Статистика оптовой торговли
Выполнил студент
Москва
2007
Содержание. 2
Введение. 3
Показательная регрессия. 7
Построение регрессии. 8
Дисперсионный анализ для линейной регрессии. 10
Изучение качества линейной регрессии. 12
Доверительные интервалы для оцененных параметров. 12
Критерий Фишера значимости всей регрессии. 13
Заключение. 16
Литература. 17
Товарооборот представляет собой процесс купли-продажи, обмена товара на деньги. В его основе лежит уступка права собственности на товар в обмен на его денежный эквивалент.
В товарообороте всегда имеются два полюса: покупатель и продавец; покупка есть в то же время продажа. Однако в статистике рынка, как правило, товарооборот рассматривается с позиции продавца и в анализе интерпретируется в качестве синонима продажи. Исключение составляет характеристика покупки товаров отдельными группами населения [3]. Товарооборот характеризует объем продажи и покупки товаров в стоимостных единицах, реже - в натуральных. Бесплатная передача продукта или услуги (предоставление, помощь, перемещение) товарооборотом не является. В узком смысле под товарооборотом понимают только куплю-продажу продукта, при этом продажа услуг выделяется самостоятельно [8].
Оптовая и мелкооптовая продажа товаров, как правило, оплачивается по безналичному расчету, хотя, например, известен способ оптовой - продажи под названием “плати и забирай” (Carri-and-cash), который заключается в оперативном заключении сделки, оплате наличными деньгами и немедленном вывозе товара (при этом обычно делается скидка с оптовой цены). В розничной торговле и массовом питании (общественном питании) покупатель преимущественно расплачивается наличными деньгами; однако расширение продаж по каталогам и образцам, торговли в кредит и т. п., а также совершенствование банковского дела, внедрение кредитных пластиковых карточек могут впоследствии привести к увеличению доли безналичных расчетов и в рознице. Момент фактического отпуска товара и момент уплаты денег могут не совпадать, что создает некоторые трудности в учете товарооборота. Так, при продаже в кредит при отпуске товара уплачивается лишь часть денег, но в товарооборот включается вся стоимость проданного товара. При продаже по подписке, наоборот, вносится вся сумма, а товар доставляется в установленные соглашением сроки. В товарооборот включается стоимость только фактически доставленных клиенту товаров.
Забиваем Сайты В ТОП КУВАЛДОЙ - Уникальные возможности от SeoHammer
Каждая ссылка анализируется по трем пакетам оценки: SEO, Трафик и SMM.
SeoHammer делает продвижение сайта прозрачным и простым занятием.
Ссылки, вечные ссылки, статьи, упоминания, пресс-релизы - используйте по максимуму потенциал SeoHammer для продвижения вашего сайта.
Что умеет делать SeoHammer
— Продвижение в один клик, интеллектуальный подбор запросов, покупка самых лучших ссылок с высокой степенью качества у лучших бирж ссылок.
— Регулярная проверка качества ссылок по более чем 100 показателям и ежедневный пересчет показателей качества проекта.
— Все известные форматы ссылок: арендные ссылки, вечные ссылки, публикации (упоминания, мнения, отзывы, статьи, пресс-релизы).
— SeoHammer покажет, где рост или падение, а также запросы, на которые нужно обратить внимание.
SeoHammer еще предоставляет технологию Буст, она ускоряет продвижение в десятки раз,
а первые результаты появляются уже в течение первых 7 дней.
Зарегистрироваться и Начать продвижение
Таким образом, можно сформулировать определение предмета статистики товарооборота [5]. Предметом статистики товарооборота являются массовые процессы и явления перемещения товаров от производителя к потребителю и обмена товаров на деньги, поддающиеся количественной характеристике.
Торговый посредник — фирма или частное лицо, осуществляющие покупку и последующую перепродажу товара или оказывающие помощь в доведении товара до потребителя.
К торговым посредникам относятся следующие их типы: дистрибьюторы—достаточно крупные оптовые фирмы, располагающие складской сетью и принимающие на себя права собственности; дилеры (как правило, розничные или оптово-розничные фирмы, занимающиеся послепродажным обслуживанием), имеют складскую и торговую сеть, принимают на себя права собственности; джобберы—сравнительно небольшие фирмы, не имеющие складов, принимают на себя права собственности и осуществляют быструю перепродажу товаров.
Возможно также участие в товародвижении посредников, не приобретающих права собственности на товар, а только сводящих поставщика и покупателя, помогающих им заключить сделку, организовать товародвижение и берущих за это комиссию (маклеры, брокеры, агенты, комиссионеры, и т. п.). Они, однако, не входят в число уровней канала товародвижения и поэтому не влияют на его звенность.
Статистика розничного товарооборота изучает заключительный этап товарного обращения, т. е. продажу товаров населению. Изучает объём и динамику продажи отдельных товаров. Является важным источником изучения роста потребления и благосостояния населения. Тесно связана со статистикой товарооборота статистика товарных запасов, определяющая их объём и состав в товаро - проводящей сети. Её основные показатели: обеспеченность товарооборота товарными запасами в днях (отношение объёма запасов на определённое число к однодневному товарообороту), скорость товарооборота (отношение товарооборота за некоторый период к среднему товарному запасу за этот же период) и продолжительность одного оборота в днях (отношение среднего товарного запаса к однодневному товарообороту). Статистика товарных запасов является важным источником изучения степени удовлетворения спроса населения на отдельные товары и соответствия предлагаемых товаров спросу [6].
Сервис онлайн-записи на собственном Telegram-боте
Попробуйте сервис онлайн-записи VisitTime на основе вашего собственного Telegram-бота:
— Разгрузит мастера, специалиста или компанию;
— Позволит гибко управлять расписанием и загрузкой;
— Разошлет оповещения о новых услугах или акциях;
— Позволит принять оплату на карту/кошелек/счет;
— Позволит записываться на групповые и персональные посещения;
— Поможет получить от клиента отзывы о визите к вам;
— Включает в себя сервис чаевых.
Для новых пользователей первый месяц бесплатно.
Зарегистрироваться в сервисе
Исходной задачей статистики товарооборота являются сбор и обработка данных, характеризующих процессы купли-продажи товаров. Изучение процессов товарооборота представляет большой интерес как для государства, так и для рыночных структур. Государство, выступающее в роли гаранта прав покупателей и продавцов, естественно, должно быть информировано о главных рыночных процессах товарооборота. Изучение процесса формирования товарооборота, роли отдельных звеньев и рыночных структур является важной задачей государственных служб, занимающихся фиском, поскольку объем реализации продуктов и услуг, доля добавленной стоимости в товарообороте и т. д. определяют значительную часть налоговых поступлений. Данные и выводы статистики товарооборота используются в статистике уровня жизни, так как розничный товарооборот характеризует товарную массу, перешедшую в сферу личного потребления, а его размер в расчете на душу населения отражает тенденцию уровня индивидуального потребления продуктов и услуг. Рыночные структуры собирают и анализируют данные о товарообороте для оценки результатов собственной деятельности, характеристики деловой активности и конъюнктуры. Данные о товарообороте необходимы рыночным структурам для разработки и прогнозирования стратегии своего маркетинга. Таким образом, можно, сделать вывод, что сбор и анализ информации о товарообороте представляют важную задачу государственной статистики и бизнес-статистики фирм, занимающихся сбытовой и торговой деятельностью (включая продажу услуг) [1].
Общая, концептуальная цель статистики товарооборота сводится к сбору, обработке и анализу надежной информации об объеме, уровне, структуре и динамике купли-продажи товаров в целом и на разных уровнях хозяйствования. Интересы маркетингового управления требуют характеристики ритмичности, последовательности этапов товарооборота, связей производственной сферы и торговых посредников, получения данных об экономическом распределении рынка (т. е. товарооборота) между участниками рыночного процесса [7]. Государство, в свою очередь, нуждается в информации о территориальном (региональном) распределении товарооборота, связях товарооборота с доходами потребителей, переходе товарной массы в сферу потребления и насыщения рынка [4]. Исходя из целей регулирования и прогнозирования спроса и предложения необходимо выявлять закономерности и тенденции товарооборота. Отсюда вытекают конкретные функциональные задачи статистики товарооборота, которые можно сформулировать следующим образом:
· сбор, сводка и обработка информации о товарообороте на уровне предприятий, фирм, каналов товародвижения (торгово-сбытовых систем), регионов и в целом по стране; общем объеме товарооборота и продаже отдельных продуктов и услуг;
· оценки и анализ отдельных этапов товародвижения, уровней и длины каналов товародвижения, форм сбытового и торгово-посреднического товарооборота, формирования и использования товарных ресурсов;
· анализ объема товарооборота, его товарной структуры и ассортимента;
· анализ динамики товарооборота;
· анализ товарооборота на душу населения и процесса удовлетворения покупательского спроса;
· региональный анализ товарооборота.
В работе строиться показательная регрессия – временной тренд, характеризующий объем оптовой торговли за 2005-2006гг. Данные получены с сайтов Росстата http://www.gks.ru/ и сайта информационного агентства Прайм-тасс http://e3.prime-tass.ru/macro/ . Приведем данные:
| год |
месяц |
месяц |
продажа |
| 2005 |
январь |
1 |
901 |
| февраль |
2 |
806 |
| март |
3 |
854 |
| апрель |
4 |
912 |
| май |
5 |
812 |
| июнь |
6 |
887 |
| июль |
7 |
926 |
| август |
8 |
943 |
| сентябрь |
9 |
955 |
| октябрь |
10 |
991 |
| ноябрь |
11 |
1007 |
| декабрь |
12 |
991 |
| 2006 |
январь |
13 |
1007 |
| февраль |
14 |
1029 |
| март |
15 |
1122 |
| апрель |
16 |
1035 |
| май |
17 |
1132 |
| июнь |
18 |
1082 |
| июль |
19 |
1126 |
| август |
20 |
1173 |
| сентябрь |
21 |
1162 |
| октябрь |
22 |
1197 |
| ноябрь |
23 |
1141 |
| декабрь |
24 |
1241 |

Обозначим ln(f)=y, ln(a)=alpha, ln(b)=beta
Получим
  
  
  
  
  
  
  
  
Оценим линейную регрессию
Для регрессии вида

найдем коэффициенты по формулам

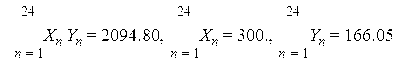
Вычислим
























Тогда


Откуда

Тогда линейная регрессия будет иметь вид

Смысл коэффициента beta заключается в том, что при изменении значения X на 1 единицу Y меняется на 0,0166 единиц
Параметры показательной регрессии
 

Нарисуем точки и регрессию:

Среднее Y

Остаточная вариация (RSS)


Общая вариация (TSS)


Объясняемая вариация (ESS)



Правило сложения дисперсий выполняется
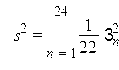
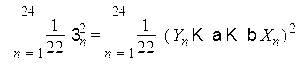
Подсчитаем оценку дисперсии ошибки, т.е. 
 
 
Среднее X

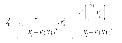
Найдем оценки дисперсий коэффициентов регрессии

по формулам

Получим

Изучение качества линейной регрессии

уровень доверия 
Количество степеней свободы 22
Критическое значение статистики Стьюдента  
Доверительный интервал для beta

равен

Не можем на данном уровне значимости принять гипотезу beta=0 т.к. не попадает в доверительный интервал.
Доверительный интервал для alpha

равен

Мы не можем на данном уровне значимости принять гипотезу alpha=0 т.к. не попадает в доверительный интервал.
Коэффициент корреляции

где



показывает, что связь сильна
Коэффициент детерминации 
 
показывает, что регрессия объясняет 91,13 процентов вариации признака.
Убедимся в значимости модели с помощью статистики Фишера
 
которая больше критического значения
  
Следовательно, регрессия значима
Проверим значимость коэффициента корреляции
  
поэтому выборочный коэффициент корреляции значимо отличается от нуля.
Средняя ошибка аппроксимации


Колеблемость признака
Колеблемость - это отклонения уровней динамического ряда от тренда, т.е. остатки регрессии.Найдем остатки регрессии (т.е. очищаем признак от тренда)
  
  
  
  
  
  
  
  
Нарисуем график остатков

Среднее линейное отклонение уровней ряда от тренда описывается показателем

т.е. среднее абсолютное отклонение от тренда равно

Амплитуда колебаний есть разность максимального и минимального отклонения и показывает максимальный разброс отклонений.
 
Степень тесноты связи между последовательностями наблюдаемого временного ряда, сдвинутого относительно друг друга на t единиц может быть определена с помощью коэффициента автокорреляции

Показатель t служит порядком коэффициента автокорреляции. Для разных t получаем r(t) - автокорреляционную функцию
  
  
а ее график - коррелограмма.
Статистика Дарбина-Уотсона
 
Попали в зону отсутствия автокорреляции.
В работе был построен показательный тренд объем оптовой торговли. Регрессия оказалась значима по критериям Стьюдента и Фишера. R^2 высокий. Регрессия не обладает автокорреляцией (по коэффициенту автокорреляции и статистике Дарбина-Уотсона), сезонность не наблюдается. Отклонения от тренда несущественны. Поэтому можно говорить, что регрессия обладает хорошими прогнозными свойствами и может использоваться.
1. Н. И. Щедрин «Статистика торговли» г. Москва «Финансы и статистика» 2003 год.
2. И. К. Беляевский, Н. Н. Ряузов, Д. Н. Ряузов « Статистика торговли» г. Москва «Финансы и статистика» 2002 год.
3. А. И. Харламов «Статистика советской торговли» г. Москва «Экономика» 2001 год.
4. Под редакцией профессора Р.А. Шмойловой «Теория статистики» г. Москва «Финансы и статистика» 2004 го
5. Статистика рынка товаров и услуг: Учебник/ Под ред. И.К. Беляевского. – М., 1997
6. Кулагина Г.Д. Статистика товарного обращения. – М., 1989.
7. Беляевский И.К., Ряузов Н.Н., Ряузов Д.Н. Статистика торговли: Учебник. – М., 1989.
8. Беляевский И. К. Сборник задач по статистике торговли. - М., 1991.
9. Годин А.М. Статистика: Учебник. – М., 2002.
10. Курс социально - экономической статистики: Учебник/ Под ред. Проф. М.Г. Назарова. – М., 2000.
11. Елисеева И.И. Общая теория статистики: Учебник для ВУЗов. – М.: Финансы и статистика, 1999.
12. Ефимова М.Р. Общая теория статистики: Учебник. - М.: Финансы и статистика, 1999.
13. Ефимова М.Р. Практикум по общей теории статистики: Учебн. пособие. - М.: Финансы и статистика, 1999.
14. Козлов В.С., Эрлих Я.М., Долгушевский Ф.Г. Общая теория статистики: Учебник. - М.: Статистика, 1975.
15. Общая теория статистики: Статистическая методология в изучении коммерческой деятельности. Учебник для ВУЗов. - М.: Финансы и статистика, 1999.
|