Министерство образования Российской Федерации
Всероссийский Заочный Финансово-Экономический Институт
(Калужский филиал)
Курсовая работа по дисциплине:
УПРАВЛЕНИЕ ТРУДА
на тему:
Текучесть кадров на предприятии и пути ее сокращения
КАЛУГА 2007
Введение
Тема моего курсового проекта «Текучесть кадров на предприятии и пути ее сокращения». Данная тема становится сегодня крайне актуальной в условиях дефицита профессионалов на очень динамичном рынке труда. Как показывают последние опросы, в России примерно две трети работающих людей время от времени задумываются о переходе в другие компании, хотя пойти на такой шаг готовы далеко не все. Из-за ухода специалистов и кадровой нестабильности предприятия несут немалые финансовые потери. Поэтому лояльность к своей компании становится сегодня таким же ключевым требованием к сотруднику, как и профессионализм.
Полученные статистические данные показывают, что повышенная степень текучести персонала является актуальной проблемой как минимум для 71,9% средних и крупных компаний Москвы и Московского региона. При этом, подавляющее большинство компаний старается решить проблему текучести применением какой-либо единственной меры, например, повышения зарплаты "утекающим" специалистам, или предоставления им некоторых социальных льгот и компенсаций, без глубокого анализа причин сложившейся ситуации.
По результатам исследования также выяснено, что 59,8% работников организаций считают одним из последствий "текучки" в компании рост недоверия по отношению к руководству компании. 36,8% сотрудников компаний отмечают, что в связи с ростом "текучки" возросло ощущение общей нестабильности компании.
19,9% респондентов (среди них – 11,2% - руководители различного уровня) отмечали снижение общих экономических показателей работы подразделения и/или организации вследствие высоких показателей текучести кадров. Лишь 6,9 % опрошенных считают, что высокая "текучка" не имеет отрицательных последствий для организации.
Авторы исследования расценивают "текучку" как своего рода "организационную чуму" большинства отечественных компаний последних лет, постепенно приводящую к снижению успешности деятельности компании на своем рынке.
Забиваем Сайты В ТОП КУВАЛДОЙ - Уникальные возможности от SeoHammer
Каждая ссылка анализируется по трем пакетам оценки: SEO, Трафик и SMM.
SeoHammer делает продвижение сайта прозрачным и простым занятием.
Ссылки, вечные ссылки, статьи, упоминания, пресс-релизы - используйте по максимуму потенциал SeoHammer для продвижения вашего сайта.
Что умеет делать SeoHammer
— Продвижение в один клик, интеллектуальный подбор запросов, покупка самых лучших ссылок с высокой степенью качества у лучших бирж ссылок.
— Регулярная проверка качества ссылок по более чем 100 показателям и ежедневный пересчет показателей качества проекта.
— Все известные форматы ссылок: арендные ссылки, вечные ссылки, публикации (упоминания, мнения, отзывы, статьи, пресс-релизы).
— SeoHammer покажет, где рост или падение, а также запросы, на которые нужно обратить внимание.
SeoHammer еще предоставляет технологию Буст, она ускоряет продвижение в десятки раз,
а первые результаты появляются уже в течение первых 7 дней.
Зарегистрироваться и Начать продвижение
В данном курсовом проекте мы рассмотрим само понятие текучести кадров, её отрицательные и положительные стороны, причины, меры борьбы с ней и другие аспекты данной темы. Объектом практической части данной работы взято ООО «Метелица» г. Москвы. ООО «Метелица» - это небольшое предприятие, которое успешно зарекомендовало себя в меховой отрасли, но, тем не менее, проблема текучести кадров всегда была для него актуальна.
Целью моей работы является рассмотрение на примере ООО «Метелица» способов удержания профессионалов в компании путём оценки уровня удовлетворённости персонала, проведение соответствующего анализа, на основе которого мы получим информацию для принятия решений по устранению проблемы текучести кадров.
1. Текучесть кадров.
1.1 Понятие текучести кадров.
Текучесть персонала
– это движение рабочей силы, обусловленное неудовлетворенностью работника рабочим местом или неудовлетворенностью организации конкретным работником.
Текучесть может быть:
Внутриорганизационная
- связанная с трудовыми перемещениями внутри организации;
Внешняя
- между организациями, отраслями и сферами экономики.
Различают естественную и излишнюю текучесть кадров. Как понять, естественная или излишняя текучесть кадров на вашем предприятии?
Текучесть кадров можно рассчитать по формуле:
Текучесть кадров для планового периода (F) и среднего (F1):
F= число увольнений в плановый период / среднее число сотрудников в плановый период.
F1= среднегодовая численность уволенных * 100 / среднегодовая численность.
Коэффициент текучести кадров
– это отношение числа уволенных работников предприятия, выбывших за данный период по причинам текучести (по собственному желанию, за прогулы, за нарушение техники безопасности, самовольный уход и т.п. причинам, не вызванным производственной или общегосударственной потребностью) к среднесписочной численности за тот же период.
Естественная текучесть
(3-5% в год) способствует своевременному обновлению коллектива и не требует особых мер со стороны руководства и кадровой службы.
Излишняя текучесть
вызывает значительные экономические потери, а также создает организационные, кадровые, технологические, психологические трудности.
Излишняя текучесть персонала, по данным западных психологических исследований, отрицательно сказывается на моральном состоянии оставшихся работников, на их трудовой мотивации и преданности организации. С уходом сотрудников разваливаются сложившиеся связи в трудовом коллективе, и текучесть может приобрести лавинообразный характер. В последние годы на российских предприятиях часто наблюдаются случаи "ухода отделами", когда сложившиеся рабочие коллективы, в силу одинаковой мотивации и сложившихся контактов, предпочитают переходить в другую организацию целиком.
Сервис онлайн-записи на собственном Telegram-боте
Попробуйте сервис онлайн-записи VisitTime на основе вашего собственного Telegram-бота:
— Разгрузит мастера, специалиста или компанию;
— Позволит гибко управлять расписанием и загрузкой;
— Разошлет оповещения о новых услугах или акциях;
— Позволит принять оплату на карту/кошелек/счет;
— Позволит записываться на групповые и персональные посещения;
— Поможет получить от клиента отзывы о визите к вам;
— Включает в себя сервис чаевых.
Для новых пользователей первый месяц бесплатно.
Зарегистрироваться в сервисе
Текучесть кадров – один из показателей, связанных с увольнением и влияющих на жизнеспособность и успех организации. Даже если количественно этот фактор соответствует планам руководства, то уход из организации каждого конкретного работника может оказаться если не фатальным, то, по крайней мере, опасным. Опасным является уход профессионала с высокого поста к прямому конкуренту. Поэтому крупные компании предлагают особо ценным сотрудникам "золотой пакет" – денежную компенсацию за то, что они в течение оговоренного времени не будут работать на конкурента. Опасно, если уходит лидер (формальный и неформальный в одном лице), а на его место приходит руководитель с другим стилем работы. В этом случае коллективу понадобится время и значительные усилия для того, чтобы сработаться с новым начальником.
Однако помимо прямых угроз для бизнеса текучесть кадров таит в себе и скрытые опасности. Основная из них – это демотивирующее воздействие ухода одного из сотрудников на остающихся работников. Увольнение может иметь опасные последствия для компании, особенно если подходить к самому процессу неправильно. В случае увольнения сотрудника по инициативе работодателя они иногда выражаются в несоблюдении стандартов деловой этики. Если руководитель срывается, проявляет нетерпимость, применяет жесткие меры – это может сказаться губительно на внутренней атмосфере в компании, так как ее персонал является непосредственным проводником информации о ней. Расставаясь, обе стороны должны достичь взаимопонимания и обоюдного согласия, во-первых, ради взаимоуважения, а во-вторых, во имя сохранения отношений. Трудно предугадать, как сложится дальнейшая профессиональная судьба покидающего компанию сотрудника – быть может, он окажется вашим клиентом или партнером.
Не менее сложным для внутреннего климата может оказаться и беспричинное, по мнению сотрудников, увольнение или увольнение при затяжном конфликте. В первом случае вокруг неясных мотивов будут рождаться слухи, а во втором – сформировавшиеся вокруг конфликтующих сторон группировки поляризуют на некоторое время коллектив. В таком случае руководству необходимо демонстрировать честность и открытость, а также готовность объяснять причины тех или иных решений и чутко прислушиваться к возникающим опасениям.
Однако следует иметь в виду, что такая открытость не всегда применима. Объяснить причины увольнения остальным – значит, разгласить личные мотивы, скрытые от посторонних глаз. Поэтому в каждом подобном случае руководитель должен взвесить все "за" и "против" подобного решения.
В том случае, когда сотрудника увольняют за низкое качество работы, проблему открытости наиболее эффективно помогает решить прозрачная система аттестации. Если в ее разработку будут вовлечены все члены коллектива, то им будет ясен принцип оценки результатов деятельности их коллег. Поэтому увольнение работника даже без публичного объявления причин вряд ли станет неожиданным или экстраординарным событием для остальных сотрудников. Конечно, они не будут информированы руководством о результатах аттестации своего коллеги, но узнают о них по косвенным признакам. Если оценка эффективности труда введена в форме определения зоны развития, а не поводов для увольнения, то сотрудники будут стремиться к росту, а не бояться ошибок. В свою очередь, система критериев оценки и постоянного мониторинга эффективности работы сотрудника "выталкивает" из штата тех, кто не хочет работать с полной отдачей. В таком случае желание расстаться не будет новостью и для увольняемого – если он постоянно получает обратную связь по своей деятельности, то будет подготовлен и к предложению сменить место работы. Не менее серьезным может оказаться воздействие на коллектив и увольнение по собственному желанию. В случае добровольного ухода демотивация персонала может стать ответом не только на конфликтное расставание, но и на причины этого поступка. Если уход связан с навязчивым поиском работы, вызванным, в свою очередь, глубинными проблемами в организации, то это может иметь крайне неприятные последствия. Ведь те сотрудники, которые остаются, видят пример решения накопившихся проблем их коллегами. И он может оказаться заразительным – сотрудники будут судорожно искать новое место работы. Таким образом, не будет лишним напомнить о том, что коллектив требует постоянного внимания со стороны руководства. Зарождающиеся проблемы необходимо решать незамедлительно, пока они не привели к необратимым последствиям.
Таким образом,
· текучесть кадров сказывается на производительности труда не только тех работников, которые намерены уходить, но и тех, которые продолжают работать, то есть на жизни всей организации;
· текучесть мешает создавать эффективно работающую команду, отрицательно влияет на корпоративную культуру организации.
Несмотря на остроту этой проблемы во многих организациях, «программы сохранения персонала» пока являются редкостью.
1.2 Регулирование текучести кадров.
Текучесть кадров по-разному может отразиться на работе предприятия. В зависимости от сферы деятельности компании и должностей постоянно меняющихся сотрудников это влияние может быть благотворным, практически незаметным, а может привести к потере конкурентоспособности и спаду производства.
Тяжелее всего «текучка» может ударить по предприятиям со сложными технологическими процессами, в том числе строительным и промышленным. Текучесть приводит к снижению объемов производства, сказывается на качестве продукции. Впрочем, только в том случае, если она превышает норму.
Вполне допустимо, если на предприятии с численностью сотрудников до 300 человек ротация кадров держится в пределах 20% от численного состава в год. Это объясняется многими факторами. Например, за год сотрудник набирает необходимый опыт, а получить повышение в должности затруднительно, так как позиция, на которую он претендует, занята.
Если это крупное предприятие, то количество увольняющихся не должно превышать 10–15%. Более вялая «текучка» здесь объясняется тем, что на крупных заводах и строительных холдингах больше внимания уделяют управлению персоналом. У них обычно есть кадровые службы, внимательно следящие за происходящими в трудовом коллективе процессами. Тем не менее, и они не застрахованы от массового перехода сотрудников в конкурирующую компанию. Если количество увольняющихся увеличивается из квартала в квартал – это сигнал о том, что пора принимать меры.
Японская система пожизненного найма, метод "соковыжималки" - получения максимума от нового сотрудника, пока он полон энтузиазма, и постоянная смена кадров для поддержания уровня работы в организации в чистом виде встречаются довольно редко. С тем, что политика работы с персоналом должна быть четко определена, руководители сегодня вряд ли будут спорить. Одни утвердились в этом мнении, увидев результаты своего труда, превысившие самые смелые ожидания. Других заставил согласиться с этим собственный горький опыт и мучительные размышления на руинах предприятия. Выбор стратегии работы с персоналом, принципов планирования карьеры и установление показателей кадрооборота зависят от ситуации на рынке, общей культуры в организации и, что очень важно, от специфики деятельности конкретных подразделений. Рассмотрим несколько случаев, заставляющих руководителя задуматься и определить свою позицию, которые представлены в виде наиболее часто задаваемых вопросов консультантам по работе с персоналом.
Должны ли принципы обучения, развития и увольнения быть едиными для всех сотрудников компании?
Целесообразно разделить сотрудников на три группы (в каждом функциональном подразделении компании):
1. Ядро лучших, самых талантливых и инициативных сотрудников, которые будут проводить стратегическую линию компании, формировать примеры, работать на самых ответственных участках.
2. Группа обеспечения и поддержки.
3. Группа исполнителей.
Почему такая практика считается успешной? История показывает, что успех всех армий мира до XX века зависел от сочетания тяжелой, средней и легкой конницы. Подготовка тяжелой конницы стоила дорого, и поэтому она была немногочисленна. Легкая конница - легкость набора, сегодня набрал - завтра в бой. Легко и уволить. Так и среди сотрудников необходимо поддерживать определенный баланс. Если сильные не будут везде успевать, наступление фирмы на рынке провалится. Закрыть все щели должна "легкая конница" - лучше иметь хоть какого-то специалиста, чем оставить участок неприкрытым. А если внутрифирменное обучение будет для всех, но поверхностным, конкуренты подавят компанию "тяжелой конницей".
Имея три группы, компания может быстро отреагировать на изменения внешней среды численностью персонала и перестановкой кадров. В трудные для фирмы времена или в период организационной перестройки сокращение "легковооруженных" бойцов осуществляется практически безболезненно. "Средневооруженных", для которых характерно хорошее сочетание цена - качество, можно переместить в другой отдел, обеспечив тем самым стабильность. О лучших бойцах забота начальства должна быть максимальной. Если сменяемость сотрудников первой группы происходит так же часто, как третьей, это сигнал опасности. В большинстве случаев начинают увеличиваться затраты и прямые финансовые потери.
Существует ли оптимальное соотношение набираемых извне менеджеров и руководителей, взращенных компанией?
Лучшее решение в данном случае - конкурс, в котором принимают участие кандидаты на продвижение по службе и внешние соискатели. Эффективно в рамках такого конкурса применять метод ассесмент-центра. Для заимствования передового опыта, методов и идей можно опрашивать новичков по всем интересующим темам, предложить им сравнить положительные и отрицательные стороны нынешнего и предшествующего мест работы. При планировании карьеры сотрудников следует помнить, что выслуга лет и высокая квалификация специалиста являются условиями необходимыми, но не достаточными для назначения на руководящую должность. Сотрудник может подняться выше своего уровня компетентности. Если специалисты на своем рабочем месте получают признание и должное вознаграждение, нет причин опасаться ухудшения климата в коллективе из-за того, что большой процент менеджеров среднего и высшего звена приходит со стороны.
Где та граница, которая отделяет регенерацию сил, приток свежей крови в организацию от ее вымывания? Общеизвестны отрицательные стороны продолжительной высокой текучести - упущенная прибыль из-за медленного вхождения в курс дела новичков, низкий уровень организационной культуры, отсутствие лояльности сотрудников, как правило, невысокая квалификация и слабая мотивация. И как результат - падение эффективности работы. Менеджеры при принятии решений отдают предпочтение краткосрочной выгоде, часто решая свои проблемы за счет фирмы.
Так ли страшна высокая текучесть кадров, если желающие работать выстраиваются в очередь?
При анализе сменяемости кадров важно оценить, какие сотрудники уходят, а какие остаются в организации, совпадает ли тенденция изменения качества персонала со стратегическими установками, определенными руководством. Без этой оценки невозможно понять, является ли существующий уровень сменяемости положительным или отрицательным явлением. Если уходят именно те кадры, от которых необходимо избавиться, значит, организация находится на верном пути. Если же она теряет лучших бойцов, то вопрос текучести необходимо вынести на повестку дня. Не обнадеживает и ситуация, когда сменяемость и ротация (большая или маленькая) не способствуют улучшению качества работы. Важной характеристикой привлекательности фирмы служит уровень конкурса на получение в ней работы. Как учил Конфуций, "хорошее правление - когда довольны те, кто рядом, и приходят те, кто далеко". Но полезно также следить за карьерой ушедших сотрудников и интересоваться у специалистов их котировкой на рынке труда. Например, если сотрудник нарасхват, возможно, организация стала трамплином, кузницей кадров для других предприятий. Значит, имеются упущения в планировании карьеры и необходимо сделать профессиональную подготовку кадров более быстрой и менее дорогостоящей. Насторожить должен и низкий спрос на своих работников. Это может быть симптомом отставания фирмы либо негативных процессов, происходящих в отрасли.
Декларируя принцип частичной занятости, некоторые компании практикуют найм сотрудников на проект. Есть ли польза от таких «фигаро»? Существуют агентства, специализирующиеся на подборе сотрудников для временной работы или выполнения определенного объема работ. Не стоит бояться низкой квалификации - она как раз очень высокая. Как правило, на объем нанимают людей, отличающихся нестандартным мышлением и высокой степенью ориентации на задачу. Плюсы для фирмы: очень свежая кровь и отсутствие проблем, связанных с характерными особенностями лидера. Когда определено, что делать, и в общих чертах намечен план, лидеру бывает неинтересно увязать в технических деталях, он стремится дальше, генерирует новые идеи. Такой склад натуры менеджера среднего звена может привести к конфликту с начальством. В случае частичной занятости работу прекрасно доведут до конца постоянные сотрудники, что, кстати, может дешевле обойтись.
Как обеспечить бесперебойность работы, избежать проблем, связанных с неожиданным уходом сотрудников? Можно рассчитывать, а можно и в буквальном смысле слова рассчитать, сколько человек проработает. Причем с определенной долей вероятности. Еще в процессе переговоров и собеседований изучают даты приема и увольнения в трудовой книжке кандидата. Полезно обработать их на компьютере и получить результат в графическом виде. Сразу становится очевидной степень лояльности кандидата к предыдущим работодателям и тенденции изменения отношения. Кадровик может попросить прокомментировать графики и понаблюдать за искренностью и логичностью ответов, а также настроем претендента, его конструктивностью, интеллектуальными способностями и манерой общения.
У каждой компании по подбору персонала обязательно существует своя база компаний-клиентов, которые постоянно заказывают ей одни и те же позиции, несмотря на достаточно высокие цены по подбору персонала. Причем наиболее распространенный тип заказа заключается в том, что нужно найти самого трудолюбивого работника, который согласится работать за самую низкую заработную плату. Возникает вопрос: «Зачем такая компания платит рекрутинговому агентству бешеные деньги за подбор сотрудника, которому впоследствии она будет платить копейки, и который, недолго поработав на новом месте, создаст эту самую текучесть кадров?»
Можно показать на примере одной модели, что в описанной ситуации есть своя внутренняя логика. Эта логика очень выгодна всем трем сторонам: и компании-заказчику персонала, и рекрутинговому агентству и сотруднику, который скорее согласится работать за небольшие деньги, чем быть безработным.
В рамках этой логики высокая текучесть кадров является естественным процессом, а вопрос о том, сколько нужно платить персоналу, получает свой четкий ответ.
Итак, представим типичную небольшую торговую фирму, в которой работают 20 менеджеров по продажам. Согласно обзору заработных плат, который регулярно проводит компания «Шаг», средняя заработная плата менеджера по продажам на рынке труда г. Днепропетровска во втором квартале 2005 г. составила 268,3 у.е. Теперь представим себе, что таких фирм будет десять, причем от одной фирмы к другой оплата менеджеров будет уменьшаться на 5% от среднерыночной, что будет приводить к пропорциональному увеличению текучести кадров. Вместе с этим будут изменяться и другие переменные – фонд заработной платы в год, экономия ФЗП, затраты на поиск сотрудника и потери от его ухода в виде недополученной прибыли. Ниже эти данные представлены в таблице:

Таким образом, первая компания, выплачивая своему персоналу 100-процентную оплату от средней по рынку труда, будет иметь естественную 5-процентную текучесть кадров (увольнение в связи с переездом, уход на пенсию, в декретный отпуск и т.д.), а десятая, выплачивая 55-процентную оплату, будет «терпеть» 50% текучести кадров в год. Согласно мнениям специалистов, уход каждого сотрудника приводит компанию к потере прибыли, которая, как минимум, равна его годовому окладу (недополученная прибыль вследствие потери связей, затраты на акклиматизацию нового сотрудника и т.д.). Допустим также, что все эти гипотетические фирмы будут искать менеджеров по продажам через рекрутинговую компанию, услуги которой будут стоить 500 у.е. за одного сотрудника.
На самом же деле, мы имеем компании не десяти, а двух типов. В одной будет низкая текучесть кадров и, соответственно, низкие потери от нее, а также минимальные затраты на подбор персонала. В другой, – высокая текучесть, большие потери от ухода сотрудников, большие затраты на подбор персонала, но при этом немалая экономия фонда заработной платы по сравнению с компанией первого типа. Что выгоднее владельцу бизнеса? Как выясняется второй вариант.
На графике хорошо видно, что компании, в которых 35% (и выше) текучести кадров в год имеют положительный финансовый результат от экономии ФЗП, выплачивая своим сотрудникам 70% (и ниже) зарплаты от среднерыночной (см. таблицу). При этом они могут запросто заказывать рекрутинговому агентству подбор персонала из сэкономленных из фонда заработной платы средств. А наибольшего финансового результата достигает та компания, где наибольшая текучесть кадров, что видно из приведенного ниже графика. Поскольку всегда найдется достаточное количество компаний, стремящихся сократить ФЗП, то становится понятно, почему так популярен рекрутинг.

Конечно, необходимо понимать условность данной модели. Однако именно такую картину можно наблюдать в повседневной жизни.
Таким образом, у «текучки» есть и положительные качества. Например, на освободившееся место может прийти человек намного профессиональнее уволившегося сотрудника. В любом случае у него будет свой уникальный опыт и новые идеи. Возможно, благодаря им компания откроет новое прибыльное направление деятельности. Есть категория сотрудников, которых время от времени менять необходимо. Например, менеджеров по закупкам.
Во-первых, долгая работа на одном месте чревата возникновением «откатов». Деньги при этом теряет предприятие. Во-вторых, даже будучи кристально честным, наладив контакты, снабженец далеко не всегда станет искать новые места, где необходимое для осуществления производственной деятельности предприятия можно приобрести дешевле. Таким образом, хорошо налаженные связи приведут к переплатам. Новый снабженец будет искать других поставщиков. Тех, кто продает товар дешевле и доставляет его быстрее.
Вообще, смена любого руководителя среднего звена чревата сбоем работы отдела. На компании также негативно отразится увольнение сотрудников, отвечающих за качество работ, производящих расчеты, чертежи, планирование. Менять их стоит только, если на примете есть человек, чей профессиональный уровень выше. Если же таковых нет, лучше повысить зарплату имеющимся, заняться сплочением коллектива и подумать о беспроцентных кредитах для особо ценных сотрудников.
2. Пути сокращения текучести кадров.
2.1 Причины текучести кадров.
Основные и главные причины ухода персонала следующие:
1. неконкурентоспособные ставки оплаты;
2. несправедливая структура оплаты;
3. нестабильные заработки;
4. продолжительные или неудобные часы работы;
5. плохие условия труда;
6. деспотичное или неприятное руководство;
7. проблемы с проездом до места работы;
8. отсутствие возможности для продвижения, обучения или повышения квалификации, развития опыта, карьерного роста;
9. работа, в которой нет особой нужды;
10. неэффективная процедура отбора и оценки кандидатов;
11. неадекватные меры по введению в должность (отсутствие контроля за адаптацией);
12. изменяющийся имидж организации;
13. работа с персоналом по принципу «соковыжималки» (жесткая структура);
14. прецеденты резких увольнений и резких наборов персонала в организацию (отсюда нестабильность компании).
С причинами текучести персонала необходимо работать, их можно устранить или снизить их влияние:
· Неконкурентоспособные ставки оплаты.
Проведите или закажите исследование заработных плат, сравните полученные данные с данными предприятия. Пересмотрите ставки там, где они ниже, и там, где они выше, т.к. переплата также как и не доплата чревата экономическими потерями.
Проведите или закажите аналогичные исследования по другим выплатам (больничным, отпускам, льготам и т.п.).
· Несправедливая структура оплаты труда.
Пересмотрите структуру заработной платы, предпочтительно посредством оценки сложности работы, для выявления неадекватных ставок. Проанализируйте дифференцированные тарифы, пересмотрите их, если выявятся «перекосы ставок».
Если происходят значительные колебания в оплате в результате системы премий или системы участия в прибылях, проверьте эти системы и пересмотрите их.
· Нестабильные заработки.
Проведите анализ причин нестабильности заработков. Их может быть множество, начиная от неэффективной стратегии бизнеса, до недостаточной квалификации вашего персонала.
· Плохие условия труда.
Сравните условия труда (часы работы, гибкость смен, оборудование, эргономику рабочих мест, состояние систем отопления, кондиционирования, освещения) вашей компании с условиями труда конкурентов рынка или компаний, на которые вы равняетесь. Разработайте меры по улучшению условий труда: более гибкий график работы, новая мебель или перестановка мебели, добавление кулеров или освещения могут сделать чудеса.
Проведите или закажите исследование удовлетворенности своей работой и условиями работы сотрудников. Вы получите полную информацию о том, чем именно, какими аспектами труда неудовлетворенны ваши сотрудники.
· Деспотичное или неприятное руководство.
Каждый руководитель, особенно руководитель среднего звена должен быть тщательно подобран на эту должность, должны быть оценены его потенциалы и возможности. Они должны постоянно совершенствоваться в управлении путем обучения и повышения квалификации. Причем, эффективнее, если такое обучение происходит не внутренними тренерами, а внешними специалистами.
Проверьте, действует ли на вашем предприятии четкая кадровая политика и какая она. Возможно, ее необходимо пересмотреть или усовершенствовать. Займитесь разработкой системы корпоративного обучения.
· Работа, в которой нет особой нужды.
Возможно, ваши сотрудники не ощущают нужности и необходимости своей работы в массе всего предприятия. Попробуйте сделать их работу более привлекательной, путем повышения ответственности, расширения сферы деятельности или сокращения ненужной, монотонной работы на данной должности.
Проведите или закажите исследование мотивации ваших сотрудников и вы точно будете знать, чего они хотят от вашего предприятия, и какими методами надо повышать их эффективность труда.
· Неэффективная процедура отбора и оценки кандидатов.
Для эффективной системы отбора и оценки необходимо иметь: должностные инструкции, положения о структурных единицах, четкие критерии отбора и оценки кандидатов, валидные и надежные методы оценки кандидатов, квалифицированных специалистов по отбору и оценке. Проверьте наличие этих параметров, если что-либо отсутствует, срочно принимайте адекватные меры, начиная от найма специалиста по персоналу, заканчивая разработкой и утверждением документов.
· Неадекватные меры по введению в должность.
По кадровой статистике самый большой процент ухода происходит в первые три месяца работы сотрудника, т.к. никто не вводит его в должность, не адаптирует к новой работе, к новой культуре компании. Именно в первые три месяца у сотрудника либо появляется лояльность к компании, либо она уже не появляется никогда. Проанализируйте, каким образом на вашем предприятии работает программа адаптации, кто этим занимается. Особенно заострите внимание на адаптации менеджеров среднего звена и редких специалистов высокой квалификации.
· Работа с персоналом по принципу «соковыжималки» (получение максимума от сотрудника, пока он полон энтузиазма, «выжатый» сотрудник становится ненужным компании).
«Выжатый» персонал уходит из компании и со «скоростью мысли» распространяет отрицательную информацию о компании, «отпугивая» дальнейших кандидатов. Поэтому: пересмотрите кадровую политику в этой области, смягчите свое отношение к сотрудникам (если сможете).
Такие компании формируют выносливых сотрудников для своих конкурентов, ваша компания становится трамплином для дальнейшей карьеры покинувшего вас персонала. Подумайте, надо ли формировать штат конкурентам.
· Имидж компании.
Просмотрите все перечисленные выше пункты и обратите особое внимание на те из них, которые отрицательно влияют на репутацию организации как работодателя (подумайте, в какую организацию Вы бы сами не пошли работать).
Вам следует также рассмотреть и сильные стороны вашей организации, такие как интересная работа, возможности обучения и повышения квалификации, перспективы продвижения по службе, страхование, льготы и пособия для работников. Эти факты необходимо сравнить с теми, которые предлагают конкуренты, и составить список наиболее выгодных пунктов. В какой-то степени кандидаты предлагают себя сами, но они также и покупают то, что организация может им предложить. Если рынок труда является рынком покупателей, организация, которая предлагает себя кандидатам, должна изучить их требования в соотношении с тем, что она может предложить. Их требования можно выразить в шести пунктах: заработная плата, перспективы, обучение, заинтересованность, условия труда, надежность организации.
· Прецеденты резких увольнений и резких наборов персонала в организацию.
Найдите причины таких событий в вашей компании, насколько это было оправдано? Помните, что с такой динамикой в пятый очередной раз набора персонала после пятого сокращения вы вряд ли наберете квалифицированный штат специалистов.
Еще необходимо учитывать такие факторы, которые факультативно способствуют уходу персонала:
· возраст сотрудника (наиболее рискованный возраст перехода на другую работу до 25 лет);
· квалификация сотрудника (работники низшей квалификации чаще меняют работу);
· место жительства сотрудника (чем дальше сотрудник живет от работы, тем больше риск его ухода);
· стаж работы на предприятии (после трех лет стажа происходит резкое снижение текучести, что объясняется фактором возраста, так и проблемами адаптации).
2.2 Определение экономического ущерба, вызванного текучестью персонала
Для определения величины экономического ущерба от текучести кадров рекомендуется использовать следующие методы.
1. Потери, вызванные перерывами в работе,
определяются как произведение трех показателей: среднедневной выработки, приходящейся на одного работника, средней продолжительности перерывов в работе, вызванных текучестью, и числа работников, выбывших по причине текучести:
Nпр = В* Т *Чт
где Nпр - потери, вызванные перерывами в работе;
В - среднедневная выработка на одного человека;
Т - средняя продолжительность перерыва, вызванного текучестью;
Чт - число выбывших по причине текучести.
2. Потери, обусловленные необходимостью обучения и переобучения новых работников
, исчисляются как произведение затрат на обучение, доли текучести в общем числе выбывших, деленное на коэффициент изменения численности работников в отчетном году по сравнению с базовым:
По = Зо*Ди*Ки
где По - потери, вызванные необходимостью обучения и переобучения сотрудников;
Зо - затраты на обучение и переобучение;
Ди - доля излишнего оборота, текучести;
Ки - коэффициент изменения численности работников в отчетном периоде.
3. Потери, вызванные снижением производительности труда у рабочих перед увольнением
, т.е. стоимость недополученной продукции, определяются как произведение коэффициента снижения производительности труда, ее среднедневного уровня, числа дней перед увольнением работников, выбывших по причине текучести:
Срв * Ксп * Чу
где Срв - средняя выработка;
Ксп - коэффициент снижения производительности труда перед увольнением;
Чу - число дней перед увольнением, когда наблюдается падение производительности труда.
4. Потери, вызванные недостаточным уровнем производительности труда вновь принятых рабочих Nпр
, определяются как произведение числа работников, выбывших по причине текучести, суммы произведений показателей среднедневной выработки рабочего в каждом месяце периода адаптации, помесячных коэффициентов снижения производительности труда и числа дней в соответствующем месяце:
Срва * Км * Чм
где Срва - среднедневная выработка рабочего в каждом месяце периода адаптации;
Км - помесячный коэффициент снижения производительности труда за период адаптации;
Чм - число дней в соответствующем месяце.
5. Затраты по проведению набора персонала в результате текучести Зорг
определяется как произведение затрат на набор и доли текучести в общем числе уволившихся, деленное на коэффициент изменения численности работников:
(Зн * Дт ) Кизм
где Зн - затраты на набор;
Кизм. - коэффициент изменения численности работников, равный отношению численности на конец периода к численности на начало периода;
Дт - доля текучести.
6. Потери от брака у вновь поступивших работников
определяются как произведение общей величины потерь от брака, доли потерь от брака у лиц, проработавших до одного года, доли текучести в составе уволившихся, деленное на коэффициент изменения численности работающих:
(Пбн * Об * Дбр) Кизм
где Пбн - потери от брака у новичков;
Об - общие потери от брака;
Дбр - доля потерь от брака у лиц, проработавших менее одного года;
Кизм - коэффициент изменения численности работников, равный отношению численности на конец периода к численности на начало периода;
Общая величина потерь, экономического ущерба, вызванного текучестью персонала равна сумме всех частных потерь. По оценкам затраты на замену рабочих составляют 7–12% их годовой заработной платы; специалистов 18–30%; управляющих 20–100%.
2.3 Приведение уровня текучести к приемлемому значению

Поэтапно приведение уровня текучести к приемлемому значению можно представить в частности через возможность планирования предстоящих увольнений, увязки процессов увольнения с процессами найма, помощи увольняемым работникам (аутплейсмента). Для решения этих и других вопросов, которые будут обозначены после, необходимо исходить из конкретной ситуации на предприятии. Рассматриваемая методика предполагает упорядоченную поэтапную деятельность, осуществление которой следует возложить непосредственно на кадровую службу предприятия. Всю деятельность по управлению текучестью кадров в рамках общего управления персоналом можно представить в виде последовательных стадий.
Рассмотрим содержание каждого из этапов более подробно.
1 ЭТАП.
Определение уровня текучести кадров.
На этой стадии необходимо ответить на главный вопрос - является ли уровень текучести настолько высоким, что приводит к необоснованным экономическим потерям, недополучению прибыли предприятием? Уровень в 3-5 % не должен восприниматься как некий индикатор, поскольку профессиональная мобильность на конкретном предприятии формируется под воздействием совокупности факторов – отраслевая принадлежность, технология производства, трудоемкость работ, наличие/отсутствие фактора сезонности в производственном цикле, стиль руководства, уровень и принципы корпоративной культуры. Поэтому при определении индикативного уровня следует провести анализ динамики трудовых показателей предприятия за возможно больший период времени (последние годы), выявить наличие и величину сезонных колебаний текучести.
2 ЭТАП.
Определение уровня экономических потерь, вызванных текучестью кадров.
Это очень важный этап и в то же время один из наиболее трудоемких, поскольку для его проведения необходимы специальные данные. Дело в том, что с началом проведения в стране экономических реформ одним из первых управленческих аспектов, которым стали пренебрегать предприятия, стало нормирование труда, изначально призванное выявлять резервы производительности труда. Предприятий, на которых ведется учет затрат рабочего времени, разрабатываются, соблюдаются и регулярно пересматриваются трудовые нормы, на сегодняшний момент можно назвать единицы. Однако проблемой следует заниматься в любом случае, поэтому необходимо хотя бы приблизительно оценить величину потерь.
3 ЭТАП.
Определение причин текучести кадров
.
Высокий уровень текучести кадров может быть вызван спецификой производственно-хозяйственной деятельности предприятия либо несовершенством системы управления им. В первом случае проблемы как таковой нет и никаких решений не требуется. Во втором — следует приложить усилия, чтобы отыскать узкие места в системе управления предприятием. Причины увольнений работников с предприятия можно анализировать в двух аспектах
. Первый будет основываться на формальном критерии, разделяющем основания увольнений законодательным путем – оснований расторжения трудовых отношений, перечисленных в ТК РФ. В данном случае перечень оснований будет исчерпывающим, поскольку соответствующие нормы ТК не предусматривают принципиально иных оснований для расторжения трудовых отношений. Кадровая статистика предприятий по вопросам увольнений в основном складывается из следующих оснований: по собственному желанию, в связи с переводом, временные работники, прогул без уважительных причин, по уходу за ребенком, за появление на работе в нетрезвом состоянии, по сокращению численности, в связи со смертью, выход на пенсию, некоторые другие. Отсутствие или появление прецедентов увольнений по тому или иному основанию ведет соответственно к сужению или расширению этого перечня. Поэтому одним из исследований может быть анализ кадровой статистики предприятия.
Очевидной возможностью данного анализа является его сопоставимость – с аналогичными данными других предприятий, отрасли в целом.
Второй аспект связан с определением мотивационной структуры выбытия кадров. Она основывается на реальных причинах, побуждающих работника принять решение об уходе с предприятия. В этом случае статистика службы кадров в лучшем случае лишь частично может дать ответ на вопрос – почему уволился работник. Так, одно основание «по собственному желанию» может быть представлено как: — неудовлетворенность уровнем оплаты труда,
— задержки выплаты заработной платы,
— причины личного характера,
— тяжелые и опасные условия труда,
— неприемлемый режим работы.
Предлагаемая ниже форма вывода результатов опроса, как показывает время, не привносит сколь либо значительной динамики в уже сложившуюся градацию мотивов увольнения, поэтому может быть представлена в качестве типичной:
| По какой причине Вы меняли работу?
|
| Низкая зарплата |
43%
|
| Отсутствие перспектив роста |
24%
|
| Несложившиеся отношения с руководством |
11%
|
| Неудобный график работы |
6%
|
| Неудобное расположение работы |
5%
|
| Другое |
11%
|
|
Рис. 1 Пример простейшего исследования мотивов выбытия работников с предприятия (результат)
Однако необходимо сделать единственное замечание методологического характера. При разработке социологического инструментария на конкретном предприятии (анкеты, опросного листа) следует более детализировать шкалу ответов. Так при анализе полученных выше результатов выявляется, что доля ответов по «другим» мотивам (11%) соотносится с суммой долей по конкретно обозначенным причинам выбытия («неудобный график» - 6% и «неудобное расположение» - 5%). Вывод очевиден – быть может, что в «другом» как раз и кроется часть ответов на поставленные вопросы, т.е. требуется дополнительная детализация мотивов.
Если же детализировать такие критерии, как «причины личного характера» или «неприемлемый режим работы», а затем провести анализ полученных данных, то можно выработать реальные и обоснованные рекомендации по совершенствованию разных моментов деятельности предприятия. Например, увольнения по причинам личного характера могут быть вызваны конфликтностью в связке «начальник – подчиненный», а, следовательно, можно выявить недостатки в организационной структуре предприятия, принять решение об изменении информационных потоков и т.д. На причины увольнения по собственному желанию косвенно может указывать и половозрастная структура персонала: мужчин до 27 лет – из-за ухода в армию, женщин – по уходу за ребенком, пожилых работников – в связи с выходом на пенсию. Из этого также можно сделать рекомендации. Поэтому вторым исследованием может быть анкетирование работников предприятия.
Наконец, в рамках данного этапа «Определение причин текучести кадров»
возможно провести исследование позиции менеджмента
(в качестве представителей администрации будут выступать не только руководитель предприятия, но и его заместители, начальник ОТИЗ, отдела кадров, менеджер по персоналу, мастера, бригадиры и т.п.). Метод исследования – интервью либо анкетирование.
Таким образом, собственными усилиями возможно провести три типа исследований в рамках этого этапа, что даст фактический материал для дальнейшего анализа.
4 ЭТАП
. Определение системы мероприятий, направленных на нормализацию процесса высвобождения рабочей силы, совершенствования процедуры увольнения, преодоление излишнего уровня текучести.
Для этого меры можно разделить на три основные группы: — технико-экономические (улучшение условий труда, совершенствование системы материального стимулирования, организации и управления производством и др.);
— организационные (совершенствование процедур приема и увольнения работников, системы профессионального продвижения работников и др.); — социально-психологические (совершенствование стилей и методов руководства, взаимоотношений в коллективе, системы морального поощрения и др.).
Предлагается также выделить в качестве действенной меры внедрение принципов аутплейсмента
в работу кадровых служб предприятий (т.е. помощи увольняемым работникам – психологической, информационной, консультационной). Преимущества – это одна из немногих мер, не требующих значительных материальных затрат (за исключением случаев когда может потребоваться проведение специальных психологических тренингов с увольняемыми или обращение за помощью в кадровые агентства).
Так, увольняемого работника можно обеспечить пакетом информации, документов, консультаций. Работнику могут быть предоставлены рекомендательные письма; обязательная психологическая консультация; обучение методам поиска работы; обучение работы с кадровыми агентствами; консультация по порядку обращения на биржу труда, предоставление соответствующих документов, информирование о сроках; консультация и памятка, как вести себя на собеседовании; грамотно составленное резюме; список кадровых агентств; список территориальных управлений Комитета труда и занятости; размещение объявления в Интернете о поиске работы для сотрудников, имеющих квалификацию; список фирм, где набирается персонал. Это позволит:
- снизить количество претензий от уволенных, в том числе количество судебных исков (выплат по ним);
- уменьшить число компенсационных выплат увольняемым сотрудникам;
- сохранить положительный имидж компании; - остаться в хороших отношениях с увольняемым сотрудником.
5 ЭТАП
Определение эффекта от осуществления разработанных мер, совершенствование процедуры увольнения, преодоление излишнего уровня текучести.
Наконец, при разработке программы устранения излишней текучести необходимо будет также провести сравнительный анализ издержек на проведение названных мероприятий и потерь из-за излишнего уровня текучести. Руководству предприятия в данном случае следует поступить так же, как и с финансированием любой-другой бизнес-идеи - если затраты на решение проблемы превысят экономический эффект от снижения текучести, возможен поиск других, более "дешевых" вариантов совершенствования работы с персоналом.
В заключении хотелось бы отметить, что с развитием сегмента рекрутерских услуг на рынке труда, для многих предприятий, особенно в крупных городах России, решение обозначенных вопросов возможно переложить на специализированные кадровые агентства. Однако важно показать следующее: предлагаемый порядок деятельности прежде всего рассчитан на собственные силы кадровой службы любого предприятия и при должной организации управления персоналом способен эффективно решать возникающие проблемы.
3. Практическая часть: метод удержания профессионалов в компании.
Процедура оценки уровня удовлетворенности, внедренная на ООО "Метелица", состоит из трех этапов:
1) разработка анкеты оценки уровня удовлетворенности работников основными факторами производственной ситуации;
2) проведение анкетирования;
3) анализ уровня удовлетворенности сотрудников работой (предприятием).
Первый этап.
При составлении анкеты определяется перечень наиболее характерных показателей и критериев их оценки. При этом на каждом конкретном предприятии наряду с основными показателями производственной ситуации (содержание труда, заработная плата и др.) возможны специфические факторы мотивации (различные социальные программы и т. д.). Критериями оценки показателей служили следующие качественные характеристики:
совершенно удовлетворен;
удовлетворен;
затрудняюсь ответить;
не удовлетворен;
совершенно не удовлетворен.
Дополнительно каждому респонденту предлагалось заполнить графу "Ваши пожелания и замечания". В ходе предварительной аналитической работы было выделено 18 факторов мотивации персонала:
Анкета
(см. Таблицу 1)
Для анализа удовлетворенности работой и действующей системой стимулирования просим заполнить анкету. Поставьте любой знак в той графе, с каким утверждением вы согласны.
Таблица 1

Ваши пожелания и замечания:
Мои знания и навыки не востребованы. Некоторые обязанности дублируются другими сотрудниками. Хотелось бы больше самостоятельности, ответственности, доверия со стороны непосредственного руководителя. Надеюсь, что программа " Здоровье" будет продолжена.
Второй этап.
ООО "Метелица" относится к небольшим предприятиям, поэтому не было необходимости рассчитывать оптимальную репрезентативную выборку, в анкетирование были вовлечены все без исключения сотрудники ателье. Работники заполняли анкеты анонимно. Они раздавались по подразделениям (мастерам цехов № 1, № 2, № 3) и профессиональным группам (модельерам, специалистам и менеджерам, продавцам). Такой подход позволял оценить не только индивидуальный уровень удовлетворенности сотрудника работой в ателье, но и зафиксировать данные о микроклимате в каждом отдельном подразделении и группе.
Третий этап.
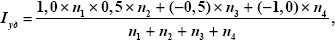
Пожалуй, самым сложным при проведении любого опроса является его математическое обоснование. С этой целью каждому качественному критерию оценки удовлетворенности присваивалось соответствующее числовое значение - коэффициент:
совершенно удовлетворен (+1,0);
удовлетворен (+0,5);
затрудняюсь ответить (0,0);
не удовлетворен (-0,5);
совершенно не удовлетворен (-1,0).
Суммарный показатель удовлетворенности - индекс удовлетворенности (Iуд) по каждому из факторов рассчитывался по формуле:
 где n1, n2, n3, n4 - соответствующее число респондентов (внутри подразделения или профессиональной группы), объединенных по одному из четырех возможных вариантов ответов по шкале удовлетворенности. Ответы респондентов, не сумевших оценить фактор (характеристика по шкале удовлетворенности "затрудняюсь ответить"), не учитывались. Воспользовавшись таблицей 2, в зависимости от полученного значения индекса удовлетворенности (Iуд) можно оценить степень удовлетворенности персонала тем или иным фактором мотивации труда внутри подразделения или профессиональной группы.
Таблица 2
Интерпретация числовых значений (Iуд)
 Далее суммарные показатели удовлетворенности, полученные по отдельным подразделениям и профессиональным группам сотрудников, вносятся в сводную таблицу индекса удовлетворенности (см. таблицу 3).
Таблица 3
Сводные значения индексов удовлетворенности (фрагмент)
 Согласно результатам, занесенным в таблицу 2, можно оценить не только средний индекс удовлетворенности по конкретному фактору, но и общий индекс удовлетворенности производственной ситуацией в конкретном цехе или группе сотрудников.
Далее проводится ранжирование факторов степени удовлетворенности. В таблице 4 факторы ранжированы по степени удовлетворенности сотрудников ООО "Метелица" каждым из них. Эта процедура позволяет сгруппировать факторы производственной ситуации в зависимости от значения среднего индекса удовлетворенности:
Таблица 4.
Ранжирование факторов по степени удовлетворенности

Примечание
: серым цветом выделены показатели со средним и низким уровнем удовлетворенности, требующие улучшения.
Заключение.
Итак, из всего рассмотренного в данном курсовом проекте можно сделать следующие выводы.
Текучесть кадров ухудшает многие производственные показатели. Прежде всего, это упущенная прибыль из-за медленного вхождения в курс дела новичков, снижение производительности труда. Высококвалифицированные специалисты отвлекаются на обучение новых сотрудников. Возникают сложности с мотивацией персонала. Текучесть кадров ухудшает моральный климат в коллективе, что препятствует созданию команды. Конечно, такая ситуация - это серьезный сигнал руководству о необходимости разобраться в процессах происходящих в компании.
В ходе работы мы выяснили, что кроме отрицательных моментов, текучесть кадров имеет и положительные. При контролируемой текучести кадров, открываются возможности для кадровых перестановок и карьерного роста, оставшихся лучших сотрудников, что является для них дополнительным стимулом. Проанализировав причины ухода сотрудников и внеся соответствующие изменения в деятельность фирмы можно не только снизить текучесть кадров, но и увеличить эффективность деятельности каждого сотрудника и фирмы в целом.
В практической части данного курсового проекта в целях устранения текучести кадров на ООО «Метелица» мы применили метод удержания профессионалов в компании и получили информацию для принятия решений. После чего по каждому фактору производственной ситуации, независимо от величины полученного среднего уровня удовлетворенности сотрудника работой, проводится анализ. Указываются возможные причины именно такого значения индекса удовлетворенности, даются рекомендации, как поддержать или повысить удовлетворенность сотрудников своим рабочим местом. Для этого дополнительно используются данные о средней заработной плате по городу, информация, полученная в результате собеседований, наблюдений и т. д.
В результате последовательного анализа всех факторов, влияющих на удовлетворенность сотрудника работой и системой стимулирования труда, должны быть предложены следующие мероприятия:
· разработать стандарт внутрифирменных наград (грамоты, значки, вымпелы и т. п.), программу обучения менеджеров и специалистов, новые должностные инструкции с указанием целей, задач, требований и критериев оценки; дополнительно разработать Положение о премировании, основанное на качестве, производительности и прибыли предприятия, а также программу "Дети" (оплата детских путевок или оплата проезда к месту отдыха, страхование детей от несчастных случаев и т. д.);
· пересмотреть расценки, нормы труда для "сдельщиков" и заработную плату для "повременщиков"; рассмотреть возможность дополнительного приобретения ПК для менеджеров и специалистов;
· скорректировать программу "Здоровье" (см. Таблицу 5) (компенсация стоимости лекарств для сотрудников, оплата санаторной путевки, стоматологическая помощь, доплата некурящим и т. д.), пакет социальных выплат и льгот (компенсация на питание, беспроцентные денежные кредиты, покупка сотрудниками для себя изделий предприятия по себестоимости и с рассрочкой платежа, скидка на покупку товаров фирмы родственниками и знакомыми и др.);
· составить план проведения корпоративных праздников, поздравлений, конкурсов на год и примерные программы их проведения; систематически проводить планерки, встречи с коллективом, вовлекать менеджеров и специалистов в обсуждение стратегических решений.
Таблица 5

Таким образом, говоря о преимуществах предлагаемого метода, можно отметить, что он достаточно прост, универсален, хотя больше подходит для небольших компаний. Он может также использоваться для контроля адаптации на предприятии новых сотрудников.
В целом же, предлагаемая методика позволяет своевременно информировать руководство предприятия и отдел по персоналу как об общем уровне удовлетворенности коллектива, так и об удовлетворенности работников отдельными производственными процессами, что очень важно для принятия адекватных решений по совершенствованию системы управления и уменьшению текучести кадров.
Список использованной литературы.
1. Управление персоналом: Учебник для вузов/ Под ред. Т.Ю. Базарова, Б.Л. ЕреминаМ.: Банки и биржи, ЮНИТИ, 2001. – С. 148.
2. Хоскинг А. Курс предпринимательства: Практическое пособие: Пер. с англ. – М.: Междунар. отношения, 1993. – 352с
3. Тидор С.Н. Психология управления: от личности к команде. – Петрозаводск: «Периодика», 1997. – 256с.
4. Дорошева М.В. Нужны ли Вам такие сотрудники? – М.: ЗАО «Бизнес-школа «Интел-Синтез», 1997. – 48с
5. Методические подходы к управлению текучестью кадров/ Скавитин А.В., 2000.
6. Индивидуальные стратегии предложения труда: теория и практика / С.А. Баркалов, Д.А. Новиков, С.С. Попов. М.: ИПУ РАН, 2002. - 110 с.
7. Психология на службе управления/ Шевяков А.Ю., 2002.
8. Мордовин С. Л. Управление персоналом: современная российская практика. 2-е изд. – Спб.: Питер, 2005.
|