РЕФЕРАТ
Тема: Теоретические основы экономики домохозяйства
Содержание
1. Возможности выбора домохозяйства и их ограниченность
2. Предпочтения домохозяйства
3. Оптимальный план потребления домохозяйства
4.Основные факторы, влияющие на спрос домохозяйства
5. Предложение домохозяйства
Список литературы
1. Возможности выбора домохозяйства и их ограниченность
Домохозяйству как одному из субъектов микроэкономики принадлежит чрезвычайно важная роль в системе экономических отношений.
Во-первых, удовлетворение потребностей домохозяйства в материальных и нематериальных благах выступает естественной целью производства. Спрос домохозяйства является одним из наиболее весомых компонентов совокупного спроса на конечные блага. Во-вторых, домохозяйства как собственники производственных факторов передают их деловым единицам (предприятиям), которые должны осуществлять их эффективное соединение. В-третьих, часть дохода, которая не используется домохозяйством на протяжении текущего периода, превращается в сбережения и может при определенных обстоятельствах стать мощным источником экономического роста страны. Можно констатировать, что домохозяйство выполняет в экономике три основные функции: потребления, поставки факторов производства и сбережения. Таким образом, домохозяйство - это экономическая единица, состоящая из одного или больше человек, ведущих общее хозяйство, которая обеспечивает экономику факторами производства и использует заработанные на этом средства для текущего потребления товаров и услуг с целью удовлетворения своих потребностей. Вместе с тем с точки зрения микроэкономического уровня хозяйствования ведущей у домохозяйства выступает, безусловно, функция потребления.
Для того чтобы проанализировать, как домохозяйство осуществляет эту функцию, экономическая наука прибегает к ряду абстракций, позволяющих изучить поведение объекта анализа в чистом виде. Во-первых, считается, что домохозяйство выступает единым экономическим субъектом
и реализует свои потребности как единое целое, т.е. не принимается во внимание его внутренняя структура, оно отождествляется с понятием "индивидуум". Во-вторых, допускается, что домохозяйство получает доходы за счет продажи факторов производства, точнее услуг, или использования и перераспределения между их членами общества и тратит свои доходы полностью на потребление, не делая сбережений. В-третьих, считается, что оно может потреблять все потребительские блага, которые производятся на данный момент производственным сектором, и эти блага считаются при этом бесконечно делимыми
при наличии полной информации о потребительских свойствах благ. В-четвертых, не принимаются во внимание такие действия домохозяйства, которые могут повлиять на текущее потребление, а именно: увеличение или уменьшение имущества, получение кредита, вложение части доходов в запасы потребительского назначения.
Забиваем Сайты В ТОП КУВАЛДОЙ - Уникальные возможности от SeoHammer
Каждая ссылка анализируется по трем пакетам оценки: SEO, Трафик и SMM.
SeoHammer делает продвижение сайта прозрачным и простым занятием.
Ссылки, вечные ссылки, статьи, упоминания, пресс-релизы - используйте по максимуму потенциал SeoHammer для продвижения вашего сайта.
Что умеет делать SeoHammer
— Продвижение в один клик, интеллектуальный подбор запросов, покупка самых лучших ссылок с высокой степенью качества у лучших бирж ссылок.
— Регулярная проверка качества ссылок по более чем 100 показателям и ежедневный пересчет показателей качества проекта.
— Все известные форматы ссылок: арендные ссылки, вечные ссылки, публикации (упоминания, мнения, отзывы, статьи, пресс-релизы).
— SeoHammer покажет, где рост или падение, а также запросы, на которые нужно обратить внимание.
SeoHammer еще предоставляет технологию Буст, она ускоряет продвижение в десятки раз,
а первые результаты появляются уже в течение первых 7 дней.
Зарегистрироваться и Начать продвижение
При таких обстоятельствах домохозяйство оказывается в условиях выбора: ему необходимо распределить наличные денежные доходы между различными благами, удовлетворяющими его потребности. Именно этот процесс прежде всего и интересует экономистов, т.е. как домохозяйство принимает решения по определенной структуре потребления.
Возможности выбора домохозяйства ограничены многими факторами: это уровень и структура производства, структура потребностей этого домохозяйства и уровень насыщения некоторых из них (так, достаточно быстро насыщаются при нормальных условиях потребности в основных продуктах питания, тогда как духовные и социальные потребности практически не знают границы насыщения; по мере удовлетворения физических потребностей потребление переключается на потребности более высокого уровня), уровень доходов домохозяйства, поскольку в условиях рыночной экономики преобладающее большинство экономических благ предоставляется лишь в обмен на деньги, установленный рынком уровень цен, на который домохозяйство ввиду того, что оно является лишь одним из огромного множества потребителей благ, решающим образом влиять не может, а следовательно, принимает его таким, каким он есть. Совокупность наборов благ, доступных в условиях таких ограничений домохозяйству, и является тем пространством, в котором домохозяйство имеет свободу действий в отношении потребительского выбора. Таким образом, домохозяйство должно решить проблему: при определенной структуре и уровне потребностей и доходов найти такую комбинацию потребительских благ, которая бы максимально соответствовала его потребностям.
Если потребности домохозяйства являются варьирующей величиной, то уровень доходов - наличная величина, которая с финансовой стороны устанавливает границу удовлетворения потребностей, иначе говоря, вместе с ценами представляет собой бюджетное ограничение.
Поскольку в соответствии с предыдущими допущениями все доходы домохозяйства должны тратится на потребление, бюджетное ограничение приобретает вид:
Сервис онлайн-записи на собственном Telegram-боте
Попробуйте сервис онлайн-записи VisitTime на основе вашего собственного Telegram-бота:
— Разгрузит мастера, специалиста или компанию;
— Позволит гибко управлять расписанием и загрузкой;
— Разошлет оповещения о новых услугах или акциях;
— Позволит принять оплату на карту/кошелек/счет;
— Позволит записываться на групповые и персональные посещения;
— Поможет получить от клиента отзывы о визите к вам;
— Включает в себя сервис чаевых.
Для новых пользователей первый месяц бесплатно.
Зарегистрироваться в сервисе

где М
- полученный за определенный период доход; рi
- рп
- цены потребительских благ; xi
- хп
- объем потребления определенного блага.
Так, если получаемый доход равняется 100 ден. ед., а цены на продукты х1
и х2
составляют соответственно 5 и 10 ден. ед., бюджетное ограничение будет иметь вид 100 = 5х1
+ 10х2
.
Совокупность планов потребления, которая удовлетворяет это ограничение, называют финансово возможными планами потребления.
Как видно из рис. 1, совокупность финансово возможных планов ограничена прямой, соответствующей бюджетному ограничению. Планы потребления А
и В
являются финансово возможными, тогда как С - нет. Однако поскольку домохозяйство в соответствии с допущениями должно потратить все наличные деньги на потребление, оно будет реализовывать только те планы, которые лежат на бюджетной прямой М. Точки пересечения графика бюджетной линии с осями координат показывают, какое количество одного блага может потребить индивидуум, если полностью откажется от потребления другого.

Рис. 1 - Бюджетное ограничение и совокупность финансово возможных планов потребления для домохозяйства
На финансовые возможности домохозяйства влияют размер получаемого дохода М (чем больше, тем эти возможности при других неизменных обстоятельствах шире), цены на блага и все факторы, обусловливающие изменение этих параметров, например налогообложение доходов, введение или повышение налогов на потребление, рационирование и т.п.
2. Предпочтения домохозяйства
Исходя из наличного бюджета, домохозяйство должно осуществить свой выбор из многочисленных финансово возможных планов. Чем оно при этом руководствуется? Представлениями о том, в какой мере определенное благо может удовлетворить его потребности. Таким образом, индивидуум должен отдать предпочтение одному из доступных вариантов потребления, отказавшись от всех других.
Проанализируем выбор домохозяйства (индивидуума) в некоторой условной экстремальной ситуации. Представим, что некто N
,
посещая театральное представление, в антракте зашел в буфет, чтобы немного утолить голод. Однако, к сожалению, он пришел слишком поздно, и в буфете осталось лишь два бутерброда - один с сыром, другой с колбасой. Все существующие варианты потребления N
ограничены в количестве и характеризуются разным уровнем желаемости и полезности. Прежде всего N
хотел бы съесть оба бутерброда; если же денег хватит только на один, то любой из них, если же денег не хватит даже на один бутерброд, то уйти, не съев ничего. Этим охарактеризован порядок предпочтений индивидуума. Какая из альтернатив будет реализована - зависит лишь от бюджета N.
Этот условный пример показывает, что порядок предпочтений домохозяйства должен отвечать определенным свойствам, которые в совокупности описывают рациональное поведение потребителя.
Во-первых, N
,
как мы видели, выбирает одну из наличных альтернатив, определив, какая из них лучше. Это означает, что индивидуум должен уметь оценивать наборы благ с точки зрения их соответствия его потребностям и бюджетным возможностям. Это свойство предпочтений называют полнотой.
Во-вторых, N не нужно сопоставлять все возможные варианты потребления друг с другом; ему достаточно знать, какой из них для него является наилучшим, т.е. он наверняка знает, что съесть один бутерброд - это лучше, чем ничего, но еще лучше - съесть оба, и с таким выбором уже не стоит сравнивать вариант с пустым желудком. Это свойство предпочтений получило название транзитивности.
В-третьих, зная свои предпочтения, N реализует тот финансово возможный план, который для него имеет наиболее высокий рейтинг, т.е. первый. Это свойство предпочтений называют рациональным выбором,
ведь индивидуум должен реализовать наилучший из доступных ему планов потребления.
Полнота и транзитивность предпочтений, рациональность выбора - это основные свойства порядка предпочтений домохозяйства, хотя ими перечень не исчерпывается.
Осуществленный анализ предпочтений N
показал, что два из наличных планов потребления он оценивает одинаково, т.е. индифферентно. Если соединить на графике точки, отражающие все планы потребления, к которым индивидуум индифферентен (безразличен), можно получить кривую U
,
получившую название кривой индифферентности (безразличия),
которая приведена на рис. 2. Очевидно, что таких кривых, которые являются графическим изображением планов потребления, может быть бесконечно много, поэтому говорят о том, что индивидуум имеет "карту безразличия".
Поскольку на более высоких кривых безразличия должны размещаться планы потребления, которым отдается предпочтение перед находящимися на более низких кривых, целевая установка потребителя состоит в том, чтобы достичь наивысшей из достижимых кривых безразличия,
или, иначе говоря, наиболее полно удовлетворить свои потребности, максимизировать свою полезность (полезный эффект от потребления определенного набора благ).

Рис. 2 - Кривая безразличия домохозяйства
Наличие планов потребления, между которыми индивидуум индифферентен, означает, что индивидуум, удовлетворяя свою потребность, может в определенной пропорции замещать потребление одного блага другим. Так, при переходе от планов потребления А
(включает в себя 3 ед. блага х2
и 1 ед. блага х1
) к В
(соответственно 2 ед. блага х2
и 4 ед. блага х1
) происходит замещение потребления блага х2
на благо х1
Однако при этом видно, что при дальнейшем уменьшении потребления блага х2
индивидуум все меньше будет хотеть так действовать, поскольку для того, чтобы остаться на той же кривой безразличия (уровне полезности), ему необходимо взамен получить все больше единиц блага х1
.Таким образом, его склонность к замене благ х2
на благо х1
уменьшается. Показатель, характеризующий эту склонность, называют предельной нормой замены
(ПНЗ). Количественно он представляет собой отношение изменения в потреблении блага х2
к изменению в потреблении блага х1
, где знак минус показывает отрицательный характер зависимости между переменными:

Из рассмотренных свойств кривых безразличия видно, что ПНЗ должен постоянно уменьшаться.
Обоснование убывающего свойства ПНЗ предусматривает анализ факторов, обусловливающих ценность блага для индивидуума, которая зависит от его относительной редкости, раритетности. При переходе от плана А
к плану В
количество благ х2
у индивидуума уменьшится. Оно становится более редкостным, тогда как для блага х1
все наоборот. Таким образом, замещение единиц блага х2
по мере уменьшения его количества на все большие объемы блага x
1
связано с изменением соотношения редкости этих благ для индивидуума.
Выяснение свойств предпочтений индивидуума подводит к пониманию того, как можно измерить полезность определенного набора благ, которые может выбрать индивидуум. В экономической теории в этом плане есть две концепции: количественная и порядковая.
Сущность количественной концепции полезности,
теоретические основы которой заложены представителями австрийской экономической школы в конце XIX в. (К. Менгер, Ф. Визер, Э. Бем-Баверк и др.), состоит в том, что индивидуум в состоянии измерить количество "полезности", которую он имеет от потребления каждого блага, а следовательно, и от определенного набора благ. Современный количественный подход к полезности домохозяйства представлен в учебнике К. Р. Макконнелла, С. Л. Брю "Экономикс: принципы, проблемы и политика". В соответствии с этой концепцией поведение потребителя сводится к тому, что он выбирает более полезный план. Однако остается невыясненным один коренной вопрос: как измерять полезность, в каких единицах?
Сущность порядковой концепции полезности,
родоначальниками которой считают итальянского экономиста и социолога В. Парето и англичанина Ф. Эджворта, состоит в том, что тот план, который индивидуум выбирает при определенных ограничениях, и является наилучшим, означает для него наивысшую полезность. Именно порядок предпочтений и позволяет выяснить степень желаемости этого набора благ для индивидуума, а поэтому нет необходимости прибегать к количественному определению полезности. Порядковая концепция полезности является теоретическим фундаментом современных теорий спроса.
3. Оптимальный план потребления домохозяйства
Выбирая план потребления, домохозяйство стремится реализовать тот финансово возможный план, которому оно отдает предпочтение перед другими, поскольку он означает для него наивысшую полезность. План потребления, который при данном бюджетном ограничении дает индивидууму максимум полезности, называют оптимальным планом потребления.
Определение оптимального плана потребления сводится к сопоставлению желаний индивидуума, представленных его предпочтениями, и возможностей, предусмотренных бюджетным ограничением.
Поставленный перед необходимостью выбора, индивидуум выбирает наилучший из доступных планов А х1
,х2
), поскольку план В
хотя и отвечает условиям бюджетного ограничения, расположен на кривой безразличия, которая не является наивысшим достижимым уровнем полезности (рис. 3). Таким образом, достигая более полного удовлетворения потребностей, что является экономическим содержанием максимизации полезности, индивидуум буде двигаться вдоль бюджетного ограничения М
вплоть до точки А,
которая дает план потребления с наивысшей (при данных ограничениях) полезностью. Для плана потребления, который при этом реализуется, характерно, что угол наклона бюджетной линии (а он соответствует соотношению цен на благо х1
и х2
)
равняется углу наклона кривой безразличия в этой точке, который соответствует значению ПНЗ, т.е. имеет место соотношение:

План С, разумеется, еще лучше, но, к сожалению, недостижимый при этом объеме финансовых ресурсов и цен на блага.

Рис. 3 - Оптимальный план потребления домохозяйства
Таким образом, можно сформулировать достаточные и необходимые условия реализации индивидуумом оптимального плана потребления:
1) доход должен быть израсходован на потребление без остатка;
2) предельная норма замены должна равняться соотношению цен.
Определенные таким образом условия достижения оптимума домохозяйства в потреблении являются ключевыми для понимания факторов индивидуального спроса на отдельное благо.
4. Основные факторы, влияющие на спрос домохозяйства
На спрос домохозяйства влияет совокупность факторов, среди которых наиболее весомыми являются предпочтения, размер дохода, цены, объем имущества домохозяйства.
Изменение дохода ведет к изменению бюджетного ограничения: если доход возрастает, то происходит параллельное смещение бюджетной линии вверх; если снижается - вниз. В соответствии с этим индивидуум будет переходить к другим, по сравнению с исходным, планам потребления. Перенесенные на отдельный график кривые, отражающие зависимость спроса на отдельное благо от величины дохода, названы в честь ученого, который впервые это сделал, кривыми Энгеля.
Возможны три типа реакции потребителя на изменение дохода: а) изменение объема потребления блага в том же направлении; б) изменение объема потребления блага в противоположном направлении; в) отсутствие реакции спроса на изменение дохода. В соответствии с первыми двумя типами реакции домохозяйства различают высшие и низшие блага.
Под высшими благами
понимают такие, объем спроса на которые с увеличением дохода растет, а с уменьшением - снижается. Типичным примером могут быть блага, удовлетворяющие духовные потребности.
Под низшими
понимают блага, объем спроса, на которые с увеличением дохода снижается, а с уменьшением - растет. Это, например, блага, удовлетворяющие физические (особенно физиологические) потребности, как-то потребности в определенных видах продуктов питания.
Степень реакции спроса на изменение дохода измеряют показателем доходной эластичности,
который показывает степень изменения объема спроса в зависимости от изменения дохода.
Однако нельзя абсолютизировать эту классификацию потребительских благ, имея в виду способ действий домохозяйства. Она имеет относительный характер: при низком уровне благосостояния домохозяйства "типичные" низшие блага будут как высшие; при достижении уровня насыщения потребности в "типичном" высшем благе оно начнет обнаруживать черты низшего и т.д. Иначе говоря, все зависит от исходной доходной базы и уровня удовлетворения потребности.
Другим факторам спроса, которому в микроэкономике уделяют первоочередное внимание, являются цены. Причем следует различать влияние на спрос и как непосредственно цены этого блага, так и цен других благ, находящихся с ним в определенной связи.
Реакция спроса домохозяйства на изменение цены определенного блага обусловлена вызванным этим сдвигом бюджетной линии, вследствие чего произойдет его поворот, изменение угла наклона соответственно направлению, в котором изменится цена (рис. 4). В результате этого индивидуум будет реализовывать другой план потребления в соответствии с новым бюджетным ограничением.

Рис. 4 - Получение функции спроса домохозяйства
Повышение цены блага х2
привело к повороту вниз бюджетной линии и переходу индивидуума на более низкую кривую безразличия и соответственно к выбору новых оптимальных планов. Отложив значение цены блага х2
и корреспондирующие объемы спроса на него на отдельном графике, получим кривую спроса
х2
'
(левая часть на рис. 4). Она является графическим изображением функции спроса домохозяйства и показывает, насколько изменится объем спроса индивидуума на благо в зависимости от определенного уровня цены на него. В этом случае вследствие повышения цены объем спроса снижается. Такая связь между ценой и спросом характерна для обычных благ.
Если же при возрастании цены объем спроса будет увеличиваться, такое благо называется гиффенским
(по имени английского экономиста Р. Гиффена, который впервые зафиксировал такую реакцию, анализируя спрос на хлеб наиболее бедных слоев населения). Аномальный характер реакции спроса на изменение цен объясняется тем, что при низком уровне доходов, когда домохозяйства расходуют их практически полностью на удовлетворение первых жизненных потребностей, повышение цен на эти достаточно дешевые, по сравнению с другими, блага приведет к тому, что домохозяйства будут отказываться от потребления более дорогих качественных продуктов и будут потреблять дешевые блага несмотря на рост цен на них.
Вместе с тем явление увеличения объема спроса при возрастании цен (парадокс Гиффена) возможно в других случаях, не связанных с ситуацией низкого уровня доходов домохозяйства. Например, когда потребители оценивают качество предметов потребления не на основе изучения их потребительной стоимости, а в соответствии с уровнем цены, считая, что более высокая цена является индикатором более высоких потребительских качеств (хотя жизнь часто показывает, что во многих случаях это не так); когда потребители покупают определенные блага для поддержки собственного престижа (так называемый снобистский эффект); наконец, такая реакция возможна в случае высоких инфляционных ожиданий населения, когда товары раскупаются по повышенной цене сегодня только потому, что завтра они будут стоить намного дороже.
Степень реакции спроса домохозяйства на определенное благо в соответствии с изменением его цены характеризует показатель ценовой эластичности.
Он показывает, насколько изменится спрос, если уровень цены изменится на один процент:
Соответственно если е
< 0 , мы имеем дело с обычным благом; при е
> О - с гиффенским. Если же эластичность нулевая, то спрос на это благо неэластичный, т.е. никак не реагирует на изменение цены. Чем больше по абсолютному значению показатель эластичности, тем чувствительней будет реагировать спрос домохозяйства на изменение цены.
Спрос домохозяйства реагирует также на изменение цен других благ. Так, если определенное благо потребляется в комбинации с другим (например, автомобиль и топливо, кофе и сахар), которое дополняет его потребительские качества, изменение цены на это дополняющее (комплементарное) благо вызовет противоположные по направленности изменения в спросе на такое благо: повышение цены на кофе при неизменной цене сахара вызовет уменьшение спроса на кофе, а следовательно, на сахар как комплементарное к нему благо. Если для блага существуют заменители (субституты), повышение цены на него при неизменных ценах субститутов обусловит переключение спроса на эти блага. Продолжая приведенный пример, субститутом для кофе можно назвать чай: рост цены на кофе приведет к повышению спроса на чай.
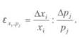
Степень реакции спроса на определенное благо в зависимости от изменения цен других благ измеряется с помощью показателя перекрестной эластичности.
Он показывает, насколько изменится спрос на это благо, если цена другого блага изменится на 1 процент:

Если εx
1,
p
1
>0, то благо х1
находится в субститутивной связи с благом хt
; если же εx
1,
p
1
<0, то в комплементарной.
Характер влияния различных факторов на спрос домохозяйства на определенное благо обобщен в табл. 1.
Таблица 1 - Классификация благ в соответствии с реакцией спроса
| Показатель эластичности спроса |
Больше нуля |
Меньше нуля |
| Доходная эластичность |
Высшее благо |
Низшее благо |
| Ценовая эластичность |
Обычное благо |
Гиффенское благо |
| Переходная эластичность |
Благо-субститут |
Благо-комплемент |
Анализируя влияние вариации цен на спрос домохозяйства, экономисты (Дж. Хикс, Е. Слуцкий и др.) пришли к выводу, что общий эффект изменения цен можно разложить на два эффекта: а) эффект дохода, поскольку повышение цены на благо означает снижение реальных доходов домохозяйства, и наоборот; б) эффект замены, поскольку изменение цены вызывает определенные изменения в спросе на другие блага, которые находятся с ним в комплементарной или субститутивной связи. Учет этих эффектов очень важен при анализе последствий ценовых сдвигов, в частности при осуществлении государственного прямого или опосредованного вмешательства в ценовой механизм: эти меры по-разному могут влиять на спрос отдельных групп населения в зависимости от уровня их доходов, структуры потребностей и др., а следовательно, обусловливать социально-экономические последствия, прямо противоположные ожидаемым.
5. Предложение домохозяйства
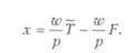
При исследовании домохозяйства как потребителя исходят из того, что домохозяйство имеет определенный доход, за счет которого удовлетворяет свои потребности. В свою очередь, размер получаемого дохода зависит от того, по какой цене и в каком объеме домохозяйство продает принадлежащие ему производственные факторы. Наиболее весомым фактором производства, который имеет домохозяйство, является труд.
Продавая свое рабочее время по действующим ставкам заработной платы (почасовым, недельным, месячным, годовым), индивидуумы получают постоянный источник дохода, за счет которого финансируется текущее потребление. Однако тратя свое время на получение дохода, индивидуум отказывается от альтернативной возможности - не работать, т.е. от свободного времени,
которое является одним из важных благ, потребляемых индивидуумом. Нехватка свободного времени приводит к неполноценному воспроизводству личности, преждевременному старению организма. Иначе говоря, индивидуум стоит перед выбором: больше работать и соответственно больше потреблять рыночных благ или больше отдыхать. Главными факторами, которые он принимает во внимание, являются фонд времени (с учетом необходимости удовлетворения физиологических потребностей), ставка заработной платы и уровень цен на потребительские блага. Таким образом, уровень полезности определяется объемом потребления и свободным временем.
Бюджетное ограничение в этом случае будет иметь вид:

где w
- ставка заработной платы; Т
- общий фонд времени; F
- свободное время; р
- цена потребительского блага; х
- объем потребления блага (агрегат всех благ, кроме свободного времени).
Решение уравнения относительно х
трансформирует бюджетное ограничение в такое выражение:

Если индивидуум имеет обычные предпочтения относительно х
и F
нахождение оптимального плана потребления происходит аналогично изложенному в части 3 этого реферата подходу, т.е. предельная норма замены между свободным временем и потреблением блага х
должна равняться соотношению ставки заработной платы и цены блага х
(рис. 5).

Рис. 5 - Оптимальный план домохозяйства с учетом свободного времени
Зная оптимальное свободное время, можно вычислить оптимальную величину рабочего времени. Для этого из общего фонда времени Т
вычитают свободное время, т.е.
Т
- F
= L
,
где L
- оптимальное рабочее время.
Ситуация может изменится, если домохозяйство получает независимый от труда доход (прибыль, ренту, процент, социальную помощь и т.п.). Это приведет к параллельному смещению бюджетной линии вверх и изменению оптимального плана. В зависимости от порядка предпочтений индивидуума это может обусловить или сокращение свободного времени и увеличение рабочего, или, что вероятней, увеличение свободного времени. В экстремальном случае рост доходов, независящих от фактора труда, может привести к тому, что в оптимальном плане домохозяйства значение свободного времени будет равняться общему фонду времени. Таким образом, индивидуум вообще не будет работать.
Варьируя ставку заработной платы, можно исследовать взаимосвязь между ее величиной и предложением труда, т.е. объемом времени, который индивидуум согласен пожертвовать в пользу потребления. Теоретическое моделирование и эмпирические исследования показали, что предложение труда домохозяйства неоднозначно зависит от ставки заработной платы: при определенных значениях w
оно растет, а при других - снижается (рис. 6).

Рис. 6 - Кривая индивидуального предложения труда
Так, если w
1
<
w
2
индивидуум будет увеличивать рабочее время, поскольку при снижающейся ставке заработной платы компенсация снижения дохода возможна лишь благодаря увеличению объема труда. Например, недостаточность заработной платы, получаемой на основном рабочем месте, для обеспечения основных жизненных потребностей вынуждает трудоспособных членов семьи искать дополнительную работу в свободное время. Если wt
<
w
1
<
w
2
повышение заработной платы стимулирует желание зарабатывать деньги, т.е. жертвовать свободным временем в пользу рабочего. Вместе с тем рост ставки заработной платы лишь до определенной меры может сопровождаться увеличением предложения труда: при определенном критическом значении w
= w
2
повышение заработной платы приведет к противоположным результатам - предложение труда начнет сокращаться, поскольку при высоких доходах индивидуум все больше начинает ценить свободное время. К тому же нет необходимости работать больше, поскольку заработная плата обеспечивает удовлетворение потребностей домохозяйства.
Список литературы
1. Беляєв О.О. Економічна політика: Навч. посіб. – К.: КНЕУ, 2006. – 288 с.
2. Базилевич В.Д. Політекономія. – К.: Знання-Пресс, 2007. – 719 с.
3. Степура О.С. Політична економія: Навч. посіб. К.: Кондор, 2006.
4. Економічна теорія: Підручник / за ред.. В.Н.Тарасевича. – К.: Центр навчальної літератури, 2006.
5. Башнянин ГЛ., Лазур П.Ю., Медведєв B.C. Політична економія. - К.: Ніка-Центр: Ельга, 2002.
6. Політекономія. Навчальний посібник / За ред. Ніколенко Ю.В. - К.: Знання,2003.
|