ЗАДАНИЕ № 1
1. С целью выявления зависимости между экономическими показателями, произведите группировку 30 заводов, образовав 5 групп с равными интервалами, каждую группу охарактеризуйте всеми технико-экономическими показателями, имеющимися в таблице №1.
2. Для заполнения макета таблицы предварительно составьте разработочную таблицу для каждой группы предприятий, куда сведите первичный статистический материал.
3. Разработайте аналитическую таблицу взаимосвязи между группировочным и результативными признаками. Каждую группу предприятий охарактеризуйте следующими показателями: количество предприятий, размер основных фондов, объем выпуска продукции и среднесписочная численность по группе в целом и на один завод.
4. На основании произведенной группировки определите для каждой группы и для всех предприятий в целом:
4.1. степень выполнения плана, плановую и фактическую динамику выпуска продукции;
4.2. относительные величины структуры основных фондов;
Результаты расчетов оформите в таблицу, сделайте выводы.
5. По полученному ряду распределения заводов по стоимости основных фондов определите:
5.1. среднюю величину стоимости основных фондов простую и взвешенную, моду и медиану.
Исходные данные выберите из таблицы №1, начиная с номера завода соответствующего номеру фамилии студента в академическом журнале. Например, номер фамилии в журнале – 15. в расчет должны входить 30 заводов с № 15 по № 40 и с № 1 по № 4.
ЗАДАНИЕ №2
По данным за 10 лет, взятых из таблицы №2, определите:
1. Абсолютные, относительные и средние показатели анализа ряда динамики. Результаты расчетов представьте в табличной форме.
2. С помощью статистической кривой изобразите графически динамику ряда.
Исходные данные выберите из таблицы №3 в соответствии с номером фамилии в академическом журнале.
ЗАДАНИЕ №3
По данным таблицы № 4 вычислите по трем изделиям:
1. Индивидуальные и общие индексы себестоимости и физического объема продукции;
2. Изменение общих затрат на производство всей продукции ( относительное и абсолютное) и разложите абсолютный прирост ( уменьшение) по факторам:
а) за счет изменения себестоимости единицы продукции;
б) за счет изменения количества произведенной продукции.
Забиваем Сайты В ТОП КУВАЛДОЙ - Уникальные возможности от SeoHammer
Каждая ссылка анализируется по трем пакетам оценки: SEO, Трафик и SMM.
SeoHammer делает продвижение сайта прозрачным и простым занятием.
Ссылки, вечные ссылки, статьи, упоминания, пресс-релизы - используйте по максимуму потенциал SeoHammer для продвижения вашего сайта.
Что умеет делать SeoHammer
— Продвижение в один клик, интеллектуальный подбор запросов, покупка самых лучших ссылок с высокой степенью качества у лучших бирж ссылок.
— Регулярная проверка качества ссылок по более чем 100 показателям и ежедневный пересчет показателей качества проекта.
— Все известные форматы ссылок: арендные ссылки, вечные ссылки, публикации (упоминания, мнения, отзывы, статьи, пресс-релизы).
— SeoHammer покажет, где рост или падение, а также запросы, на которые нужно обратить внимание.
SeoHammer еще предоставляет технологию Буст, она ускоряет продвижение в десятки раз,
а первые результаты появляются уже в течение первых 7 дней.
Зарегистрироваться и Начать продвижение
Исходные данные выберите из таблицы №4, начиная с номера изделия, соответствующего номеру фамилии студента в академическом журнале. Например, номер фамилии в академическом журнале 15. В расчете должны участвовать 3 изделия с № 15 по 17.
Таблица № 1
Технико-экономические показатели работы предприятия
| № завода |
Группировочный признак |
РЕЗУЛЬТАТИВНЫЕ ПРИЗНАКИ |
| Стоимость основных фондов |
Объем продукции в оптовых ценах, млн.грн. |
Среднесписочная численность промышленно-производственного персонала, чел. |
| Отчетный период |
Базисный период |
| План |
Факт |
| 1 |
8.2 |
11.8 |
11.6 |
12,0 |
575 |
| 2 |
7.8 |
14.5 |
14.8 |
14.2 |
399 |
| 3 |
3.5 |
6.9 |
7.0 |
6.5 |
448 |
| 4 |
3.3 |
5.5 |
5.6 |
5.4 |
465 |
| 5 |
3.7 |
8.6 |
8.7 |
8.9 |
366 |
| 6 |
3.8 |
7.2 |
7.2 |
7.5 |
589 |
| 7 |
3.2 |
6.5 |
6.3 |
6.8 |
467 |
| 8 |
5.4 |
8.6 |
8.5 |
8.2 |
405 |
| 9 |
3,0 |
5.9 |
6,0 |
6.2 |
509 |
| 10 |
4,0 |
10.6 |
10.8 |
10.4 |
479 |
| 11 |
3.7 |
6.5 |
6.6 |
6.7 |
527 |
| 12 |
4.1 |
7.8 |
8.0 |
7.8 |
509 |
| 13 |
4.4 |
11.4 |
11.1 |
11.3 |
494 |
| 14 |
6.9 |
14.9 |
14.5 |
14.2 |
630 |
| 15 |
4.5 |
9.9 |
9.5 |
9.3 |
447 |
| 16 |
4.8 |
9,0 |
8.5 |
8.2 |
522 |
| 17 |
6.2 |
10 |
10.2 |
9.6 |
647 |
| 18 |
2.6 |
5.6 |
5.4 |
5.3 |
645 |
| 19 |
7.2 |
10.0 |
9.9 |
10.4 |
610 |
| 20 |
2.4 |
5.5 |
5.6 |
5.2 |
390 |
| 21 |
4.1 |
7.2 |
7.3 |
7.4 |
403 |
| 22 |
3.9 |
7.4 |
7.2 |
7.6 |
558 |
| 23 |
5.7 |
11.2 |
11.3 |
11.5 |
463 |
| 24 |
5.2 |
9,0 |
9.1 |
9.3 |
431 |
| 25 |
6.9 |
13.2 |
13.3 |
13.4 |
474 |
| 26 |
4.8 |
6.1 |
6.3 |
6.4 |
394 |
| 27 |
8.2 |
13.4 |
13.2 |
13.3 |
471 |
| 28 |
5.8 |
8.6 |
8.5 |
8.7 |
436 |
| 29 |
8.1 |
8.4 |
8.6 |
8.9 |
488 |
| 30 |
9.9 |
11.6 |
11.4 |
11.2 |
482 |
| 31 |
6.5 |
5.6 |
5.5 |
5.4 |
583 |
| 32 |
8.7 |
6.4 |
6.5 |
6.5 |
653 |
| 33 |
5.2 |
7.3 |
7.1 |
7.2 |
368 |
| 34 |
5.8 |
8.2 |
8.3 |
8.1 |
456 |
| 35 |
6.2 |
9.4 |
9.5 |
9.6 |
561 |
| 36 |
5.8 |
6.8 |
6.5 |
6.6 |
459 |
| 37 |
3.4 |
6.2 |
6.3 |
6.4 |
558 |
| 38 |
3.8 |
5.2 |
5.3 |
5.4 |
569 |
| 39 |
2.9 |
8.4 |
8.1 |
8.3 |
658 |
| 40 |
2.7 |
9.2 |
9.3 |
9.4 |
645 |
Таблица №2
Введено общей площади жилых домов ( тыс. кв. м.)
| Город А |
Город Б |
Город С |
Город Д |
| 1980 |
40,2 |
276 |
16,5 |
122 |
| 1981 |
40,3 |
277 |
16,4 |
125 |
| 1982 |
40,1 |
276 |
16,8 |
121 |
| 1983 |
39,9 |
273 |
16,2 |
119 |
| 1984 |
39,5 |
271 |
15,9 |
116 |
| 1985 |
39,8 |
275 |
15,8 |
111 |
| 1986 |
38,8 |
269 |
16,1 |
109 |
| 1987 |
38,5 |
268 |
15,6 |
110 |
| 1988 |
38,9 |
269 |
15,4 |
112 |
| 1989 |
38,4 |
266 |
15,7 |
116 |
| 1990 |
38,5 |
265 |
15,3 |
110 |
| 1991 |
38,6 |
258 |
14,9 |
109 |
| 1992 |
38,7 |
253 |
14,8 |
106 |
| 1993 |
38,3 |
256 |
14,7 |
105 |
| 1994 |
38,2 |
252 |
14,9 |
100 |
| 1995 |
37,9 |
248 |
14,6 |
96 |
| 1996 |
37,6 |
245 |
14,2 |
98 |
| 1997 |
37,4 |
239 |
14,1 |
102 |
| 1998 |
37,5 |
231 |
13,9 |
101 |
| 1999 |
37,0 |
239 |
13,2 |
99 |
| 2000 |
36,5 |
233 |
13,5 |
100 |
Таблица №3
Варианты для выполнения задания № 2
| № фамилии |
Город |
Годы |
№ фамилии |
Город |
Годы |
№ фамилии |
Город |
Годы |
| 1 |
А |
1980-89 |
11 |
Б |
1980-89 |
21 |
С |
1980-89 |
| 2 |
А |
1981-90 |
12 |
Б |
1981-90 |
22 |
С |
1981-90 |
| 3 |
А |
1982-91 |
13 |
Б |
1982-91 |
23 |
С |
1982-91 |
| 4 |
А |
1983-92 |
14 |
Б |
1983-92 |
24 |
С |
1983-92 |
| 5 |
А |
1984-93 |
15 |
Б |
1984-93 |
25 |
С |
1984-93 |
| 6 |
А |
1985-94 |
16 |
Б |
1985-94 |
26 |
С |
1985-94 |
| 7 |
А |
1986-95 |
17 |
Б |
1986-95 |
27 |
С |
1986-95 |
| 8 |
А |
1987-96 |
18 |
Б |
1987-96 |
28 |
С |
1987-96 |
| 9 |
А |
1988-97 |
19 |
Б |
1988-97 |
29 |
С |
1988-97 |
| 10 |
А |
1989-98 |
20 |
Б |
1989-98 |
30 |
С |
1989-98 |
Таблица №4
Производство продукции и себестоимость изделий по предприятию
| № изделия |
Изготовлено изделий ( тыс. шт.) |
Себестоимость одного изделия (грн.) |
| Базисный период |
Отчетный период |
Базисный период |
Отчетный период |
| 1 |
12.0 |
11.3 |
276.0 |
278.0 |
| 2 |
14.3 |
15.6 |
277.0 |
279.0 |
| 3 |
7.0 |
8.0 |
276.0 |
273.0 |
| 4 |
5.6 |
6.5 |
273.0 |
271.0 |
| 5 |
8.5 |
8.7 |
271.0 |
269.0 |
| 6 |
7.6 |
7.2 |
275.0 |
278.0 |
| 7 |
6.3 |
6.1 |
269.0 |
270.0 |
| 8 |
8.8 |
8.9 |
268.0 |
271.0 |
| 9 |
5.6 |
5.9 |
269.0 |
263.0 |
| 10 |
10.6 |
10.8 |
266.0 |
265.0 |
| 11 |
6.7 |
6.3 |
265.0 |
249.0 |
| 12 |
7.9 |
7.5 |
258.0 |
254.0 |
| 13 |
11.2 |
11.1 |
253.0 |
258.0 |
| 14 |
15.0 |
15.2 |
256.0 |
256.0 |
| 15 |
10.0 |
10.9 |
252.0 |
251.0 |
| 16 |
8.9 |
8.3 |
122.0 |
123.0 |
| 17 |
10.0 |
10.6 |
125.0 |
126.0 |
| 18 |
5.5 |
5.9 |
121.0 |
128.0 |
| 19 |
10.1 |
10.6 |
119.0 |
120.0 |
| 20 |
5.6 |
5.8 |
116.0 |
125.0 |
| 21 |
6.9 |
6.2 |
111.0 |
109.0 |
| 22 |
7.4 |
7.3 |
109.0 |
102.0 |
| 23 |
11.3 |
11.6 |
110.0 |
115.0 |
| 24 |
9.1 |
9.3 |
112.0 |
116.0 |
| 25 |
13.2 |
13.5 |
116.0 |
118.0 |
| 26 |
6.0 |
6.5 |
110.0 |
112.0 |
| 27 |
13.6 |
14.2 |
109.0 |
105.0 |
| 28 |
8.8 |
9.8 |
106.0 |
109.0 |
| 29 |
8.5 |
8.1 |
105.0 |
108.0 |
| 30 |
11.8 |
11.1 |
100.0 |
99.0 |
| 31 |
14.5 |
12.6 |
96.0 |
92.0 |
| 32 |
6.9 |
5.3 |
98.0 |
95.0 |
| 33 |
5.5 |
6.8 |
102.0 |
106.0 |
| 34 |
8.6 |
8.6 |
101.0 |
108.0 |
| 35 |
7.2 |
7.4 |
99.0 |
100.0 |
| 36 |
6.5 |
6.4 |
150.0 |
158.0 |
| 37 |
8.6 |
8.2 |
165.0 |
168.0 |
| 38 |
5.9 |
5.8 |
158.0 |
149.0 |
| 39 |
10.6 |
10.9 |
169.0 |
168.0 |
| 40 |
6.5 |
6.2 |
168.0 |
162.0 |
Задание № 1
Таблица № 1
Исходные данные технико-экономических показателей работы предприятий
| № завода |
Группировочный признак |
РЕЗУЛЬТАТИВНЫЕ ПРИЗНАКИ |
| Стоимость основных фондов |
Объем продукции в оптовых ценах, млн.грн. |
Среднесписочная численность промышленно-производствен ного персонала, чел. |
| Отчетный период |
Базисный период |
| План |
Факт |
| 5 |
3.7 |
8.6 |
8.7 |
8.9 |
366 |
| 6 |
3.8 |
7.2 |
7.2 |
7.5 |
589 |
| 7 |
3.2 |
6.5 |
6.3 |
6.8 |
467 |
| 8 |
5.4 |
8.6 |
8.5 |
8.2 |
405 |
| 9 |
3,0 |
5.9 |
6,0 |
6.2 |
509 |
| 10 |
4,0 |
10.6 |
10.8 |
10.4 |
479 |
| 11 |
3.7 |
6.5 |
6.6 |
6.7 |
527 |
| 12 |
4.1 |
7.8 |
8.0 |
7.8 |
509 |
| 13 |
4.4 |
11.4 |
11.1 |
11.3 |
494 |
| 14 |
6.9 |
14.9 |
14.5 |
14.2 |
630 |
| 15 |
4.5 |
9.9 |
9.5 |
9.3 |
447 |
| 16 |
4.8 |
9,0 |
8.5 |
8.2 |
522 |
| 17 |
6.2 |
10 |
10.2 |
9.6 |
647 |
| 18 |
2.6 |
5.6 |
5.4 |
5.3 |
645 |
| 19 |
7.2 |
10.0 |
9.9 |
10.4 |
610 |
| 20 |
2.4 |
5.5 |
5.6 |
5.2 |
390 |
| 21 |
4.1 |
7.2 |
7.3 |
7.4 |
403 |
| 22 |
3.9 |
7.4 |
7.2 |
7.6 |
558 |
| 23 |
5.7 |
11.2 |
11.3 |
11.5 |
463 |
| 24 |
5.2 |
9,0 |
9.1 |
9.3 |
431 |
| 25 |
6.9 |
13.2 |
13.3 |
13.4 |
474 |
| 26 |
4.8 |
6.1 |
6.3 |
6.4 |
394 |
| 27 |
8.2 |
13.4 |
13.2 |
13.3 |
471 |
| 28 |
5.8 |
8.6 |
8.5 |
8.7 |
436 |
| 29 |
8.1 |
8.4 |
8.6 |
8.9 |
488 |
| 30 |
9.9 |
11.6 |
11.4 |
11.2 |
482 |
| 31 |
6.5 |
5.6 |
5.5 |
5.4 |
583 |
| 32 |
8.7 |
6.4 |
6.5 |
6.5 |
653 |
| 33 |
5.2 |
7.3 |
7.1 |
7.2 |
368 |
| 34 |
5.8 |
8.2 |
8.3 |
8.1 |
456 |
Bыполним группировку по заданному группировочному признаку.
,
где - максимальное значение признака;
- минимальное значение признака; - количество групп.
I
=
= 1,5
Таблица № 1
Группировка заводов по группировочному признаку
| Стоимость основных фондов |
Кол-во заводов |
| 2,4 – 3,9 |
7 |
| 3,9 – 5,4 |
10 |
| 5,4 – 6,9 |
6 |
| 6,9 – 8,4 |
5 |
| 8,4 – 9,9 |
2 |
| |
30 |
Составим разработочную таблицу.
Таблица № 2
Характеристика заводов по группам
| Группы по ст-ти основных фондов, млн.грн. |
№ завода |
Группировочный признак |
РЕЗУЛЬТАТИВНЫЕ ПРИЗНАКИ |
| Стоимость основных фондов. млн.грн. |
Объем продукции в оптовых ценах, млн.грн. |
Среднесписочная численность ППП, чел. |
| Отчетный период |
Базисный период |
| План |
Факт |
| 2,4 – 3,9 |
20 |
2.4 |
5.5 |
5.6 |
5.2 |
390 |
| 18 |
2.6 |
5.6 |
5.4 |
5.3 |
645 |
| 9 |
3,0 |
5.9 |
6,0 |
6.2 |
509 |
| 7 |
3.2 |
6.5 |
6.3 |
6.8 |
467 |
| 5 |
3.7 |
8.6 |
8.7 |
8.9 |
366 |
| 11 |
3.7 |
6.5 |
6.6 |
6.7 |
527 |
| 6 |
3.8 |
7.2 |
7.2 |
7.5 |
589 |
| Итого по группе |
7 |
22,4 |
45,8 |
45,8 |
46,6 |
3493 |
| 3,9 – 5,4 |
22 |
3.9 |
7.4 |
7.2 |
7.6 |
558 |
| 10 |
4,0 |
10.6 |
10.8 |
10.4 |
479 |
| 12 |
4.1 |
7.8 |
8.0 |
7.8 |
509 |
| 21 |
4.1 |
7.2 |
7.3 |
7.4 |
403 |
| 13 |
4.4 |
11.4 |
11.1 |
11.3 |
494 |
| 15 |
4.5 |
9.9 |
9.5 |
9.3 |
447 |
| 16 |
4.8 |
9,0 |
8.5 |
8.2 |
522 |
| 26 |
4.8 |
6.1 |
6.3 |
6.4 |
394 |
| 24 |
5.2 |
9,0 |
9.1 |
9.3 |
431 |
| 33 |
5.2 |
7.3 |
7.1 |
7.2 |
368 |
| Итого по группе |
10 |
45 |
85,7 |
84,9 |
84,9 |
4605 |
| 5,4 – 6,9 |
8 |
5.4 |
8.6 |
8.5 |
8.2 |
405 |
| 23 |
5.7 |
11.2 |
11.3 |
11.5 |
463 |
| 28 |
5.8 |
8.6 |
8.5 |
8.7 |
436 |
| 34 |
5.8 |
8.2 |
8.3 |
8.1 |
456 |
| 17 |
6.2 |
10 |
10.2 |
9.6 |
647 |
| 31 |
6.5 |
5.6 |
5.5 |
5.4 |
583 |
| Итого по группе |
6 |
35,1 |
52,2 |
52,3 |
51,5 |
2990 |
| 6,9 – 8,4 |
14 |
6.9 |
14.9 |
14.5 |
14.2 |
630 |
| 25 |
6.9 |
13.2 |
13.3 |
13.4 |
474 |
| 19 |
7.2 |
10.0 |
9.9 |
10.4 |
610 |
| 29 |
8.1 |
8.4 |
8.6 |
8.9 |
488 |
| 27 |
8.2 |
13.4 |
13.2 |
13.3 |
471 |
| Итого по группе |
5 |
37,3 |
59,9 |
59,5 |
60,2 |
2673 |
| 8,4 – 9,9 |
32 |
8.7 |
6.4 |
6.5 |
6.5 |
653 |
| 30 |
9.9 |
11.6 |
11.4 |
11.2 |
482 |
| Итого по группе |
2 |
18,6 |
18 |
17,9 |
17,7 |
1135 |
| Всего |
30 |
158,4 |
261,6 |
260,4 |
260,9 |
14896 |
Составим аналитическую таблицу.
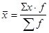
Среднюю величину признака на 1 завод расчитаем по формуле средней арифметической простой:
, где
- значение варьирующего признака; n- количество предприятий.
Таблица № 3
Взаимосвязь между группировочным и результативным признаками.
Группы пред-тий по стоимости ОФ,
млн. грн.
|
Кол-во заводов |
Стоимость ОФ,
млн. грн.
|
Объем продукции в оптовых ценах, млн. грн. |
Среднесписоч-ная численность ППП, чел. |
по
группе в целом
|
на 1 завод |
План |
Факт |
Базисный период |
по
группе в целом
|
на 1 завод |
по
группе в целом
|
на 1 завод |
по
группе в целом
|
на 1 завод |
по группе в целом |
на 1 завод |
| 2,4–3,9 |
7 |
22,4 |
3,2 |
45,8 |
6,5 |
45,8 |
6,5 |
46,6 |
6,7 |
3493 |
499 |
| 3,9–5,4 |
10 |
45,0 |
4,5 |
85,7 |
8,6 |
84,9 |
8,5 |
84,9 |
8,5 |
4605 |
460,5 |
| 5,4–6,9 |
6 |
35,1 |
5,9 |
52,2 |
8,7 |
52,3 |
8,7 |
51,5 |
8,6 |
2990 |
498,3 |
| 6,9–8,4 |
5 |
37,3 |
7,5 |
59,9 |
12,0 |
59,5 |
11,9 |
60,2 |
12,0 |
2673 |
534,6 |
| 8,4–9,9 |
2 |
18,6 |
9,3 |
18,0 |
9,0 |
17,9 |
9,0 |
17,7 |
8,9 |
1135 |
567,5 |
| Всего |
30 |
158,4 |
30,4 |
261,6 |
44,8 |
260,4 |
44,6 |
260,9 |
44,7 |
14896 |
2559,9 |
Анализируя таблицу взаимосвязи, видим, что предприятия 2 группы имеют наибольшую стоимость ОФ по группе в целом и наименьшую среднюю численность ППП, обеспечивают выполнение плана в текущем периоде, но повышения объема выпускаемой продукции не наблюдается.
100 % выполнение плана в текущем периоде и небольшое повышения объема выпускаемой продукции по сравнению с базисным периодом наблюдается на предприятиях со средней стоимостью ОФ (группа 3) и средней численность ППП.
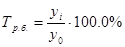
Определяем степень выполнения плана, плановую и фактическую динамику, относительную величину структуры основных фондов, используя сводные данные по группам предприятий.
, где
- фактический выпуск продукции; - плановый выпуск продукции.
, где - выпуск продукции в базисном периоде

Относительная величина структуры определяется как отношение стоимости основных фондов каждой группы к стоимости основных фондов всей совокупности.
Таблица № 4
Результаты расчета относительных показателей работы предприятий
| Группы пред-тий по стоимости ОФ, млн. грн. |
Выполнение плана по выпуску продукции, % |
Относительная величина плановой динамики, % |
Темп роста выпуска прод- ции, (фактичес-кая динамика)% |
Структура основных фондов, % |
| 2,4 – 3,9 |
100 |
98,3 |
98,3 |
14,1 |
| 3,9 – 5,4 |
99,1 |
100,9 |
100 |
28,4 |
| 5,4 – 6,9 |
100,2 |
101,4 |
101,6 |
22,2 |
| 6,9 – 8,4 |
99,3 |
99,5 |
98,8 |
23,5 |
| 8,4 – 9,9 |
99,4 |
101,7 |
101,1 |
11,7 |
| Всего |
498 |
501,8 |
499,8 |
99,9 |
Определим среднюю стоимость основных фондов.
Средняя арифметическая простая
определяется по формуле:
, где - стоимость основных фондов; n- количество предприятий.
Сервис онлайн-записи на собственном Telegram-боте
Попробуйте сервис онлайн-записи VisitTime на основе вашего собственного Telegram-бота:
— Разгрузит мастера, специалиста или компанию;
— Позволит гибко управлять расписанием и загрузкой;
— Разошлет оповещения о новых услугах или акциях;
— Позволит принять оплату на карту/кошелек/счет;
— Позволит записываться на групповые и персональные посещения;
— Поможет получить от клиента отзывы о визите к вам;
— Включает в себя сервис чаевых.
Для новых пользователей первый месяц бесплатно.
Зарегистрироваться в сервисе
Средняя арифметическая взвешенная
определяется по формуле:
, где - средняя величина признака; f- частота появления признака
Таблица № 5
Расчет средней арифметической простой
| Группа предприятий |
Стоимость ОФ по группе,
млн. грн.
хі
|
Кол-во заводов,
n
|
| 2,4 – 3,9 |
22,4 |
7 |
| 3,9 – 5,4 |
45,0 |
10 |
| 5,4 – 6,9 |
35,1 |
6 |
| 6,9 – 8,4 |
37,3 |
5 |
| 8,4 – 9,9 |
18,6 |
2 |
| Всего |
158,4 |
30 |
= 158,4 / 30 = 5,3
Таблица № 6
Расчет средней арифметической взвешенной, модального и медианного значений
| Группы предприятий по стоимости ОФ, млн.грн., Х |
Количество предприятий, f |
Середина интервала,  |

|
Накопленная частота, S |
| 2,4 – 3,9 |
7 |
3,15 |
22,05 |
7 |
| 3,9 – 5,4 |
10 |
4,65 |
46,5 |
17 |
| 5,4 – 6,9 |
6 |
6,15 |
36,9 |
23 |
| 6,9 – 8,4 |
5 |
7,65 |
38,25 |
28 |
| 8,4 – 9,9 |
2 |
9,15 |
18,3 |
30 |
| Всего |
30 |
- |
162 |
- |
=∑ / ∑f = 162 / 30 = 5,4
Модальное значение
в интервальном ряду распределения определяем по формуле:
, где нижняя граница модального интервала;
величина интервала;
- частота модального интервала;
- частота интервала, предшествующего модальному;
- частота интервала, последующего за модальным.
10 - 7
М0
=
3,9
+ 1,5 *
(10 - 7) +
(
10
-
6
) =
4,54
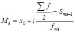
Для определения медианного значения
в интервальных рядах используется формула:
, где нижняя граница медианного интервала;
величина интервала;
- накопленная частота интервала, предшествующего медианному;
- частота медианного интервала.
30/2 - 7
Ме
=
3,9
+ 1,5 *
10
=
5,1
Задание № 2
Таблица № 1
Данные за 10 лет
| Город А |
| 1984 |
39,5 |
| 1985 |
39,8 |
| 1986 |
38,8 |
| 1987 |
38,5 |
| 1988 |
38,9 |
| 1989 |
38,4 |
| 1990 |
38,5 |
| 1991 |
38,6 |
| 1992 |
38,7 |
| 1993 |
38,3 |
Для определения показателей ряда динамики используем следующие формулы:
1. Абсолютный прирост цепной: , где
уі
-базисный уровень; у і-1
- предыдущий уровень.
2. Абсолютный прирост базисный: ;
3. Темп роста цепной: ;
4. Темп роста базисный: ;
5. Темп прироста цепной: ;
6. Темп прироста базисный: ;
7. Абсолютное значение 1 % прироста: 
8. Средний уровень интервального ряда с равностоящими уровнями рассчитываем по формуле:
, где число уровней ряда;
9. Средний абсолютный прирост рассчитываем по цепным данным:
, где количество цепных приростов;
10. Средний темп роста рассчитывается на основе среднего коэффициента роста:
, где количество цепных коэффициентов роста;
- средний темп роста;
11. Средний темп прироста:
%.
Таблица № 2
Результаты расчета абсолютных, относительных и средних показателей анализа ряда динамики
| Годы |
1984 |
1985 |
1986 |
1987 |
1989 |
1989 |
1990 |
1991 |
1992 |
1993 |
Ввод жилых домов,
тыс. кв.м.
|
39,5
|
39,8
|
38,8
|
38,5
|
38,9
|
38,4
|
38,5
|
38,6
|
38,7
|
38,3
|
| ∆ц |
-- |
0,3 |
-1 |
-0,3 |
0,4 |
-0,5 |
0,1 |
0,1 |
0,1 |
-0,4 |
| ∆б |
-- |
0,3 |
-0,7 |
-1 |
-0,6 |
-1,1 |
-1 |
-0,9 |
-0,8 |
-1,2 |
| Тр.ц. |
-- |
100,8 |
97,5 |
99,2 |
101 |
98,7 |
100,3 |
100,3 |
100,3 |
99 |
| Тр.б. |
-- |
100,8 |
98,2 |
97,5 |
98,5 |
97,2 |
97,5 |
97,7 |
98 |
97 |
| Тпр.ц. |
-- |
0,8 |
-2,5 |
-0,8 |
1 |
-1,3 |
0,3 |
0,3 |
0,3 |
-1 |
| Тпр.б. |
-- |
0,8 |
-1,8 |
-2,5 |
-1,5 |
-2,8 |
-2,5 |
-2,3 |
-2 |
-3 |
| α |
-- |
0,38 |
0,4 |
0,38 |
0,4 |
0,38 |
0,33 |
0,33 |
0,33 |
0,4 |
Расчет средних показателей.
У = 39,5 + 39,8 + 38,8 + 38,5 + 38,9 + 38,4 + 38,5 + 38,6 + 38,7 + 38,3 / 10 = 38,8 тыс. кв.м.
∆ = 0,3 + (-1) + (-0,3) + 0,4 + (-0,5) + 0,1 + 0,1 + 0,1 + (-0,4) = - 0,13
9
 Кр
= 9
√ 1,008 * 0,975 * 0,992 * 1,01 * 0,987 * 1,003 * 1,003 * 1,003 * 0,99 = 9
√0,970852694 = 0,997
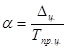
Анализируя произведенные расчеты, наблюдаем увеличение ввода жилой площади в 1985 и 1989 гг., незначительное увеличение в 1990 — 1992 гг..
В 1986 — 1987, 1989 и 1993 гг. наблюдается снижение ввода жилой площади, пик которого приходится на 1989 г.

Задание № 3
Таблица № 1
Исходные данные по производству продукции и себестоимости изделий по предприятию.
| № изделия |
Изготовлено изделий
( тыс. шт.)
|
Себестоимость одного изделия (грн.) |
| Базисный период |
Отчетный период |
Базисный период |
Отчетный период |
| 5 |
8.5 |
8.7 |
271.0 |
269.0 |
| 6 |
7.6 |
7.2 |
275.0 |
278.0 |
| 7 |
6.3 |
6.1 |
269.0 |
270.0 |
Рассчитаем индивидуальные индексы физического объема и себестоимости продукции, общие агрегатные индексы физического объема, себестоимости продукции и общих затрат на производство продукции, используя формулы:
Индивидуальный индекс физического объема: , где
q1
- кол-во товара в отчетном периоде; q0
- кол-во товара в базисном периоде.
Индивидуальный индекс себестоимости: , где
z1
- себестоимость изделия в отчетном периоде; z0
- себестоимость изделия в базисном периоде.
Общий индекс физического объема: ;
Абсолютное изменение общих затрат на выпуск продукции за счет изменения количества выпущенной продукции: ;
Общий индекс себестоимости: ;
Абсолютное изменение общих затрат на выпуск продукции за счет изменения себестоимости продукции: ;
Общие затраты на производство продукции: ;
Абсолютное изменение общих затрат в целом: .
і
1
q
=
8,7 / 8,5 = 1,024 или 102,4 %
i
2
q
=
7,2 / 7,6 = 0,947 или 94,7 %
i
3
q
=
6,1 / 6,3 = 0,968 или 96,8 %
Полученные i
2
q
и i
3
q
показывают на уменьшение объема изготовления изделий № 6 и № 7 в отчетном периоде по сравнению с базисным.
Полученный і
1
q
наоборот указывает на увеличение объема изготовления изделя № 5 в отчетном периоде по сравнению с базисным.
z
1
q
=
269 / 271 = 0,993 или 99,3 %
z
2
q
=
278 / 275 = 1,011 или 101,1 %
z
3
q
=
270 /269 = 1,004 или 100,4 %
Полученный z
1
q
показывает, что себестоимость изделия № 5 уменьшилась в отчетном периоде по сравнению с базисным.
Полученный z
2
q
и z
3
q
показываюет, что себестоимость изделий № 6 и № 7 увеличилась в отчетном периоде по сравнению с базисным.
 8,7 * 271 + 7,2 * 275 + 6,1 * 269 5978,6
Iq
= 271 * 8,5 + 275 * 7,6 + 269 * 6,3 = 6088,2 = 0,982 или 98,2 %
Полученный индекс показывает, что физический объем затрат на производство в отчетном периоде уменьшился по сравнению с базисным на 1,8 %.
∆q
= 5978,6 – 6088,2 = - 109,6
Уменьшение затрат за счет изменения количества произведенной продукции равно 109,60 грн.
 269 * 8,7 + 278 * 7,2 + 270 * 6,1 5988,9
Iz
=
8,7 * 271 + 7,2 * 275 + 6,1 * 269 = 5978,6 = 1 002 или100,2 %
Общее увеличение затрат на производство в отчетном периоде по сравнению с базисным равно 0,2%
∆z
=
5978,6 — 5988,9 = - 10,3
Увеличение общих затрат на выпуск продукции за счет изменения себестоимости равно 10,3 грн.
 8,7 * 269 + 7,2 * 278 + 6,1 * 270 5988,9
I
q
z
=
8,5 * 271 + 7,6 * 275 + 6,3 * 269 = 6088,2 = 0,984 или 98,4 %
∆ q
z
=
5988,9 — 6088,2 = - 99,3
Абсолютное изменение общих затрат в целом составило 99,30 грн.
Список использованной литературы:
1. Общая теория статистики / Под ред. А. Я. Боярского, Г. Л. Громыко. - М.: Изд-во Моск. ун-та, 1985 г. Использованные страницы: 28 - 37, 52-55, 81-100.
2. Переяслова И. Г., Колбачев Е. Б. Основы статистики. Серия «Учебники, учебные пособия». – Ростов н/Д: Феникс, 1999. -320 с. Использованные страницы: 127-132, 154-170.
3. Статистика: Учебник / А. В. Головач, А. М. Ерина, О. В. Козирев и другие. Под ред. А. В. Головача, А. М. Ериной, О. В. Козирева. - Киев: Высшая школа, 1993 г. Использованные страницы: 21-26, 30-38, 52-61, 70-85.
4. Чернова Т. В. Экономическая статистика. Учебное пособие. Таганрог: Изд-во ТРТУ, 1999. - 140 с. Использованные страницы: 34-42, 50-55, 70-82.
|