Министерство образования и науки Российской Федерации
Государственное образовательное учреждение высшего профессионального образования
«Юго-западный государственный университет»
Контрольная работа
по дисциплине: «Основы бизнеса»
на тему: «Современная оценка стоимости»
Выполнил: студент группы ПЭ – 81 Ж
Проверил: _________________
Курск 2010
Содержание
1. Предмет и цели оценки современного бизнеса
2. Законодательная база оценки бизнеса
3. Комплексный подход к оценке предприятия
4. Литература
1. Предмет и цели оценки современного бизнеса
Оценка стоимости компании - одно из самых значимых и интересных направлений в оценочной деятельности нашей компании. Накопленный опыт позволяет аккумулировать необходимые данные по продажам компаний и выработать подходы к оценке стоимости компании, которые с успехом могут быть использованы как профессиональными оценщиками, так и финансовыми директорами предприятий.
Оценка стоимости компании документально выражается в виде отчёта, оформленного в соответствии с законодательством РФ.
Стоимость компании - это объективный показатель результатов ее деятельности. Оценка бизнеса включает в себя углубленный финансовый, организационный и технологический анализ текущей деятельности и перспектив оцениваемого предприятия.
Оценка компании производится в следующих целях:
a. определения стоимости ценных бумаг фирмы (акций или долей участия) в случае подготовки проведения сделок купли-продажи. Для принятия обоснованного инвестиционного решения необходимо оценить собственность предприятия и долю этой собственности, приходящуюся на приобретаемый пакет акций, а также возможные будущие доходы от бизнеса;
b. выкупа акций (долей, паев) в закрытых компаниях (ЗАО, ООО, товариществах) при выходе из их состава одного из акционеров (учредителей, пайщиков);
c. выкупа обществом акций по требованию акционеров;
d. конвертации и консолидации акций предприятия;
e. эмиссии новых акций открытыми акционерными обществами (для обоснования стоимости размещения акций и предоставлении Отчета об оценке и проспекта эмиссии в ФКЦБ);
f. обеспечения процесса кредитования в банке или инвестиционном фонде;
g. разрешения споров;
h. вступления в общество не денежным (имущественным) взносом в виде акций, других ценных бумаг или имущественного комплекса;
Забиваем Сайты В ТОП КУВАЛДОЙ - Уникальные возможности от SeoHammer
Каждая ссылка анализируется по трем пакетам оценки: SEO, Трафик и SMM.
SeoHammer делает продвижение сайта прозрачным и простым занятием.
Ссылки, вечные ссылки, статьи, упоминания, пресс-релизы - используйте по максимуму потенциал SeoHammer для продвижения вашего сайта.
Что умеет делать SeoHammer
— Продвижение в один клик, интеллектуальный подбор запросов, покупка самых лучших ссылок с высокой степенью качества у лучших бирж ссылок.
— Регулярная проверка качества ссылок по более чем 100 показателям и ежедневный пересчет показателей качества проекта.
— Все известные форматы ссылок: арендные ссылки, вечные ссылки, публикации (упоминания, мнения, отзывы, статьи, пресс-релизы).
— SeoHammer покажет, где рост или падение, а также запросы, на которые нужно обратить внимание.
SeoHammer еще предоставляет технологию Буст, она ускоряет продвижение в десятки раз,
а первые результаты появляются уже в течение первых 7 дней.
Зарегистрироваться и Начать продвижение
i. оценки прав требования исполнения долговых обязательств (дебиторской задолженности) при ее переуступке третьим лицам;
j. оценки при реорганизации предприятия (слиянии, поглощении, выделении);
k. обоснования целесообразности осуществления инвестиционных проектов;
l. подготовки к продаже обанкротившихся предприятий, выставляемых на конкурс;
m. подготовки к продаже приватизируемых предприятий (включая продажу пакетов их акций, еще остающихся в собственности государства);
n. обоснования вариантов санации предприятий-банкротов;
o. экономического анализ и стоимостной рыночной оценки причин и процессов несостоятельности при формировании и проведении антикризисной политики по предотвращению банкротства участников предпринимательской деятельности.
2.Законодательная база оценки бизнеса
Оценка стоимости бизнеса проводится как по желанию собственника имущества, так и по решению суда, причем в последнем случае выбирать оценщика будет суд. По мнению законодателей, это обеспечит беспристрастность оценки имущества.
Существует ряд законодательных ограничений для оценщика. Например, он не имеет права проводить оценку, если сам заказал ее или заинтересован в ее результатах. Для минимизации гипотетического давления на оценщика закон предусматривает, что итоговая величина оценки стоимости недвижимости или иного объекта, которая будет определена оценщиком, не оказывает влияния на размер оплаты его услуг.
Более того, оценщик должен быть огражден и от какого-либо влияния со стороны заказчика и иных заинтересованных лиц. Любая информация, поступающая со стороны, способна повлиять на мнение оценщика и конечные показатели.
Помимо наличия лицензии для проведения оценки конкретного имущества (лицензирование сейчас отменено) оценщику необходимо застраховать свою ответственность, чтобы обеспечить интересы заказчика. В случае если действия оценщика причинят заказчику или третьим лицам ущерб, который будет доказан судом, сумма страховки должна покрыть все убытки или компенсировать их часть.
Оценщик имеет полномочия требовать всю необходимую для проведения оценки стоимости недвижимости, информацию, как от заказчика, так и от третьих лиц, получать разъяснения, при необходимости привлекать на договорной основе других оценщиков или иных специалистов.
Круг обязанностей оценщика также широк. Он обязан соблюдать законодательство, обеспечивать сохранность полученных документов, предоставлять заказчику свою лицензию и информацию о требованиях к оценочной деятельности и т.д.
Сервис онлайн-записи на собственном Telegram-боте
Попробуйте сервис онлайн-записи VisitTime на основе вашего собственного Telegram-бота:
— Разгрузит мастера, специалиста или компанию;
— Позволит гибко управлять расписанием и загрузкой;
— Разошлет оповещения о новых услугах или акциях;
— Позволит принять оплату на карту/кошелек/счет;
— Позволит записываться на групповые и персональные посещения;
— Поможет получить от клиента отзывы о визите к вам;
— Включает в себя сервис чаевых.
Для новых пользователей первый месяц бесплатно.
Зарегистрироваться в сервисе
Выдержка из ФЗ №135 от 29 07 1998г.:
ФЕДЕРАЛЬНЫЙ ЗАКОН № 135-ФЗ "ОБ ОЦЕНОЧНОЙ ДЕЯТЕЛЬНОСТИ В РОССИЙСКОЙ ФЕДЕРАЦИИ" от 29 июля 1998 г.
Глава I. Общие положения
Статья 1. Законодательство, регулирующее оценочную деятельность в Российской Федерации
Законодательство, регулирующее оценочную деятельность в Российской Федерации, состоит из настоящего Федерального закона, принимаемых в соответствии с ним федеральных законов и иных нормативных правовых актов Российской Федерации, законов и иных нормативных правовых актов субъектов Российской Федерации, а также из международных договоров Российской Федерации.
Субъекты Российской Федерации регулируют оценочную деятельность в порядке, установленном настоящим Федеральным законом.
Если международным договором Российской Федерации установлены иные правила, чем те, которые предусмотрены законодательством Российской Федерации в области оценочной деятельности, применяются правила международного договора Российской Федерации.
Статья 2. Отношения, регулируемые настоящим Федеральным законом
Настоящий Федеральный закон определяет правовые основы регулирования оценочной деятельности в отношении объектов оценки, принадлежащих Российской Федерации, субъектам Российской Федерации или муниципальным образованиям, физическим лицам и юридическим лицам, для целей совершения сделок с объектами оценки, а также для иных целей.
Статья 3. Понятие оценочной деятельности
Для целей настоящего Федерального закона под оценочной деятельностью понимается деятельность субъектов оценочной деятельности, направленная на установление в отношении объектов оценки рыночной или иной стоимости.
Для целей настоящего Федерального закона под рыночной стоимостью объекта оценки понимается наиболее вероятная цена, по которой данный объект оценки может быть отчужден на открытом рынке в условиях конкуренции, когда стороны сделки действуют разумно, располагая всей необходимой информацией, а на величине цены сделки не отражаются какие-либо чрезвычайные обстоятельства, то есть когда:
одна из сторон сделки не обязана отчуждать объект оценки, а другая сторона не обязана принимать исполнение;
стороны сделки хорошо осведомлены о предмете сделки и действуют в своих интересах;
объект оценки представлен на открытом рынке посредством публичной оферты, типичной для аналогичных объектов оценки;
цена сделки представляет собой разумное вознаграждение за объект оценки и принуждения к совершению сделки в отношении сторон сделки с чьей-либо стороны не было;
платеж за объект оценки выражен в денежной форме.
Статья 4. Субъекты оценочной деятельности
Субъектами оценочной деятельности признаются, с одной стороны, юридические лица и физические лица (индивидуальные предприниматели), деятельность которых регулируется настоящим Федеральным законом (оценщики), а с другой - потребители их услуг (заказчики).
Статья 5. Объекты оценки
К объектам оценки относятся:
отдельные материальные объекты (вещи);
совокупность вещей, составляющих имущество лица, в том числе имущество определенного вида (движимое или недвижимое, в том числе предприятия);
право собственности и иные вещные права на имущество или отдельные вещи из состава имущества;
права требования, обязательства (долги);
работы, услуги, информация;
иные объекты гражданских прав, в отношении которых законодательством Российской Федерации установлена возможность их участия в гражданском обороте.
Статья 6. Право Российской Федерации, субъектов Российской Федерации или муниципальных образований, физических лиц и юридических лиц на проведение оценки принадлежащих им объектов оценки
Российская Федерация, субъекты Российской Федерации или муниципальные образования, физические лица и юридические лица имеют право на проведение оценщиком оценки любых принадлежащих им объектов оценки на основаниях и условиях, предусмотренных настоящим Федеральным законом.
Право на проведение оценки объекта оценки является безусловным и не зависит от установленного законодательством Российской Федерации порядка осуществления государственного статистического учета и бухгалтерского учета и отчетности. Данное право распространяется и на проведение повторной оценки объекта оценки. Результаты проведения оценки объекта оценки могут быть использованы для корректировки данных бухгалтерского учета и отчетности.
Результаты проведения оценки объекта оценки могут быть обжалованы заинтересованными лицами в порядке, установленном законодательством Российской Федерации.
Статья 7. Предположение об установлении рыночной стоимости объекта оценки
В случае, если в нормативном правовом акте, содержащем требование обязательного проведения оценки какого-либо объекта оценки, либо в договоре об оценке объекта оценки (далее - договор) не определен конкретный вид стоимости объекта оценки, установлению подлежит рыночная стоимость данного объекта.
Указанное правило подлежит применению и в случае использования в нормативном правовом акте не предусмотренных настоящим Федеральным законом или стандартами оценки терминов, определяющих вид стоимости объекта оценки, в том числе терминов "действительная стоимость", "разумная стоимость", "эквивалентная стоимость", "реальная стоимость" и других.
Статья 8. Обязательность проведения оценки объектов оценки
Проведение оценки объектов оценки является обязательным в случае вовлечения в сделку объектов оценки, принадлежащих полностью или частично Российской Федерации, субъектам Российской Федерации либо муниципальным образованиям, в том числе:
при определении стоимости объектов оценки, принадлежащих Российской Федерации, субъектам Российской Федерации или муниципальным образованиям, в целях их приватизации, передачи в доверительное управление либо передачи в аренду;
при использовании объектов оценки, принадлежащих Российской Федерации, субъектам Российской Федерации либо муниципальным образованиям, в качестве предмета залога;
при продаже или ином отчуждении объектов оценки, принадлежащих Российской Федерации, субъектам Российской Федерации или муниципальным образованиям;
при переуступке долговых обязательств, связанных с объектами оценки, принадлежащими Российской Федерации, субъектам Российской Федерации или муниципальным образованиям;
при передаче объектов оценки, принадлежащих Российской Федерации, субъектам Российской Федерации или муниципальным образованиям, в качестве вклада в уставные капиталы (фонды) юридических лиц,
при национализации имущества;
при ипотечном кредитовании физических лиц и юридических лиц в случаях возникновения споров о величине стоимости предмета ипотеки;
при составлении брачных контрактов и разделе имущества разводящихся супругов по требованию одной из сторон или обеих сторон в случае возникновения спора о стоимости этого имущества;
при выкупе или ином предусмотренном законодательством Российской Федерации изъятии имущества у собственников для государственных или муниципальных нужд;
при проведении оценки объектов оценки в целях контроля за правильностью уплаты налогов в случае возникновения спора об исчислении налогооблагаемой базы.
Действие настоящей статьи не распространяется на отношения, возникающие при распоряжении государственными и муниципальными унитарными предприятиями, государственными и муниципальными учреждениями имуществом, закрепленным за ними в хозяйственном ведении или оперативном управлении, за исключением случаев, если распоряжение имуществом в соответствии с законодательством Российской Федерации допускается с согласия собственника этого имущества, а также на отношения, возникающие в случае распоряжения государственным или муниципальным имуществом при реорганизации государственных и муниципальных унитарных предприятий, государственных и муниципальных учреждений, и в случаях, установленных Федеральным законом "Об особенностях управления и распоряжения имуществом железнодорожного транспорта".
Постановление Правительства Российской Федерации
от 6 июля 2001 г. № 519
"Об утверждении стандартов оценки"
В соответствии со статьями 19 и 20 Федерального закона "Об оценочной деятельности в Российской Федерации" Правительство Российской Федерации постановляет:
1. Утвердить прилагаемые стандарты оценки, обязательные к применению субъектами оценочной деятельности.
2. Возложить на Министерство имущественных отношений Российской Федерации разработку и утверждение методических рекомендаций по оценочной деятельности применительно к различным объектам оценки (по согласованию с федеральными органами исполнительной власти, осуществляющими регулирование в соответствующей сфере деятельности), видам стоимости объекта оценки, проведению оценки, а также экспертизы отчетов об оценке.
Председатель Правительства
Российской Федерации
М.КАСЬЯНОВ
Утверждены
Постановлением Правительства
Российской Федерации
от 6 июля 2001 г. N 519
Стандарты оценки, обязательное к применению субъектами оценочной деятельности
I. Общие положения
1. Настоящие стандарты оценки являются обязательными к применению субъектами оценочной деятельности при определении вида стоимости объекта оценки, подходов к оценке и методов оценки, а также при проведении оценки. При проведении оценки объекта на основании определения суда, арбитражного суда, третейского суда или решения уполномоченного органа по контролю за осуществлением оценочной деятельности в Российской Федерации оценщик обязан использовать вид стоимости объекта оценки, указанный в соответствующем определении или решении.
2. При составлении отчета об оценке оценщик обязан использовать информацию, обеспечивающую достоверность отчета об оценке как документа, содержащего сведения доказательственного значения.
II. Определение видов стоимости объекта оценки, подходов к оценке и методов оценки
3. Рыночная стоимость объекта оценки - наиболее вероятная цена, по которой объект оценки может быть отчужден на открытом рынке в условиях конкуренции, когда стороны сделки действуют разумно, располагая всей необходимой информацией, а на величине цены сделки не отражаются какие-либо чрезвычайные обстоятельства.
4. Виды стоимости объекта оценки, отличные от рыночной стоимости:
а) стоимость объекта оценки с ограниченным рынком - стоимость объекта оценки, продажа которого на открытом рынке невозможна или требует дополнительных затрат по сравнению с затратами, необходимыми для продажи свободно обращающихся на рынке товаров;
б) стоимость замещения объекта оценки - сумма затрат на создание объекта, аналогичного объекту оценки, в рыночных ценах, существующих на дату проведения оценки, с учетом износа объекта оценки;
в) стоимость воспроизводства объекта оценки - сумма затрат в рыночных ценах, существующих на дату проведения оценки, на создание объекта, идентичного объекту оценки, с применением идентичных материалов и технологий, с учетом износа объекта оценки;
г) стоимость объекта оценки при существующем использовании - стоимость объекта оценки, определяемая исходя из существующих условий и цели его использования;
д) инвестиционная стоимость объекта оценки - стоимость объекта оценки, определяемая исходя из его доходности для конкретного лица при заданных инвестиционных целях;
е) стоимость объекта оценки для целей налогообложения - стоимость объекта оценки, определяемая для исчисления налоговой базы и рассчитываемая в соответствии с положениями нормативных правовых актов (в том числе инвентаризационная стоимость);
ж) ликвидационная стоимость объекта оценки - стоимость объекта оценки в случае, если объект оценки должен быть отчужден в срок меньше обычного срока экспозиции аналогичных объектов;
з) утилизационная стоимость объекта оценки - стоимость объекта оценки, равная рыночной стоимости материалов, которые он в себя включает, с учетом затрат на утилизацию объекта оценки;
и) специальная стоимость объекта оценки - стоимость, для определения которой в договоре об оценке или нормативном правовом акте оговариваются условия, не включенные в понятие рыночной или иной стоимости, указанной в настоящих стандартах оценки.
5. Подходы к оценке:
затратный подход - совокупность методов оценки стоимости объекта оценки, основанных на определении затрат, необходимых для восстановления либо замещения объекта оценки, с учетом его износа;
сравнительный подход - совокупность методов оценки стоимости объекта оценки, основанных на сравнении объекта оценки с аналогичными объектами, в отношении которых имеется информация о ценах сделок с ними;
доходный подход - совокупность методов оценки стоимости объекта оценки, основанных на определении ожидаемых доходов от объекта оценки.
6. Метод оценки - способ расчета стоимости объекта оценки в рамках одного из подходов к оценке.
7. Дата проведения оценки - календарная дата, по состоянию на которую определяется стоимость объекта оценки.
8. Цена - денежная сумма, предлагаемая или уплаченная за объект оценки или его аналог.
9. Аналог объекта оценки - сходный по основным экономическим, материальным, техническим и другим характеристикам объекту оценки другой объект, цена которого известна из сделки, состоявшейся при сходных условиях.
10. Срок экспозиции объекта оценки - период времени начиная с даты представления на открытый рынок (публичная оферта) объекта оценки до даты совершения сделки с ним.
11. Итоговая величина стоимости объекта оценки - величина стоимости объекта оценки, полученная как итог обоснованного оценщиком обобщения результатов расчетов стоимости объекта оценки при использовании различных подходов к оценке и методов оценки.
12. Экспертиза отчета об оценке - совокупность мероприятий по проверке соблюдения оценщиком при проведении оценки объекта оценки требований законодательства Российской Федерации об оценочной деятельности и договора об оценке, а также достаточности и достоверности используемой информации, обоснованности сделанных оценщиком допущений, использования или отказа от использования подходов к оценке.
III. Требования к проведению оценки
13. Проведение оценки включает в себя следующие этапы:
а) заключение с заказчиком договора об оценке;
б) установление количественных и качественных характеристик объекта оценки;
в) анализ рынка, к которому относится объект оценки;
г) выбор метода (методов) оценки в рамках каждого из подходов к оценке и осуществление необходимых расчетов;
д) обобщение результатов, полученных в рамках каждого из подходов к оценке, и определение итоговой величины стоимости объекта оценки;
е) составление и передача заказчику отчета об оценке.
14. Оценка объекта оценки может проводиться оценщиком только при соблюдении требования к независимости оценщика, предусмотренного законодательством Российской Федерации об оценочной деятельности. В случае если он не отвечает указанному требованию, оценщик обязан сообщить об этом заказчику и отказаться от заключения договора об оценке.
При заключении договора об оценке оценщик обязан предоставлять заказчику информацию о требованиях законодательства Российской Федерации об оценочной деятельности, в том числе о порядке лицензирования оценочной деятельности, обязанностях оценщика, требованиях к договору об оценке и отчету об оценке, а также о стандартах оценки. Факт предоставления такой информации фиксируется в договоре об оценке.
15. Оценщик осуществляет сбор и обработку:
правоустанавливающих документов, сведений об обременении объекта оценки правами иных лиц;
данных бухгалтерского учета и отчетности, относящихся к объекту оценки;
информации о технических и эксплуатационных характеристиках объекта оценки;
информации, необходимой для установления количественных и качественных характеристик объекта оценки с целью определения его стоимости, а также другой информации, связанной с объектом оценки.
16. Оценщик определяет и анализирует рынок, к которому относится объект оценки, его историю, текущую конъюнктуру и тенденции, а также аналоги объекта оценки и обосновывает их выбор.
17. Оценщик осуществляет необходимые расчеты того или иного вида стоимости объекта оценки с учетом полученных количественных и качественных характеристик объекта оценки, результатов анализа рынка, к которому относится объект оценки, а также обстоятельств, уменьшающих вероятность получения доходов от объекта оценки в будущем (рисков), и другой информации.
18. Оценщик при проведении оценки обязан использовать (или обосновать отказ от использования) затратный, сравнительный и доходный подходы к оценке. Оценщик вправе самостоятельно определять в рамках каждого из подходов к оценке конкретные методы оценки. Оценщик на основе полученных в рамках каждого из подходов к оценке результатов определяет итоговую величину стоимости объекта оценки.
19. Итоговая величина стоимости объекта оценки должна быть выражена в рублях в виде единой величины, если в договоре об оценке не предусмотрено иное.
20. Итоговая величина стоимости объекта оценки, указанная в отчете об оценке, составленном в порядке и на основании требований, установленных Федеральным законом "Об оценочной деятельности в Российской Федерации", стандартами оценки и нормативными актами по оценочной деятельности уполномоченного органа по контролю за осуществлением оценочной деятельности в Российской Федерации, может быть признана рекомендуемой для целей совершения сделки с объектом оценки, если с даты составления отчета об оценке до даты совершения сделки с объектом оценки или даты представления публичной оферты прошло не более 6 месяцев.
3. Комплексный подход к оценке предприятия
В сложившейся практике оценки компании применяются доходный, затратный и сравнительный подходы. При этом в рамках каждого из подходов используются методы оценки, позволяющие получить итоговый вывод о величине стоимости компании. Например, в рамках доходного подхода традиционно используются метод дисконтирования денежных потоков и метод капитализации. В рамках затратного подхода — метод чистых активов и метод ликвидационной стоимости и т.д. Каждый из этих подходов и методов имеет свои положительные и отрицательные стороны, обусловливающие целесообразность его применения, также акцентируется внимание на определенных характеристиках бизнеса. Например, доходный подход ставит акцент на доходности бизнеса, затратный — на активах и обременениях бизнеса, сравнительный — на оценке объекта путем сопоставления сделок по аналогичным объектам и т.п. см. [1,2].
Практическое использование результатов оценки в части метода чистых активов и методов, базирующихся на сравнительном подходе, в «чистом» виде часто не отражает реальной ситуации, происходящей в бизнесе оцениваемой компании. Например, использование метода чистых активов при оценке капиталоемких или добывающих компаний не всегда приводит к получению корректного результата. Использование методов сравнительного подхода[2], в свою очередь, достаточно затруднено в силу отсутствия адекватных аналогов на российском фондовом рынке, использование же западных аналогов является не совсем обоснованным для сопоставления стандартов бухгалтерского учета, а так же бизнес-среды экономик различных стран. Определенного рода субъективность в расчеты также привносит взвешивание, используемое для получения итоговой величины стоимости.
Возникает вопрос, возможно ли остановиться на одном методе оценки, который позволит получить максимально корректный результат? Для ответа на данный вопрос был проанализирован широкий спектр существующих моделей оценки, сложившихся в западной практике, разработан механизм их возможной адаптации к реальным условиям российской экономики. Результатом работ явилось создание Модели, позволяющей проводить анализ текущей деятельности Компании, а так же осуществлять оценку стоимости бизнеса, исходя из Методов денежных потоков (Capital Cash Flows (СCF), Equity Cash Flows (ECF), Free Cash Flows (FCF)); Методов, базирующихся на концепции остаточного дохода (Economic Value Added (EVA), Cash Value Added (CVA), Shareholder Value Added (SVA)), и др., а также моделей EBO и Black-Scoles. При этом была предложена и апробирована модель оценки, базирующаяся на элементах доходного и затратного подхода.
Практическая реализация модели включает в себя три блока: блок «Исходные данные», блок «Финансовый анализ», блок «Модели оценки».
Блок «Исходные данные» предполагает внесение информации, необходимой для осуществления расчетов в блоках «Финансовый анализ» и «Модели оценки». Результирующим итогом является построение прогнозного баланса, фиксация результатов в части финансового анализа оцениваемой компании и получение величин стоимости бизнеса компании, определенных с помощью СCF, ECF, FCF, EVA, CVA, SVA, EBO, Black-Scoles, и т.п. Переход на требуемую форму осуществляется с помощью кнопок, результаты представлены в графической и табличной форме.
В рамках настоящей статьи обозначим возможность и целесообразность использования в оценке стоимости компаний методов, широко применяемых в западной практике.
Для понимания сути объекта оценки определимся с терминологическим аппаратом. Объектом оценки является бизнес компании, при этом под компанией понимаем один или несколько имущественных комплексов, выраженных в виде самостоятельных юридических лиц, в состав которых входят все виды имущества, предназначенные для осуществления деятельности (бизнеса). Исходя из данного определения, компанию можно рассматривать в двух срезах: с точки зрения элементов ее формирующих (по сути — это элементы имущественного комплекса в виде активов и обязательств) и элементов, формирующих ее бизнес (совокупность бизнес-единиц). Данная трактовка позволяет выделить еще один уровень: если компания представляет собой структурно-сложный бизнес, то элементами ее формирующими (как и элементами формирующими ее бизнес) выступает совокупность имущественных комплексов. Данное деление необходимо для выделения элементов, не участвующих в формировании стоимости бизнеса компании, реструктуризация которых позволит получить дополнительный эффект, выраженный в виде денежных средств или иного рода актива. Настоящее утверждение апробировано в результате осуществления практических работ и получило практическое обоснование и подтверждение.
Изначально мы рассматриваем оценку стоимости бизнеса компании не только как инструмент принятия стратегических решений, но и как инструмент управления стоимостью как компании в целом, так и элементов, участвующих в ее формировании. Сгруппируем методы оценки[3] следующим образом:
1. Методы оценки, базирующиеся на FCF, ECF, CCF.
2. Методы оценки, базирующиеся на NPV, APV, SNPV.
3. Методы оценки базирующиеся на EVA, MVA, CVA.
4. Метод оценки, основанный на совмещении доходов и активов (EBO).
5. Метод оценки, базирующийся на рыночной стоимости активов с учетом корректировки на обремения.
Методы оценки, базирующиеся на денежных потоках[4]
Общей формулой для расчета величины стоимости бизнеса является следующая формула:
Стоимость бизнеса = Сумма текущих стоимостей будущих денежных потоков[5] + Рыночная стоимость избыточных активов +/- Излишек/Дефицит собственного оборотного капитала.
Алгоритм определения стоимости компании с помощью метода дисконтирования денежных потоков выглядит следующим образом: определение вида денежного потока, участвующего в расчете, расчет величины денежного потока, фиксация ставки дисконтирования, расчет текущей стоимости денежных потоков.
Денежные потоки могут быть выражены в виде CCF (Capital Cash Flow), EСF (Equity Cash Flow), FCF (Free Cash Flow). Выбор вида денежного потока определяется целью и задачей проводимой оценки.
Использование CCF (Capital Cash Flow) дает возможность получения оценочной величины стоимости бизнеса компании, при этом в результате расчетов фиксируется поток наличных денежных средств, доступный акционерам и кредиторам. CCF (Capital Cash Flow)[6] = EBIT (Earnings before Interest and Taxes) + Depreciation – Capital Expenditures – Working Capital Increase – Actual Taxes, где Earnings before Interest — прибыль компании до корректировки на величину процентных выплат и налогов, Depreciation — амортизация основных средств и нематериальных активов, Capital Expenditures — капитальные вложения, Working Capital Increase — прирост собственного оборотного капитала, Actual Taxes — фактически уплачиваемые налоги[7] , рассчитываются как (Tax Rate) x (EBIT — Interest).
Использование EСF (Equity Cash Flow) дает возможность получения оценочной величины стоимости собственного капитала компании, при этом, в результате расчетов фиксируется поток наличных денежных средств, доступный акционерам после платежей по долговым обязательствам. EСF (Equity Cash Flow) = EBIT (Earnings before Interest and Taxes) + Depreciation – Capital Expenditures – Working Capital Increase – Interest – Debt Payments + Debt Issues – Actual Taxes, где Debt Payments – выплаты в части долгосрочных кредитов и займов, Debt Issues – поступления новых долгосрочных кредитов и займов (по сути изменение долгосрочной кредиторской задолженности).
Использование FCF (Free Cash Flow) дает возможность получения оценочной величины стоимости бизнеса компании, при этом, как и CCF (Capital Cash Flow), в результате расчетов фиксируется поток наличных денежных средств, доступный акционерам и кредиторам компании. FСF = EBIT (Earnings before Interest and Taxes) + Depreciation – Capital Expenditures – Working Capital Increase-Hypothetical Taxes [Tax Rate x EBIT], где Hypothetical Taxes представляют собой налоги, которые компания бы заплатила, если бы не использовала эффект налогового щита, и рассчитываются как (Tax Rate) x (Earnings before Interest and Taxes).
После получения величины денежных потоков рассчитывается ставка дисконтирования[8] для приведения полученных величин в текущую стоимость. При этом необходимо обратить внимание на то, что ставка дисконтирования для ECF (Equity Cash Flow) и CCF (Capital Cash Flow) рассчитывается на основании модели CAPM (Capital – assets pricing model), но для СCF в рамках CAPM используется коэффициент Asset Beta[9] , в конечном счете ставка дисконтирования выглядит как R = Riskfree Rate + [(Asset Beta) x (Risk Premium)], где Riskfree Rate – безрисковая ставка, Risk Premium – рыночная премия. Для ECF врамках CAPM используетсякоэффициент Equity (Unlevered) Beta, Unlevered (Equity) Beta = Levered Beta/(1 + D/E Ratio), приэтом, R = Riskfree Rate + [(Equity Beta) ґ (Risk Premium)]. FCF подразумеваетиспользованиевкачествеставкидисконтирования WACC (Weighted average cost of capital)[10] = (Debt / Value) (1 – Tax Rate) ґ kD + (Equity/Value ) x kE, где Debt/Value — долядолга, kD — стоимостьдолга, Equity/Value — долясобственногокапитала, kE – стоимостьсобственногокапитала.
После получения текущих стоимостей денежных потоков в прогнозном периоде и их суммирования осуществляются корректировки на величину избыточных активов и излишка/ дефицита собственного оборотного капитала.
Приведем практический пример использования метода дисконтированных денежных потоков.
Исходные данные: Выручка (Sales), $2 500 000, Unlevered Beta 1,00, Rf (Riskfree Rate) 12,00%, Rm-Rf (Risk Premium) 8,00%, Доля Долга (Debt Ratio) 40,00%, Амортизация (Depreciation) $500, Изменения Собственного оборотного капитала (Change in Working Capital) $0, Капитальные вложения (Capital Expenditures) $500, Доля EBIT (%) 20,00%, Налоговая ставка (Tax Rate) 30,00%, Величина выплачиваемых процентов — $90 517. Для упрощения расчетов предполагается что компания получает постоянные денежные потоки в течении бесконечного периода, избыточные активы отсутствуют, дефицит/излишек собственного оборотного капитала отсутствует.
Обозначим формульный расчет денежных потоков:

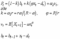
Методы оценки, базирующиеся на NPV, APV, SNPV
Выделение группы данных методов нами было осуществлено не случайно. Если компания представляет собой совокупность имущественных комплексов, каждый из них может расцениваться как своеобразный инвестиционный проект. Соответственно при проведении оценки бизнеса (особенно если возникает понятие «стратегической инвестиции») наибольшую значимость приобретают методы оценки, базирующиеся на NPV, APV, SNPV. Рассмотрим каждый из обозначенных методов.
NPV (Net Present Value) — Чистая приведенная стоимость
При проведении оценки с использованием показателя NPV возможно использование вариантов расчета NPV, базирующихся на инвестициях «распыленных» во времени» и инвестициях имеющих «разовый» характер.
Для оценки стоимости бизнеса с учетом инвестиций «распыленных» во времени может использоваться следующая формула:
[11],
где:
(CF)t — денежный поток в году t с учетом первоначальных инвестиций (величина денежного потока в зависимости от поставленной задачи и целей оценки определяется как CCF, ECF или FCF, при этом в практических расчетах, как правило, отдается предпочтение FCF), далее осуществляется корректировка денежного потока первого года на величину первоначальных инвестиций Сo;
r — ставка дисконтирования для выбранного вида денежного потока;
(C0)t — первоначальные инвестиций (original capital) в году t, считая от даты начала инвестиций.
Данный способ расчета помимо оценки компании также может быть использован при проведении оценочных работ для оценки сделок по слияниям и поглощениям, а также для случая, когда предполагаемый платеж за «вхождение в бизнес» имеет «распыленность» во времени. Особую актуальность данный способ приобретает в части оценки компании, требующих осуществление значительных инвестиций для поддержания основных фондов в рабочем состоянии (например, электроэнергетика, транспорт и т.п.).
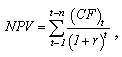
Для оценки стоимости бизнеса с учетом разовых инвестиций формула принимает более простой вид:

где:
(CF)t — денежный поток в году t с учетом первоначальных инвестиций (величина денежного потока в зависимости от поставленной задачи и целей оценки определяется как CCF, ECF или FCF, при этом в практических расчетах, как правило, отдается предпочтение FCF)
r — ставка дисконтирования для выбранного вида денежного потока
C0 — разовые инвестиции.
Данный метод расчета может быть использован при проведении оценочных работ в части сделок по слияниям и поглощениям для случая, когда предполагаемый платеж за «вхождение в бизнес» имеет разовый характер.
APV (Adjusted Present Value) — Скорректированная приведенная стоимость
Метод носит более теоретизированный характер в отличии от NPV и предполагает использование в расчетах элемента «налоговый щит». Под «налоговым щитом» понимаются затраты компании, вычитаемые из налогооблагаемой прибыли, «защищающие» (служащие своеобразным щитом) эквивалентную им сумму прибыли от налогообложения за счет сокращения величины налогооблагаемой прибыли.
Стоимость бизнеса по методу APV = NPV + стоимость «налогового щита» – любые издержки от размещения акций1
Второй вариант расчета не предусматривает корректировки на издержки, связанные с размещением акций, и предложен в работе Р. Рубака, см. [21].
SNPV (Strategic Net Present Value) – Стратегическая чистая приведенная стоимость
Стоимость компании может превосходить рыночную стоимость всех ее проектов в случае существования возможности принятия решений с позитивным NPV. Данную «экономическую ценность» позволяет оценить Модель Блэка- Скоулса (OPM). Корректировка показателя NPV на совокупную премию реальных опционов в частности озвучивалось участниками Конференций в части реальных опционов (см. [7, 8]), так же данный момент был обозначен в работе Коуплэнда, Коллера и Муррина (см. [5]).
Стратегическая чистая приведенная стоимость (SNPV) представляет собой совокупность двух компонент: чистой приведенной стоимости (NPV) и совокупной премии реальных опционов (Pr). При этом реальные опционы представляют собой величину, на которую недооценивается проект.
SNPV = NPV + Pr.
Методы оценки, базирующиеся на EVA, MVA, CVa.
EVA (Economic Value Added) - добавленная стоимость
EVA (Economic Value Added) базируется на концепции остаточного дохода, предложенной Альфредом Маршаллом. В силу актуализации со стороны инвесторов вопросов, связанных с максимизацией дохода для акционеров, концепция остаточной стоимости получила широкое распространение. Заслуга в этом вопросе принадлежит Стерну Стюарту, разработавшему и активно предложившему на рынке консалтинговых услуг модель EVA.
Согласно концепции EVA стоимость компании представляет собой ее балансовую стоимость, увеличенную на текущую стоимость будущих EVA. Эти строгие соотношения между EVA и рыночной стоимостью компании предполагают, что EVA определяет рыночную стоимость акций. Корреляция между EVA и рыночной стоимостью была изучена, при этом были получены определенные результаты[12].
Остановимся более подробно на анализе основных моментов данной концепции. Что лежит в основе EVA? Очевидно, что наибольший прирост стоимости любой компании в первую очередь вызван ее инвестиционной активностью, которая может быть реализована как за счет собственных, так и за счет заемных источников. Основная идея, заключающаяся в использовании EVA, состоит в том, что акционеры должны получить норму возврата за принятый риск. Другими словами, собственный (акционерный) капитал должен заработать по крайней мере ту же самую норму возврата как схожие инвестиционные риски на рынках капитала. Если данного момента не происходит, то отсутствует реальная прибыль и акционеры не видят выгод от операционной деятельности компании. С другой стороны, если ЕVА равна нулю, это является определенным достижением, так как акционеры фактически получили норму возврата, которая компенсировала риск.
Положительное значение ЕVА характеризует эффективное использование капитала, если взять макроэкономические масштабы, то становится очевидным, что производительность капитала — фактор, оказывающий наибольшее влияние на экономику и как следствие на рост ВВП. Для любой экономики характерен некий «запас» капитала, что приводит к появлению нового ВВП. Чем более производителен капитал, тем больший ВВП мы имеем. Следовательно, достижение максимально возможного положительного значения EVA является не только положительным фактором для акционеров в рамках управления стоимостью компании, но и для всей экономики и важно для каждого конкретного индивидуума в более широкой перспективе. Практически данный момент характеризует возможности наиболее эффективного перераспределения капитала от одной отрасли к другой, что позволяет отрасли развиваться и получать дополнительные доходы.
Стоимость компании (Firm Value) = Капитальные вложения (Capital Invested in Assets in Place) + Текущая добавленная стоимость от капитальных вложений (PV of EVA from Assets in Place) + Сумма текущих добавленных стоимостей от новых проектов (Sum of PV of EVA from new projects).
Вариантырасчеты EVA:
1) EVA = NOPAT – COST OF CAPITAL x CAPITAL employed.
2) EVA = (RATE OF RETURN – COST OF CAPITAL) x CAPITAL.
где:
1. Rate of return = NOPAT/Capital.
2. Capital = Total balance sheet minus non-interest bearing debt in the beginning of the year.
3. Cost of capital (WACC) = Cost of Equity x Proportion of equity from capital + Cost of debt x Proportion of debt from capital x (1-tax rate) (см. Расчет WACC для денежного потока FCF).
Необходимо учитывать, что простота расчета показателя EVA является лишь кажущимся явлением. Разработчиком данной модели (Stewart G. Bennett) предусматривается перечень возможных поправок и корректировок. К числу наиболее значимых корректировок относятся следующие: текущая стоимость операционного лизинга (PV Operating Leases), Амортизация Гудвила (Goodwill Depretiation), капитализированная стоимость исследований (Capitalized R&D) и т.п.
В рамках управления стоимость компании EVA используется при составлении капитального бюджета, при оценке эффективности деятельности подразделений или компании в целом, при разработке оптимальной и справедливой системы премирования менеджмента. Преимущества применения данной концепции в рамках управления стоимостью компании связаны с адекватным и нетрудоемким определением с помощью данного показателя степени достижения подразделением, фирмой или отдельным проектом цели по увеличению рыночной стоимости.
Таким образом, модель добавленной стоимости (ЕVА):
· является инструментом для измерения «избыточной» стоимости, созданной инвестициями и индикатором качества управленческих решений, при этом постоянная положительная величина этого показателя свидетельствует об увеличении стоимости компании, тогда как отрицательная — о ее снижении;
· базируется на стоимости капитала, как средневзвешенное значение различных видов финансовых инструментов, используемых для финансирования инвестиций;
· позволяет определять стоимость компании, а также позволяет оценивать эффективность отдельных подразделений компании (отдельных имущественных комплексов).
Более подробно вопросы, связанные с использованием данной модели, освещены в следующих работах: см. [12, 14, 16, 23, 24].
MVA (Market Value Added)
Является частным случаем EVA. Рассчитывается по формуле: MVA = Рыночная стоимость акционерного капитала (Market Value of Equity) + Рыночная стоимость долга (Market Value of Debt) – Совокупный установленный капитал x (Total Invested or Total Adjusted Capital).
Взаимосвязь показателей MVA и EVA определяется следующим образом:

Рис.4. Взаимосвязь между показателями MVA и EVA
CVA (Cash Value Added [14]) - денежная добавленная стоимость
Данная модель является своеобразным «прототипом» EVA. В практике также имеет название Residual Cash Flow (RCF). Вариантырасчетаданногопоказателяпредставленыследующимобразом: CVA = Sales x ((Sales – Cost)/Sales – Working Capital Movement/Sales – Non Strategical Investment/Sales) – OCFD/ Sales (см. [14]).
В сложившейся практике финансового менеджмента модель упрощена и выглядит как: RCF (CVA) = AOCF – WACC x TA, где: AOCF (Adjusted Operating Cash Flows) – скорректированный операционный денежный поток; WACC – средневзвешенная цена капитала; TA – суммарные скорректированные активы.
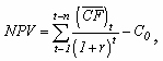
Метод оценки, основанный на совмещении доходов и активов (EBO)
Модель Ольсона EBO (Edwards-Bell-Ohlson valuation model) совмещает в себе элементы доходного и затратного подхода, при этом наибольший вес при получении итоговой величины стоимости приходится на затратный подход в части фиксации текущей величины чистых активов.
Стоимость компании выражается через дисконтированный поток «сверх» — доходов (отклонений прибыли от «нормальной», т.е. средней по отрасли величины) и текущую стоимость ее чистых активов. Необходимо отметить, что логика расчета модели Ольсона близка к концепции экономической добавленной стоимости.
Стоимость компании в рамках Модели фиксируется следующим образом:

где:
Pt — рыночная стоимость компании в момент времени t;
bt — стоимость чистых активов компании в момент времени t;
bt-1 — стоимость чистых активов компании в момент времени t-1 (за предыдущий период);
dt — «обобщенные дивиденды»
r — ставка дисконтирования
vt — вклад прочих факторов в прибыль
E[xt+1] — будущая прибыль (прогноз)
Xt — текущая прибыль
ω — вес влияния прибыли за предыдущий период
g — вес влияния прочей информации
Параметры информационной динамики ω, g являются положительными величинами и должны иметь значение не более 1. Факторами, влияющими на данные показатели, являются экономическое положение фирмы и ее учетная политика. Определение величины данных параметров приведено в работе Хэнда Дж. И Ландсмена см. [15].
Авторы проанализировали данные финансовой отчетности по совокупности компаний, чьи акции котируются на американском фондовом рынке (NYSE, AMEX, NASDAQ) за период с 1974 по 1996 гг. Результатом анализа явились следующие значения параметров: ω = 0.61, g = 0.45 — для компаний, выплачивающих дивиденды, и ω= 0.46, g = 0.34 — для фирм, не выплачивающих дивиденды. Очевидно, что прямое использование значений данных коэффициентов для российских компаний, имеющих иное экономическое окружение, не приведет к достоверным и точным результатам. В связи с чем проводятся исследования на предмет определения параметров информационной динамики, но объективных данных пока получено не было.
Тем не менее, следует подчеркнуть значимость данной модели в силу того, что модель дает представление о том, какая часть рыночной стоимости фирмы выражена ее реальными активами, а какая — нематериальным «гудвиллом», что позволяет более точно представлять степень рискованности вложений в ту или иную компанию.
Приведем иллюстративный пример расчета в рамках Модели оценки:
Прочие модели оценки (RIM)
Для завершения обзора современных техник оценки необходимо затронуть еще один вопрос, связанный с существованием Моделей, базирующихся на данных бухгалтерского учета.
К числу данных Моделей можно отнести разработку Residual Income Model (RIM), предложенную ЧарльзомЛи (см. [17,18]).
Firm Value t = Capital t + PV (all future wealth creating activities) = Capital t + PV (all future «residual income» (RI)).
где:
RI — difference betwеen earnings for the period and its cost-of-capital, expressed in $.
RI = Earnings t – R x Capital t-1.
R = cost-of-capital, expressed as a rate-of-return, assuming a flat term structure.
На настоящий момент времени адаптации данной модели к российским условиям в оценочной практике не существует. Поэтому сделать вывод об обоснованности и применимости данной модели представляется весьма сложным, без осуществления корректировок, учитывающих специфику отечественной системы бухгалтерского учета, по сравнению с западной.
Метод оценки, базирующийся на рыночной стоимости активов с учетом корректировки на обременения
Представляется весьма сложным судить, какой из перечисленных в настоящей статье показателей может служить максимально корректной базой для расчета стоимости компании.
В работах западных авторов существует значительное количество публикаций, связанных с освещением достоинств и недостатков EVA, MVA, CVA, и др. Считаем необходимым отметить, что, по сути, все эти показатели базируются на NPV. При этом каждый из них содержит определенного рода «допущения», существенно упрощающих расчет и влияющих на получаемую величину стоимости компании. Тем не менее очевидно, что показатель NPV может дать ответ на вопрос о стоимости бизнеса с учетом его предполагаемой доходности, но не несет в себе ответа на вопрос, за счет чего формируется данная доходность и какие риски могут возникнуть у нового собственника компании. Данный момент обусловил необходимость разработки модели, базирующейся на NPV, учитывающей в себе достоинства вышеперечисленных моделей и позволяющей получить максимально «реальную» величину стоимости компании, понятную и покупателю и продавцу.
Особое внимание следует обратить на определение, озвученное Ю. Брегхеном и Л. Гапенски: «рыночная стоимость бизнеса, по сути, базируется на рыночной стоимости активов, которая обусловливается способностью активов приносить доход». Исходя из ранее обозначенного подхода к трактовке сущности компании и показателя стоимости как характеризующего показателя, необходимо отметить что активы и обязательства являются базовыми элементами, формирующими ее стоимость, при этом ценность бизнеса базируется на активах, ценность которых базируется на их доходности.
Считаем обусловленным и необходимым использование следующей модели для оценки стоимости бизнеса компании:
Стоимость компании [15] = Рыночная стоимость Активов NPV Операционных активов+ Рыночная стоимость избыточных активов+/- «излишек» оборотного капитала/«дефицит» оборотного капитала+ Рыночная стоимость Финансовых активов
Рыночная стоимость Долгосрочных финансовых вложений
Рыночная стоимость прав требований компании (дебиторская задолженность), которые можно перевести в финансовые вложения или денежные средства
– Рыночная стоимость обязательств, способных привести к потере контроля над бизнесом
Рыночная стоимость краткосрочных обязательств, способных привести к потере контроля над бизнесом
Рыночная стоимость долгосрочных обязательств, способных привести к потере контроля над бизнесом.
Обоснованность применения данной Модели была выявлена в результате практических работ и подтверждена статистическими исследованиями.
Ниже приведем расчетную таблицу, содержащую в себе результаты оценки компании с помощью рассмотренных в рамках данной статье методов.
Таким образом, на основании вышеизложенного можно сделать следующие выводы:
· практическое использование методов NPV, APV, SNPV при проведении оценочных работ возможно в части анализа сделок, связанных со слиянием или поглощением, для анализа целесообразности осуществления «стратегической инвестиции», необходимой для развития того или иного имущественного комплекса, входящего в состав компании и т.п.
· основой всех моделей оценки является традиционный показатель NPV, конкретизация которого позволила показать обоснованность использования модифицированного подхода к оценке, заключающего в себе элементы доходного и затратного подхода, расчет стоимости бизнеса компании осуществляется по формуле:
Стоимость компании[16] = Рыночная стоимость АктивовNPV Операционных активов+ Рыночная стоимость избыточных активов+/- «излишек» оборотного капитала/ «дефицит» оборотного капитала+ Рыночная стоимость Финансовых активов
Рыночная стоимость Долгосрочных финансовых вложений
Рыночная стоимость прав требований компании (дебиторская задолженность), которые можно перевести в финансовые вложения или денежные средства
– Рыночная стоимость обязательств, способных привести к потере контроля над бизнесом
Рыночная стоимость краткосрочных обязательств, способных привести к потере контроля над бизнесом
Рыночная стоимость долгосрочных обязательств, способных привести к потере контроля над бизнесом.
Литература
1. Оценка бизнеса: Учебное пособие/ Под ред. Грязновой А.Г., Федотовой М.А. — М.: Финансы и статистика, 2002.
2. Валдайцев И.И. Оценка бизнеса и управление стоимостью предприятия. — М.: ЮНИТИ-ДАНА, 2001.
3. Ван Хорн Дж. и М. Вахович Дж. «Основы финансового менеджмента / М.: Вильямс, 2001.
4. Герасимов Н.Н. Применение модели Ольсона в оценке стоимости компании // www.cfin.ru
5. Коупленд Т., Коллер Т., Муррин Дж. Стоимость компаний: оценка и управление/ Пер. с англ. М., Олимпия-бизнес (Серия «Мастерство»), 1999.
6. Лашхия В.Ю. Применение теории опционов для оценки стоимости бизнеса // Финансовая газета. — № 18. — 2001.
7. 5th Annual Real Options Conference 2001, Los Angeles Anderson School of Management
8. 6th Annual Real Options Conference, Paphos, Cyprus, July 4-6, 2002.
9. Aswath Damodaran. The Dark Side of Valuation. Publisher: Financial Times Prentice Hall; 350 p., 1st edition, 2001.
10. Dr. Apreda Rodolfo Ph.D. A corporate finance cash flow model with float, 2001, University of Buenos Aires.
11. Fernandez Pablo. Valuing Companies by Cash Flow Discounting: Ten Methods and Nine Theories, IESE Business School, 2001.
12. Fernandez Pablo. EVA, Economic profit and Cash value added do not measure shareholder value creation, IESE Business School, 2001;
13. Fischer Black, Myron Scholes. What’s It Worth? A General Manager’s Guide to Valuation.
14. Fredrik Weissenrieder. Economic Value Added or Cash Value Added? Department of Economics Gothenburg University and Consultant within Value Based Management Anelda AB.
15. Hand John R.M., Landsman Wayne R. The Pricing of Dividends in Equity Valuation. University of North Carolina at Chapel Hill, 1999.
16. Ignacio Vulez-Pareja. Value creation and its measurement: A critical look at EVA, School of Industrial Engineering, 2001.
17. Lee. Charles M.C. Measuring wealth, CA Magazine, April 1996.
18. Lee Charles M.C. Accounting-Based Valuation: impact on business practices and research. Graduated School of Management, 1999.
19. Liu J., Ohlson J.A. The Faltham-Ohlson (1995) Model: Empirical Implications Anderson School of Management, U.C.L.A., Los Angeles, Stern School of Business, N.Y.U., New York, 1999.
20. Luehrman Tim, Yann Bonduelle and Inga Schmoldt. Get real about real options. Harvard Business Review, May-June 1997.
21. Rubak R.S. CCF: A simple approach to valuing Risky Cash Flows, Graduate School of Business Administration Harvard Universyty 2000.
22. Scott, William R. Financial Accounting Theory. Scarborough, Ont., Prentice Hall Canada Inc., 1997.
23. Stewart G. Bennett. The quest for value: a guide for senior managers, Harper Business, 1990.
24. Stewart C. Myers Interactions of Corporate Financing and Investment Decisions — Implications for Capital Budgeting, Journal of Finance 29, 1974.
25. The Pricing of Options and Corporate Liabilities», Journal of Political Economy, vol 81, 1973.
1 Автор приносит извинение за недостаточную детализацию в части изложения материала. Данный момент был вызван «рамками» статьи и будет максимально скорректирован в последующих публикациях. Автор выражает глубокую благодарность Сидоренко Ю.С., Светанкову С.А., Скибо Д.С. за помощь в подготовке данного материала. По всем вопросам, возникающим при прочтении, просьба обращаться по e-mail: olgasch@mail.ru
2 Показательным примером реакции фондового рынка на определенные факторы могут являться следующие моменты. Для экономики США наиболее показательными являются данные по рыночной капитализации интернет-компаний, где фиксируется значительная рыночная капитализация при наличии постоянных убытков (см. исследование Brain Blakely, Javier Estrada «The pricing of Internet Stock», 1999, IESE). В части фондового рынка России в качестве примера можно привести данные, озвученные Генеральным директором Рейтингового агентства «Эксперт-РА» на профессиональной конференции «Потенциал рост стоимости российских предприятий», проведенной 19.10.00 г. в Москве. В качестве примера была предложена динамика рыночной капитализации компании Юкос: до кризиса 1998 г. рыночная капитализация составляла 9 млрд. долл., после кризиса менее 1,5 млрд. долл., после скандала, связанного с Кэннотом Дартом и появления в СМИ ряда материалов, вызывающих сомнение в деятельности компании, капитализация упала до 200 млн. долл. При этом текущий объем реализации компании составляет более 2,5 млрд. долл. в год. Фактически рынок зафиксировал цену, за которую нельзя было реально купить бизнес компании, но, тем не менее, инвесторы высказали свое отношение, зафиксировав котировки и готовность покупать акции Юкоса именно по этой цене.
3 Допускаем, что все результаты оценки должны быть одинаковыми. Считаем, что данное утверждение абсолютно приемлемо для условий идеального рынка, когда будущий потенциал компании фактически определен и известен всем участникам рынка. Данный вопрос был затронут в работе Уильяма Скотта (см. [20]).
4 Необходимо отметить, что полное освещение данного вопроса получило в работах Федотовой М.А. и Валдайцева И.И. (см. [1,2]). в рамках данной статьи автор обращает внимание на наиболее значимые моменты, сложившиеся в западной практике. Также см. [ 9, 10, 11, 12, 21].
5 В приведенной формуле сознательно не ставится акцент на получение суммы текущих стоимостей денежных потоков в прогнозном и постпрогнозном периоде. Мнением автора является возможность использования в большинстве практических случаев прогнозного периода компании, исходя из предполагаемого срока жизни компании. Данный момент увеличивает точность получаемого результата и обусловливает отсутствие необходимости в фиксации постпрогнозного периода. Особую значимость данный момент приобретает при оценке бизнеса, базирующегося на доходной недвижимости, добывающих компаний и т.п.
6 Использование «оригинальных» обозначений коэффициентов и элементов, участвующих в расчетах коэффициентов, обусловлено необходимостью представления максимально точной трактовки используемого в западной практике терминологического аппарата.
7 для оценочных расчетов обычно используется ставка налога на прибыль компании
8 Необходимо отметить, что при использовании методов дисконтированных денежных потоков для оценки отдельных имущественных комплексов, входящих в компанию (как отдельных бизнес-единиц), ставка дисконтирования для каждого имущественного комплекса будет рассчитываться отдельно.
9 Вариант расчета Asset Beta = (Debt/Value)* Beta Debt + (Equity/Value)* Beta Equity был предложен в работе Рубака (см. [21]).
10 Существенные замечания на наиболее часто встречающиеся ошибки в оценке компании методом дисконтированных денежных потоков получили отражение в работе Пабло Фернандеза (см. [11]). В частности, автор указывает на недопустимость использования балансовой стоимости собственного и заемного капитала при расчете ставки дисконтирования методом WACC, ставится акцент на необходимость использования рыночной стоимости.
11 Так же расчет может осуществляться по формуле: путем отдельного выделения первоначальных инвестиций, в этом случае расчет CF осуществляется без корректировки на данную величину
12 под издержками от размещения акций понимаются юридические издержки, оплата услуг инвестиционного банка за андеррайтинг, прочие затраты, связанные с эмиссией ценных бумаг.
13 Stewart (1990, p.215 — 218) изучил данное соотношение среди 618 американских компаний и представил результаты в книге «The quest for value» (см. [23]).
Выводы, к которым пришел автор: корреляция между ЕVА и рыночной стоимостью особенно ярко выражена среди американских компаний (данные были с конца 1980-х). При этом корреляция между отрицательной ЕVA и отрицательной MVA отсутствует. Данный момент автор объясняет тем, что потенциал ликвидации, восстановления, рекапитализации, или иной кардинальной перестройки влияет на рыночную стоимость компании. Данный момент приобретает наибольшую значимость по отношению к компаниями, имеющим значительное количество фиксированных активов.
14 В рамках настоящей статьи модель CVA рассматривается в виде разработки, предложенной Фредриком Вейсендайзером. Необходимо отметить, что также существует модель CVA, предложенная Boston Consulting Group, которая будет рассмотрена в следующих публикациях.
15 При формировании итогового вывода о величине стоимости приобретаемого бизнеса на основании расчетов по предложенному методу оценки необходимо учитывать предполагаемую долю владения в данном бизнесе.
16 При формировании итогового вывода о величине стоимости приобретаемого бизнеса на основании расчетов по предложенному методу оценки, необходимо учитывать предполагаемую долю владения в данном бизнесе.
|