются издержки по отношению к росту товарооборота. Чтобы оценить эффективность изменения руководству нужно определить, оправдывает ли увеличение объема продаж связанное с ним увеличение затрат, или рост издержек опережает рост товарооборота и, таким образом, дополнительные затраты не способствуют в достаточной мере увеличению объема реализации. Имея данные о переменных и постоянных издержках можно выявить величину относительной экономии или перерасхода, влияние товарооборота на величину затрат.
Таблица 1.
Анализ издержек обращения с учетом ценовых факторов.
| Наименование показателя
|
Базисный период
|
Отчетный период
|
Абсолютное изменение
|
Индекс цен (инфляции), долей
|
Приведенное значение
(гр. 3/тр. 5)
|
Изменение в чистом виде
<гр.б-гр.2)
|
Влияние ценовых факторов (гр.3-п>.6)
|
Темп роста без влияния цен, %
(гр.6:гр.2х100)
|
Темп изменения уровня, %
[(гр.3.-гр.2/гр.2) •100]
|
| 1
|
2
|
3
|
4
|
5
|
6
|
7
|
8
|
9
|
10
|
| Товарооборот, тыс. руб. Издержки обращения
в том числе:
транспортные расходы
уровень транспортных расходов, %
износ основных средств % уровень износа основных средств, %
|
120
2,40
2
1,32
1,1
|
200
5
2,5
2,4
1,2
|
80
2,6
0,5
1,08
0,1
|
1,5
1,6
-
-
-
|
133,33
3,13
2.341
-
-
|
13,33
0,73
0,34
-
-
|
66,67
1,88
0,16
-
-
|
111,11
130,21
117,19 181.822
109.092
|
-
-
25,00
-
9,09
|
| 1 Приведенный уровень расходов рассчитывается как отношение приведенной абсолютной величины соответствующей статьи расходов к приведенному товарообороту (гр. 6).
2 При отсутствии ценового фактора темп роста равен отношению отчетной суммы расходов к базисной (гр. 3: гр. 2).
|
Пример.
На основе приведенных данных за два смежных периода (табл. 2.) определим относительную экономию затрат и влияние изменения товарооборота на издержки.
Приступая к расчетам, находят величины абсолютной экономии по ряду показателей.
Для расчета относительной экономии издержек обращения находят скорректированную к прошлому году величину затрат. Чтобы определить скорректированную к прошлому году величину затрат, сумму переменных издержек прошлого периода умножают на темп роста товарооборота в процентах (на 100,7%). Умножение лишь переменной части издержек обусловлено тем, что переменные затраты изменяются пропорционально изменению товарооборота. Полученный результат складывают с величиной постоянных издержек прошлого периода.
2760 x100,7/100 = 2779,32 тыс. руб.;
2779,32 + 889 = 3668,32 тыс. руб.
Скорректированное значение издержек показывает, какова величина издержек будет закономерной при данном изменении товарооборота. Поэтому превышение скорректированной суммы издержек над фактической означает относительную экономию на сумму разности между ними, а превышение фактической суммы издержек над скорректированной свидетельствует об относительном перерасходе.
| Наименование показателя
|
Предшествующий
год
|
Отчетный
год
|
Абсолютная
экономия,
|
Темп
роста,
%
|
| Объем товарооборота, тыс. руб.
|
45 012
|
45 342
|
|
100,7
|
| Сумма издержек обращения,
тыс. руб.
|
3649
|
3488
|
-161
|
95,59
|
| Уровень издержек обращения,
проц. к товарообороту
|
8,11
|
7,69
|
-0,41
|
94,89
|
| Сумма переменных издержек обращения, тыс. руб.
|
2760
|
2770
|
10,00
|
100,4
|
| Сумма постоянных издержек
обращения, тыс. руб.
|
889
|
718
|
-171,00
|
80,76
|
| Сумма издержек, скорректированная по прошлому году
|
|
3668
|
|
|
| Скорректированный уровень
издержек обращения по прошлому году, % к товарообороту
|
|
8,09
|
|
|
| Относительная экономия издержек:
|
|
|
|
|
| по сумме, тыс. руб.
|
|
-180
|
|
|
| по уровню, % к товарообороту
|
|
-0,4
|
|
|
| Влияние изменения объема товарооборота:
|
|
|
|
|
| по сумме
|
|
19
|
|
|
| по уровню
|
|
-0,02
|
|
|
Таблица 2.
Анализ издержек обращения за смежные годы.
Таким образом, относительную экономию (перерасход) издержек обращения определяют как разность между отчетной и скорректированной суммами затрат:
3488 - 3668 = -180 тыс. руб.
Отрицательный знак свидетельствует об экономии издержек, а положительный - об их перерасходе.
Скорректированный уровень издержек обращения по прошлому году определяется как отношение скорректированной суммы затрат к отчетному товарообороту:
3668 • 100/45342 = 8,09%.
Влияние изменения товарооборота находят вычитанием из скорректированной суммы издержек фактического их размера предшествующего года: 3668 - 3649 = 19 тыс. руб.
Для определения относительной экономии затрат по уровню из отчетного уровня издержек вычитают их скорректированный уровень: 7,69 - 8,09 = -0,4%.
Влияние товарооборота по уровню находят как разность между скорректированным уровнем издержек и уровнем прошлого периода: 8,09 - 8,11 = -0,02%.
Таким образом, для увеличения объема продаж предприятие закономерно могло увеличить сумму издержек на 19 тыс. руб. Но фактически предприятие снизило издержки обращения в общем объеме на 161 тыс. руб. В результате достигнуто снижение уровня затрат в отношении к товарообороту на 0,4% и получена экономия издержек в сумме 180 тыс. руб. относительно роста товарооборота.
В случае инфляции
отчетные величины объема продаж и издержек обращения приводят к базисным ценам указанным ранее способом, т. е. находят приведенные значения. Затем вместо отчетных абсолютных величин товарооборота и издержек подставляют соответствующие приведенные значения. В остальном методика расчета не меняется.
Пример расчета относительной экономии и влияния товарооборота на издержки при изменении цен на товар приведен в табл. 3. Расчет влияния цен товаров на издержки представлен в табл. 4.
Таблица 3.
Расчет относительной экономии и влияния товарооборота на издержки обращения при изменении цены на товар.
| Наименование показателя
|
Базисный период
|
Отчетный период
|
Абсолютное изменение (гр.2-гр. 1)
|
Индекс цен
|
Приведенное значение (гр.2/ /гр.4)
|
Темп роста без влияния цены, % (гр-5/ /гр.1)
|
Издержки, скорректированные по прошлому году1
|
Относительная экономия (перерасход) издержек (гр.2-гр.7)
|
Влияние товарооборота (гр.7-гр. 1)
|
| А
|
1
|
2
|
3
|
4
|
5
|
6
|
7
|
8
|
9
|
| Товарооборот, тыс. руб.
|
4000
|
5000
|
1000
|
1,1
|
4545,45
|
113,64
|
|
|
|
| Издержки обращения, тыс. руб.
|
350
|
405
|
55
|
|
|
|
377,27
|
27,73
|
27,27
|
| в том числе: условно-переменные
|
200
|
250
|
50
|
|
|
|
227,27
|
22,73
|
27,27
|
| условно-постоянные
|
150
|
155
|
5
|
|
|
|
|
|
|
| Уровень издержек, в % к товарообороту
|
8,75
|
8,1
|
-0,65
|
|
|
|
8,322
|
-0,20
|
-0,45
|
1
Сумма издержек, скорректированная по прошлому году, определяется умножением базисной величины переменных издержек
(гр. 1) на темп роста товарооборота, рассчитанный без влияния цены (гр. 6), и делением на 100. Полученная сумма складывается с размером условно-постоянных затрат базисного периода (гр. 1).
Уровень издержек, скорректированный к прошлому году, равен умноженному на 100 отношению суммы скорректированных издержек (гр. 7) к приведенной величине товарооборота (гр. 5).
Правильность расчетов подтверждается равенствами: гр. 8 + гр. 9 = гр. 3.
Таблица 4.
Влияние цен товаров на издержки обращения
| Наименование показателя
|
Период
|
Абсолютное изменение
|
Индекс цен, долей
|
Приведенное значение (гр.2/гр.4)
|
Изменение в чистом виде (гр.5-гр. 1)
|
Влияние цены (гр.2-гр.5)
|
| предыдущий
|
отчетный
|
| А
|
1
|
2
|
3
|
4
|
5
|
7
|
6
|
| Товарооборот
Издержки обращения
в том числе
зависящие от изменения цен
Уровень переменных издержек, зависящих от изменения цен, % к товарообороту
|
10 780
1107
577,5
5,36
|
11495
1208
605
5,26
|
715
101
27,5
-0,1
|
1,5
-
1,25
-
|
7663,33
484
6,321
|
-3116,67
-93,5
0,96
|
3831,67
121
-1,06
|
| 1 Приведенный уровень издержек определяется отношением их суммы к приведенному значению товарооборота
(гр. 4).
|
Влияние на издержки:
цен на товары
∆ИЦ
= ∆NЦ
Г„ = 3831,67 • 5,36 : 100 = 205,38 тыс. руб.;
товарооборота без влияния цен
∆ИПР
= ∆NПР
• Yиo
= -3116,67 • 5,36: 100 = -167,05 тыс. руб.
товарооборота и цен
∆ИN
= ∆N- YИо
= 715 • 5,36:100 = 38,32 тыс. руб.
Проверка
∆ИN
= ∆ИЦ
+ ∆NN
пр
= 205,38 - 167,05 = 38,33 тыс. руб.;
гр. 3 - гр. 6 + гр. 7, т. е.:
абсолютное изменение товарооборота ∆N= 3831,67 - 3116,67 = 715 тыс. руб.;
абсолютное изменение зависящих издержек ∆И - 121 - 93,5 = 27,5 тыс. руб.;
изменение уровня зависящих издержек ∆Y= -1,06 + 0,96 = -0,1%.
Влияние товарооборота на условно переменные издержки можно определить иным способом.
Пример.
На основе данных табл. 5. необходимо определить влияние товарооборота на условно-переменные статьи издержек обращения и их относительную экономию либо перерасход.
Приступая к решению, находим уровни издержек отношением их величин по статьям к товарообороту соответствующего периода с умножением на 100. Итоговый уровень затрат определяем отношением итоговой суммы издержек к товарообороту.
Для проведения анализа по заданному условию необходимо найти условные издержки, пересчитанные к отчетному товарообороту по каждой из статей. Для этого используем выражение:

где Y0
VC
— уровень соответствующей статьи переменных издержек базисного периода.
| Таблица 5.
Данные о переменных издержках.
|
| Наименование статей
|
Периоды
|
Сумма издержек, пересчитанная к отчетному товарообороту, тыс. руб.
|
Изменение, тыс. руб.
|
Проверка
|
| прошлый
|
отчетный
|
абсолютное (стр. 3 -стр. 1)
|
в том числе
|
| сумма, тыс. руб.
|
уровень, %к товарообороту
|
сумма, тыс. руб.
|
уровень, %к товарообороту
|
за счет товарооборота (стр. 5-стр. 1)
|
относительная экономия (стр.3 -стр.5)
|
| А
|
1
|
2
|
3
|
4
|
5
|
6
|
7
|
8
|
9
|
| Транспортные расходы
Расходы по оплате труда
|
225
257
|
0,8225
0,9395
|
252
241
|
0,9341
0,8933
|
221,8941
252,4583
|
27
-16
|
-3,1059
-3,5417
|
30,1059
-12,4583
|
27,0000
-16,0000
|
| Итого
|
482
|
1,7620
|
493
|
1,8274
|
475,3524
|
11
|
-6,6476
|
17,6476
|
11,0000
|
| Товарооборот
|
27 355
|
26 978
|
—
|
-377
|
|
|
|
Для транспортных расходов пересчитанные издержки составят:
VCтр
пересч
= 26978 • 0,8225/100 = 221,8941 тыс. руб.
Аналогично для расходов по заработной плате:
VCз/пл
пересч
=26978 • 0,9395/100 = 253,4583 тыс. руб.
Изменение переменных издержек обращения под влиянием изменения товарооборота определяется вычитанием из пересчитанной величины затрат базисной величины издержек:
∆VCN
= VCпересч
– VCО
.
Под влиянием уменьшения товарооборота на 377 тыс. руб. переменные издержки изменились на следующие величины: транспортные расходы -
∆
VCN
ТР
= 221,8941 - 225 = -3,1059 тыс. руб.; расходы по заработной плате -
∆
VCN
З/ПЛ
= 253,4583 - 257 = - 3,5417 тыс. руб.;
итоговое изменение переменных затрат -
∆ VCN
= 475,3524 - 482 =-6,6476 тыс. руб.
Относительная экономия (перерасход) определяется вычитанием из отчетного значения переменных затрат их пересчитанной величины по соответствующим статьям, а для итога - по итоговым суммам соответственно
∆VCЭ
= VC1
– VCпересч
Отрицательный результат укажет на экономию, а положительный - на перерасход условно-переменных издержек обращения.
В результате имеем:
по транспортным издержкам наблюдается относительное увеличение, т. е. имеет место перерасход -
∆ VСЭ
ТР
= 252 - 221,8941 = 30,1059 тыс. руб.;
по расходам на оплату труда наблюдается относительное сокращение, т. е. экономия в размере -
∆ VСЭ
З/ПЛ
-241 - 253,4583 = - 12,4583 тыс. руб.;
по сумме указанных статей перерасход в сумме -
∆ VCЭ
- 493 - 475,3524 = 17,6476 тыс. руб.
Влияние товарооборота в сумме с относительной экономией должно равняться абсолютному изменению переменных затрат по каждой из статей или в итоге соответственно. По транспортным расходам указанная сумма равна
∆ VC = -3,1059 + 30,1059 - 27 тыс. руб.
Аналогично суммируем факторы по расходам на оплату труда, затем по итоговой сумме. Результаты заносим в гр. 9 табл. 5. Равенство суммы относительной экономии, влияния товарооборота с абсолютным изменением издержек подтверждает верность расчетов.
3. Анализ влияния изменений в структуре товарооборота на уровень издержек
Существенное влияние на издержки обращения оказывает изменение структуры товарооборота.
Расчет влияния данного показателя важен при анализе затрат. Он позволяет выявить резервы и определить возможности улучшения финансовых результатов за счет рационального подбора товарного ассортимента для реализации. Более того, если рассматривать изменение издержек без учета фактора структуры товаров, данные отчетного и предыдущих периодов могут быть несопоставимыми. В этом случае можно оценивать влияние того или иного фактора на издержки и не знать, что экономия или перерасход возможно в значительной степени произошли за счет изменения товарного состава.
Как правило, продовольственные товары требуют больших расходов по их реализации, чем непродовольственные. Поэтому повышение доли непродовольственных товаров ведет к снижению затрат. В свою очередь и те и другие товары внутри своего вида делятся на более или менее издержкоемкие по условиям хранения, по трудоемкости при доставке и реализации.
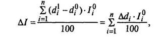
Величину влияния структурных сдвигов товарооборота на приращение уровня издержек обращения можно определить способом разниц:

где di
1
и di
0
- удельные веса i-й товарной группы в отчетном и базисном объемах товарооборота соответственно;
Ii
0
- базисный (нормативный) уровень издержек обращения i-й товарной группы;
n - число товарных групп.
Влияние структуры розничного товарооборота на средний уровень издержек обращения можно определить методом процентных чисел (табл. 7.). Для этого используем данные табл. 6.
Таблица 6.
Данные об издержках обращения. (тыс. руб.)
| Группа товаров
|
Базисный период
|
Отчетный период
|
Абсолютное изменение
|
| Молочные продукты
Овощи
Прочие товары
|
93
115
565
|
104
130
560
|
11
15
20
|
| Итого
|
773
|
794
|
21
|
В таблице вместо определенных групп товаров исходными данными также могут служить более конкретные наименования товаров, например огурцы, капуста, свекла и другие, или напротив, более обобщенные группы, например продовольственные и непродовольственные товары. Если анализ проводится по товарным группам или наименованиям, выборочный учет таких данных можно осуществить по специальной методике.
Таблица 7.
Влияние структуры товарооборота на средний уровень издержек обращения.
| Товарные группы
|
Товарооборот, тыс. руб.
|
Структура товарооборота, %
|
Уровень издержек, %
|
Процентные числа (гр. 4 • гр. 5)
|
Расчетный уровень издержек, %
|
| базисный
|
отчетный.
|
базисный
|
отчетный
|
базисный
|
отчетный
|
| А
Молочные продукты
Овощи
Прочие товары
В целом по предприятию
|
1
1290
2580
17 630
21500
|
2
1780
3560
16 910
22 250
|
3
6
12
82
100
|
4
8
16
76
100
|
5
7,21
4,46
3,2
3,6
|
6
5,84
3,65
3,31
3,57
|
7
57,68
71,36
243,2
379,24
|
8
-
-
-
3,79
|
В табл. 7. уровни издержек обращения по группам товаров рассчитаны как отношение издержек, приходящихся на каждую из групп, на объем продаж по соответствующей товарной группе.
Далее при анализе по данному методу рассчитывают процентные числа, т. е. отчетную структуру товарооборота умножают на базисный уровень издержек обращения (гр. 4 • гр. 5 табл. 7.). Процентные числа в целом по предприятию находят суммированием их по отдельным группам товаров.
Расчетный средний уровень расходов при базисной структуре товарооборота и отчетном уровне издержек определяют делением итогового процентного числа (в целом по предприятию) на 100.
Если из расчетного среднего уровня издержек вычесть базисный, то получим разницу, которая показывает влияние на издержки обращения изменения структуры товарооборота: 3,79-3,6 = 0,19%.
Если из отчетного среднего уровня издержек вычесть расчетный, получим величину снижения издержек за счет изменения других факторов (товарооборота) в отчетном периоде: 3,57 - 3,79 = -0,22%.
Общее отклонение отчетного уровня от базисного составит:
0,19 - 0,22 = -0,03%, или 3,57 - 3,6 = -0,03%.
Тождественность результатов подтверждает верность расчетов.
На основе проведенных расчетов можно сделать вывод, что увеличение в составе товарооборота удельного веса молочных продуктов с 6 до 8% и овощей с 12 до 16% (гр. 3-4 табл. 7.) как более издержкоемких товаров и связанные с ними операции вызвали повышение затрат по абсолютным значениям соответственно на 11 тыс. руб. и 15 тыс. руб. (табл. 6.). Однако по отношению к товарообороту уровень издержек по этим товарам снизился (гр. 5 — 6 табл. 7.). В результате достигнута экономия по общему уровню издержек в размере 0,03%. В том числе повышение товарооборота по предприятию (итог по гр. 1 - 2 табл. 7.) позволило сократить уровень затрат на 0,22%, а увеличение в структуре товарооборота удельного веса издержкоемких товаров (гр. 3 — 4 табл. 7.) повысило уровень затрат на 0,19%.
Существенное влияние на величину издержек обращения также оказывает и фактор товарооборачиваемости.
Замедление оборачиваемости вызывает увеличение издержек по их отношению к товарообороту, а ускорение обеспечивает снижение уровня затрат.
Изучение покупательского спроса и завоз товаров, соответствующих спросу по ассортименту, качеству, количеству и цене способствуют повышению скорости товарооборота, а следовательно, снижению уровня затрат. Применение соответствующих мер по ликвидации запасов неходовых товаров с помощью уценки, переадресовки, переработки также уменьшает уровень издержек.
Зависимость издержек обращения от различных факторов можно определить и при помощи корреляционно-регрессионного анализа.
Заключение
Следует иметь в виду, что степень влияния отдельных факторов в различных условиях хозяйствования неодинакова. Каждое торговое предприятие имеет свои специфические условия работы и возможности сокращения издержек обращения, что следует учитывать при их анализе.
Наряду с анализом издержек обращения по торговому предприятию в целом проводят их изучение в разрезе хозрасчетных структурных подразделений. Прежде всего анализируют хозяйственную деятельность торговых подразделений, добившихся относительной экономии издержек обращения. Детально изучают расходы хозрасчетных подразделений, допустивших их относительный рост. По каждому такому подразделению выясняют причины перерасхода и принимают меры по улучшению их торговой и другой деятельности. Последующий анализ должен установить причины роста уровня расходов у отдельных подразделений, что позволит разработать меры по повышению эффективности хозяйствования, достижению наилучших результатов при наименьших затратах труда и средств.
Список литературы
1. Л. И. Кравченко «Анализ хозяйственной деятельности в торговле» Минск, «Высшая школа», 1995.
2. М.И. Баканов «Экономический анализ в торговле», М. «Финансы и статистика»,2004.
3. Л. В. Прыкина «Экономический анализ предприятия», М.:ЮНИТИ-ДАНА, 2002.
4. Савицкая Г.В. Анализ хозяйственной деятельности предприятия: 4-е изд., перераб. и доп. – Минск: ООО “Новое знание”, 2001
5. Любушин Н.П., Лещева В.Б., Дьякова В.Г. Анализ финансово-экономической деятельности предприятия: Учеб. Пособие для Вузов / под ред. проф. Н.П. Любушина. – М.: ЮНИТИ-ДАНА
|