Содержание
1. Способы обработки экономической информации в анализе: способ сравнения, исчисления относительных и средних величин
2. Методика и последовательность проведения экономического анализа издержек обращения
Литература
1. Способы обработки экономической информации в анализе: способ сравнения, исчисления относительных и средних величин
Экономический анализ базируется на системе экономической информации, которая лежит в основе оптимальных управленческих решений.
1. Способ сравнения -
это способ сопоставления однородных объектов с целью выявления между ними общих черт или различий.
Данный способ применяется наиболее часто. Этот прием можно подразделить по следующим признакам:
1) сравнение фактических значений показателей с плановыми показателями (выявляются положительные и отрицательные влияния, резервы повышения эффективности производства);
2) сравнение фактических показателей анализируемого периода с соответствующими показателями предшествующих периодов дает возможность оценить темпы, направления развития данных показателей и тенденции развития;
3) сравнение показателей анализируемого предприятия с аналогичными показателями однородных по выпуску предприятий;
4) сравнение со среднеотраслевыми показателями показывает место анализируемого предприятия в отрасли (передовое, среднее, отстающее);
5) сравнение с плановыми и фактическими показателями передового опыта;
6) международное сравнение: в данном случае производится сравнение технических показателей, т. к. многое экономические показатели в России рассчитываются по другим методикам.
В процессе применения метода сравнения определяются показатели:
а) абсолютный прирост показателя
∆У = У1 –У0;
где У1 ,У0 – текущее и базовое значение показателя У;
б) относительный прирост показателя
δУ = (∆У/ У0) 100 %;
в) индекс показателя
I = У1 /У0;
г) абсолютное значение одного процента прироста показателя
У% – ∆У/δУ.
Сравниваться могут как абсолютные, так и относительные величины.
Например: сравнение плановых и фактических показателей в таблице 1.

Абсолютное отклонение (факт-план) 49 000 – 51 000= –2 000 (тыс. руб.)
Относительное отклонение (план – 100 %; факт – х%)
Забиваем Сайты В ТОП КУВАЛДОЙ - Уникальные возможности от SeoHammer
Каждая ссылка анализируется по трем пакетам оценки: SEO, Трафик и SMM.
SeoHammer делает продвижение сайта прозрачным и простым занятием.
Ссылки, вечные ссылки, статьи, упоминания, пресс-релизы - используйте по максимуму потенциал SeoHammer для продвижения вашего сайта.
Что умеет делать SeoHammer
— Продвижение в один клик, интеллектуальный подбор запросов, покупка самых лучших ссылок с высокой степенью качества у лучших бирж ссылок.
— Регулярная проверка качества ссылок по более чем 100 показателям и ежедневный пересчет показателей качества проекта.
— Все известные форматы ссылок: арендные ссылки, вечные ссылки, публикации (упоминания, мнения, отзывы, статьи, пресс-релизы).
— SeoHammer покажет, где рост или падение, а также запросы, на которые нужно обратить внимание.
SeoHammer еще предоставляет технологию Буст, она ускоряет продвижение в десятки раз,
а первые результаты появляются уже в течение первых 7 дней.
Зарегистрироваться и Начать продвижение
х = 49 000·100%: 51 000 х= 96 %
Сравнивая плановые показатели с фактическими, видим, что выпуск продукции в фирме снизился на 4 % (100% – 96 %). Это может быть из-за того, что у предприятия отсутствует сырье (дорогое, потеряли поставщиков) или из-за того, что на предприятии ввели новую технологию, которая требовала меньшее количество материала или механической обработки. Реализация продукции увеличивается потому, что увеличивается спрос и характеризуется тем, что заработная плата одного рабочего увеличилась на 150 % (за счет сокращения численности рабочих, благодаря новой технологии).
Вывод
: предприятие работает хорошо, т.к. стремится улучшить благосостояние рабочих за счет введения новой технологии. Таким образом, значимость (весомость) прироста реализации по факту продукции предприятия выше, чем выпуск продукции. Следовательно, взятый абсолютный или относительный показатель отдельно может односторонне отразить изучаемый процесс, в то время как рассмотрение относительных и абсолютных показателей в их единстве устраняют такую односторонность.
Различают сравнительный анализ:
1. Горизонтальный
– применяют для определения абсолютных и относительных отклонений фактического уровня показателей от базового;
2. Вертикальный
– для изучения структуры экономических явлений и процессов путем расчета удельных весов;
путем расчета:
удельного веса частей в общем целом (удельного веса машин и оборудования в общей стоимости основных производственных фондов);
соотношения частей целого между собой (основных фондов и оборотных средств);
выявления влияния отдельных факторов на уровень результативных показателей путем сравнения их удельного веса до и после изменения соответствующего фактора.
3. Трендовый
– при изучении относительных темпов роста и прироста показателей за ряд лет к уровню базисного года (при исследовании рядов динамики);
4. Одномерный
– сопоставляется один или несколько показателей одного объекта или несколько объектов по одному показателю;
5. Многомерный
– производится сопоставление результатов деятельности нескольких предприятий (объединений) по широкому спектру показателей для комплексной оценки хозяйственной деятельности. Его проводят вышестоящие органы - для комплексной оценки результатов деятельности подведомственных им предприятий или с целью проверки; инвесторы - для оценки финансового риска; ученые-аналитики - при исследовании определенного экономического процесса, явления.
Сервис онлайн-записи на собственном Telegram-боте
Попробуйте сервис онлайн-записи VisitTime на основе вашего собственного Telegram-бота:
— Разгрузит мастера, специалиста или компанию;
— Позволит гибко управлять расписанием и загрузкой;
— Разошлет оповещения о новых услугах или акциях;
— Позволит принять оплату на карту/кошелек/счет;
— Позволит записываться на групповые и персональные посещения;
— Поможет получить от клиента отзывы о визите к вам;
— Включает в себя сервис чаевых.
Для новых пользователей первый месяц бесплатно.
Зарегистрироваться в сервисе
Процедура сравнения в АФХД включает несколько этапов:
- выбор сравниваемых объектов;
- выбор вида сравнения (динамическое, пространственное, по отношению к плановым значениям);
- выбор шкал сравнения и степени значимости различий;
- выбор числа признаков, по которым должно производиться сравнение;
- выбор вида признаков, а также определение критериев их существенности и несущественности;
- выбор базы сравнения.
При проведении сравнения необходимо, чтобы были выполнены определенные требования:
- явления должны быть качественно сравнимы между собой, т.е. иметь нечто общее, служащее основанием сравнения (например, вопрос «Что длиннее - дорога или ночь?» абсурден, поскольку эти явления несопоставимы). Возможность сравнения дает однородность изучаемых объектов или явлений;
- необходимо соблюдать тождественность формирования сравниваемых показателей (имеется в виду одинаковость способов организации сбора исходной информации, ее обобщения, методов исчисления показателей и т.д.);
- сравниваемые объекты должны принадлежать совокупностям явлений, находящимся на одной ступени развития (например, вряд ли можно сравнивать весенние и осенние цены на овощном рынке);
- сравниваемые явления должны быть измерены в одинаковых единицах измерения;
- объекты или явления должны сравниваться по сопоставимому набору единиц (например, если торговая организация приобрела или, наоборот, закрыла несколько своих магазинов, сравнение во времени абсолютных показателей ее деятельности до и после такой реорганизации нельзя считать правомочным);
- при пространственно-временных сопоставлениях сведения по сравниваемым объектам должны браться на одну и ту же дату (моментные данные) или за один и тот же временной интервал (интервальные данные).
Если объекты анализа не удовлетворяют некоторым из этих требований, в отдельных случаях данные все-таки можно привести к сравнимому виду. Для этого есть несколько способов:
- расчленение на однородные группы по количественным или качественным критериям,
- приведение к одинаковым единицам измерения,
- пересчеты несравнимых показателей по одному алгоритму и др. Например, сравнивая эффективность нескольких финансовых операций, целесообразно выразить все ставки в виде годовой процентной ставки или в виде эффективной ставки. Вторым вариантом будет приведение показателей к одной временной базе. Так делают при оценке эффективности инвестиционных проектов с разными сроками реализации.
Проводить сравнение можно по одному или нескольким критериям. В первом случае используются следующие методы и виды сравнения:
- сравнение факта с планом (на этом методе основан анализ отклонений);
- сравнение по данному критерию в динамике, расчет среднего темпа роста (снижения) значения данного показателя за единицу времени;
- сравнение с эталоном, в качестве которого может фигурировать норматив, предприятие-конкурент и т.п.;
- ранжирование с использованием относительных показателей (например, ранжирование по рентабельности);
- использование специальных статистических показателей вместе с их характеристическими значениями.
Для проведения комплексной оценки хозяйственной деятельности предприятия сравнения по одному критерию явно недостаточно. В развернутом анализе экономические субъекты сравниваются сразу по нескольким критериям (например, по уровню рентабельности, оборачиваемости, росту продаж и т.д.). При этом не все показатели равнозначны - многие из них несоизмеримы или могут действовать разнонаправленно. В этом случае следует использовать какой-либо способ ранжирования. Наиболее часто применяются метод суммы мест и таксонометрический метод. Составленные с использованием этих методов рейтинги дают комплексную оценку деятельности экономических субъектов, позволяя выявить лучшие по целому ряду показателей.
2.
Относительные показатели
отражают соотношение абсолютной величины изучаемого явления с абсолютной величиной какого-либо другого явления или с абсолютной величиной этого же явления, взятого за другое время или по другому объекту.
Относительные показатели получают в результате деления одной абсолютной величины на другую, принятую за базу сравнения (данные плана, фактические данные предшествующих лет, другого предприятия, среднеотраслевые и т.д.).
Они выражаются в процентах (когда абсолютное значение базы принимается за 100) или коэффициентах (когда абсолютное значение базы принимается за 1) – индексах.
В АХД используются следующие виды относительных величин.
Относительная величина планового задания
— отношение планового уровня исследуемого показателя в текущем году к его фактическим уровням в предыдущем году или среднегодовому уровню за 3-5 предыдущих лет. Используется для изучения степени обоснованности и напряженности плана.
Относительная величина выполнения плана
— соотношение между фактическим и плановым уровнем исследуемого показателя текущего года. Выражается в процентах, характеризует процент выполнения плана.
Относительные величины динамики — отношение фактической величины исследуемого показателя текущего периода к его фактическому уровню в предыдущем периоде. Они называются темпами роста (прироста), выражаются в процентах или коэффициентах (1,111) и характеризуют изменение показателя за какой-либо промежуток времени.
Относительные величины динамики
— отношение фактической исследуемого показателя текущего года к его фактическому уровню в предыдущем (предыдущих) периодах. Они называются темпами роста (прироста). Могут быть:
базисными, когда каждый последующий уровень показателя динамического ряда сравнивается с базисным годом;
цепными, когда каждый уровень показателя следующего года сравнивается с предыдущим. Выражаются в процентах или коэффициентах (индексах).
Показатель структуры
— это относительная доля (удельный вес) частей в общем, выраженная в процентах или коэффициентах: удельный вес отдельных категорий работников в общем объеме работающих, машин и оборудования в общей стоимости основных производственных фондов и т.д.
Относительные величины координации
– соотношение частей целого между собой: основных и оборотных средств, активной и пассивной частей основных производственных фондов и т.д.
Относительные величины интенсивности
— характеризуют степень распространенности – долю одного какого-либо явления в соответствующей среде: только процент рабочих высшей квалификации в общей численности рабочих.
Относительные величины эффективности
— соотношение эффекта с ресурсами или затратами: размер прибыли на рубль затрат, стоимости капитала, объема продаж и т.д.
3.
Средние величины
используются в АХД для обобщенной количественной характеристики совокупности однородных явлений по какому-либо признаку. Например, среднегодовая выработка одного рабочего дает обобщенную характеристику производительности труда изучаемой совокупности рабочих: средняя заработная плата рабочего - обобщенную характеристику уровня их оплаты труда.
Средние величины лучше отражают сущность происходящего процесса, закономерности его развития, чем множество отдельно взятых положительных и отрицательных отклонений, так как показывают общие, типичные признаки изучаемой совокупности по соответствующему признаку.
Роль средних величин, таким образом, заключается в обобщении, т.е. замене множества индивидуальных значений признака средней величиной, характеризующей всю совокупность явлений. Средняя величина обобщает качественно однородные значения признака и, следовательно, является типической характеристикой признака в данной совокупности. Например, средний товарооборот на одного работающего является типической характеристикой торговой сети города.
Разумеется, средняя величина не фиксирована раз и навсегда, так средняя выработка на одного сотрудника нормально функционирующего предприятия постоянно растет, а средние затраты на единицу продукции с ростом объема выпуска обычно падают.
Таким образом, не только сами средние значения величин, но и тенденции их изменения можно рассматривать в качестве индикаторов положения предприятия на рынке и успешности его финансово-хозяйственной деятельности в данной отрасли.
В АХД используются разные типы средних величин: среднеарифметические — простые и взвешенные; среднегармонические – обратное значение среднеарифметической; среднегеометрические – применяются для расчета средних темпов роста; среднехронологические — применяются для расчета среднегодовой стоимости основных и оборотных средств и т.д.; среднеквадратические и др.
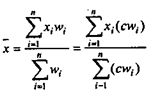
Наиболее простой и прозрачный смысл имеет средняя арифметическая величина - это такое среднее значение признака, при вычислении которого общий объем признака в совокупности не меняется. Иными словами, средняя арифметическая - это среднее слагаемое, при расчете которого общий объем признака в совокупности распределяется поровну между всеми единицами. Например, средняя заработная плата - это такая величина заработной платы, которая приходилась бы на одного работника, если бы весь фонд заработной платы предприятия распределялся между всеми сотрудниками поровну. Формула для расчета средней арифметической:

Так вычисляют среднюю величину, если известны все индивидуальные значения в совокупности. Если же объем совокупности велик и представляет собой ряд распределения, используют значение средневзвешенной арифметической средней. Формулу ее расчета и использование в анализе деятельности предприятия иллюстрирует пример 2.5.
У средней арифметической величины есть ряд свойств.
Во-первых, сумма отклонений индивидуальных значений признаков от его среднего значения равна нулю, т.е.:

Данное свойство характерно и для средневзвешенных величин.
Во-вторых, если каждое индивидуальное значение признака умножить или разделить на какое-либо число, то и средняя увеличится или уменьшится во столько же раз, т.е.:

В-третьих, если к каждому значению признака прибавить (или от него отнять) какое-либо число, то средняя увеличится (или уменьшится) на такое же число, т.е.:

Это свойство иногда применяют при оперировании показателями с большими значениями.
В-четвертых, если веса средней взвешенной умножить или разделить на одно и то же число, величина средней не изменится, т.е.:

В-пятых, сумма квадратов отклонений индивидуальных значений признака от средней арифметической величины меньше, чем от любого другого числа. На этом свойстве основано применение метода наименьших квадратов, который используется для определения вида регрессионной зависимости между факторами.
Помимо средней арифметической используются и другие формы средних величин. В первую очередь это средняя геометрическая, которая позволяет сохранять неизменным не сумму, а произведение индивидуальных значений величины:

Основное применение средняя геометрическая находит при изучении темпов роста.
Средняя геометрическая дает наиболее правильный по содержанию результат и в тех случаях, когда требуется найти такое значение экономической величины, которое было бы качественно равноудалено как от ее максимального, так и от минимального значения.
Еще один показатель, характеризующий средние величины, - средняя гармоническая. Он используется в случаях, когда необходимо, чтобы при усреднении оставалась неизменной сумма величин, обратных индивидуальным значениям признака. Формула расчета средней гармонической такова:

Между приведенными видами средних величин существует следующее соотношение

В анализе финансово-хозяйственной деятельности широко используется также средняя хронологическая. Для характеристики предприятия применяются интервальные и моментные показатели. Примерами первых являются товарооборот, прибыль, объем поступления за некоторый период; примерами вторых - данные о запасах, основных средствах, численности работающих на определенную дату. Для усреднения интервальных показателей чаще всего используется формула средней арифметической, а для усреднения моментных показателей как раз и применяется формула средней хронологической.
Если дан ряд моментных показателей: x1
, ... , хп
, то средняя хронологическая Sch
, для этого ряда рассчитывается по формуле:

Подчеркнем, что полученное значение средней хронологической является условным - оно дает представление о порядке, а не о точном значении величины запаса, поскольку фактический запас в течение анализируемого периода может ощутимо варьировать.
Основной недостаток средних величин в том, что они давая обобщенную характеристику явлений, основанную на массовых данных, сглаживают, взаимно погашают положительные и отрицательные отклонения, происходящие в исследуемом процессе. Нередко, за общими средними показателями, которые выглядят довольно не плохо, скрываются результаты плохо работающих бригад, цехов, предприятий; не видны и достижения передовиков производства. Поэтому при их использовании в АХД необходимо раскрывать содержание средних величин по составным частям, дополняя индивидуальными показателями.
2. Методика и последовательность проведения экономического анализа
издержек обращения
Издержки обращения — один из основных оценочных показателей результатов хозяйственной деятельности торгового предприятия.
Целью анализа издержек обращения является оценка их с позиции рациональности и выявление возможностей по их экономии в текущем и предстоящем периодах. В ходе анализа выявляют факторы, закономерности и тенденции, повлиявшие на изменение издержек обращения в базисном периоде, и определяют их возможное влияние в планируемом году, выявляют непроизводительные расходы и потери, изыскивают резервы экономии расходов для их учета в планируемом году.
Рыночные экономические отношения ставят перед организациями торговли следующие задачи анализа
издержек обращения
:
- проверка выполнения плана, сметы издержек обращения по общему объему;
- изучение объема структуры и динамики затрат;
- анализ издержек обращения по статьям затрат (при выявлении перерасхода проводится анализ по элементам затрат);
- анализ издержек обращения с делением их на условно-переменные и условно-постоянные расходы;
- выявление факторов, вызвавших те или иные изменения объема и уровня издержек обращения;
- выявление непроизводительных расходов и потерь;
- разработка мероприятий по изысканию резервов снижения издержек обращения.
Последовательность анализа.
Предприятию необходимо провести анализ:
- суммы и уровня издержек обращения по общему объему и отдельным статьям;
- размера изменения уровня издержек обращения по общему объему и отдельным статьям в динамике;
- темпов изменения (снижение или повышения) уровня расходов, определяемого путем отношений размера изменения к уровню базисного периода;
- суммы экономии или перерасхода, которая определяется путем умножения размера изменения (в процентах к объему продаж) издержек обращения отчетного периода по сравнению с базисным иди с плановыми показателями на величину объема продаж отчетного периода;
- доли издержек обращения в доходах торгового предприятия;
- данных об эффективности текущих затрат, исчисляемых как отношение объема продаж к издержкам обращения и как отношение прибыли к расходам на продажу (рентабельность текущих затрат) за отчетный период, в динамике и по сравнению с другими предприятиями, аналогично определить величину издержек обращения предприятия в сумме и в процентах к объему продаж за отчетный период, в динамике, по сравнению с другими предприятиями (особенно конкурентами) и с показателями издержек обращения по торговле в регионе и в целом по отрасли;
- изучить расходы по отдельным статьям в сумме и в процентах к объему продаж, установить их долю (оценить структуру) в совокупных издержках обращения за отчетный период и тенденции изменения этой доли в динамике;
- исследовать влияние основных факторов на изменения издержек обращения отчетного периода в динамике и оценить воздействие затрат на конечные результаты;
- выявить резервы экономии по отдельным статьям расходов и определить меры по их использованию в текущей деятельности и предстоящем периоде.
Анализ издержек обращения начинается с сопоставления отчетных данных с плановыми.
Разница между фактической и плановой суммами издержек обращения в динамике представляет собой абсолютное отклонение (перерасход или экономию). Отклонение по уровню издержек обращения называется размером снижения или повышения их уровня.
Абсолютная сумма издержек
обращения
определяется путем суммирования расходов по всем статьям. Этот показатель характеризует, во что обходится конкретному предприятию товародвижение. Абсолютная сумма издержек обращения зависит от абсолютной суммы товарооборота и уровня издержек обращения. Поэтому анализ расходов торгового предприятия необходимо увязывать с изучением влияния этих факторов на сумму издержек обращения.
Анализ издержек обращения торгового предприятия может проводиться как в целом по всей сумме, так и по отдельным статьям
.
Для полной характеристики издержек обращения в предприятии торговли используют следующие показатели:
1) Уровень издержек обращения
, с помощью которого затраты соизмеряются с результатом деятельности предприятий, рассчитывается как процентное отношение суммы издержек к объему товарооборота
Уио
= 
где Уио
– уровень издержек обращения, %;
∑ИО – сумма издержек обращения, тыс.руб.;
Р – объём товарооборота, тыс.руб.
Этот показатель является одним из важнейших оценочных показателей результатов хозяйственной деятельности торгового предприятия. Уровень издержек обращения зависит от многих факторов, которые необходимо учитывать при анализе и планировании этих издержек. К числу основных относятся: объем товарооборота; структура товарооборота; товарооборачиваемость; уровень розничных цен; производительность труда.
2) Абсолютная экономия (перерасход) издержек
обращения определяется по формуле
Эабс = ИО1
– ИО0
где ИО1
— сумма издержек обращения в отчетном году, тыс. руб.;
ИО0
— сумма издержек обращения в прошлом году, тыс. руб.
3) Относительная экономия (перерасход) издержек
обращения
показывает долю издержек обращения в объеме товарооборота торгового предприятия и определяется по формуле
Эотн = 
где Уио1
Уио0
-уровень издержек обращения в отчетном и прошлом годах,%;
Тф — фактический объем товарооборота в отчетном году, тыс. руб.;
Т1
— объем товарооборота в отчетном году, тыс. руб.
Отклонение относительного уровня издержек обращения от планового (или предыдущего) периода называется размером снижения (или повышения) уровня издержек обращения.
Относительная экономия (перерасход) издержек обращения рассчитывается, чтобы сравнить величину издержек, полученную фактически, с величиной издержек, которая наблюдалась бы при фактическом товарообороте и сохранении их базового уровня. Экономия издержек обращения имеет важное значение для каждого отдельного торгового предприятия. Она выступает источником повышения доходности, роста фонда оплаты труда и т.д.
4) Постоянные издержки обращения подразделяются на полезные и бесполезные (холостые).
Данное деление затрат связано со скачкообразным изменением использования производственных ресурсов. Бесполезные (холостые) затраты образуются при простоях оборудования, изменении численности работников и т.д. Бесполезные постоянные издержки обращения определяются по следующей формуле
ИОбесп = (Тмах – Тф) * 
где ИОбесп — сумма бесполезных издержек обращения, тыс. руб.;
Ттах, Тф — объем товарооборота, максимальный и фактический, тыс. руб.;
ИОпост — сумма постоянных издержек обращения, тыс. руб.
Сумма полезных постоянных издержек обращения определяется по формуле
ИОполез = Тф * тогда ИОпост = ИОполез + ИОбеспол
На абсолютную сумму и относительный уровень издержек обращения торговых предприятий оказывают влияние различные факторы внешней и внутренней среды. Традиционно из всей совокупности факторов, влияющих на издержки обращения, выделяют наиболее значимые:
- изменение объемов товарооборота;
- изменение состава и структуры товарооборота;
- изменение времени и скорости товарного обращения;
- изменение цен на товары, тарифов и ставок за услуги, цен на материальные ресурсы;
- изменение производительности труда торговых работников;
- эффективность использования материально-технической базы;
- развитие и применение прогрессивных торговых технологий;
- изменение условий завоза товаров, совершенствование процесса товародвижения;
- организационно-структурные изменения в составе торговых предприятий.
Степень влияния отдельных факторов в различных условиях хозяйственной деятельности неодинакова. Каждое торговое предприятие имеет свою специфику и возможности для сокращения издержек обращения, что следует учитывать при их анализе.
Наибольшее количественное влияние на сумму и уровень и издержек обращения оказывают следующие факторы: объем товарооборота; структура товарооборота; индексы цен, ставок, тарифов.
1) Для определения влияния объема товарооборота на сумму и уровень издержек обращения текущие затраты группируются на условно-переменные и условно-постоянные затраты и далее осуществляется из пересчет на фактический товарооборот отчетного года в действующем или сопоставимом виде.
При перерасчете условно-переменных затрат предприятия на фактический товарооборот отчетного года их уровень остается неизменным, а сумма пересчитывается по следующей формуле
ИОперпер
= 
где ИОперпер
— сумма переменных издержек обращения, перерассчитанная на фактический товарооборот отчетного года, тыс. руб.;
Уиопер0
— уровень переменных издержек обращения прошлого года, %;
Т1
— фактический товарооборот отчетного года, тыс. руб.
При пересчете условно-постоянных издержек обращения на фактический товарооборот отчетного года их сумма остался неизменной (постоянной), а уровень рассчитывается по следующей формуле
Уиопостпер
= 
где Уиопостпер
— уровень постоянных издержек обращения, пересчитанный на фактический товарооборот отчетного года, %;
ИОпост0
— сумма постоянных издержек обращения прошлого года, тыс. руб.;
Т1
—фактический товарооборот отчетного года, тыс. руб.
2) Расчет влияния изменения структуры товарооборота на уровень издержек обращения осуществляется методом процентных чисел.
Расчет влияния осуществляется по следующим этапам:
1. Первоначально рассчитывается структура товарооборота в разрезе реализуемых товарных групп за прошлый и отчетный периоды (или согласно плановому и фактическому товарообороту).
2. Затем определяется издержкоемкость реализации отдельных товарных групп (уровень издержек обращения по каждой товарной группе) за прошлый период (или согласно плану).
3. Далее осуществляется расчет процентных чисел:
- процентное число при структуре товарооборота прошлого (планового) года = структура товарооборота прошлого года (по плану) х уровень издержек обращения прошлого года (по плану);
- процентное число при структуре товарооборота отчетного года — структура товарооборота отчетного года (фактическая) х уровень издержек обращения прошлого года (по плану).
4. Рассчитанные процентные числа по каждой товарной группе суммируются и отражаются по строке «Итого».
5. Осуществляется расчет влияния изменения структуры товарооборота на уровень издержек обращения по следующей формуле
ΔУио(ΔструктТ
) = 
6. Рассчитывается влияние изменения структуры товарооборота на сумму издержек обращения по следующей формуле
ΔИО(ΔструктТ
) = 
где Г, — фактический товарооборот отчетного года, тыс. руб.
Все расчеты оформляются в таблицу.
3) Расчет влияния изменения цен, ставок, тарифов на сумму и уровень издержек обращения проходит по следующим этапам.
1.Осуществляется группировка издержек обращения в зависимости от вида используемых ресурсов.
- расходы, связанные с содержанием трудовых ресурсов;
- расходы, связанные с содержанием и использованием основных фондов;
- расходы, связанные с содержанием и использованием оборотных средств;
- транспортные расходы;
- прочие расходы.
2.Проводится сбор информации об индексах цен, ставок, тарифов на каждый вид затрат.
3.Осуществляется расчет суммы издержек обращения отчетного года в сопоставимом виде путем деления суммы издержек обращения отчетного года по каждой группе и виду текущих затрат на соответствующий индекс цен, ставок, тарифов.
4. Определяется размер влияния изменения цен, ставок, тарифов на сумму издержек обращения путем вычитания из суммы издержек обращения в сопоставимом виде суммы издержек обращения отчетного года.
Л
итератур
а
1. Экономика предприятия (фирмы): Учебник / Под. ред. проф. О.И.Волкова. – М.: ИНФРА-М, 2005. – 601 с.
2. Грузинов В.П., Грибов В.Д. Экономика предприятия: Учеб. пособие – М.: Финансы и статистика, 2005. – 208 с.
3. Сергеев И.В. Экономика предприятия. Учеб. пособие. – М.: Финансы и статистика, 2005. – 304 с.
4. Экономика предприятия / Под ред. Е.Л.Кантора. – СПб.: Питер, 2006. – 352 с.
5. Экономика предприятия: Учеб. пособие / Под ред. Г.З.Суша. – М.: Новое знание, 2004. – 384 с.
6. Экономика предприятия / В.Я.Хрипач, Г.З.Суша, Г.К.Оноприенко; Под ред. В.Я.Хрипача. – 2-е изд. стереотип. – Мн.: Экономпресс, 2001. – 464 с.
7. Попова Р.Г., Самонова И.Н., Добросердова И.И. Финансы предприятия. – СПб.: Питер, 2002. – 224 с.
|