| Белорусский национальный технический университет
Автотракторный факультет
Кафедра: «Экономика и управление на транспорте»
Курсовая работа
по дисциплине: «Макроэкономика»
Тема: «Уровень жизни, его показатели, факторы роста и динамика в Республике Беларусь»
Минск 2008
Введение
Экономическое развитие – не самоцель, а средство улучшения жизни. Социальные аспекты жизни общества по отношению к экономике вторичны: уровень жизни народа прямо зависит от уровня развития экономики. Однако именно социальные аспекты жизни общества являются главной целью экономического развития страны, главной целью экономических преобразований, основным критерием их эффективности.
Повышение уровня и качества жизни населения является комплексом мер, предпринимаемых государством, по поддержанию экономической и социальной стабильности в обществе, обеспечению правовой защиты, созданию социальных гарантий в обществе.
С этой целью политика повышения уровня и качества жизни всегда направлена на поддержание экономической стабильности, обеспечение более равноправного и равномерного распределения и перераспределения доходов общества.
Республика Беларусь выбрала социально-ориентированную модель развития экономики, где особое внимание уделяется повышению благосостояния населения, а именно улучшению уровня и качества жизни, поэтому изучение данных вопросов приобрело для нашей страны особую актуальность.
Цель работы – рассмотреть уровень жизни и качество жизни, показатели уровня и качества жизни, изучить необходимость и пути повышения уровня и качества жизни в Республики Беларусь.
Задачи работы:
– рассмотреть уровень и качество жизни как основу благосостояния населения;
– изучить показатели уровня и качества жизни в современных условиях;
– описать необходимость и пути повышения уровня и качества жизни в Республике Беларусь.
Объект исследования – уровень и качество жизни.
Предмет исследования – показатели уровня и качества жизни, необходимость и пути повышения уровня и качества жизни в Республики Беларусь.
При написании работы использовались методы анализа, синтеза, индукции, дедукции, математический метод.
Вопросам изучения уровня и качества жизни уделяют внимание как отечественные, так и зарубежные авторы, тем не менее, продолжают оставаться проблемы, требующие решения.
Забиваем Сайты В ТОП КУВАЛДОЙ - Уникальные возможности от SeoHammer
Каждая ссылка анализируется по трем пакетам оценки: SEO, Трафик и SMM.
SeoHammer делает продвижение сайта прозрачным и простым занятием.
Ссылки, вечные ссылки, статьи, упоминания, пресс-релизы - используйте по максимуму потенциал SeoHammer для продвижения вашего сайта.
Что умеет делать SeoHammer
— Продвижение в один клик, интеллектуальный подбор запросов, покупка самых лучших ссылок с высокой степенью качества у лучших бирж ссылок.
— Регулярная проверка качества ссылок по более чем 100 показателям и ежедневный пересчет показателей качества проекта.
— Все известные форматы ссылок: арендные ссылки, вечные ссылки, публикации (упоминания, мнения, отзывы, статьи, пресс-релизы).
— SeoHammer покажет, где рост или падение, а также запросы, на которые нужно обратить внимание.
SeoHammer еще предоставляет технологию Буст, она ускоряет продвижение в десятки раз,
а первые результаты появляются уже в течение первых 7 дней.
Зарегистрироваться и Начать продвижение
Интегральной характеристикой благосостояния граждан страны являются уровень и качество жизни населения. Эта характеристика – историческая категория, отражающая на каждом отрезке времени обеспеченность граждан материальными и духовными благами [14, с. 651].
Дадим характеристику понятию «благосостояние населения» о определим в его структуре место и значение таких категорий, как уровень и качество жизни.
Благосостояние населения напрямую связано с результативностью или эффективностью национальной экономики.
Экономическая эффективность охватывает проблемы «затраты – выпуск», «результаты – затраты» и характеризует связь между количеством единиц ресурсов, которые применяются в процессе производства, и получаемым в результате количеством какого-либо продукта. Больший объем продукта, получаемый от данного объема затрат, означает повышение эффективности, меньший объем продукта от данного количества затрат указывает на снижение эффективности.
Критерий эффективности – это методологический подход к ее измерению с учетом выполнения основных социально-экономических целей. Он дает качественную характеристику результативности производства. Показатель эффективности характеризует ее количественную сторону.
Различают экономическую и социальную эффективность, или производственно-экономическую и социально-экономическую. Производственно-экономическая эффективность характеризует результативность использования ресурсов. На уровне макроэкономики это может быть величина продукта, дохода, прибыли на единицу совокупных затрат (ресурсов) [13, с. 118].
Для характеристики эффективности производства применяется целый ряд частных показателей:
– производительность труда – отношение продукта к затратам труда;
– трудоемкость – затраты труда на единицу продукции;
– материалоотдача – отношение продукта к количеству используемых материалов;
– материалоемкость – обратный показатель;
– фондоотдача – отношение величины продукта к величине используемых основных фондов (основного капитала);
– фондоемкость – количество фондов, приходящихся на единицу продукции [13, с. 118, 119].
Наиболее важные из них – это производительность труда, материалоемкость и фондоотдача.
Производительность труда может быть рассчитана на уровне отдельного работника, предприятия, отрасли, национальной экономики. Последний определяет реальный уровень жизни населения отдельно взятой страны.
Сервис онлайн-записи на собственном Telegram-боте
Попробуйте сервис онлайн-записи VisitTime на основе вашего собственного Telegram-бота:
— Разгрузит мастера, специалиста или компанию;
— Позволит гибко управлять расписанием и загрузкой;
— Разошлет оповещения о новых услугах или акциях;
— Позволит принять оплату на карту/кошелек/счет;
— Позволит записываться на групповые и персональные посещения;
— Поможет получить от клиента отзывы о визите к вам;
— Включает в себя сервис чаевых.
Для новых пользователей первый месяц бесплатно.
Зарегистрироваться в сервисе
Существует прочная связь между производительностью труда и уровнем жизни. Население в целом может повысить свой уровень потребления в долговременный период лишь за счет увеличения общего количества произведенной продукции.
Самым важным фактором роста производительности труда является рост накапливаемого капитала и внедрение новых технологий. Увеличение капитала означает количественные и качественные изменения в оборудовании, поэтому каждый рабочий получает возможность производить больше продукции за час работы.
Рост производительности труда связан также с сырьевым сектором экономики. По мере того, как начинают истощаться запасы нефти, природного газа и других ресурсов, выпуск продукции на одного рабочего может снижаться.
Показатели материало-, фондоемкости и фондоотдачи характеризуют эффективность использования капитала. Их изменение связано, прежде всего, с изменением технического и технологического уровня производства, а также его организации.
Важными показателями эффективности производства являются качество продукции, рентабельность производства.
Социально-экономическая эффективность характеризует уровень удовлетворения социальных потребностей. Показателями социальной эффективности являются: потребление продукции на душу населения, величина дохода, заработной платы, обеспеченность населения услугами в образовании, здравоохранении, культурных и других социальных запросах. Экономическая и социальная эффективность взаимодействуют и обусловливают друг друга, характеризуют экономический и социальный прогресс общества.
Эффективность функционирования рыночной экономики имеет микро- и макроэкономический аспекты. Они взаимосвязаны, поскольку микроэффективность – предпосылка и условие эффективности всей системы. Так, первый принцип эффективности хозяйственной деятельности субъектов – максимализация результата – экономической выгоды и прибыли.
Эффективность рынка достигается, когда товары и услуги становятся доступными в количествах, которые делают максимальными выигрыш товаропроизводителей и потребителей. Второй принцип эффективности – принцип Паретто: достижение такого распределения ресурсов в экономической системе, когда ресурсы в течение определенного периода времени используются таким способом, который делает невозможным увеличение благосостояния одного субъекта экономики без причинения вреда благосостояния другого. Здесь эффективность является критерием оценки действий людей, использующих ресурсы.
Названные подходы составляют основу общей эффективности системы в целом. Можно сказать, что эффективность национальной экономики, ее результативность есть уровень реализации основных социально-экономических целей общества, стабильность и экономический рост экономики, обеспечивающий высокий жизненный уровень населения, полную занятость, достаточные свободу и безопасность. В экономической теории и на практике применяются показатели чисто экономического благосостояния, индекс развития человеческого потенциала, реальные доходы на душу населения, уровень и качество жизни.
Уровень жизни населения – это обеспеченность населения необходимыми для жизни материальными и духовными благами, степень удовлетворения физиологических, социальных и духовных потребностей людей [7, с. 320].
Если под уровнем жизни традиционно понимается комплекс жизненных стандартов преимущественно материального характера, то качество жизни характеризуется степенью достижения высших ценностей человеческого бытия, как в личностном, так и в социальном аспектах. Они включают морально-психологические качества, уровень образованности и культуры, здоровья, условия труда и проживания, отдыха, степень комфортности экономических условий, уровень потребностей и степень их удовлетворения и др. Качественным оценкам подвергаются и количественно измеряемые материальные компоненты по критериям соответствия мировым стандартам.
Организация Объединенных Наций, обобщая характерные черты национальных концепций уровня жизни в разных странах мира, указывает на общие существенные компоненты этих концепций: здоровье, потребление продуктов питания, образование, занятость и организация труда, жизненные удобства, со циальное обеспечение, одежда, отдых и свободное время, права человека [14, с. 653].
Качество жизни характеризуется степенью удовлетворения потребностей человека, определяемой по отношению к соответствующим нормам, обычаям и традициям, а также по отношению к уровню личных притязаний. Другими словами, качество жизни – это совокупность характеристик, отражающих материальное, социальное, физическое и культурное благополучие населения. Этот показатель включает в себя помимо уровня жизни условия и безопасность труда, культурный уровень, физическое развитие. По мнению других экономистов, качество жизни включает в себя уровень потребления материальных благ и услуг, удовлетворение духовных потребностей, здоровье, продолжительность жизни, условия окружающей среды, безопасность граждан, свободу личности.
Качество жизни определяет условия человеческого существования: обеспеченность материальными благами (пища, одежда, жилье); безопасность; доступность медицинской по щи; возможности для получения образования и развития способностей; состояние природной среды; социальные отношения в обществе, включая свободу выражения мнений и влияние граждан на политические решения [10, с. 338].
В самом широком смысле понятие качества жизни населения включает четыре блока характеристик: качество населения, уровень жизни населения, социальная безопасность, качество окружающей среды.
Блок I включает демографические, воспроизводственные показатели, способность образовывать семьи, уровни образованности и профессиональной квалификации.
Блок II охватывает как качественные, так и количественные характеристики. В первую группу входят показатели состояния здоровья, качества питания, состояния образования и культуры, качества жилья, условий и характера труда, качества проведения свободного времени и условий отдыха, благополучия семейной жизни. Во вторую группу входят характеристики реальных доходов и расходов населения; экономической активности, обеспеченности населения услугами здравоохранения, образования, культуры и искусства, отдыха, инфраструктуры; обеспеченности населения жильем и другой собственностью; социального обеспечения.
Блок III включает характеристики уровня физической и имущественной безопасности, качества морально-политического здоровья общества и государства.
Блок IV охватывает показатели антропогенного воздействия на воздушный и водный бассейны, состояние почв и лесов.
Указанная совокупность показателей уровня и качества жизни населения в основном включена в систему национальной статистики Беларуси (за исключением качественных характеристик) [14, с. 653].
Уровень жизни зависит от фактического потребления материальных, духовных благ и от развития потребностей.
Уровень потребления – это особенность потребления, которая зависит от количества потребителей. Различают три уровня потребления:
– индивидуальный – на котором осуществляется потребление каждого отдельного человека;
– коллективный – на котором происходит потребление коллективов;
– общественный – связанный с потребительскими интересами всех людей страны (государства). Это охрана порядка, безопасность, оборона, управление, образование, наука, внешние связи. В них нуждается каждый из нас, но никто в отдельности их удовлетворить не может.
Чем уровень жизни выше, тем выше и потребности. Речь идет главным образом о физических, духовных и социальных потребностях.
Рассматривая уровень и качество жизни, экономисты уделяют особое внимание проблеме бедности.
Бедность – состояние постоянного отсутствия необходимых ресурсов для обеспечения удовлетворительного образа жизни, приемлемого в данном конкретном случае. В мировой практике нации считаются бедными, если тратят на питание около половины своего бюджета. В нынешней экономической ситуации среднестатистическая российская семья 80% своих доходов тратит на питание и неотложные повседневные нужды [12, с. 338].
Существование проблемы бедности связано с тем, что денежные доходы распределяются между людьми неравномерно, что характерно для всех стран мира. Данное явление известно как закон Парето, согласно которому между уровнем доходов и числом их получателей существует обратная зависимость: 80% созданного ВВП присваивается 20% населения, а оставшиеся 20% распределяются между 80% населения, причем соотношение 80 / 20 достаточно устойчиво и наблюдается во всех странах, независимо от политических и экономических реалий [11, с. 286].
Таким образом, интегральной характеристикой благосостояния граждан страны являются уровень и качество жизни населения. Уровень жизни – это степень обеспеченности населения необходимыми для жизни материальными, духовными и социальными благами. Качество жизни как показатель (категория) благосостояния характеризуется степенью удовлетворения потребностей, отношениями к соответствующим нормам, обычая и традициям. Если под уровнем жизни традиционно понимается комплекс жизненных стандартов преимущественно материального характера, то качество жизни характеризуется степенью достижения высших ценностей человеческого бытия, как в личностном, так и в социальном аспектах. В самом широком смысле понятие качества жизни населения включает четыре блока характеристик: качество населения, уровень жизни населения, социальная безопасность, качество окружающей среды. Рассматривая уровень и качество жизни, экономисты уделяют особое внимание проблеме бедности. Бедность – состояние постоянного отсутствия необходимых ресурсов для обеспечения удовлетворительного образа жизни, приемлемого в данном конкретном случае. Существование проблемы бедности связано с тем, что денежные доходы распределяются между людьми неравномерно, что характерно для всех стран мира.
Показатели уровня жизни многоплановы: денежные, или номинальные, доходы, то есть количество денег, полученных отдельными лицами в течение определенного периода времени; располагаемый доход, то есть доход, который может быть использован на личное потребление и личные сбережения (этот доход меньше номинального дохода на сумму налогов и обязательных платежей); реальный доход, то есть количество товаров и услуг, которое можно купить на располагаемый доход с учетом уровня цен; уровень бедности, который отражает положение ниже прожиточного минимума населения; реальное потребление продуктов питания в расчете на душу населения; объем продаж во всех формах торговли в расчете на душу населения; объем всех видов платных услуг (бытовых, транспортных, жилищно-коммунальных и так далее) в расчете на душу населения; жилищные условия, прежде всего жилая площадь на душу населения или на одну среднестатистическую семью; уровень и качество образования, возможности доступа к культуре: библиотекам, клубам, музеям, театрам, кино, книгам, журналам, газетам, средствам информатики; уровень и качество медицинского обслуживания, оказываемого всей системой здравоохранения; уровень и качество системы отдыха, спорта и туризма; уровень и качество бытового и сервисного обслуживания населения: ремонт и пошив одежды, обуви, ремонт радиотелевизионной аппаратуры, транспортных средств, мебели, квартир и т.д.; экологические условия жизни, состояние водно-воздушного бассейна; условия и охрана труда, уровень его интенсивности; социальная и нравственно-политическая обстановка в стране, регионе, на предприятии, в семье; степень защищенности человека от преступлений и бандитизма, охрана прав, уверенность человека в завтрашнем дне [7, с. 320, 321].
Широко используются для характеристики уровня жизни такие обобщенные показатели, как валовой национальный продукт (валовой внутренний продукт, или национальный доход) на душу населения. При использовании единой международной методики расчета этих показателей несомненное их достоинство в простоте, убедительности и доступности. Этими же качествами отличается и показатель совокупных располагаемых доходов на душу населения в данной стране, если доход рассчитывается в национальной валюте; или по группе стран, если доход рассчитывается в единой и сопоставимой денежной единице [7, с. 322].
Валовой внутренний продукт (ВВП) – совокупная рыночная стоимость всех произведенных за определенный промежуток времени товаров и услуг на территории страны, в том числе с использованием факторов производства, находящихся в иностранной собственности. ВВП выступает как совокупная стоимость конечных товаров и услуг, произведенных в стране за определенный промежуток времени всеми производителями.
Валовой национальный продукт (ВНП) – совокупная рыночная стоимость всех произведенных страной за определенный период времени товаров и услуг, в том числе с использованием факторов производства, находящихся за рубежом [10, с. 68].
Производственный метод – валовой внутренний продукт выступает как сумма добавленных стоимостей всех товаров и услуг данной страны, то есть суммируется добавленная стоимость, созданная в отраслях. Тот же результат получится, если из стоимости произведенной продукции исключить затраты на потребленные средства производства (кроме амортизации).
Распределительный метод – суммируются доходы, полученные благодаря использованию факторов производства (заработная плата, реальные доходы, проценты на капитал, дивиденды и т.д.).
Метод конечного использования – суммируются расходы домашних хозяйств на текущее потребление, расходы государства на закупку продукции, расходы предприятий на расширение производства, сбережения населения, а также сальдо внешней торговли [10, с. 73].
Распределительный метод и метод конечного использования представляют собой методы расчета ВВП по доходам и расходам.
Эти методы считаются равноценными, т.е. расчет ВВП по расходам равен ВВП по доходам.
Совокупные расходы, используемые при расчете ВВП по расходам, подразделяются на: а) расходы домашних хозяйств; б) расходы предпринимателей на инвестиционные товары; в) расходы правительства на закупку товаров и услуг; г) чистый экспорт (экспорт минус импорт).
Расходы домашних хозяйств – это личные потребительские расходы населения на покупку предметов потребления и услуг.
Расходы предпринимателей на инвестиционные товары – это валовые частные внутренние инвестиционные расходы фирм на строительство, приобретение машин, станков, оборудования и так далее. Сюда относятся также расходы на изменение запасов сырья и готовой продукции [11, с. 31].
Расходы правительства на закупку товаров и услуг – это затраты центрального (федерального) правительства, а также всех местных властей на конечные (готовые) товары и услуги текущего производства.
Чистый экспорт – это разница между экспортом и импортом данной страны. Если экспорт превышает импорт, то чистый экспорт положительный, и он прибавляется к ВВП. Если импорт больше экспорта, то чистый экспорт имеет отрицательное значение, и он вычитается из ВВП. Если чистый экспорт равен нулю, то ВВП остается неизменным.
Второй подход к расчету ВВП – по методу «потока доходов» – получаемых всеми владельцами факторов производства. В целом величина ВВП по расходам и доходам должна быть одной и той же, так как затраты на производство товаров возмещаются в виде дохода, полученного от их продажи (в противном случае производители товаров и услуг отказались бы от своей деятельности) [11, с. 32].
Первую, самую большую долю доходов в ВВП составляет заработная плата, выплачиваемая работникам.
Вторая категория доходов связана с выплатами процентов за использованный капитал его собственникам, выступающим в качестве заимодавцев.
Третья категория включает выплаты арендных платежей. Их получают в виде доходов собственники земли, помещений, оборудования и других ресурсов. Здесь доход по сути дела выплачивается непосредственно не за труд, а за использование собственности.
Четвертая категория доходов связана с прибылью. Она подразделяется на прибыль, получаемую собственниками (предпринимателями), и прибыль корпораций.
Таким образом, собственники факторов производства получают следующие доходы:
1) рабочие получают доход в виде заработной платы;
2) собственники ссудного капитала получают доход за предоставленный капитал в виде процента;
3) собственники земли и других ресурсов получают доход в виде рентных платежей;
4) частные собственники предприятий и акционеры получают доход в виде прибыли.
ВВП, рассчитанный по сумме доходов, кроме этих видов доходов, включает еще две категории средств, не связанных прямо с выплатой доходов:
– амортизацию основного капитала (физического капитала). Поскольку такой капитал изнашивается, его необходимо возобновлять в виде новых капиталовложений;
– косвенные налоги (налог с продаж, акцизные сборы, таможенные пошлины и так далее). Эти налоги взимаются с продаж товаров, реализуемых в розничной торговле. Субъекты хозяйствования рассматривают косвенные налоги как издержки производства и включают их в стоимость товаров. Однако, в конечном счете, расплачиваются за эти налоги потребители [11, с. 33].
Формы валового внутреннего продукта. ВВП – это стоимостный показатель, он зависит от уровня цен. Поэтому в экономической теории и на практике выделяют номинальный и реальный ВВП.
Номинальный ВВП – это продукт, стоимость которого выражена в текущих, фактических ценах.
Реальный ВВП – это продукт, стоимость которого выражена в неизменных ценах.
Номинальный ВВП может увеличиться как за счет роста физического объема всей продукции, так и за счет роста уровня цен. На реальный ВНП уровень цен не влияет, поэтому реальный ВНП выступает основным показателем физического объема производства товаров и услуг [10, с. 73, 74]. Реальный ВНП определяется по формуле:
(1)
    Анализ многочисленных показателей уровня жизни показывает, что самым характерным признаком и самой доступной для населения характеристикой уровня жизни являются доходы: номинальные, располагаемые, реальные, личные, семейные.
Основными источниками доходов являются оплата труда, социальные трансферты (от лат. transferre – переносить, переводить) и доходы от собственности и предпринимательской деятельности.
1.2.2 Показатели измерения уровня и качества жизни
Характерной особенностью получаемых, распределяемых и используемых доходов является их неравенство, дифференциация. В экономической науке широко используется показатель, который достаточно точно отражает неравномерность распределения получаемых доходов между различными группами населения. Этот показатель, введенный американским статистиком и экономистом Максом Лоренцем (1876–1959), получил название кривой Лоренца (иногда говорят «лук Лоренца») [7, с. 322]. Графически кривую Лоренца можно представить в следующем виде:

20 40 60 80 100 Население
Рисунок 1 – Кривая Лоренца
По горизонтали на графике отложены процентные группы населения, по вертикали – проценты дохода, получаемые этими группами. Если бы в обществе существовало абсолютное равенство в распределении получаемых доходов, то 20% населения получали бы 20% доходов, 40% населения – 40% дохода, 60% населения – 60% дохода и 80% населения – 80% дохода. При равном распределении доходов эта зависимость выглядела бы как биссектриса.
При абсолютном неравенстве в распределении доходов все 100% доходов получал бы один человек, стоящий последним на линии OF, а ломаная линия OFE – это линия абсолютного неравенства.
В реальной жизни нет ни абсолютного равенства, ни абсолютного неравенства, истинная картина распределения доходов выглядит как линия, прогнутая вниз. Ее опорными точками являются О, А, В, С, D, Е. Величина отклонения этой прогнутой кривой от биссектрисы показывает степень неравенства в распределении доходов. Оценка степени натянутости «лука Лоренца» – один из самых сложных социальных вопросов. Если прекратить натягивание тетивы «лука Лоренца», то в обществе сократится количество стимулов к труду и предпринимательству. Если тетиву лука натянуть слишком сильно, – будет нарушена социальная справедливость, в обществе начнет нарастать социальная напряженность [7, с. 323]. Мировая практика показывает, что предельно-критическое соотношение 10% самых богатых и 10% самых бедных групп населения не должно превышать отношения 10:1; в России это отношение в 1995 г. составило 15:1, то есть на пять пунктов выше мирового стандарта. На долю 10% бедных приходится 2,0% дохода, на долю 10% богатых – 30% совокупного дохода.
Дифференциацию социального расслоения характеризует также показатель, который предложил итальянский статистик Коррадо Джини (1884–1965). Этот показатель в экономической науке получил название коэффициента Джини, который определяется следующим образом:
(2)
где G – показатель, измеряющий степень неравенства доходов, или степень концентрации доходов (или богатства);
pi
– доля i-й группы в общем объеме совокупности (например, в численности населения);
yi
– доля i-й группы в совокупном богатстве, или в совокупном доходе;
Cum yi
– кумулятивная доля богатства, доля дохода.
Чем ближе к единице значение коэффициента, тем выше уровень неравенства; чем ближе к нулю, тем выше уровень равенства.
Коэффициент Джини можно получить и более простым путем. Если разделить заштрихованную площадь (Т) на графике, который характеризует кривую Лоренца, на всю площадь треугольника OFE, то получится доля, которая отражает степень неравенства в распределении доходов, то есть G=Т/OFE. Это отношение также характеризует степень концентрации доходов. Чем выше значение показателя, тем неравномернее распределены доходы в обществе [7, с. 324].
Коэффициент глубины бедности выражает среднее отклонение доходов обследуемых семей от величины прожиточного минимума.
Коэффициент остроты бедности – средневзвешенное отклонение доходов обследуемых семей от величины прожиточного минимума.
К бедным, или малообеспеченным, относят те группы населения, доходы которых по не зависящим от них причинам ниже установленных в обществе границ прожиточного минимума. По мировым стандартам доля населения, находящегося на уровне прожиточного минимума, не должна превышать 10%.
По данным ООН, бедность определяется доходом в 2 доллара в день на человека, нищета – в 1 доллар в день.
Черта бедности – минимальный уровень жизни, по которому устанавливается граница бедности. Население, не располагающее таким минимумом, относится к бедным слоям. В международной практике наибольшее распространение получило установление черты бедности в процентах от среднего уровня доходов населения. В некоторых странах «порог бедности» составляет 40–60% от уровня среднего дохода взрослого человека [10, с. 340].
Важным показателем уровня жизни населения является прожиточный минимум населения, в который включаются расходы на продукты питания из расчета минимальных размеров их потребления, расходы на непродовольственные товары и услуги, а также налоги и обязательные платежи, исходя из структуры расходов на них у 10% наименее обеспеченных семей [7, с. 325].
Прожиточный минимум – стоимость минимально необходимого человеку набора благ, жизненных средств, позволяющих поддерживать жизнедеятельность. Прожиточный минимум выступает в качестве размера денежного дохода, обеспечивающего при данном уровне цен удовлетворение основных физических, духовных и социальных потребностей человека, принятых обществом как минимально допустимые [10, с. 335].
Он включает стоимость соответствующей потребительской корзины, налоги и обязательные платежи. Прожиточный минимум определяется в расчете на «среднестатистического» жителя и для различных социально-демографических групп населения на основе научно обоснованных норм потребления, рациональных и других особенностей и с учетом реальных возможностей экономики. Прожиточный минимум используется в качестве базы для обоснования минимальной заработной платы. Минимальная заработная плата представляет собой минимально допустимый уровень выплат работнику за его труд. Минимальная заработная плата – это официально устанавливаемый государством минимальный уровень оплаты труда на предприятиях любых форм собственности в виде наименьшей месячной ставки или почасовой оплаты [10, с. 336].
Одним из показателей уровня жизни является закон Энгеля. Немецкий статистик Э. Энгель установил, что с ростом доходов семьи удельный вес расходов на питание понижается, доля расходов на одежду, жилище и коммунальные услуги меняется мало, а удельный вес расходов на удовлетворение культурных и иных нематериальных нужд заметно возрастает [7, с. 325].
Кроме указанных, статистика отслеживает также показатели структуры и динамики потребления населением основных продуктов питания.
Важной составляющей статистического изучения уровня жизни являются выборочные обследования домашних хозяйств, результаты которых используются для оценки благосостояния населения и степени его экономической дифференциации, а также для разработки социальной политики государства и первоочередных направлений социальной поддержки наиболее уязвимых групп населения [14, с. 653].
Потребительская корзина – расчетный набор, ассортимент товаров и услуг, характеризующий уровень и структуру месячного (годового) потребления человека или семьи. Она включает продовольственные и непродовольственные товары и услуги. При расчете потребительской корзины рекомендуют брать рациональный уровень потребления (наиболее благоприятный для человека), минимальный уровень потребления (на грани обеспечения нормальных условий существования) и физиологический минимум потребления (уровень физического существования). Потребительская корзина используется для расчета минимального потребительского бюджета исходя из стоимости потребительской корзины в действующих ценах. Она служит также базой сравнения расчетных и реальных уровней потребления.
Потребительский бюджет семьи – семейный бюджет, таблица доходов и расходов семьи за определенный период времени, чаще всего за месяц и год. Потребительский бюджет бывает: фактический; нормативный (рациональный); минимальный [10, с. 336].
Производится оценка уровня инфляции. В настоящее время в официальной статистике в качестве основного индикатора инфляции применяется индекс потребительских цен. Этот индекс определяет изменение во времени стоимости фиксированного набора товаров и услуг, обычно потребляемых населением.
Кроме индекса потребительских цен также рассчитывают дефлятор ВНП, который позволяет оценить уровень инфляции по всей совокупности благ, производимых и потребляемых в государстве, включая экспорт, инвестиционные товары, импорт и так далее.
Отношение номинального ВНП к реальному называется дефлятором ВНП, он показывает, насколько ВВП возрос за счет роста уровня цен.
Дефлятор ВВП выражает различия между номинальным и реальным ВВП и используется для определения уровня инфляции. Он показывает, насколько ВВП возрос за счет роста уровня цен [10, с. 75].
Для получения сводной характеристики уровня жизни населения в ООН разработан ряд показателей, важнейшим из которых является индекс развития человеческого потенциала (ИРЧП).
ИРЧП представляет среднюю из трех стандартизированных индексов, которые рассчитываются по формуле:
(3)
где Хф, Xmin, Xmах – фактический, минимальный и максимальный уровень показателя.
Стандартизированные индексы меняются от нуля до единицы и учитывают продолжительность предстоящей жизни, обучаемость населения и объем производства ВВП на душу населения, который пересчитывается в доллары с помощью паритета покупательной способности валют.
При расчете индекса продолжительности предстоящей жизни Xmin = 25 лет, Xmах = 85 лет.
Индекс образованности населения (J2) при расчете делится на две части. Две трети занимает индекс грамотности населения от 15 лет и старше, а одну треть – обучаемость населения от 6–24 лет, Xmin = 0, а Xmах = =100%.
При расчете индекса ВВП на душу населения сначала исходные данные об уровне этого показателя переводятся в доллары с помощью паритета покупательной способности валют, а затем логарифмируются (Xmin =100 дол., Xmах = 40 000 дол.). При логарифмировании используются значения десятичных логарифмов. Чем ИРЧП ближе к единице, тем выше уровень жизни в стране [16, с. 334, 335].
Министерство статистики и анализа Республики Беларусь в группу основных социально-экономических показателей уровня жизни населения включает следующие: денежные доходы населения, реальные располагаемые денежные доходы населения, денежные доходы на душу населения, среднемесячную начисленную заработную плату одного работника, реальную начисленную заработную плату, средний размер назначенной месячной пенсии, реальный размер назначенной месячной пенсии.
Таким образом, показатели уровня жизни многоплановы. Широко используются для характеристики уровня жизни такие обобщенные показатели, как валовой национальный продукт (валовой внутренний продукт, или национальный доход) на душу населения.     Анализ многочисленных показателей уровня жизни показывает, что самым характерным признаком и самой доступной для населения характеристикой уровня жизни являются доходы: номинальные, располагаемые, реальные, личные, семейные. Рассчитываются коэффициенты глубины и остроты бедности, определяется черта бедности, прожиточный минимум, потребительская корзина, потребительский бюджет семьи. Производится оценка уровня инфляции. В настоящее время в официальной статистике в качестве основного индикатора инфляции применяется индекс потребительских цен. Кроме индекса потребительских цен также рассчитывают дефлятор ВНП. Для получения сводной характеристики уровня жизни населения в ООН разработан ряд показателей, важнейшим из которых является индекс развития человеческого потенциала (ИРЧП). В Республике Беларусь показателями уровня жизни населения являются: денежные доходы населения, реальные располагаемые денежные доходы населения, денежные доходы на душу населения, среднемесячную начисленную заработную плату одного работника, реальную начисленную заработную плату, средний размер назначенной месячной пенсии, реальный размер назначенной месячной пенсии.
1.3 Необходимость и пути повышения уровня и качества жизни в Республике Беларусь
Конечной целью развития общественного производства является удовлетворение потребностей людей, а задачей социальной политики выступает обеспечение условий, создание механизмов для наиболее рационального и всеобъемлющего обеспечения этих потребностей за счет созданных обществом в данный момент благ. Дело в том, что любое общество состоит не только из категории работающих людей, в нем всегда есть лица, уже не работающие (пенсионеры, инвалиды и так далее) и еще не работающие (дети, школьники, студенты), инвалиды, которые нуждаются в заботе со стороны семьи, государства. Государство должно поддерживать существование безработных. Поэтому как в Республике Беларусь, так и в мировой практике особое внимание уделяется социальной политике, позволяющей повысить уровень и качество жизни населения [1, с. 210].
Социальная политика государства представляет комплекс мер, направленных на создание условий для удовлетворения потребностей населения, повышения его благосостояния и создания системы социальных гарантий [6, с. 282].
Важным направлением социальной политики государства является обеспечение условий для нормальной занятости населения [1, с. 210]. Каждый способный к труду член общества должен иметь хотя бы потенциальную возможность трудиться. Для этого необходимо не только создавать рабочие места, но и развивать образование, здравоохранение, создавать систему подготовки и переподготовки работников.
Одно из направлений социальной политики – устранение или нейтрализация негативных моментов при переходе к рыночным отношениям. Речь идет о коррупции, взяточничестве, бесконтрольности по отношению к развитию теневой экономики.
Социальная политика базируется на ряде принципов, среди которых в качестве первоочередных следует назвать обеспечение ресурсного потенциала для осуществления социальной политики. Его реализация осуществляется по двум направлениям: с одной стороны, создаются условия для развития общественного производства, создающего ресурсный потенциал для осуществления социальной политики; с другой стороны, проводится комплекс мер по развитию самого человека: росту образования, квалификации работников, созданию условий для здорового образа жизни.
Следующим принципом можно назвать принцип всеобщности социальной политики. Он предполагает охват социальными мероприятиями всех социально-демографических слоев и групп населения.
Наконец, необходимо указать на такой принцип, как гибкость самой системы социальных гарантий. Она должна чутко реагировать на происходящие изменения в экономической и социальной сферах развития общества. Это особенно важно для условий переходной экономики, где неизбежны кризисные явления, инфляция, рост безработицы и как следствие – резкое падение уровня жизни и социальные потрясения в обществе [1, с. 211].
Развитие международных экономических отношений, их интернационализация и глобализация обусловило формирование международных аспектов социальной политики. Последняя уже перестала быть чисто национальным свойством той или иной страны, наоборот, складываются общенациональные, общегосударственные направления ее развития и принципы функционирования. К таким общемировым стандартам социальной политики можно отнести следующее:
– социальная политика приобрела свойство всеобщности. Это проявляется, с одной стороны в том, что все страны мира, независимо от уровня экономического развития, разрабатывают комплекс мер по обеспечению социальной защищенности своих граждан; с другой стороны, национальные системы социальной защиты населения сферой своей деятельности охватывают все слои населения, все его демографические группы;
– разрабатывается в общемировом масштабе система правового обеспечения системы социальной защиты от объективно обусловленных рисков. Речь идет о том, что население всех стран мира получает ныне гарантии социальной поддержки со стороны государства, международных благотворительных организаций на случай потери трудоспособности, болезни, инвалидности или ущерба в случае аварии на производстве, пенсий по старости, пособий на случай смерти кормильца и так далее;
– социальная политика носит адресный характер. Это выражается в том, что, например, социальная помощь оказывается не производству или государству, где произошла авария или стихийное бедствие, а конкретным лицам, пострадавшим от этого бедствия. Причем такая адресная поддержка оказывается всем группам населения, попавшим в критическую ситуацию, а не только тем из них, которые отнесены к группам риска;
– выработаны общемировые подходы к классификации критериев оценки степени социальной защиты и видов льгот. Так, например, целевые пенсии и пособия получают инвалиды и участники Великой Отечественной войны, семьи погибших военнослужащих и бывших узников фашистских концлагерей, реабилитированных граждан, пострадавших в результате аварии на Чернобыльской АЭС, многодетные семьи, матери одиночки и так далее. Виды льгот и услуг также соотносятся между собой. Это могут быть льготы за оплату жилья, топлива, налоговые льготы, льготы на проезд в общественном транспорте, в обеспечении жильем, лекарствами, санаторно-курортном обслуживании и так далее;
– во всех странах сейчас получают распространение такие формы социальной помощи, как благотворительные акции, меценатство, бесплатные социально-бытовые услуги и питание и так далее [1, с. 213].
Составляющей социальной политики называют социальную защиту населения. Система социальной защиты населения есть критерий и мера цивилизованности рыночных отношений в данной стране. Социальная защита и социальные гарантии являются условиями последовательного осуществления социальной справедливости.
Механизм социальной защиты включает меры, касающиеся всех членов общества, а также адресованные отдельным социальным группам. К числу первых обычно относятся: обеспечение эффективной занятости, позволяющей каждому человеку находить применение своим личным способностям в соответствующей сфере деятельности; официальное установление реального уровня прожиточного минимума, как в денежной форме, так и по «потребительской корзине» с учетом дифференциации доходов и потребления населения; защита интересов потребителя; компенсация, адаптация и индексация доходов, развитие отношений социального партнерства. Ко вторым принадлежат: социальная помощь бедным или малоимущим слоям населения, целевые или адресные выплаты из фондов общественного потребления [21, с. 625].
1.3.2 Пути повышения уровня и качества жизни в Республике Беларусь
Пути повышения уровня и качества жизни в Республике Беларусь включают:
– создание условий и возможностей всем трудоспособным гражданам зарабатывать средства для удовлетворения своих потребностей;
– обеспечение рациональной занятости населения на основе сохранения рабочих мест на действующих жизненно важных и перспективных предприятиях, создания новых рабочих мест, в том числе в частном секторе экономики, организации систем подготовки и переподготовки кадров;
– обеспечение роста реальных денежных доходов населения;
– последовательное повышение уровня оплаты труда как основного источника денежных доходов населения и важнейшего стимула трудовой активности работников наемного труда;
– формирование среднего класса как фактора стабилизации общества на основе значительного роста денежных доходов населения и снижения уровня малообеспеченности;
– повышение уровня пенсионного обеспечения;
– снижение уровня малообеспеченности населения;
– повышение социальной защиты нуждающихся [17, с. 10].
Государственная политика повышения уровня и качества жизни населения Республики Беларусь проявляется в разнообразных формах: пособия по безработице; пенсии; пособия по болезни, инвалидности; жилищные пособия; пособия на получение образования; медицинская помощь; гарантирование государством минимального уровня доходов [10, с. 319]. Для сохранения определенного уровня жизни граждан, особенно малоимущих, производится индексация доходов, их соотнесение с повышением стоимости жизни. Индексируются выплаты, производимые из бюджета: социальные пенсии, пособия, стипендии, заработная плата работников непроизводственной сферы, денежное обеспечение. Компенсация потерь от инфляции населению, которое получает доходы не из бюджета (работники производственной сферы), осуществляется на условиях, предусмотренных коллективными договорами. Индексируются также все выплаты по компенсации урона, нанесенного увечьем или вызванным другими повреждениями здоровья, связанными с выполнением трудовых обязанностей.
Развитие рынка предъявляет особые требования к образованию и физическому состоянию людей, что обусловливает развитие системы образования и охраны здоровья на принципиально иных началах [10, с. 321]. В условиях постоянного роста цен величина прожиточного минимума постоянно корректируется [21, с. 626].
Государственное социальное страхование застрахованным гражданам обеспечивает следующие социальные гарантии:
– пенсии по возрасту, инвалидности, в случае потери кормильца, за выслугу лет; пособия и компенсации в связи с несчастными случаями на производстве и профессиональными заболеваниями;
– пособия, связанными с рождением ребенка, уходом за ребенком до достижения им возраста трех лет;
– пособия по болезни и временной нетрудоспособности, выплаты, связанными с санаторно-курортным лечением и оздоровлением; пособия по безработице; пособия на погребение. Граждане имеют право заключать договоры на добровольное социальное страхование. Наниматели имеют право за счет собственных средств осуществлять дополнительное социальное страхование своих работников.
В то же время пособие по безработице в Республике Беларусь не позволяет обеспечить минимальные жизненные потребности (средний его размеров – всего 45 тыс. руб., или 24% бюджета прожиточного минимума в среднем на душу населения), поэтому планируется в долгосрочной перспективе принятие мер по увеличению данного пособия [20, с. 28]. Политика социальной защиты в Республике Беларусь уделяет особое внимание трудоустройству безработных. В 2008 году уровень регистрируемой безработицы по отношению к экономически активному населению снизился до 1%. Численность безработных составила 44,1 тыс. человек. В 2007 году обеспечено создание 153,4 тыс. новых рабочих мест (при задании – 140 тыс.), из них 28,7 тыс. – в малых и средних городских поселениях, 18 тыс. – в сельской местности. При содействии органов по труду, занятости и социальной защите трудоустроено 201,4 тыс. человек.
В центре внимания политики социальной защиты также постоянно находятся вопросы обеспечения занятости инвалидов. В прошлом году в органах по труду, занятости и социальной защите их было зарегистрировано в качестве безработных более 4 тыс. человек. Оказано содействие в трудоустройстве 2,3 тыс., в том числе 1,1 тыс. человек трудоустроены в счет брони приема на работу; на профессиональное обучение направлено 446 инвалидов; организована трудовая реабилитация 366 безработных из числа данной категории граждан [19, с. 41].
Одним из приоритетных направлений политики регулирования доходов является поддержка ветеранов, инвалидов и пожилых людей. Продолжается реализация мероприятий Комплексной программы по совершенствованию системы социальной работы с одинокими гражданами пожилого возраста. Внедрение в практику выявительного принципа работы с инвалидами, ветеранами, одинокими пожилыми людьми позволило более оперативно, комплексно и максимально эффективно предоставлять данным категориям граждан необходимую социальную поддержку.
Сегодня расширяется область социального обслуживания – 156 территориальных центров социального обслуживания обеспечивают оказание разносторонней качественной помощи гражданам и семьям, находящимся в трудной жизненной ситуации [19, с. 47].
В проведении политики регулирования доходов населения Республики Беларусь были произведены изменения в декабре 2007 года. В указе Президента Республики Беларусь от 14 декабря 2007 г. №638 «О некоторых мерах государственной поддержки населения» в целях усиления государственной поддержки населения в связи с упорядочением социальных льгот определено, что государственная поддержка населения осуществляется в форме: государственной адресной социальной помощи и безналичных жилищных субсидий для частичного возмещения платы за пользование жилыми помещениями, что позволит усилить адресность политики повышения благосостояния населения [15, с. 19].
В будущем планируется развивать данные направления политики повышения уровня и качества жизни.
1.3.3 Показатели уровня жизни в Республике Беларусь
В январе-мае 2008 г. в Беларуси, как и в большинстве стран Содружества, отмечены достаточно высокие темпы экономического роста, хотя в ряде стран они были ниже, чем в аналогичном периоде 2007 г.
ВВП в Беларуси в январе-мае 2008 г. увеличился на 10,4% (в среднем по странам СНГ – на 8%), производство промышленной продукции – на 13,3 (на 7), розничный товарооборот – на 19.6 (на 17), инвестиции в основной капитал – на 22.5% (на 18%).
В январе-мае 2008 г. рост цен производителей промышленной продукции в Беларуси был одним из самых низких среди стран СНГ – 110,3%. Индекс потребительских цен в Беларуси в мае 2008 г. составил 106,6% к декабрю 2007 г., при этом он был выше, чем в Казахстане и Грузии, и ниже по сравнению с другими странами СНГ [2, с. 11].
В текущем году сохраняется тенденция высоких темпов роста денежных доходов населения: за пять месяцев 2008 г. они увеличились по сравнению с соответствующим периодом 2007 г. на 27% и составили 27,9 трлн. руб., а реальные денежные доходы возросли на 11,5%. По прогнозу на 2008 г., рост реальных денежных доходов населения должен составить 109–110%. Вместе с тем, по оценке, ожидается перевыполнение данного показателя – рост реальных денежных доходов населения в 2008 г. достигнет 112%. Среднемесячные денежные доходы на душу населения в январе-мае 2008 г. составили 576,5 тыс. руб. 11,8% больше, чем в аналогичном периоде прошлого года) и превысили минимальный потребительский бюджет в 1,8, бюджет прожиточного минимума – в 2,8 раза. Положительная динамика показателей доходов населения в последние годы отражает процесс восстановления уровня жизни, снизившегося в годы трансформационных преобразований.
Наибольший рост доходов населения обеспечен за счет повышения оплаты труда и увеличения размеров социальных трансфертов, доля которых в структуре денежных доходов в январе-мае 2008 г. составила соответственно 58 и 21,3% [3, с. 23].
В первом полугодии 2008 г. происходил рост расходов населения на покупку товаров и оплату услуг, уплату налогов и добровольных взносов, увеличивалась задолженность населения по кредитам и резко снизилась доля сбережений населения во вкладах и ценных бумагах (вдвое по сравнению с аналогичным периодом 2007 г.). Данные тенденции обусловлены, в первую очередь, ростом цен на товары и услуги.
Рост денежных доходов сопровождался снижением уровня малообеспеченности. Доля населения со среднедушевыми располагаемыми ресурсами ниже бюджета прожиточного минимума в I квартале текущего года составила 7,3%, что ниже аналогичного за 2007 г. на 0,4 п.п. Вместе с тем в группе наименее обеспеченных граждан по-прежнему остаются семьи с детьми, жители сельской местности и малых городских поселений.
В целях дальнейшего роста денежных доходов населения требуются целенаправленные меры по созданию условий для активизации трудовой деятельности, в том числе индивидуального предпринимательства и самостоятельной занятости населения, легализации доходов от скрытой экономической деятельности, роста доходов от собственности, повышения государственных гарантий в области оплаты труда и социального обеспечения. Номинальная начисленная среднемесячная заработная плата работников в Республике Беларусь в январе-мае 2008 г. увеличилась в сравнении с соответствующим периодом предыдущего года на 23,4% и составила 802,4 тыс. руб. В бюджетном секторе экономики темпы роста заработной платы были ниже и составили 114,6% по отношению к январю-маю 2007 г. В анализируемом периоде номинальная заработная плата работников в ряде важнейших отраслей была значительно ниже среднереспубликанских значений: в сельском хозяйстве – на 37,6%: в социальном обеспечении – на 34,2; образовании – на 22: в здравоохранении – на 20%. В то же время в таких отраслях, как банковский сектор, управление, наука, строительство и промышленность в целом заработная плата превышала среднереспубликанский уровень.
Несколько увеличилась межотраслевая дифференциация в оплате труда работников. Так, за январь-май 2008 г. она составила 3,4 раза между нефтеперерабатывающей промышленностью (1633,3 тыс. руб.) и сельским хозяйством (484,1 тыс. руб.). Среди регионов самый низкий уровень номинальной среднемесячной заработной платы отмечен в Брестской области (699 тыс. руб.), наиболее высокий – в г. Минске (1075,4 тыс. руб.). Межрегиональная дифференциация составила 1,5 раза.
Возросла покупательная способность заработной платы: 254,9% минимального потребительского бюджета в мае 2008 г. Реальная заработная плата в среднем по республике увеличилась за январь-май 2008 г. к соответствующему периоду 2007 г. На 8,3%. Имеются все предпосылки выполнения прогнозного значения роста реальной заработной платы в 2008 г. – 109,5%. [3, с. 24].
Минимальная заработная плача (МЗП) в первом полугодии не менялась и составила сегодня 208,8 тыс. руб. Тарифная ставка первого разряда с 1 апреля 2008 г. установлена в размере 73 тыс. руб. [3, c. 25].
Государственное регулирование МЗП требует упорядочения действующего законодательства с целью придания ей статуса минимальной социальной гарантии в соответствии с конвенциями МОТ-обеспечения поэтапного сближения к 2010 г. МЗП и МПБ: установления в Генеральном соглашении соотношения МЗП со средней заработной платой; пересмотра ряда методологических подходов к формированию структуры МПБ.
Назрела необходимость научно обосновать критерии установления величины тарифной ставки первого разряда, что позволит реализовать воспроизводственную и стимулирующую функции трудоспособного работника, экономически обосновать межразрядные соотношения ETC в целях достижения материальной заинтересованности работника в результатах своего труда: разработать меры по систематизации компенсационных выплат к тарифной заработной плате, индивидуализации доплат и надбавок стимулирующего характера. В то же время должна усиливаться роль коллективно-договорного регулирования для эффективного и сбалансированного развития трудовых отношений.
Одной из главных задач в области пенсионного обеспечения является последовательное повышение размеров пенсий с учетом роста средней заработной платы в республике и изменения бюджета прожиточного минимума. В первом полугодии 2008 г. по решениям Главы государства трудовые пенсии повышались дважды (с 1 февраля и с 1 мая). С начала года пенсии в среднем увеличились на 6.4%.
Обеспечено выполнение прогнозных показателей пенсионного обеспечения. Среднемесячный размер пенсии по возрасту в январе-июне 2008 г. увеличился по сравнению с соответствующим периодом прошлого года на 24,2% и составил в июне 366,9 тыс. руб., минимальной пенсии по возрасту соответственно на 21,1% и 206.2 тыс. руб. Реальная пенсия по возрасту увеличилась на 8,7%.
В этом году принят ряд решений, направленных на укрепление материального обеспечения пенсионеров. На основании Декрета Президента Республики Беларусь от 13 июня 2008 г. №12 «Об установлении размеров социальных пенсий» с июля увеличены социальные пенсии. Повышен размер пособия по уходу за инвалидами 1 группы и лицами, достигшими 80-летнего возраста (постановление Совета Министров от 14 июня 2008 года №868). До конца текущего года в целях выполнения заданных прогнозных показателей предусматривается еще один перерасчет трудовых пенсий.
В республике продолжается работа по усилению государственной поддержки семей с детьми. С 1 января 2008 г. пособие по уходу за ребенком в возрасте до трех лет выплачивается в размере 80% бюджета прожиточного минимума. Его величина регулярно пересматривается в связи с изменением бюджета прожиточного минимума. В январе-июне 2008 г. в сравнении с тем же периодом 2007 г. среднемесячный размер пособия на детей в возрасте до трех лет увеличился на 42.7% (прогноз – 38,5%) и составил в нюне 167,7 тыс. руб. на детей старше трех лет на 16% (прогноз – 12.5%) и составил 62.9 тыс. руб. [3, c. 26].
В результате преобразований, осуществляемых в рамках принятого в 2007 г. закона «О государственных социальных льготах, правах и гарантиях для отдельных категорий граждан», в республике произошло фактическое перераспределение социальных трансфертов в пользу малообеспеченных. Существенное повышение критерия нуждаемости, отмена категориального принципа способствовали тому, что количество получателей адресной помощи в нервом полугодии 2008 г. более чем в 3 раза превысило их количество в 2007 г. в январе-июне 2008 г. социальную помощь получили 190,9 тыс. чел. на сумму 31.6 млрд. руб.). Увеличились размеры единовременной и ежемесячной адресной помощи. Среди получателей адресной социальной помощи возросло количество семей с детьми-инвалидами, полных семей с детьми в возрасте до трех лет, одиноких граждан. Это именно те категории населения, которые традицией являются нуждающимися.
Продолжается работа по реализации мероприятий целевых государственных социальных программ, направленных на повышение качества жизни пожилых людей, ветеранов, инвалидов. Совершенствуется система социального обслуживания населения. Развивается структура и укрепляется материально-техническая база центров социального обслуживания населения, совершенствуются и внедряются новые технологии и формы социальной работы, расширяется предложение социальных услуг [3, c. 27].
Таким образом, необходимость повышения уровня и качества жизни заключается в том, что любое общество состоит не только из категории работающих людей, в нем всегда есть лица, уже не работающие (пенсионеры, инвалиды и так далее) и еще не работающие (дети, школьники, студенты), инвалиды, которые нуждаются в заботе со стороны семьи, государства, кроме того, государство должно поддерживать существование безработных. Пути повышения уровня и качества жизни в Республике Беларусь включают: создание условий трудоспособным гражданам зарабатывать средства для удовлетворения своих потребностей, обеспечение рациональной занятости населения, повышение доходов и заработной платы, снижение малообеспеченности. Государственная политика повышения уровня и качества жизни населения Республики Беларусь проявляется в разнообразных формах: пособия по безработице; пенсии; пособия по болезни, инвалидности; жилищные пособия; пособия на получение образования; медицинская помощь; гарантирование государством минимального уровня доходов. В текущем году сохраняется тенденция высоких темпов роста денежных доходов населения, причем наибольший рост доходов населения обеспечен за счет повышения оплаты труда и увеличения размеров социальных трансфертов. Рост денежных доходов сопровождался снижением уровня малообеспеченности. Возросла покупательная способность заработной платы. Обеспечено выполнение прогнозных показателей пенсионного обеспечения. Продолжаются работы по оказанию помощи и государственной поддержки, произошло фактическое перераспределение социальных трансфертов в пользу малообеспеченных. Увеличились размеры единовременной и ежемесячной адресной помощи. Среди получателей адресной социальной помощи возросло количество семей с детьми-инвалидами, полных семей с детьми в возрасте до трех лет, одиноких граждан.
2 Основные понятия и показатели макроэкономики (система национальных счетов)
Национальный счет 1. Производство товаров и услуг (млрд. руб./год)
| Дебет
|
Кредит
|
| Материальные затраты, связанные с приобретением товаров и услуг в стране (5210)
|
МЗ
|
ВР
|
Реализация товаров и услуг в стране (8775)
|
| Затраты на импорт (материальные затраты, связанные с приобретением товаров и услуг за пределами страны) (2010)
|
И
|
Э
|
Экспорт товаров и услуг (980)
|
| Добавленная стоимость, созданная в бизнесе (3460)
|
ДС
|
ИЗ
|
Изменение запасов товарно-материальных ценностей в бизнесе (925)
|
| (10680)
|
=
|
=
|
(10680)
|
Национальный счет 2. Образование чистого национального дохода (млрд. руб./год)
| Дебет
|
Кредит
|
| Амортизация (затраты на покрытие износа основных фондов) (810)
|
А
|
ДС
|
Добавленная стоимость, созданная в бизнесе (3460)
|
| Чистый национальный доход (2650)
|
ЧНД
|
| (3460)
|
=
|
=
|
(3460)
|
Национальный счет 3. Распределение национального дохода (млрд. руб./год)
| Дебет
|
Кредит
|
| Заработная плата, начисленная при производстве и распределении товаров и услуг (1210)
|
ЗП
|
ЧНД
|
Чистый национальный доход (2650)
|
| Доход от предпринимательства (часть прибыли) и имущества (560)
|
Д
|
| Нераспределенная прибыль бизнеса (880)
|
НП
|
| (2650)
|
=
|
=
|
(2650)
|
Национальный счет 4. Перераспределение чистого национального дохода (млрд. руб./год)
| Дебет
|
Кредит
|
| Прямые налоги (на доходы и прибыль) (490)
|
ПН
|
ЧНД
|
Чистый национальный доход (2650)
|
| Отчисления на социальное страхование (490)
|
СС
|
СВ
|
Социальные выплаты домохозяйствам(290)
|
| Подоходный налог и прочие отчисления (80)
|
ПОД
|
| Косвенные налоги (350)
|
КН
|
СУБ
|
Субсидии бизнесу (420)
|
| Располагаемый личный доход
(1950)
|
РЛД
|
| (3360)
|
=
|
=
|
(3360)
|
Национальный счет 5. Использование располагаемого личного дохода (млрд. руб./год)
| Дебет
|
Кредит
|
| Потребление (1210)
|
П
|
РЛД
|
Располагаемый доход (1950)
|
| Сбережения (740)
|
С
|
| (1950)
|
=
|
=
|
(1950)
|
Национальный счет 6. Изменение имущества (млрд. руб./год)
| Дебет
|
Кредит
|
| Вложения в реальный капитал (1210)
|
ВК
|
С
|
Сбережения (740)
|
| А
|
Амортизация (810)
|
| Финансовое сальдо (340)
|
ФС
|
| (1550)
|
=
|
=
|
(1550)
|
Национальный счет 7. Кредитование и финансирование (млрд. руб./год)
| Дебет
|
Кредит
|
| Изменение объема кредитования (130)
|
ИК
|
ФС
|
Финансовое сальдо (340)
|
| ИЗ
|
Изменение объема задолженности (-210)
|
| Статистическая погрешность
(0)
|
СП
|
| (130)
|
=
|
=
|
(130)
|
;
=> 

На примере, когда%∆РТУ =10%:
; ;
.
Таблица 2.1 – Воздействие реализации товаров и услуг в стране на национальный доход
| Процентное изменение величины реализации товаров и услуг в стране, %∆РТУ
|
Величина реализации товаров и услуг в стране, РТУ
|
Величина национального дохода, НД
|
Процентное изменение величины национального дохода, %∆НД
|
| 1
|
2
|
3
|
4
|
| 0
|
8775
|
2650
|
0
|
| 5
|
9214
|
3089
|
17
|
| 10
|
9653
|
3528
|
33
|
| 15
|
10091
|
3966
|
50
|
| 20
|
10530
|
4405
|
66
|
НД=f(РТУ)= +(РТУ- )= 2650+(РТУ-8775)
НД= РТУ-6125

%∆НД=f(%∆РТУ)= 3.3*%∆РТУ

; ; 
; 
; ;
На примере, когда%∆Т =10%:
; ;
;
; ;
Таблица 2.2 – Воздействие прямых налогов на располагаемый доход и сбережения в экономике
| Процентное изменение величины прямых налогов, %∆T
|
Величина прямых налогов, Т
|
Величина располагаемого дохода, РД
|
Процентное изменение величины располагаемого дохода, %∆РД
|
Величина сбережений, S
|
Процентное изменение величины сбережений, %∆S
|
| 0
|
490
|
1950
|
0
|
740
|
0
|
| 5
|
514.5
|
1925.5
|
-1.3
|
715.5
|
-3.3
|
| 10
|
539
|
1901
|
-2.5
|
691
|
-6.6
|
| 15
|
563.5
|
1876.5
|
-3.8
|
666.5
|
-9.9
|
| 20
|
588
|
1852
|
-5
|
642
|
-13.2
|
1) РД=f(Т)= - (Т- )= 1950 – (Т-490)=2440-Т

2)%∆РД=f (%∆Т) =-1.3/5*%∆РД= -0.26*%∆РД

3) S=f (Т) = – (Т- ) =740 – (Т-490) =1230-Т

4)%∆S=f (%∆Т)=-3.3/5*%∆Т= -0.66*%∆Т

3. Анализ и прогноз изменений в экономике с использованием модели AD/AS

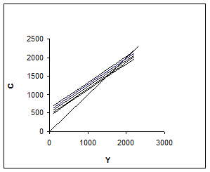
Рисунок 3.1 – График совокупного спроса и начального совокупного предложения
, 
если , , то

, ;
если , то , ,
;
; 
На примере 2-ого периода:
P=153, Y=400*1+1070–5.3*153=659.1
На примере 5-ого периода:
P=(400*4+1070 – (-157))/(9+5.3)=197.7
Y=1070–5.3*197.7+400*4=1622.2
На примере 9-ого периода:
P= (400*8+1070 – (-157))/(9+5.3)=309.6, Y=3459.1
%=(3459.1–3059.1)*100%/3459.1=11.6
Таблица 3.1 – Динамика показателей национальной экономики
| Период (месяц)
|
Изменение величины совокупного спроса
|
Равновесный уровень цен, P
|
Равновесный объем национального производства Y, млрд. руб.
|
| млрд. руб.
|
% прироста к предыдущему периоду
|
| 1
|
0.0
|
0.0
|
153
|
259.1
|
| 2
|
400
|
60.1
|
153
|
659.1
|
| 3
|
400
|
37.8
|
141.7
|
1059.1
|
| 4
|
400
|
27.4
|
169.7
|
1459.1
|
| 5
|
163.1
|
10.0
|
197.7
|
1622.2
|
| 6
|
636.9
|
28.2
|
235.3
|
2259.1
|
| 7
|
400
|
15.0
|
264.5
|
2659.1
|
| 8
|
400
|
13.0
|
293.7
|
3059.1
|
| 9
|
400
|
11.6
|
309.6
|
3459.1
|
| 10
|
400
|
10.3
|
412.3
|
3859.1
|
а) На кейнсианском отрезке совокупного предложения AS уровень цен не изменяется, а на промежуточном и классическом отрезках уровень цен увеличивается.
б) Т. к. на каждом отрезке совокупного предложения AS величина совокупного спроса изменяется на определенную величину, а равновесный объем национального производства растет следовательно процент прироста совокупного спроса уменьшается.

Рисунок 3.2 – График совокупного спроса и конечного совокупного предложения
Начальный равновесный уровень цен и начальный равновесный объем национального производства соответственно равны равновесному уровню цен и равновесному объему национального производства в таблице 5.1
Конечный равновесный уровень цен и конечный равновесный объем национального производства считаются также как равновесный уровень цен и равновесный объем национального производства в таблице 2.1, но на основе конечного совокупного предложения.
;
.
Таблица 3.2 – Влияние изменения совокупного предложения на параметры национальной экономики
| Период (месяц)
|
Уровень цен
|
Объем национального производства
|
| начальный
|
конечный
|
дефляция, %
|
начальный, млрд. руб.
|
конечный, млрд. руб.
|
прирост, %
|
| 1
|
153
|
135
|
11.8
|
259.1
|
358.1
|
38.2
|
| 2
|
153
|
135
|
11.8
|
659.1
|
759.2
|
15.2
|
| 3
|
141.7
|
135
|
4.7
|
1059.1
|
1158.0
|
9.3
|
| 4
|
169.7
|
164.6
|
3.0
|
1459.1
|
1489.0
|
2.0
|
| 5
|
197.7
|
192.5
|
2.6
|
1622.2
|
1652.2
|
1.8
|
| 6
|
235.3
|
230.1
|
2.2
|
2259.1
|
2289.3
|
1.3
|
| 7
|
264.5
|
258.9
|
2.1
|
2659.1
|
2689.2
|
1.1
|
| 8
|
293.7
|
288.2
|
1.9
|
3059.1
|
3089.3
|
1.0
|
| 9
|
309.6
|
291.4
|
5.9
|
3459.1
|
3559.1
|
2.9
|
| 10
|
412.3
|
394.2
|
4.4
|
3859.1
|
3959.1
|
2.6
|
На кейнсианском отрезке совокупного предложения AS дефляция не возникла, т. к. уровень цен не изменился; на промежуточном и классическом отрезках возникла дефляция из-за изменения параметров совокупного предложения в экономике.
На кейнсианском отрезке совокупного предложения AS прирост не возник, т. к. уровень цен не изменился; на промежуточном и классическом отрезках возник прирост из-за изменения параметров совокупного предложения в экономике.
4. Анализ и прогноз изменения в экономике с использованием модели Кейнса
, ;
;
.
Равновесный национальный доход Y определяется исходя из балансового уравнения
E = Y
a + b·(Y-T) + I + G = Y
;
На примере расчета равновесного национального дохода:
;
;
T=1280.5+210+180=1670.5;
Y-E=1670.5–1670.5=0
Таблица 4.1 – Формирование равновесной величины национального дохода в базовом периоде
| Национальный доход, Y, млрд. руб.
|
Потребительские расходы, C, млрд. руб.
|
Инвестиционные расходы, I, млрд. руб.
|
Государственные расходы, G, млрд. руб.
|
Итого совокупные расходы, E=C+I+G, млрд. руб.
|
Дефицит (излишек),
Y-E, млрд. руб.
|
| 0
|
-39.2
|
210
|
180
|
350.8
|
-350.8
|
| 300
|
197.8
|
210
|
180
|
587.8
|
-287.8
|
| 600
|
434.8
|
210
|
180
|
824.8
|
-224.8
|
| 900
|
671.8
|
210
|
180
|
1061.8
|
-161.8
|
| 1200
|
908.8
|
210
|
180
|
1298.8
|
-98.8
|
| 1670.5
|
1280.5
|
210
|
180
|
1670.5
|
0
|
| 1500
|
1145.8
|
210
|
180
|
1535.8
|
-35.8
|
| 1800
|
1382.8
|
210
|
180
|
1772.8
|
27.2
|
| 2100
|
1619.8
|
210
|
180
|
2009.8
|
90.2
|
| 2400
|
1856.8
|
210
|
180
|
2246.8
|
153.2
|
| 2700
|
2093.8
|
210
|
180
|
2483.8
|
216.2
|

Рисунок 4.1 – Крест Кейнса в базовом периоде
E=C+I+G; C=a+b*(Y-T);
E=108+0.79 (Y-180) +180+210=355.8+0.79*Y;
Y-355.8–0.79*Y= -0.05Y
0.26Y=355.8
Y=1368.5
; E=C+I+G; C=a+b*(Y-T);
E=108+0.79 (Y-180) +180+210=355.8+0.7*Y;
Y-355.8–0.79*Y=0.05Y
0.16Y=355.8
Y=2223.75
Y=E Y= a+b*(Y-T) +I+G, 
Y=1/ (1–0.79)*(108–0.79*180+210+180) =1694.3
C=108+0.79 (1694.3–180) =1304.3
C= 997*1.1=1096.7
1096.7=108+b (1694.3–180)
b=0.65
;

;
;
Проверка 
На примере 2-ого периода:
;
;

;

Таблица 4.2 – Прогноз показателей национальной экономики при изменении инвестиционных расходов
| Период (месяц)
|
Потреби-тельские расходы, C, млрд. руб.
|
Инвести-ционные расходы, I, млрд. руб.
|
Государст-венные расходы, G, млрд. руб.
|
Итого совокупные расходы, E=C+I+G, млрд. руб.
|
Нацио-нальный доход, Y, млрд. руб.
|
| 1
|
1568.6
|
280.0
|
180
|
2028.6
|
2028.6
|
| 2
|
1726.0
|
322.0
|
180
|
2228.0
|
2228.0
|
| 3
|
1908.1
|
370.3
|
180
|
2458.6
|
2458.6
|
| 4
|
2117.6
|
426.0
|
180
|
2723.8
|
2723.8
|
| 5
|
2358.4
|
490.0
|
180
|
3028.6
|
3028.6
|

Рисунок 4.2 – Крест Кейнса при изменении инвестиционных расходов.
; ; ;
; 
;

;
; I=0.21Y-162
;

;

;

С ↑→ Y↑→ I↑
;

;
;
Проверка 
На примере 2-ого периода:
;
;

;
Таблица 4.3 – Прогноз показателей национальной экономики при изменении государственных расходов
| Период (месяц)
|
Потребительские расходы, C, млрд. руб.
|
Инвестиционные расходы, I, млрд. руб.
|
Государственные расходы, G, млрд. руб.
|
Итого совокупные расходы, E=C+I+G, млрд. руб.
|
Национальный доход, Y, млрд. руб.
|
| 1
|
1568.6
|
280
|
180
|
2028.6
|
2028.6
|
| 2
|
1944.8
|
280
|
234
|
2504.8
|
2504.8
|
| 3
|
2207.9
|
280
|
304
|
2838.1
|
2838.1
|
| 4
|
2554.0
|
280
|
396
|
3276.2
|
3276.2
|
| 5
|
2998.0
|
280
|
514
|
3838.1
|
3838.1
|

Рисунок 4.3 – Крест Кейнса при изменении государственных расходов
, ;
; ;

Мультипликатор госрасходов равен инвестиционному мультипликатору.
4.4 Прогноз показателей национальной экономики при изменении налогов
;

;
;
Проверка 
На примере 2-ого периода:
;
;
;
;
Проверка 
Таблица 4.4 – Прогноз показателей национальной экономики при изменении налогов
| Период (месяц)
|
Т, млрд. руб.
|
C, млрд. руб.
|
I, млрд. руб.
|
G, млрд. руб.
|
E=C+I+G, млрд. руб.
|
Y, млрд. руб.
|
| 1
|
180
|
1360.7
|
210
|
180
|
1406.7
|
1765.7
|
| 2
|
216
|
1225.3
|
210
|
180
|
1630.3
|
1630.3
|
| 3
|
260
|
1059.7
|
210
|
180
|
1464.8
|
1464.8
|
| 4
|
311
|
867.9
|
210
|
180
|
1272.9
|
1272.9
|
| 5
|
373
|
634.7
|
210
|
180
|
1039.7
|
1039.7
|

Рисунок 4.4 – Крест Кейнса при изменении налогов

;



Налоговый мультипликатор меньше инвестиционного мультипликатора и мультипликатора госрасходов.
4.5 Прогноз показателей национальной экономики при изменении государственных расходов и налогов в условиях сбалансированного госбюджета
;
;
;
;
;
Проверка 
На примере 2-ого периода:
;
;
;
;
;
Проверка 
Таблица 4.5 – Прогноз показателей национальной экономики при изменении государственных расходов и налогов (сбалансированный госбюджет)
| Период
(месяц)
|
Т, млрд.
руб.
|
C, млрд.
руб.
|
I, млрд.
руб.
|
G, млрд.
руб.
|
E=C+I+G, млрд. руб.
|
Y, млрд. руб.
|
| 1
|
130
|
1744.4
|
210
|
130
|
2201.4
|
2201.4
|
| 2
|
182
|
1548.8
|
210
|
182
|
2010.8
|
2010.8
|
| 3
|
255
|
1274.2
|
210
|
255
|
1731.2
|
1731.2
|
| 4
|
306
|
1082.3
|
210
|
306
|
1539.3
|
1539.3
|
| 5
|
367
|
852.8
|
210
|
367
|
1309.8
|
1309.8
|

Рисунок 4.5 – Крест Кейнса при изменении государственных расходов и налогов

Рисунок 6.6 – Механизм работы сбалансированного госбюджета на кресте Кейнса
I= c – d*r,

;

S = SP
+ SG
; SP = Y – T – C; SG = T – G.
S=Y-T-C+T-G=Y-C-G;
Правильность расчетов в таблицы контролируется выполнением равенств:
E = Y;
I = S.
На примере 2-ого периода:
;
;
;
;
S=2723–180–2117=426
Таблица 5.1 – Формирование параметров равновесия на товарном рынке (функция IS)
| Процентная ставка r
|
Потребительские расходы С, млрд. руб.
|
Инвестиционные расходы I, млрд. руб.
|
Государственные расходы G, млрд. руб.
|
Совокупные расходы E, млрд. руб.
|
Национальный доход Y, млрд. руб.
|
Сбережения S, млрд. руб.
|
| 2
|
2237
|
458
|
180
|
2875
|
2875
|
458
|
| 4
|
2117
|
426
|
180
|
2723
|
2723
|
426
|
| 6
|
1996
|
394
|
180
|
2570
|
2570
|
394
|
| 8
|
1876
|
362
|
180
|
2418
|
2418
|
362
|
| 10
|
1756
|
330
|
180
|
2266
|
2266
|
330
|
| 12
|
1635
|
298
|
180
|
2113
|
2113
|
298
|
| 14
|
1525
|
266
|
180
|
1961
|
1961
|
266
|
| 16
|
1395
|
234
|
180
|
1809
|
1809
|
234
|
| 18
|
1274
|
202
|
180
|
1656
|
1656
|
202
|
| 20
|
1154
|
170
|
180
|
1504
|
1504
|
170
|

Рисунок 5.1. – Формирование функции IS
Выше линии IS:
1) Y=2500; r=15
E=108+0.79 (2500–180)+490–16*15+ +180=2371
Y-E=2500–2371=129 – излишек
2) Y=2700; r=10
E=108+0.79 (2700–180)+490–16*10+ +180=2609
Y-E=2700–2609=91 – излишек
3) Y=2200; r=20
E=108+0.79 (2200–180)+490–16*20+ +180=2054
Y-E=2200–2054=146 – излишек
4) Y=2500; r=10
E=108+0.79 (2500–180)+490–16*10+ +180=2451
Y-E=2500–2451=49 – излишек
Ниже линии IS:
1) Y=2500; r=5
E=108+0.79 (2500–180)+490–16*5+ +180=2531
Y-E=2500–2531=-31 – дефицит
2) Y=2000; r=10
E=108+0.79 (2000–180)+490–16*10+ +180=2051
Y-E=2000–2051=-51 – дефицит
3) Y=2100; r=10
E=108+0.79 (2100–180)+490–16*10+ 180=2135
Y-E=2100–2135=-35 – дефицит
4) Y=2700; r=2
E=108+0.79 (2700–180)+490–16*2+ +180=2737
Y-E=2700–2737=-37 – дефицит
1) Y=E

Y= (108–0.79*180+490–16*r+180)/0.21= (636–16*r)/0.21
r=5% Y=2648
r=7% Y=2495
r=12% Y=2114
r=17% Y=1733
2)% излишка (дефицита)=(Y-E)/Y*100
а) 
;
0.28Y=636–16*r; Y= (636–16*r)/0.28
r=5% Y=1986 r=12% Y=1586
r=7% Y=1871 r=17% Y=1300
б) ;
0.35Y=636–16*r; Y=(636–16*r)/0.35
r=5% Y=1589 r=12% Y=1269
r=7% Y=1497 r=17% Y=1040
в) ;
0.14Y=636–16*r; Y= (636–16*r)/0.14;
r=5% Y=3971 r=12% Y=3171
r=7% Y=3743 r=17% Y=2600
г) 
0.07Y=636–16*r; Y= (636–16*r)/0.07;
r=5% Y=7943 r=12% Y=6343
r=7% Y=7486 r=17% Y=5200

Рисунок 5.1 – Формирование функции IS и графики линий, соответствующие указанным дефицитам и излишкам
1. Товарный рынок будет находиться в равновесии –
Y= (636–16*r)/0.21
2. а) дефицит 7% – Y= (636–15*r)/0.28
б) дефицит 14% – Y=(636–16*r)/0.35
в) излишек 7% – Y= (636–16*r)/0.14;
г) излишек 14% – Y= (636–16*r)/0.07.

;
0.26Y=740–16*r; Y= (740–16*r)/0.26
r=12% Y=(636–16*12)/0.26=1708

0.16Y=636–16*r; Y= (636–16*r)/0.16
r=5%, Y=3475
D1
= H; Di
= K i-1.;
MRi
= Di
·R.; Ki
= D i
– MRi.;

На примере 2-ого периода:
; ; ;

Таблица 5.2 – Моделирование денежного мультипликатора
| Банк (клиент)
|
Дополнительный депозитный счет D, млрд. руб.
|
Дополнительные обязательные резервы MR, млрд. руб.
|
Дополнительные избыточные резервы К, млрд. руб.
|
Накопленная денежная масса Ms, млрд. руб.
|
| 1
|
10.4
|
1.25
|
9.15
|
10.4
|
| 2
|
9.15
|
1.1
|
8.05
|
19.55
|
| 3
|
8.05
|
0.97
|
7.1
|
27.6
|
| 4
|
7.1
|
0.85
|
6.3
|
34.7
|
| 5
|
6.3
|
0.76
|
5.5
|
41.0
|
| 6
|
5.5
|
0.66
|
4.8
|
46.5
|
| 7
|
4.8
|
0.58
|
4.2
|
51.3
|
| 8
|
4.2
|
0.5
|
3.7
|
55.5
|
| 9
|
3.7
|
0.44
|
3.3
|
59.2
|
| 10
|
3.3
|
0.4
|
2.9
|
62.5
|
; ;
2-R=1.44, R=0.56
Таблица 5.3 – Моделирование денежного мультипликатора
| Банк (клиент)
|
Дополнительный депозитный счет D, млрд. руб.
|
Дополнительные обязательные резервы MR, млрд. руб.
|
Дополнительные избыточные резервы К, млрд. руб.
|
Накопленная денежная масса Ms, млрд. руб.
|
| 1
|
10.4
|
2.5
|
7.9
|
10.4
|
| 2
|
7.9
|
1.9
|
6.0
|
18.3
|
| 3
|
6.0
|
1.44
|
4.56
|
24.3
|
| 4
|
4.56
|
1.09
|
3.47
|
28.9
|
| 5
|
3.47
|
0.83
|
2.64
|
32.37
|
| 6
|
2.64
|
0.63
|
2.01
|
35.01
|
| 7
|
2.01
|
0.48
|
1.53
|
37.02
|
| 8
|
1.53
|
0.37
|
0.16
|
38.55
|
| 9
|
0.16
|
0.04
|
0.12
|
38.71
|
| 10
|
0.12
|
0.03
|
0.09
|
38.83
|
Дополнительный депозитный счет, дополнительные обязательные и избыточные резервы уменьшаются с большей скоростью при увеличении нормы обязательных резервов, а накопленная денежная масса увеличивается с меньшей скоростью.
(M/P)S
= MS
/P,
(M/P)D
= e·Y – f·r,
(M/P)D
= (M/P)S


На примере 2-ого периода:

Таблица 5.4 – Формирование параметров равновесия на денежном рынке (функция LM)
| Процентная ставка r
|
Величина спроса на деньги (M/P) D, млрд. руб.
|
Величина предложения денег (M/P) S, млрд. руб.
|
Национальный доход Y, млрд. руб.
|
| 2
|
507
|
507
|
744
|
| 4
|
507
|
507
|
964
|
| 6
|
507
|
507
|
1185
|
| 8
|
507
|
507
|
1405
|
| 10
|
507
|
507
|
1626
|
| 12
|
507
|
507
|
1847
|
| 14
|
507
|
507
|
2067
|
| 16
|
507
|
507
|
2288
|
| 18
|
507
|
507
|
2509
|
| 20
|
507
|
507
|
2729
|

Рисунок 5.2 – Формирование функции LM (совмещенные графики: r – (M/P), r-Y)
(M/P)D
=e*Y-f*r
(M/P)S
=MS
/P
Излишек (дефицит)= (M/P)S
– (M/P)D
1) r =20%; Y=1500
(M/P)D
=0.97*1500–107*20=-685
(M/P)S
=1050 /2.07=507
507 – (-685) = 1192 – излишек
2) r =15%; Y=2000
(M/P)D
=0.97*2000–107*15=335
(M/P)S
=1050 /2.07=507
507–335= 172 – излишек
3) r =5%; Y=1000
(M/P)D
=0.97*1000–107*5=435
(M/P)S
=1050 /2.07=507
507–435= 72 – излишек
4) r =20%; Y=2000
(M/P)D
=0.97*2000–107*20=-200
(M/P)S
=1050 /2.07=507
507 – (-200)= 707- излишек
1) r =5%; Y=1500
(M/P)D
=0.97*1500–107*5=920
(M/P)S
=1050 /2.07=507
507–920= -413 – дефицит
2) r =10%; Y=2000
(M/P)D
=0.97*2000–107*10=870
(M/P)S
=1050 /2.07=507
507–870= -363 – дефицит
3) r =15%; Y=2500
(M/P)D
=0.97*2500–107*15=820
(M/P)S
=1050 /2.07=507
507–820= – 313 – дефицит
4) r =10%; Y=3000
(M/P)D
=0.97*3000–107*10=1840
(M/P)S
=1050 /2.07=507
507–1840= – 1333 – дефицит
1)

507=0.97*Y-107*r
Y=522.7+110.3*r
r =5% Y=1074.2; r =12% Y=1846.3;
r =7% Y=1294.8; r = 17% Y=2397.8
2)
а) 
507–0.97*Y+107*r= – 35.49
Y= (542.49+107*r)/0.97=559.27+110.3*r;
r =5% Y=1111; r =12% Y=1883;
r =7% Y=1331; r = 17% Y=2434.
б) ;
507–0.97*Y+107*r= – 70.98;
Y= (577.98+107*r)/0.97=595.86+110.3*r;
r =5% Y=1147; r =12% Y=1919;
r =7% Y=1367; r = 17% Y=2470.
в)
507–0.97*Y+107*r=35.49
Y= (471.51+107*r)/0.97=486+110.3*r;
r =5% Y=1038; r =12% Y=1810;
r =7% Y=1258.1; r = 17% Y=2361.
г) ;
507–0.97*Y+107*r=70.98;
Y= (436.02+107*r)/0.97=449.5+110.3*r;
r =5% Y=1001; r =12% Y=1773;
r =7% Y=1222; r = 17% Y=2325
3) Денежный рынок находиться в равновесии (работает без дефицита и излишка).
Y=522.7+110.3*r
а) дефицит 7% – Y= 559.27+110.3*r;
б) дефицит 14% – Y=695.86+110.3*r;
в) излишек 7% – Y=486+110.3*r;
г) излишек 14% – Y=449.5+110.3*r;

Рисунок 5.3 – Формирование функции LM и графики линий, соответствующие указанным дефицитам и излишкам

507–0.97*Y+107*r= – 25.35
Y= (532.35+107*r)/0.97=548.8+110.3*r;
r =12% Y=1872;
;
507–0.97*Y+107*r= 25.35
Y= (481.65+107*r)/0.97=496.5+110.3*r;
r =5% Y=1048; r =12% Y=1820;
r =7% Y=1269; r = 17% Y=2372.
YIS
= Y (графа 6 таблицы 7.1);
YLM
= Y (графа 4 таблицы 7.4).
Таблица 5.5 – Формирование параметров совместного равновесия на денежном и товарном рынках
| Процентная ставка r
|
Национальный доход, обеспечивающий равновесие на товарном рынке YIS
, млрд. руб.
|
Национальный доход, обеспечивающий равновесие на денежном рынкеYLM
, млрд. руб.
|
| 2
|
2875
|
804
|
| 4
|
2723
|
1035
|
| 6
|
2570
|
1266
|
| 8
|
2418
|
1497
|
| 10
|
2266
|
1728
|
| 12
|
2113
|
1959
|
| 14
|
1961
|
2190
|
| 16
|
1809
|
2421
|
| 18
|
1656
|
2652
|
| 20
|
1504
|
2883
|

Рисунок 5.4 – Совмещенный график IS/LM для базового периода
C=a+b·(Y-T)
I=c-d·r
E=C+I+G
Излишек (дефицит)=Y-E
(M/P)D
=e·Y-f·r
(M/P)S
=MS
/P
Излишек (дефицит) (M/P)S
– (M/P)D
E=108+0.79 (Y-180)+490–16*r+180=455.8+0.79*Y-16*r
(M/P)D
=0.97*Y-107*r
(M/P)S
=1050/2.07=507
а) товарный и денежный излишек
1. r=15% Y=1500
E=455.8+0.79*1500–16*15=1400.8
Y-E=1500–1387=113 – товарный излишек
(M/P)D
=0.97*1500–107*15=-150
(M/P)S
– (M/P)D
=507 – (-150)=657 – денежный излишек
2. r=15% Y=2000
E=455.8+0.79*2000–16*15=1795.8
Y-E=2000–1795.8=204.2 – товарный излишек
(M/P)D
=0.97*2000–107*15=335
(M/P)S
– (M/P)D
=507–335=172 – денежный излишек
3. r=20% Y=1000
E=455.8+0.79*1000–16*20=925.8
Y-E=1000–925.8=74.2 – товарный излишек
(M/P)D
=0.97*1000–107*20=-1170
(M/P)S
– (M/P)D
=507 – (-1170)=1677 – денежный излишек
4. r=20% Y=2000
E=455.8+0.79*2000–16*20=1715.8
Y-E=2000–1715.8=284.2 – товарный излишек
(M/P)D
=0.97*2000–107*20=-200
(M/P)S
– (M/P)D
=507 – (-200)=607 – денежный излишек
б) товарный излишек и денежный дефицит
1. r=5% Y=2000
E=455.8+0.79*2000–16*5=1955.8
Y-E=2000–1955.8=44.2 – товарный излишек
(M/P)D
=0.97*2000–107*5=1405
(M/P)S
– (M/P)D
=507–1405= -898 – денежный дефицит
2. r=10% Y=2500
E=455.8+0.79*2500–16*10=1380.8
Y-E=2500–1380.8=1119.2 – товарный излишек
(M/P)D
=0.97*2500–107*10=1355
(M/P)S
– (M/P)D
=507–1355= -848 – денежный дефицит
3. r=5% Y=2500
E=562+0.7*2500–15*5=2237
Y-E=2500–2237=263 – товарный излишек
(M/P)D
=0.91*2500–105*5=1750
(M/P)S
– (M/P)D
=522–1750= -1228 – денежный дефицит
4. r=10% Y=3000
E=455.8+0.79*3000–16*10=2665.8
Y-E=3000–2665.8=334.2 – товарный излишек
(M/P)D
=0.97*3000–107*10=1840
(M/P)S
– (M/P)D
=507–1840= -1333 – денежный дефицит
в) товарный и денежный дефицит
1. r=2% Y=1000
E=455.8+0.79*1000–16*2=1213.8
Y-E=1000–1213.8= -213.8 – товарный дефицит
(M/P)D
=0.97*1000–107*2=756
(M/P)S
– (M/P)D
=507–756= -249 – денежный дефицит
2. r=2% Y=1200
E=455.8+0.79*1200–16*2=1371.8
Y-E=1200–1371.8= -171.8 – товарный дефицит
(M/P)D
=0.97*1200–107*2=950
(M/P)S
– (M/P)D
=507–950= -443 – денежный дефицит
3. r=4% Y=1300
E=455.8+0.79*1300–16*4=1418.8
Y-E=1300–1418.8= -118.8 – товарный дефицит
(M/P)D
=0.97*1300–107*4=833
(M/P)S
– (M/P)D
=507–833= -326 – денежный дефицит
4. r=5% Y=1500
E=455.8+0.79*1500–16*5=1560.8
Y-E=1500–1560.8= -60.8 – товарный дефицит
(M/P)D
=0.97*1500–107*5=920
(M/P)S
– (M/P)D
=507–920= -413 – денежный дефицит
г) товарный дефицит и денежный излишек
1. r=5% Y=1000
E=455.8+0.79*1000–16*5=1165.8
Y-E=1000–1165.8= -165.8 – товарный дефицит
(M/P)D
=0.97*1000–107*5=435
(M/P)S
– (M/P)D
=507–435= 72 – денежный излишек
2. r=10% Y=1200
E=455.8+0.79*1200–16*10=1243.8
Y-E=1200–1243.8= -43.8 – товарный дефицит
(M/P)D
=0.97*1200–107*10=94
(M/P)S
– (M/P)D
=507–94= 413 – денежный излишек
3. r=15% Y=1000
E=455.8+0.79*1000–16*15=1005.8
Y-E=1000–1005.8= -5.8 – товарный дефицит
(M/P)D
=0.97*1000–107*15= -635
(M/P)S
– (M/P)D
=507 – (-635)= 1142 – денежный излишек
4. r=5% Y=500
E=455.8+0.79*500–16*5=770.8
Y-E=500–770.8= -270.8 – товарный дефицит
(M/P)D
=0.97*500–107*5= -50
(M/P)S
– (M/P)D
=507 – (-50)= 557 – денежный излишек
а) на товарном рынке излишек 5% и на денежном рынке излишек 5%:
507–0.97*Y+107*r= 26.1
0.25Y=455.8–16*r; Y= (480.9+107*r)/0.97
Y= (455.8–16*r)/0.25 Y=495.8+110.3*r;
Y=1823.2–64*r 1823.2–64*r=495.8+110.3*r
r=10% Y=1183.2
б) на товарном рынке излишек 5% и на денежном рынке дефицит 5%:
; 
0.25Y=455.8–16*r; 507–0.97*Y+107*r= – 26.1
Y= (455.8–16*r)/0.25 Y= (533.1+107*r)/0.97
Y=1823.2–64*r Y=549.6+110.3*r;
1823.2–64*r=549.6+110.3*r r=9% Y=1247.2
в) на товарном рынке дефицит 5% и на денежном рынке дефицит 5%:
; ;
0.35Y=455.5–16*r 507–0.97*Y+107*r= – 26.1
Y= (455.8–16*r)/0.35 Y= (533.3+107*r)/0.97
Y=1302.3–45.7*r Y=549.6+110.3*r
1302.3–45.7*r=549.6+110.3*r
r=6% Y=1028.1
г) на товарном рынке дефицит 5% и на денежном рынке излишек 5%:

0.35Y=455.8–16*r 507–0.97*Y+107*r= 26.1
Y= (455.8–16*r)/0.35 Y= (480.9+107*r)/0.97
Y=1302.3–45.7*r Y=495.8+110.3*r;
1302.3–45.7*r=544.95+110.3*r
r=7% Y=982.4

Рисунок 5.5 – Совмещенный график IS/LM для базового периода на котором показаны комбинации точек и излишка и дефицита на товарном и денежном рынках
;


C = a + b·(Y-T).
r=(e*Y – MS /P)/f
I = c – d·r.
E = C + I + G.
S = SP
+ SG
= (Y – T – C) + (T – G) = Y – C – G.
(M/P)D
= e·Y – f·r.
(M/P)S
= MS
/P.
Правильность расчетов в таблицы 5.1 контролируется выполнением равенств:
E = Y;
I = S;
(M/P)D
= (M/P)S.
На примере 2-ого периода:

;
C=108+0.79 (2152.2–180) =1666;
;
I=490–16*10.4=323.6
E=234+1666+323.6=2223.6
S=2223.6–1666–234=323.6
Таблица 6.1 – Прогноз показателей национальной экономики при проведении стимулирующей фискальной политики
| Период (месяц)
|
Процентная ставка r
|
Потребительские расходы C, млрд. руб.
|
Инвестиционные расходы I, млрд. руб.
|
Государственные расходы G, млрд. руб.
|
Совокупные расходы E, млрд. руб.
|
| базовый
|
9.3
|
1547
|
341.2
|
180
|
2001
|
| 1
|
10.4
|
1666
|
323.6
|
234
|
2152.2
|
| 2
|
11.8
|
1821
|
301.2
|
304
|
2348
|
| 3
|
13.6
|
2022
|
272.4
|
395
|
2603
|
| 4
|
16.2
|
2307
|
230.8
|
514
|
2936
|
| 5
|
19
|
2626
|
186
|
668
|
3367
|
| базовый
|
78.6
|
507
|
507
|
2068.2
|
| 1
|
323.6
|
507
|
507
|
2223.6
|
| 2
|
526.2
|
507
|
507
|
2426.2
|
| 3
|
789.4
|
507
|
507
|
2689.4
|
| 4
|
1151.8
|
507
|
507
|
3051.8
|
| 5
|
1580
|
507
|
507
|
3480
|

Рисунок 6.1 – Стимулирующая фискальная политика на графике IS/LM
C=a+b·(Y-T)
С'=108+0.79 (Y'-180)=-34.2+0.79*Y'=1253.5
Y'=1630
(M/P)D
=e·Y-f·r
(M/P)S
=MS
/P
(M/P)S
=(M/P)D
r'=(e*Y' – MS
/P)/f
r'=(0.97*1630–507)/107=10%
I'=c-d*r'
I'=490–16*9=346
E'=C’+I’+G’
E’=Y’
G’=E’ – C’ – I’
G’=1630–1253.5–346=30.5

G’=1.1*180=198


C’=108+0.79 (2089–180) =1616

Таблица 6.2 – Прогноз показателей национальной экономики при проведении стимулирующей фискальной политики
| Период (месяц)
|
Процентная ставка r
|
Потребительские расходы C, млрд. руб.
|
Инвестиционные расходы I, млрд. руб.
|
Государственные расходы G, млрд. руб.
|
Совокупные расходы E, млрд. руб.
|
| базовый
|
9.3
|
1547
|
341.2
|
180
|
2001
|
| 6
|
5
|
1123
|
284.2
|
180
|
1520
|
| базовый
|
78.6
|
507
|
507
|
2001
|
| 6
|
21.6
|
507
|
507
|
1520
|
Расчет проводиться аналогично таблице 5.1, за исключением

G=180

Таблица 6.3 – Прогноз показателей национальной экономики при проведении сдерживающей фискальной политики
| Период (месяц)
|
Процентная ставка r
|
Потребительские расходы C, млрд. руб.
|
Инвестиционные расходы I, млрд. руб.
|
Государственные расходы G, млрд. руб.
|
Совокупные расходы E, млрд. руб.
|
| базовый
|
9.3
|
1547
|
341.2
|
180
|
2001
|
| 1
|
2.7
|
1511
|
265
|
180
|
1956
|
| 2
|
2.5
|
1434
|
245
|
180
|
1859
|
| 3
|
2.3
|
1341
|
220
|
180
|
1741
|
| 4
|
2.1
|
1230
|
190
|
180
|
1600
|
| 5
|
1.9
|
1096
|
154
|
180
|
1430
|
| базовый
|
78.6
|
507
|
507
|
2001
|
180
|
| 1
|
265
|
507
|
507
|
1956
|
216
|
| 2
|
245
|
507
|
507
|
1859
|
259
|
| 3
|
220
|
507
|
507
|
1741
|
311
|
| 4
|
190
|
507
|
507
|
1600
|
373
|
| 5
|
154
|
507
|
507
|
1430
|
448
|


Рисунок 6.2 – Сдерживающая фискальная политика на графике IS/LM
С'=108+0.79 (Y'-T’)=1.1*1547=1702
Y’=1500+T’


92914–86.11*T’=57615+38.41*T’
T’=283

5.2.3.
T’=1.1*180=198


C’=108+0.79 (1997–198) =1529

6.3 Прогноз показателей национальной экономики при проведении стимулирующей монетарной политики

;
;

;
Таблица 6.4 – Прогноз показателей национальной экономики при проведении стимулирующей монетарной политики
| Период (месяц)
|
Процентная ставка r
|
Потребительские расходы C, млрд. руб.
|
Инвестиционные расходы I, млрд. руб.
|
Государственные расходы G, млрд. руб.
|
Совокупные расходы E, млрд. руб.
|
| базовый
|
14.9
|
1488
|
251.6
|
180
|
1927
|
| 1
|
14.6
|
1504
|
256.4
|
180
|
1947
|
| 2
|
14.3
|
1524
|
261.2
|
180
|
1972
|
| 3
|
14
|
1547
|
266
|
180
|
2002
|
| 4
|
13.7
|
1575
|
270.8
|
180
|
2037
|
| 5
|
13.4
|
1609
|
275.6
|
180
|
2080
|
| Период (месяц)
|
Сбережения S, млрд. руб.
|
Спрос на деньги (M/P)D
, млрд. руб.
|
Предложение денег (M/P)S
, млрд. руб.
|
Национальный доход Y, млрд. руб.
|
| базовый
|
259
|
507
|
507
|
1927
|
| 1
|
263
|
608
|
608
|
1947
|
| 2
|
268
|
730
|
730
|
1972
|
| 3
|
245
|
876
|
876
|
2002
|
| 4
|
282
|
1051
|
1051
|
2037
|
| 5
|
291
|
1262
|
1262
|
2080
|


Рисунок 6.3 – Стимулирующая монетарная политика на графике IS/LM


;


;
;
;

;


;
;

Расчет проводиться аналогично таблице 5.3
Таблица 6.4 – Прогноз показателей национальной экономики при проведении сдерживающей монетарной политики
| Период (месяц)
|
Процентная ставка r
|
Потребительские расходы C, млрд. руб.
|
Инвестиционные расходы I, млрд. руб.
|
Государственные расходы G, млрд. руб.
|
Совокупные расходы E, млрд. руб.
|
| 1
|
2
|
3
|
4
|
5
|
6
|
| базовый
|
14.9
|
1488
|
251.6
|
180
|
1927
|
| 1
|
15.6
|
1471
|
240.4
|
180
|
1906
|
| 2
|
16.1
|
1458
|
232.4
|
180
|
1889
|
| 3
|
16.6
|
1469
|
224.4
|
180
|
1903
|
| 4
|
16.9
|
1456
|
219.6
|
180
|
1887
|
| 5
|
17.2
|
1446
|
214.8
|
180
|
1874
|
| 1
|
7
|
8
|
9
|
10
|
| базовый
|
259
|
507
|
507
|
1927
|
| 1
|
255
|
406
|
406
|
1906
|
| 2
|
251
|
324
|
324
|
1889
|
| 3
|
254
|
389
|
389
|
1903
|
| 4
|
251
|
312
|
312
|
1887
|
| 5
|
248
|
249
|
249
|
1874
|

Рисунок 6.4 – Сдерживающая монетарная политика на графике IS/LM


;


;
;
;

;

;
;
;

; ;
;


;

;
| Период (месяц)
|
Процентная ставка r
|
Потребительские расходы C, млрд. руб.
|
Инвестиционные расходы I, млрд. руб.
|
Государственные расходы G, млрд. руб.
|
| 1
|
2
|
3
|
4
|
5
|
| базовый
|
14.9
|
1488
|
251.6
|
180
|
| 1
|
15.6
|
1471
|
240.4
|
180
|
| 2
|
16.1
|
1458
|
232.4
|
180
|
| 3
|
16.6
|
1469
|
224.4
|
180
|
| 4
|
16.9
|
1456
|
219.6
|
180
|
| 5
|
17.2
|
1446
|
214.8
|
180
|
| Период (месяц)
|
Сбережения S, млрд. руб.
|
Спрос на деньги (M/P) D, млрд. руб.
|
Предложение денег (M/P) S, млрд. руб.
|
Национальный доход Y, млрд. руб.
|
| 1
|
7
|
8
|
9
|
10
|
| базовый
|
259
|
507
|
507
|
1927
|
| 1
|
255
|
406
|
406
|
1906
|
| 2
|
251
|
324
|
324
|
1889
|
| 3
|
254
|
389
|
389
|
1903
|
| 4
|
251
|
312
|
312
|
1887
|
| 5
|
248
|
249
|
249
|
1874
|
;
;

Рисунок 6.9 – Комбинированная экономическая политика на графике IS/LM
Y’=Y

P'=20928/6583=2.98
Заключение
Интегральной характеристикой благосостояния граждан страны являются уровень и качество жизни населения. Уровень жизни – это степень обеспеченности населения необходимыми для жизни материальными, духовными и социальными благами. Качество жизни как показатель (категория) благосостояния характеризуется степенью удовлетворения потребностей, отношениями к соответствующим нормам, обычая и традициям.
Если под уровнем жизни традиционно понимается комплекс жизненных стандартов преимущественно материального характера, то качество жизни характеризуется степенью достижения высших ценностей человеческого бытия, как в личностном, так и в социальном аспектах.
В самом широком смысле понятие качества жизни населения включает четыре блока характеристик: качество населения, уровень жизни населения, социальная безопасность, качество окружающей среды.
Рассматривая уровень и качество жизни, экономисты уделяют особое внимание проблеме бедности. Бедность – состояние постоянного отсутствия необходимых ресурсов для обеспечения удовлетворительного образа жизни, приемлемого в данном конкретном случае. Существование проблемы бедности связано с тем, что денежные доходы распределяются между людьми неравномерно, что характерно для всех стран мира.
Показатели уровня жизни многоплановы. Широко используются для характеристики уровня жизни такие обобщенные показатели, как валовой национальный продукт (валовой внутренний продукт, или национальный доход) на душу населения.     Анализ многочисленных показателей уровня жизни показывает, что самым характерным признаком и самой доступной для населения характеристикой уровня жизни являются доходы: номинальные, располагаемые, реальные, личные, семейные. Рассчитываются коэффициенты глубины и остроты бедности, определяется черта бедности, прожиточный минимум, потребительская корзина, потребительский бюджет семьи. Производится оценка уровня инфляции.
В настоящее время в официальной статистике в качестве основного индикатора инфляции применяется индекс потребительских цен. Кроме индекса потребительских цен также рассчитывают дефлятор ВНП. Для получения сводной характеристики уровня жизни населения в ООН разработан ряд показателей, важнейшим из которых является индекс развития человеческого потенциала (ИРЧП). В Республике Беларусь показателями уровня жизни населения являются: денежные доходы населения, реальные располагаемые денежные доходы населения, денежные доходы на душу населения, среднемесячную начисленную заработную плату одного работника, реальную начисленную заработную плату, средний размер назначенной месячной пенсии, реальный размер назначенной месячной пенсии.
Необходимость повышения уровня и качества жизни заключается в том, что любое общество состоит не только из категории работающих людей, в нем всегда есть лица, уже не работающие (пенсионеры, инвалиды и так далее) и еще не работающие (дети, школьники, студенты), инвалиды, которые нуждаются в заботе со стороны семьи, государства, кроме того, государство должно поддерживать существование безработных.
Пути повышения уровня и качества жизни в Республике Беларусь включают: создание условий трудоспособным гражданам зарабатывать средства для удовлетворения своих потребностей, обеспечение рациональной занятости населения, повышение доходов и заработной платы, снижение малообеспеченности. Государственная политика повышения уровня и качества жизни населения Республики Беларусь проявляется в разнообразных формах: пособия по безработице; пенсии; пособия по болезни, инвалидности; жилищные пособия; пособия на получение образования; медицинская помощь; гарантирование государством минимального уровня доходов.
В текущем году сохраняется тенденция высоких темпов роста денежных доходов населения, причем наибольший рост доходов населения обеспечен за счет повышения оплаты труда и увеличения размеров социальных трансфертов. Рост денежных доходов сопровождался снижением уровня малообеспеченности. Возросла покупательная способность заработной платы. Обеспечено выполнение прогнозных показателей пенсионного обеспечения. Продолжаются работы по оказанию помощи и государственной поддержки, произошло фактическое перераспределение социальных трансфертов в пользу малообеспеченных. Увеличились размеры единовременной и ежемесячной адресной помощи. Среди получателей адресной социальной помощи возросло количество семей с детьми-инвалидами, полных семей с детьми в возрасте до трех лет, одиноких граждан.
Список использованных источников
1. Базылев Н.И., Базылева М.Н. Экономическая теория: Учебное пособие / Н.И. Базылев, М.Н. Базылева. Мн.: Книжный Дом, 2005. 320 с.
2. Динамика важнейших макроэкономических показателей в сравнении со странами СНГ // Экономический бюллетень. 2008. №8. С. 9–13.
3. Доходы населения и оплата труда, социальная защита населения // Экономический бюллетень. 2008. №8. С. 23 – 27.
4. Зайченко Н.П., Полоник С.С., Богданович А.В., Александрович Я.М. Основные положения национальной стратегии устойчивого социально-экономического развития Республики Беларусь за период до 2020 года // Белорусский экономический журнал. 2004. №3. С. 4–19.
5. Зайченко Н. Экономике – конкурентоспособность, человеку – благосостояние // Экономика Беларуси: итоги, тенденции, прогнозы. 2006. №2 (7). С. 6 – 16.
6. Кайко Т.К. Социальный работник – это звучит гордо // Охрана труда и социальная защита. 2006. №2. С. 79.
7. Козырев В.М. Основы современной экономики: Учебник. М.: Финансы и статистика, 1998. 368 с.
8. Курс экономической теории: Конспект лекций / Е. М. Анципович, А.В. Бондарь и другие; Под общ. ред. Э.И. Лобковича. Мн. ООО «МИСАНТА», 1997. 336 с.
9. Макконнелл К., Бурш С. Экономикс: Принципы, проблемы и политика В 2 т.: Пер. с англ. – М.: Республика, 1995, – 400 с.
10. Макроэкономика: Учеб. пособие / М.И. Плотницкий, Э.И. Лобкович, М.Г. Муталимов и др.; Под ред. М.И. Плотницкого. М.:Новое знание, 2002. 462 с.
11. Макроэкономика: социально-ориентированный подход / Э.А. Лутоухина [и др.]; под ред. Э.А. Лутоухиной. Мн.: ИВЦ Минфина, 2005 г. 400 с.
12. Макроэкономика: Учеб. пособие / А.В. Бондарь, В.А. Воробьев, Л.Н. Новикова и др. Мн.: БГЭУ, 2007. 415 с.
13. Микро- и макроэкономика: Учеб. пособие / М.И. Плотницкий, Л.В. Воробьева, Н.Н. Сухарева и др.; Под ред. М.И. Плотницкого. Мн.: Книжный Дом; Мисанта, 2004. 224 с.
14. Национальная экономика Беларуси // Под. ред. В.Н. Шимова. 2-е изд., перераб. и доп. Мн.: БГЭУ, 2006. 751 с.
15. Национальный реестр правовых актов Республики Беларусь. 2007. 21 декабря. №303. С. 19 – 26.
16. Статистика: показатели и методы анализа: справ. Пособие / Н.Н. Бондаренко, Н.С. Бусыгина, Л.И. Василевская и др.; Под ред. М.М. Новикова. – Мн.: «Современная школа», 2005. – 628 с.
17. Обзор результатов научной деятельности НИЭИ за 2006 г. // Экономический бюллетень НИЭИ Министерства экономики Республики Беларусь №6 2007 С. 4 – 9.
18. Основы экономической теории: Учеб. пособие / В.Л. Клюня, М.Л. Зеленкевич, Н.В. Черченко и др.; Под ред. В.Л. Клюни. Мн., ИП «Экоперспектива», 1997. 336 с.
19. Потупчик В. Фундамент устойчивости // Экономика Беларуси: итоги, тенденции, прогнозы. 2008. №1. С. 40 – 47.
20. Рынок труда и денежные доходы населения // Экономический бюллетень. 2008. №2. С. 26 – 34.
21. Экономическая теория: Учебник / Н.И. Базылев, А.В. Бондарь, С.П. Гурко и др.; Под ред. Н.И. Базылева, С.П. Гурко. Мн.: ИП «Экоперспектива», 2001. 752 с.
22. Экономическая теория: Учеб. пособие / Л.Н. Давыденко, А.И. Базылева, А.А. Дичковский и др.; Под общ. ред. Л.Н. Давыденко. – Мн.: Выш. шк., 2002. 366 с.
|