Банк рефератов содержит более 364 тысяч рефератов, курсовых и дипломных работ, шпаргалок и докладов по различным дисциплинам: истории, психологии, экономике, менеджменту, философии, праву, экологии. А также изложения, сочинения по литературе, отчеты по практике, топики по английскому.
Реклама
Полнотекстовый поиск
Всего работ:
364139
Теги названий
Реклама
VisitTime.ru помогает быстро организовать онлайн-запись клиентов и держать расписание под контролем.
📅 Настройте услуги и длительность приёма, откройте свободные окна — и клиенты запишутся сами в пару кликов.
🕒 Вы избегаете накладок, меньше тратите времени на переписки и звонки, а автоматические напоминания повышают явку.
💡 Отличное решение для мастеров, студий и сервисных команд, которым важны порядок и стабильная загрузка.
Начать пользоваться сервисом



Разделы
Авиация и космонавтика (304)
Административное право (123)
Арбитражный процесс (23)
Архитектура (113)
Астрология (4)
Астрономия (4814)
Банковское дело (5227)
Безопасность жизнедеятельности (2616)
Биографии (3423)
Биология (4214)
Биология и химия (1518)
Биржевое дело (68)
Ботаника и сельское хоз-во (2836)
Бухгалтерский учет и аудит (8269)
Валютные отношения (50)
Ветеринария (50)
Военная кафедра (762)
ГДЗ (2)
География (5275)
Геодезия (30)
Геология (1222)
Геополитика (43)
Государство и право (20403)
Гражданское право и процесс (465)
Делопроизводство (19)
Деньги и кредит (108)
ЕГЭ (173)
Естествознание (96)
Журналистика (899)
ЗНО (54)
Зоология (34)
Издательское дело и полиграфия (476)
Инвестиции (106)
Иностранный язык (62791)
Информатика (3562)
Информатика, программирование (6444)
Исторические личности (2165)
История (21319)
История техники (766)
Кибернетика (64)
Коммуникации и связь (3145)
Компьютерные науки (60)
Косметология (17)
Краеведение и этнография (588)
Краткое содержание произведений (1000)
Криминалистика (106)
Криминология (48)
Криптология (3)
Кулинария (1167)
Культура и искусство (8485)
Культурология (537)
Литература : зарубежная (2044)
Литература и русский язык (11657)
Логика (532)
Логистика (21)
Маркетинг (7985)
Математика (3721)
Медицина, здоровье (10549)
Медицинские науки (88)
Международное публичное право (58)
Международное частное право (36)
Международные отношения (2257)
Менеджмент (12491)
Металлургия (91)
Москвоведение (797)
Музыка (1338)
Муниципальное право (24)
Налоги, налогообложение (214)
Наука и техника (1141)
Начертательная геометрия (3)
Оккультизм и уфология (8)
Остальные рефераты (21692)
Педагогика (7850)
Политология (3801)
Право (682)
Право, юриспруденция (2881)
Предпринимательство (475)
Прикладные науки (1)
Промышленность, производство (7100)
Психология (8692)
психология, педагогика (4121)
Радиоэлектроника (443)
Реклама (952)
Религия и мифология (2967)
Риторика (23)
Сексология (748)
Социология (4876)
Статистика (95)
Страхование (107)
Строительные науки (7)
Строительство (2004)
Схемотехника (15)
Таможенная система (663)
Теория государства и права (240)
Теория организации (39)
Теплотехника (25)
Технология (624)
Товароведение (16)
Транспорт (2652)
Трудовое право (136)
Туризм (90)
Уголовное право и процесс (406)
Управление (95)
Управленческие науки (24)
Физика (3462)
Физкультура и спорт (4482)
Философия (7216)
Финансовые науки (4592)
Финансы (5386)
Фотография (3)
Химия (2244)
Хозяйственное право (23)
Цифровые устройства (29)
Экологическое право (35)
Экология (4517)
Экономика (20644)
Экономико-математическое моделирование (666)
Экономическая география (119)
Экономическая теория (2573)
Этика (889)
Юриспруденция (288)
Языковедение (148)
Языкознание, филология (1140)

Реферат: Статистическое наблюдение

Название: Статистическое наблюдение
Раздел: Рефераты по экономике
Тип: реферат Добавлен 02:46:51 07 февраля 2009 Похожие работы
Просмотров: 37 Комментариев: 22 Оценило: 3 человек Средний балл: 5 Оценка: неизвестно     Скачать

Вариант 3

Задание 1

С целью повышения эффективности учебного процесса принято решение провести опрос студентов Финансовой академии.

Для решения поставленной задачи:

разработайте программу статистического наблюдения;

на ее основе составьте анкету (формуляр статистического наблюдения);

постройте максимально возможное число разработочных таблиц (т.е. таблиц, в которые будут внесены результаты сводки и группировки данных, полученных в ходе проведения массового обследования населения по предложенной вами программе).

Решение

Разработка программы статистического наблюдения.

1.Подбор данных для программы статистического наблюдения

- по отношению к специальности;

- по отношению к предметам;

- по успеваемости.

2. Анкета статистического наблюдения

-почему выбрана данная специальность?

-какой предмет наиболее необходим для работы?

-какие результаты сессии?

3. Таблицы построения по следующим признакам:

-по выбору специальности;

-по выбору необходимого предмета;

-по наличию оценок сессии.


Задание 2

По торговым организациям имеются следующие данные:

№ организации Товарооборот, д.е. Издержки обращения, д.е. Средние товарные запасы, д.е.
1 110 6 53
2 141 6 56
3 440 20 169
4 630 21 310
5 960 39 344
6 732 32 300
7 590 28 290
8 400 17 216
9 351 12 132
10 380 9 166
11 320 11 131
12 310 16 166
13 540 16 195
14 950 39 360
15 930 34 367
16 300 9 115
17 510 24 196
18 900 39 350
19 875 37 360
20 845 33 315
21 653 33 269
22 690 26 259
23 800 34 311

На основе приведенных данных:

1.проведите группировку торговых организаций по объему товарооборота, выделив 5 групп с равными интервалами;

2.по каждой выделенной группе и по совокупности в целом рассчитайте: число торговых организаций; товарооборот по группе и в среднем на одну организацию; издержки обращения по группе и в среднем на одну организацию; средние товарные запасы по группе и в среднем на одну организацию.

Результаты группировки представьте в таблице. Проанализируйте показатели таблицы. Установите характер связи между объемом товарооборота и средними товарными запасами на одну организацию. Для измерения тесноты связи между этими показателями исчислите эмпирическое корреляционное отношение. Сделайте выводы.

Решение

1. Группировка торговых организаций по объему товарооборота, выделив 5 групп с равными интервалами;

При построении группировки по количественному признаку с равными интервалами величина интервала определяется по формуле:

i = (Xmах – Xmin) / m

где Xmах – максимальное значение признака в совокупности;

Xmin- минимальное значение признака в совокупности;

Xmах – Xmin- размах вариации;

Реклама

M – число групп с равновеликими интервалами.

Xmах =960д.е.; Xmin = 110д.е.

i =1/5 ( 960-110) = 1/5 *850=170д.е.

Интервалы по объему товарооборота, д.е.

110-280; 280-450; 450-620; 620-790; 790-960

2. Расчет по каждой выделенной группе и по совокупности в целом:

число торговых организаций

товарооборот по группе и в среднем на одну организацию

издержки обращения по группе и в среднем на одну организацию

средние товарные запасы по группе и в среднем на одну организацию


Таблица 1

Группировка организаций по величине товарооборота

Номер группы Интервалы по величине товарооборота Число организаций Товарооборот, д.е. Издержки обращения, д.е. Средние товарные запасы, д.е.
1 110-280 2 110 6 53
141 6 56
итого 2 251 12 109
300 9 115
2 280-450 7 310 16 166
320 11 131
351 12 132
380 9 166
400 17 216
440 20 169
итого 7 2501 94 1095
3 450-620 3 510 24 196
540 16 195
590 28 290
итого 3 1640 68 681
4 620-790 4 630 21 310
653 33 269
690 26 259
732 32 300
итого 4 2705 112 1138
5 790-960 800 34 311
7 845 33 315
875 37 360
900 39 350
930 34 367
950 39 360
960 39 344
итого 7 6260 255 2407
Всего 23 13357 541 5430

Таблица 2

Группы организаций Число организаций Товарооборот, д.е. Издержки обращения, д.е. Средние товарные запасы, д.е.
всего

В среднем

на одну

организацию

всего

В среднем

на одну

организацию

всего

В среднем

на одну

организацию

110-280 2 251 125,5 12 6 109 54,5
280-450 7 2501 357,3 94 13,4 1095 156,4
450-620 3 1640 546,7 68 22,7 681 227
620-790 4 2705 676,3 112 28 1138 284,5
790-960 7 6260 894,3 255 36,4 2407 343,9
Итого 23 13357 580,7 541 23,5 5430 236,1

Вывод: наименьший объем товарооборота в среднем на одну организацию составил 125,5д.е. и средние товарные запасы в данной группе также наименьшие. Иначе говоря, средние товарные запасы на одну организацию напрямую зависят от объема товарооборота на единицу.


Задание 3

Имеются следующие данные по двум предприятиям:

Номер предприятия март апрель
Численность рабочих, чел. Средняя выработка продукции одним рабочим за месяц, д.е. Выработано продукции всего, д.е. Средняя выработка продукции одним рабочим за месяц, д.е.

1

2

200

200

5555

5500

1116000

1158250

5580

5650

Определите:

1.среднюю выработку продукции в расчете на одного рабочего по двум предприятиям в каждом периоде (в марте, апреле). Укажите виды средних, использованных в каждом случае. Объясните, какие факторы повлияли на изменение средней выработки продукции;

2.коэффициент вариации уровня заработной платы в каждом периоде. Проанализируйте полученные результаты.

Решение

1. Расчет средней выработки продукции в расчете на одного рабочего по двум предприятиям в каждом периоде (в марте, апреле). Виды средних, использованных в каждом случае. Факторы, влияющие на изменение средней выработки продукции:

Март - (5555*200+5500*200) / 200*2= (1111000+1100000)/400= 2211000/400 = 5528 д.е.

Апрель - 1) определим численность по 2-м предприятиям:

1116000/5580+1158250/5650= 200+205=405чел.

2) определим среднюю выработку по 2-м предприятиям:

(1116000+1158250) / 405 = 5615д.е.

На изменение средней выработки влияют: производство продукции и численность, а именно чем больше выпуск тем больше выработка.

2. Расчет коэффициента вариации уровня заработной платы в каждом периоде. Анализ полученных результатов.

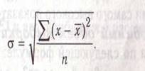
- коэффициент вариации определяется по формуле:


Среднеквадратическое отклонение показывает абсолютное отклонение индивидуальных значений от среднеарифметической. Оно определяется по формуле:


Март - σ =√(5528-5572)/2 = -22

V = -22 / 5528*100= -0,4

Апрель - σ = √ (5615-5572) /2 =21,5

V = 21,5/ 5615*100=0,38

Вывод: В результате расчетов анализ данных свидетельствует о зависимости средней выработки от выпуска, а именно чем больше выпуск тем выше выработка при незначительном увеличении численности. В апреле наблюдается рост объема производства, незначительное увеличение численности и рост выработки. Коэффициент вариации свидетельствует о увеличении уровня заработной платы в апреле месяце и снижение в марте месяце.

Реклама

Задание 4

Абсолютные приросты выпуска продукции предприятия характеризуются следующими данными (по сравнению с предыдущим годом):

Год 1997 1998 1999 2000
Абсолютные приросты, млн.т +0,32 +0,35 +0,41 +0,45

Известно, что в 1999 году по сравнению с 1998 годом выпуск продукции был увеличен в 1,014 раза. Определите за рассматриваемый период (1996-2000 гг.):

среднегодовой абсолютный прирост выпуска продукции;

среднегодовые темпы роста и прироста выпуска продукции;

объем выпуска продукции по годам.

Проведите аналитическое выравнивание ряда динамики. Изобразите фактические и выровненные данные на графике. Определите предполагаемое значение изучаемого показателя (объема выпуска продукции) на 2002 г. (разными методами).

Решение

1) Определим среднегодовой абсолютный прирост выпуска продукции;

∆ у = уn – уn-1 = 0,45-0,32= +0,13

2) Определим среднегодовые темпы роста и прироста выпуска продукции;

Темп роста:

Год 1996 1997 1998 1999 2000
Рост выпуска продукции, раза 1,0 1,056 1,155 1,014 1,113
объем выпуска продукции 1,0

1,32

1,35 1,41 1,45

- n-1 n-1

Тр= √Т1*Т2…Тn = √1,056*1,155*1,014*1,113 = 1,11

Темп прироста:

- -

∆ Тр = Тр -1 = 1, 45-1, 32=1, 13

3) объем выпуска продукции по годам

1997 = 1; 1998 =1,155; 1999 = 1,014; 2000 = 1,113

-Предполагаемое значение изучаемого показателя (объема выпуска продукции) на 2002 г. (разными методами):

- по первому способу :

∆ = 1/3 (1,32+1,41+1,45) = 1,39

- по второму способу

2001 = +0,45+0,13 =+ 0,58

2002 = +0,58+0,13= + 0,71

∆ = 0,71-0,32 = +0,39


Задание 5

Имеются следующие данные:

Товары Товарооборот базисного периода, д.е. Индивидуальные индексы физического объема реализации в отчетном периоде, %

1

2

3

7140

9700

10200

105

101

96

Определите:

1.среднее изменение физического объема реализации товаров в отчетном периоде по сравнению с базисным;

2.общий индекс цен, если известно, что товарооборот увеличился на 11%.

Решение.

1) среднее изменение физического объема реализации товаров в отчетном периоде по сравнению с базисным составит;

- рассчитаем объем реализации товаров в отчетном периоде;

7140*1,05+9700*1,01+10200*0,96=7497+9797+9792=27086

- среднее изменение физического объема реализации товаров в отчетном периоде по сравнению с базисным составит:

І = 1/3*27086 / 1/3*(7140+9700+10200) =9029/ 9013=1,002 или 100,2%

2) общий индекс цен, если известно, что товарооборот увеличился на 11%.

Ір = ΣР1q 1 / ΣР0q1

Ір =27086/ 27040*1,11= 27086/30014=0,902 или 90,2%

Оценить/Добавить комментарий
Имя
Оценка
Комментарии:
Хватит париться. На сайте FAST-REFERAT.RU вам сделают любой реферат, курсовую или дипломную. Сам пользуюсь, и вам советую!
Никита11:23:11 02 ноября 2021
.
.11:23:09 02 ноября 2021
.
.11:23:09 02 ноября 2021
.
.11:23:08 02 ноября 2021
.
.11:23:08 02 ноября 2021

Смотреть все комментарии (22)
Работы, похожие на Реферат: Статистическое наблюдение

Назад
Меню
Главная
Рефераты
Благодарности
Опрос
Станете ли вы заказывать работу за деньги, если не найдете ее в Интернете?

Да, в любом случае.
Да, но только в случае крайней необходимости.
Возможно, в зависимости от цены.
Нет, напишу его сам.
Нет, забью.



Результаты(294402)
Комментарии (4230)
Copyright © 2005 - 2024 BestReferat.ru / реклама на сайте