Министерство образования и науки Украины
Харьковский национальный экономический университет
кафедра экономической теории
Курсовая работа
на тему « Рынок свободной конкуренции, чистой монополии, монополистической конкуренции, олигополии: сравнительный анализ использования ресурсов »
по курсу «Микроэкономика»
Проверила Выполнила
к. э. н. студентка факультета М и М
доцент кафедры ЭТ 2 курсу 7 группы
Степаненко Н. А. спец. «Административный
менеджмент»
Гринь Е. П.
Харьков, 2005
Содержание
Введение 3
1.Совершенная конкуренция 4
1.1. Спрос и предложение фирмы в условиях
совершенной конкуренции 4
1.2. Объем выпуска и реализации в условиях
совершенной конкуренции 5
2. Монополия 8
2.1. Что такое монополия? 8
2.2. Предельный доход монополиста 9
2.3. Максимизация прибыли монополистом 10
2.4. Монополия и эластичность спроса 12
2.5. Как влияют налоги на поведение монополиста? 13
2.6. Оценка монопольной власти 13
3. Монополистическая конкуренция 17
3.1. Цена и объем производства в условиях
монополистической конкуренции 18
4. Олигополия 21
4.1. Что такое олигополия? 21
4.2. Модели олигополии 21
5. Использование и распределение ресурсов фирмой 27
5.1. Предельная доходность ресурса 27
5.2. Предельные издержки ресурса 29
5.3. Какое количество ресурса следует использовать? 30
5.4. Выбор варианта сочетания ресурсов 31
Заключение. 35
Список использованной литературы 37
Словарь экономических терминов 38
Введение
На поведение каждой фирмы влияет характер, тип рынка, на котором она функционирует. Тип рынка зависит от вида продукции, количества фирм на нем, наличия или отсутствия ограничений на вход в отрасль и выход из нее, доступности информации о ценах, нововведениях.
В странах с развитой рыночной экономикой преимущественно существуют рынки монополистической конкуренции (производство одежды, обуви, сфера услуг, торговля и т.д.), а также олигополии (автомобильная промышленность, металлургия). Совершенная конкуренция и чистая монополия встречаются довольно редко и скорее являются абстракциями, моделями, на примере которых можно провести анализ поведения фирмы, формирования ее ценовой стратегии и определения объема выпуска, обеспечивающего максимальную прибыль. Хотя совершенная конкуренция - явление редкое, ее анализ позволяет понять, как функционирует рыночная экономика, и сравнить "идеальный" рынок с реальным.
Забиваем Сайты В ТОП КУВАЛДОЙ - Уникальные возможности от SeoHammer
Каждая ссылка анализируется по трем пакетам оценки: SEO, Трафик и SMM.
SeoHammer делает продвижение сайта прозрачным и простым занятием.
Ссылки, вечные ссылки, статьи, упоминания, пресс-релизы - используйте по максимуму потенциал SeoHammer для продвижения вашего сайта.
Что умеет делать SeoHammer
— Продвижение в один клик, интеллектуальный подбор запросов, покупка самых лучших ссылок с высокой степенью качества у лучших бирж ссылок.
— Регулярная проверка качества ссылок по более чем 100 показателям и ежедневный пересчет показателей качества проекта.
— Все известные форматы ссылок: арендные ссылки, вечные ссылки, публикации (упоминания, мнения, отзывы, статьи, пресс-релизы).
— SeoHammer покажет, где рост или падение, а также запросы, на которые нужно обратить внимание.
SeoHammer еще предоставляет технологию Буст, она ускоряет продвижение в десятки раз,
а первые результаты появляются уже в течение первых 7 дней.
Зарегистрироваться и Начать продвижение
Совершенная конкуренция, является скорее абстрактной моделью, удобной для анализа основных принципов формирования рыночного поведения фирмы. В реальной действительности чисто конкурентные рынки встречаются редко, как правило каждая фирма имеет "свое лицо", и каждый потребитель, выбирая продукцию той или иной фирмы, руководствуется не только полезностью продукции и ее ценой, но и своим отношением к самой фирме, к качеству выпускаемых ею изделий. В этом смысле положение каждой фирмы на рынке в чем-то уникально, или, иными словами, в ее поведении присутствует элемент монополизма.
Этот элемент накладывает отпечаток на деятельность фирмы, заставляет ее несколько иначе подходить к формированию ценовой стратегии, определению объема выпуска продукции, наиболее эффективного с точки зрения прибылей и убытков.
Совершенная конкуренция
1.1. Спрос и предложение фирмы в условиях совершенной конкуренции
Поскольку объем продаж фирмы в условиях совершенной конкуренции составляет лишь малую долю от общего рыночного предложения, сокращение или увеличение объема производства фирмы не будет влиять на рыночную цену продукции. Если, например, мы предлагаем 1% от всего количества продаваемых на рынке яблок, то увеличение этой доли до 2% никак не повлияет на рыночную цену.
 Отсюда можно сделать вывод, что спрос на продукцию отдельной фирмы в условиях чистой конкуренции является абсолютно эластичным. Если цена 1 кг яблок составляет Р0, то кривую спроса на них можно изобразить в виде горизонтальной линии D, показывающей, что любое количество предлагаемой нами продукции будет продаваться по цене Р0 (рис. 1.1,а). Напротив, график рыночного спроса на яблоки будет наклонным, отражая готовность потребителей приобрести различное количество яблок при всех возможных уровнях цен (рис. 1.1,б); при цене Ро будет приобретено Qо яблок.
Рис. 1.1. Спрос на продукцию конкурентной фирмы (а) и отраслевой спрос (б)
Поскольку цена продукции конкурентной фирмы задана извне и не зависит от объема продаж (производства) общий (валовой) .доход фирмы TR (англ. total revenus) будет равен произведению цены на количество проданной продукции Р • Q. При этом предельный доход MR(англ. marginal revenuе) - прирост дохода, связанный с выпуском (продажей) каждой дополнительной единицы продукции - будет равен цене продукции. Средний доход (валовой доход, деленный на количество проданных товаров) фирмы в условиях совершенной конкуренции также будет равен цене. [1]
Сервис онлайн-записи на собственном Telegram-боте
Попробуйте сервис онлайн-записи VisitTime на основе вашего собственного Telegram-бота:
— Разгрузит мастера, специалиста или компанию;
— Позволит гибко управлять расписанием и загрузкой;
— Разошлет оповещения о новых услугах или акциях;
— Позволит принять оплату на карту/кошелек/счет;
— Позволит записываться на групповые и персональные посещения;
— Поможет получить от клиента отзывы о визите к вам;
— Включает в себя сервис чаевых.
Для новых пользователей первый месяц бесплатно.
Зарегистрироваться в сервисе
Например, мы продали на рынке 5 кг яблок по рыночной цене 7 грн. за 1 кг. Общий (валовой) доход составит 5(7=35 грн., средний и предельный доходы будут равны 7 грн. На графике кривые среднего и предельного доходов совпадают между собой, а также с горизонтальной линией спроса на продукцию конкурентной фирмы; валовой доход линейно зависит от объема проданной продукции (рис. 11.2).

Рис. 1.2. График валового TR и предельного MR доходов конкурентной фирмы
1.2. Объем выпуска и реализации в условиях совершенной конкуренции
Какой объем производства должен быть достигнут, чтобы обеспечить фирме максимальную прибыль при ограничениях в принятии решений, наложенных динамикой издержек фирмы и спросом на продукцию?
Отвечая на этот вопрос, прежде всего следует провести различия в рассматриваемых временных интервалах. Краткосрочным назовем период, недостаточный для вхождения новых производителей в отрасль или выхода из нее. Долгосрочный период, напротив, является достаточным для вступления новых фирм в отрасль, если представляется возможность получения более высокой прибыли, и выхода из отрасли, если фирма начинает нести убытки.
Как фирма определяет объем производства в краткосрочном временном интервале? Для этого существует два пути. Первый состоит в том, что фирма сравнивает получаемый ею валовой доход при различных объемах выпуска с валовыми издержками, соответствующими каждому из возможных объемов. Фирма выберет вариант, когда разница между валовым доходом и валовыми издержками будет максимальной, иными словами, будет достигнут максимальный объем прибыли (рис. 1.3,а). [1]
 
Рис. 1.3. Выбор объема производства фирмой путем сопоставления валовых (а) и предельных (б) доходов и издержек: ТС - валовые издержки; TR - валовой доход; МС - предельные издержки; MR - предельный доход
Однако на практике, когда фирма уже занимается производством, перед ней встает вопрос: что ей даст производство еще одной дополнительной единицы продукции? В какой пропорции расширение производства увеличит доход и издержки? Фирма будет сравнивать предельный доход и предельные издержки. До тех пор, пока расширение производства будет обеспечивать более быстрый рост дохода по сравнению с ростом издержек, фирма будет наращивать производство. Когда же дополнительная продукция будет больше добавлять к издержкам, чем к доходу, фирма прекратит увеличивать объем выпуска. Переломной точкой станет момент, когда будет достигнуто равенство предельного дохода и предельных издержек. То количество продукции, при котором обеспечивается это равенство, и будет выбрано фирмой (рис. 1.3,б).
Объем производства, при котором предельный доход равен предельным издержкам, называется точкой оптимального выпуска.
Используя либо первый подход (сравнение валовых дохода и издержек), либо второй (сравнение предельных дохода и издержек), фирма выберет объем производства Q0, который обеспечит ей максимальную прибыль.
Любой объем производства от Q1 до Q2 принесет фирме прибыль (см. рис. 1.3,а), однако лишь в точке Q0 эта прибыль будет максимальной. Именно при Q0 предельный доход будет равен предельным издержкам (см. рис. 1.3,б). На участке Q1-Q0 фирма будет недополучать возможную прибыль, а на участке Q0-Q2 предельные издержки превысят предельный доход и прибыль снизится.
Исходим из того, что фирма предпочтет производить продукцию даже в случае возникновения временных убытков, при этом ее задачей станет их минимизация. Закрытие - крайне нежелательный вариант. Возможны три ситуации, с которыми сталкивается фирма в условиях совершенной конкуренции. Производя продукцию в количестве Оо, при котором обеспечивается равенство цены (предельного дохода) и предельных издержек, фирма получает прибыль, поскольку сложившаяся на рынке цена Р0 превышает минимальные средние валовые издержки (рис. 1.4).
Рис. 1.4. Максимизация прибыли фирмой в условиях совершенной конкуренции
2. Монополия
2.1. Что такое монополия?
Чтобы определить, как влияет монополизм на поведение фирмы, остановимся на теории монополии. Что такое монополия? Как формируются издержки предприятия-монополиста, исходя из каких принципов оно устанавливает цену на свою продукцию и как определяет объем производства?
Понятие чистой монополии также обычно является абстракцией. Даже полное отсутствие конкурентов внутри страны не исключает их наличия за грнежом. Поэтому можно представить чистую, абсолютную монополию скорее теоретически. Монополия предполагает, что одна фирма является единственным производителем какой-либо продукции, не имеющей аналогов. При этом покупатели не имеют возможности выбора и вынуждены приобретать данную продукцию у фирмы-монополиста.
Не следует отождествлять чистую монополию и монопольную (рыночную) власть. Последняя означает возможность для фирмы влиять на цену и повышать экономическую прибыль, ограничивая объем производства и сбыта. Когда говорят о степени монополизации рынка, обычно имеют в виду силу рыночной власти отдельных фирм, присутствующих на этом рынке.
Как ведет себя монополист на рынке? Он полностью контролирует весь объем выпуска товара; если он принимает решение о повышении цены, то не боится потерять часть рынка, отдать его конкурентам, устанавливающим более низкие цены. Но это не означает, что он бесконечно будет повышать цену своей продукции. [8] Поскольку фирма-монополист, так же как и любая другая фирма, стремится к получению высокой прибыли, в ходе принятия решения о цене продажи она учитывает рыночный спрос и вои издержки. Так как монополист является единственным производителем данной продукции, кривая спроса на его продукцию будет совпадать с кривой рыночного спроса.
Какой объем производства должен обеспечить монополист, с тем чтобы его прибыль была максимальной? Принятие решения об объеме выпуска основывается на том же принципе, что и в случае конкуренции, т.е. на равенстве предельного дохода и предельных издержек.
2.2.
Предельный доход монополиста
Для фирмы в условиях совершенной конкуренции характерно равенство предельного дохода и цены. Для монополиста ситуация иная. Кривая среднего дохода и цены совпадает с кривой рыночного спроса, а кривая предельного дохода лежит ниже нее.
Почему кривая предельного дохода лежит ниже кривой рыночного спроса? Поскольку монополист - единственный производитель продукции на рынке и представитель всей отрасли, он, снижая цену продукции для увеличения объема продаж, вынужден снижать ее на все единицы продаваемых товаров, а не только на последующую (рис. 2.1). [1]
Рис. 2.1. Цена и предельный доход фирмы-монополиста:D - спрос; MR - предельный доход
Например, монополист может продать по цене 800 грн. только одну единицу своей продукции. Чтобы продать две единицы, он должен снизить цену до 700 грн. как на первую, так и на вторую единицу продукции. Чтобы продать три единицы продукции, цена должна стать равной 600 грн. за каждую из них, четыре единицы - 500 грн. и т.д. Доход фирмы-монополиста соответственно составит при продаже: 1 ед. - 800 грн.; 2 ед. - 1400 (700 • 2); З ед.-1800 (600 • 3); 4 ед.-2000 (500 • 4).
Соответственно предельный (или дополнительный в результате увеличения продаж на одну единицу продукции) доход составит: 1 ед. - 800 грн.; 2 ед. - 600 (1400 - 800); 3 ед. - 400(1800 - 1400); 4 ед. - 200 (2000 - 1800).
На рис. 2.1 кривые спроса и предельного дохода показаны как две несовпадающие линии, причем предельный доход во всех случаях, кроме выпуска 1 ед., меньше цены. А поскольку монополист принимает решение об объеме производства, выравнивая предельный доход и предельные издержки, цена и количество произведенной продукции будут иными, чем в условиях конкуренции.
2.3. Максимизация прибыли монополистом
Чтобы показать, при какой цене и каком объеме выпуска предельный доход монополиста будет максимально приближен к предельным издержкам и получаемая прибыль окажется наибольшей, обратимся к числовому примеру. Представим себе, что фирма является единственным производителем данной продукции на рынке, и сведем данные об ее издержках и доходах в табл. 2.1.
Таблица 2.1.Динамика издержек и доходов фирмы Х в условиях монополии.
Мы предположили, что 1 тыс. ед. своей продукции монополист может продать по цене 500 грн. В дальнейшем при расширении сбыта на 1 тыс. ед. он вынужден каждый раз снижать ее цену на 12 грн., поэтому предельный доход сокращается на 4 грн. при каждом расширении объема продаж. Фирма будет максимизировать прибыль, производя 14 тыс. ед. продукции. Именно при таком объеме выпуска ее предельный доход в наибольшей степени приближен к предельным издержкам. Если она произведет 15 тыс. ед., то эта дополнительная 1 тыс. ед. больше добавит к издержкам, чем к доходу, и тем самым уменьшит прибыль. [1]
На конкурентном рынке, когда цена и предельный доход фирмы совпадают, было бы произведено 15 тыс. ед. продукции, причем цена этой продукции была бы ниже, чем в условиях монополии:
Оптимальный обьем, тыс.ед. Цена,грн
Конкуренция 15 472
Монополия 14 474
Графически процесс выбора фирмой-монополистом цены и объема производства показан на рис. 2.2.
Рис. 2.2. Определение цены и объема производства фирмой-монополистом: D - спрос; MR - предельный доход; МС - предельные издержки
Поскольку в нашем примере производство возможно лишь в целых единицах продукции, а точка А на графике лежит между 14 и 15 тыс. ед., будет произведено 14 тыс. ед. продукции. Не произведенная монополистом 15-я тысяча (а она была бы выпущена в условиях конкуренции) означает потерю для потребителей, так как часть из них отказались от покупки из-за высокой цены, установленной производителем-монополистом.
Любая фирма, спрос на продукцию которой не является абсолютно эластичным, будет сталкиваться с ситуацией, когда предельный доход меньше цены. Поэтому цена и объем производства, приносящие ей максимальную прибыль, будут соответственно выше и ниже, чем в условиях совершенной конкуренции. В этом смысле на рынках несовершенной конкуренции (монополия, олигополия, монополистическая конкуренция) каждая фирма обладает определенной монопольной властью, которая наиболее сильна при чистой монополии.
2.4. Монополия и эластичность спроса
Как уже отмечалось, предельный доход в условиях совершенной конкуренции равен цене единицы товара и спрос на продукцию фирмы совершенно эластичен. При существовании монопольной власти предельный доход меньше цены, кривая спроса на продукцию фирмы является наклонной, что позволяет фирме, обладающей монопольной властью, получать дополнительную прибыль.
Эластичность спроса на продукцию (даже в случае, если на рынке присутствует только один продавец этой продукции) влияет на цену, установленную монополистом. Имея информацию об эластичности спроса Ер, а также данные, характеризующие предельные издержки фирмы МС, руководство фирмы может рассчитать цену продукции Р по формуле:
(2.1)
Чем выше эластичность спроса, тем более приближены условия деятельности монополиста к условиям свободной конкуренции, и наоборот, при неэластичном спросе у монополиста создается больше возможностей "взвинчивать" цены и получать монопольные доходы.
2.5. Как влияют налоги на поведение монополиста?
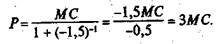
Поскольку налог увеличивает предельные издержки, их кривая МС сместится влево и вверх в положение МС1 как это показано на рис. 2.3. Фирма теперь будет максимизировать свою прибыль в очке пересечения Р1 и Q1.
(2.2) |
Монополист сократит производство и повысит цену в результате введения налога. Насколько он повысит цену, можно рассчитать, используя формулу (2.1). Если эластичность спроса, к примеру, составляет -1,5, тогда
При этом после введения налога цена увеличится на величину, в три раза превышающую размер налога. Влияние налога на монопольную цену зависит, таким образом, от эластичности спроса: чем менее эластичен спрос, тем в большей степени монополист повысит цену после введения налога.
Рис. 2.3. Влияние налога на цену и объем производства фирмы- монополиста: D - спрос, МR - предельный доход; МС - предельные издержки без учета налога; МС1 - предельные издержки с учетом налога
2.6. Оценка монопольной власти
Эластичность спроса является важным фактором, ограничивающим монопольную власть фирмы на рынке. Если мы имеем дело с чистой монополией (только один продавец), эластичность спроса становится единственным рыночным фактором, сдерживающим монопольный произвол. Именно поэтому деятельность всех отраслей естественной монополии регулируется государством. Во многих странах предприятия естественной монополии являются государственной собственностью.
Однако чистая монополия встречается достаточно редко, как правило, либо монопольная власть делится между несколькими крупными фирмами, либо на рынке действует множество небольших фирм, каждая из которых производит отличающуюся от других продукцию.
Таким образом, на рынках несовершенной конкуренции каждая фирма в той или иной степени обладает рыночной властью, что позволяет ей устанавливать цену выше предельного дохода и получать экономическую прибыль.
Как известно, разница между ценой и предельным доходом зависит от эластичности спроса на продукцию фирмы: чем более эластичен спрос, тем меньше возможностей получения дополнительной прибыли, меньше рыночная власть фирмы. [8]
В условиях чистой монополии, когда спрос на продукцию фирмы совпадает с рыночным, его эластичность является определяющей оценкой рыночной власти фирмы. В других случаях, когда рыночная власть делится между двумя, тремя или большим количеством фирм, она зависит от следующих факторов:
1. Эластичность рыночного спроса. Спрос на продукцию отдельной фирмы не может быть менее эластичным, чем рыночный спрос. Чем большее количество фирм представлено на рынке, тем более эластичен будет спрос на продукцию каждой из них. Присутствие конкурентов не позволяет отдельной фирме значительно поднимать цену без опасения потерять часть своего рынка сбыта.
Поэтому оценка эластичности спроса на продукцию фирмы является той информацией, которая должна быть известна руководству фирмы. Данные об эластичности должны быть получены путем анализа сбытовой деятельности фирмы, объема продаж при различных ценах, проведения маркетинговых исследований, оценки деятельности конкурентов и т.д.
2. Количество фирм на рынке. Однако само по себе количество фирм еще не дает представления о том, насколько рынок монополизирован. Для оценки конкурентности рынка используется индекс рыночной концентрации Герфиндаля, характеризующий степень монополизации рынка:
H=p12 + p22 + .......+ p12 +....+ pn2 (2.3)
где Н- показатель концентрации; p1 ,p2,.......,pi .... pn - процентная доля фирм на рынке.
3. Поведение фирм на рынке. Если фирмы на рынке будут придерживаться стратегии жесткой конкуренции, снижать цены для охвата большей доли рынка и вытеснения конкурентов, цены ,могут снизиться почти до конкурентного уровня (равенство цены и предельных издержек). Монопольная власть и соответственно монопольные доходы фирм уменьшатся. Однако получение высоких доходов очень притягательно для любой фирмы, поэтому вместо агрессивной конкуренции более предпочтителен явный или тайный сговор, раздел рынка.
Структура рынка, степень его монополизации должны учитываться фирмой при выборе стратегии деятельности. Для формирующегося рынка России характерна высокомонополизированная структура, поддерживаемая созданием в последние годы различного рода концернов, ассоциаций и других объединений, одной из целей которых является поддержание высоких цен и обеспечение себе "спокойного существования". Вместе с тем предполагаемое усиление открытости российской экономики для мирового хозяйства приводит к конкуренции с загрнежными фирмами и значительно усложняет положение отечественных монополистов.
Помимо уже рассмотренного выше эффекта масштаба существуют и другие причины, приводящие к монополии. Среди них немалую роль играет установление препятствий для вхождения в отрасль новых фирм. Такими препятствиями могут стать необходимость получения специального разрешения государственных органов на занятие тем или иным видом деятельности, лицензионные и патентные барьеры, таможенные ограничения и прямые запреты на импорт, сложности в получении кредитов, высокие первоначальные затраты на открытие нового предприятия и др.
Например, для открытия коммерческого банка в России помимо установленного минимального размера уставного фонда требуется специальное разрешение Центрального банка РФ, получить которое достаточно сложно. Не менее сложно и "добыть" относительно дешевый кредит. Введенные новые импортные пошлины на спиртные напитки, табачные изделия, автомобили и др. снижают конкурентные возможности иностранных товаров и укрепляют позиции отечественных производителей.
Вместе с тем получение высоких прибылей является мощным стимулом, привлекающим новые фирмы в монополизированную отрасль. И если отрасль не является естественной монополией (а большинство российских монополий таковыми не являются), то фирма-монополист в любой момент может ожидать появления неожиданного конкурента.
Чем выше прибыль предприятия-монополиста, тем больше желающих проникнуть в отрасль, например, путем расширения производства и продаж товаров-заменителей. Выход новых фирм на рынок с продукцией, способной эффективно заменить продукцию монополиста, приводит к переключению спроса потребителей. В таких условиях монополист будет вынужден снижать цену, отказываться от части прибыли, чтобы сохранить свое положение на рынке.
Законодательные барьеры для вхождения в отрасль также не вечны. На поддержку государственных чиновников, выражающих их интересы, монополисты тратят значительные средства, которые включаются в издержки, увеличивая их. Поэтому в условиях развитого рыночного хозяйства положение фирм-монополистов не является таким уж "безоблачным", как это кажется на первый взгляд.
3. Монополистическая конкуренция
Были рассмотрены два крайних типа рынков: совершенная конкуренция и чистая монополия. Однако реальные рынки не укладываются в эти типы, они очень разнообразны. Монополистическая конкуренция - распространенный тип рынка, наиболее близкий к совершенной конкуренции. Возможность для отдельной фирмы контролировать цену (рыночная власть) здесь незначительная (рис. 3.1).
Рис. 3.1. Усиление рыночной власти
Отметим основные черты, характеризующие монополистическую конкуренцию:
• на рынке присутствует относительно большое число мелких фирм;
• эти фирмы производят разнообразную продукцию, и, хотя продукт каждой фирмы в чем-то специфичен, потребитель легко может найти товары-заменители и переключить свой спрос на них;
• вступление новых фирм в отрасль не является сложным. Чтобы открыть новую овощную лавку, ателье, ремонтную мастерскую, не требуется значительных первоначальных капиталов Эффект масштаба также не требует развития крупного производства.
Спрос на продукцию фирм, действующих в условиях монополистической конкуренции, не является абсолютно эластичным, однако его эластичность высока. Например, к монополистической конкуренции можно отнести рынок спортивной одежды. Приверженцы кроссовок фирмы "Рибок" готовы заплатить за ее продукцию большую, чем за кроссовки других фирм, цену, однако если разница в ценах окажется слишком значительной, покупатель всегда найдет на рынке аналоги менее известных фирм по более низкой цене. То же относится к продукции косметической промышленности, производству одежды, лекарств и т.д.
Конкурентность таких рынков также очень высокая, что во многом объясняется легкостью доступа на рынок новых фирм. Сравним для примера рынок стальных тгрн и рынок стиральных порошков. Первый является примером олигополии, второй - монополистической конкуренции. [8]
Выход на рынок стальных тгрн затруднителен из-за большого эффекта масштаба и крупных первоначальных капиталовложений, в то время как для производства новых сортов стиральных порошков не требуется создавать крупное предприятие. Поэтому если фирмы, производящие порошки, будут получать большие экономические прибыли, это приведет к притоку новых фирм в отрасль. Новые фирмы будут предлагать потребителям стиральные порошки новых марок, иногда мало чем отличающиеся от уже производившихся (в новой упаковке, другого цвета или предназначенные для стирки разных видов тканей).
3.1. Цена и объем производства в условиях монополистической конкуренции
Как определяется цена и объем производства фирмы в условиях монополистической конкуренции? В краткосрочном периоде фирмы будут выбирать цену и объем выпуска, максимизирующие прибыль или минимизирующие убытки, исходя из уже известного нам принципа равенства предельного дохода и предельных издержек.
На рис. 3.2 изображены кривые цены (спроса), предельного дохода, предельных и средних переменных и валовых издержек двух фирм, одна из которых максимизирует прибыль (рис. 3.2,а), другая - минимизирует убытки (рис. 3.2,б).
Рис. 3.2. Цена и объем производства фирмы в условиях монополистический конкуренции, максимизирующие прибыль (а) и минимизирующие убытки (б):D - спрос: MR- предельный доход; МС - предельные издержки: AVC - средние переменные издержки; АТС - средние валовые издержки. [1]
Ситуация во многом сходна с совершенной конкуренцией. Разница состоит в том, что спрос на продукцию фирм не является абсолютно эластичным, и поэтому график предельного дохода проходит ниже графика спроса. Наибольшую прибыль фирма получит при цене Р0 и объеме производства Q0, а минимальные убытки - при цене Р1 и выпуске Q1.
Однако на рынках монополистической конкуренции экономическая прибыль и убытки не могут существовать долго. В долгосрочном периоде фирмы, терпящие убытки, предпочтут выйти из отрасли, а высокие экономические прибыли станут стимулом вступления в нее новых фирм. Новые фирмы, производя близкую по характеру продукцию, получат свою долю рынка, и спрос на товары фирмы, получавшей экономическую прибыль, снизится (график спроса сместится влево).
Сокращение спроса снизит экономическую прибыль фирмы до нуля. Иными словами, долгосрочной целью фирм, действующих в условиях монополистической конкуренции, является безубыточность. Ситуация долгосрочного равновесия показана на рис. 3.3.

Рис. 3.3. Долгосрочное равновесие фирмы в условиях монополистической конкуренции: D - спрос; MR- предельный доход; МС - предельные издержки; АТС - средние валовые издержки
Отсутствие экономической прибыли лишает новые фирмы стимула для вступления в отрасль, а старые - для выхода из нее. Однако в условиях монополистической конкуренции стремление к безубыточности является скорее тенденцией. В реальной жизни фирмы могут получать экономическую прибыль достаточно длительный период. Это связано с дифференциацией продукции. Некоторые виды продукции, выпускаемые фирмами, трудно воспроизвести. В то же время барьеры для входа в отрасль хоть и не высоки, но все же существуют. Например, чтобы открыть парикмахерскую или заняться частной медицинской практикой, надо иметь соответствующее образование, подтвержденное дипломом.
Является ли рыночный механизм монополистической конкуренции эффективным? С точки зрения использования ресурсов - нет, поскольку производство осуществляется не с минимальными издержками (см. рис. 3.3): производство Q0 не достигает величины, где средние валовые издержки фирмы минимальны, т.е. составляют величину Q1. Однако если оценить эффективность с точки зрения удовлетворения интересов потребителей, то многообразие товаров, отражающее индивидуальные потребности людей, является для них более предпочтительным, нежели однообразная продукция по более низким ценам и в большем объеме.
4. Олигополия
4.1. Что такое олигополия?
Олигополией называют тип рынка, на котором несколько фирм контролируют его основную часть. При этом номенклатура продукции может быть как небольшой (нефть), так и достаточно обширной (автомобили, химическая продукция). Для олигополии характерны ограничения по вхождению новых фирм в отрасль; они связаны с эффектом масштаба, большими расходами на рекламу, существующими патентами и лицензиями. Высокие барьеры для входа являются и следствием предпринимаемых ведущими фирмами отрасли действий, с тем чтобы не допустить в нее новых конкурентов. [12]
Особенностью олигополии является взаимозависимость решений фирм по ценам и объему производства. Ни одно подобное решение не может быть принято фирмой без учета и оценки возможных ответных действий со стороны конкурентов. Действия фирм-конкурентов - это дополнительное ограничение, которое фирмы должны учитывать при определении оптимальных цены и объема производства. Не только издержки и спрос но и ответная реакция конкурентов обусловливают принятие решений. Поэтому модель олигополии должна отражать все эти три момента.
4.2. Модели олигополии
Не существует единой теории олигополии. Однако экономистами разработан ряд моделей, на которых кратко остановимся.
Модель Курно. Впервые попытка объяснить поведение олигополии была предпринята французом А. Курно в 1838 г. Его модель основывалась на следующих предпосылках:
• на рынке присутствуют только две фирмы;
• каждая фирма, принимая свое решение, считает цену и объем производства конкурента постоянными.
Допустим, что на рынке действуют две фирмы: Х и У. Как будет определять фирма Х цену и объем производства? Помимо издержек они зависят от спроса, а спрос, в свою очередь, от того, сколько продукции выпустит фирма У. Однако что будет делать фирма У, фирме Х неизвестно, она лишь может предположить возможные варианты ее действий и соответственно планировать собственный выпуск.
Поскольку рыночный спрос есть величина заданная, расширение производства фирмой вызовет сокращение спроса на продукцию фирмы Х. На рис. 4.1 показано, как сместится график спроса на продукцию фирмы Х (он будет сдвигаться влево), если фирма У начнет расширять продажу. Цена и объем производства, устанавливаемые фирмой Х исходя из равенства предельного дохода и предельных издержек, будут снижаться соответственно с Р0 до Р1, Р2 и с Q0 до Q1,Q2.
Рис. 4.1. Модель Курно. Изменение цены и объема выпуска продукции фирмой Х при расширении производства фирмой У: D - спрос; MR - предельный доход; МC - предельные издержки. [1]
Если рассматривать ситуацию с позиции фирмы У, то можно начертить подобный график, отражающий изменение цены и количества выпускаемой ею продукции в зависимости от действий, предпринятых фирмой Х.
Объединив оба графика, получим кривые реакции обеих фирм на поведение друг друга. На рис. 4.2 кривая Х отражает реакцию одноименной фирмы на изменения в производстве фирмы У, а кривая У - соответственно наоборот. Равновесие наступает в точке пересечения кривых реакций обеих фирм. В этой точке предположения фирм совпадают с их реальными действиями.
Рис. 4.2. Кривые реакции фирм Х и У на поведение друг друга
В модели Курно не отражено одно существенное обстоятельство. Предполагается, что конкуренты отреагируют на изменение фирмой цены определенным образом. Когда фирма У выходит на рынок и отнимает у фирмы У часть потребительского спроса, последняя "сдается", вступает в ценовую игру, снижая цены и объем производства. Однако фирма Х может занять активную позицию и, значительно снизив цену, не допустить фирму У на рынок. Такие действия фирмы не охватываются моделью Курно.
"Ценовая война" снижает прибыли обеих сторон. Поскольку решения одной из них влияют на решения другой, существуют основания договориться о фиксации цен, разделе рынка с целью ограничения конкуренции и обеспечения высоких прибылей. Поскольку всякого рода сговоры подпадают под антимонопольное законодательство и преследуются государством, фирмы в условиях олигополии предпочитают от них отказываться.
Так как ценовая конкуренция не выгодна никому, каждая фирма была бы готова держать более высокую цену при условии, что ее конкурент поступит аналогичным образом. Даже если изменится спрос, или сократятся издержки, или произойдут еще какие-то события, позволяющие снизить цену без ущерба для прибыли, фирма не сделает этого из опасения, что конкуренты воспримут подобный шаг как начало ценовой войны. Повышение цен также не привлекательно, так как конкуренты могут и не последовать примеру фирмы.
Реакция фирмы на изменение цен конкурентами отражена в модели изогнутой кривой спроса на продукцию фирмы в условиях олигополии. Эта модель была предложена в 1939 г. американцами. [12]
Р. Холлом, К. Хитчем и П. Суизи. На рис. 4.3 изображены кривые спроса и предельного дохода фирмы Х (выделены жирной линией). Если фирма поднимет цену выше Р0, то ее конкуренты не станут в ответ повышать цены. В результате фирма Х потеряет своих потребителей. Спрос на ее продукцию при ценах выше Р0 очень эластичен. Если же фирма Х установит цену ниже Р0, то конкуренты, скорее всего, последуют за ней, чтобы сохранить свою долю рынка. Поэтому при ценах ниже Р0 спрос будет менее эластичным.
Рис. 4.2. Модель изогнутой кривой спроса: D1,MR1 - кривые спроса и предельного дохода фирмы при ценах выше Р0 ;D2 MR2- кривые спроса и предельного дохода фирмы при ценах ниже Р0
Резкое различие в эластичности спроса при ценах выше и ниже P0 приводит к тому, что кривая предельного дохода прерывается, а это значит, что снижение цены не сможет быть компенсировано расширением объема продаж. Модель изогнутой кривой спроса дает ответ на вопрос, почему фирмы в условиях олигополии стремятся поддерживать стабильные цены, перенося конкурентную борьбу в неценовую область.
Существуют и другие модели олигополии, основанные на теории игр. Так, при определении собственной стратегии фирма оценивает вероятные прибыли и убытки, которые будут зависеть от того, какую стратегию выберет конкурент. Предположим, что фирмы A и B контролируют основную долю продаж на рынке. Каждая из них стремится увеличить объем продаж и тем самым обеспечить себе рост прибылей. Достигнуть результата можно снижением цен и привлечением дополнительных покупателей, активизацией рекламной деятельности и т.п.
Однако результат для каждой фирмы зависит от реакции конкурента. Если фирма А начнет снижать цены и фирма В последует за ней, то ни одна из них не увеличит своей доли на рынке, а их прибыли сократятся. Однако если фирма А снизит цены, а фирма В не сделает того же, то прибыли фирмы А увеличатся. Разрабатывая свою стратегию в области цен, фирма А просчитывает возможные варианты ответной реакции со стороны фирмы В (табл. 4.1).
Таблица 4.1. Влияние рыночной стратегии на изменение прибыли фирмы А (числитель) и фирмы В (знаменатель), млн грн.
Если фирма А решит снизить цены и фирма В последует за ней, прибыль фирмы А сократится на 1000 тыс. грн. Если фирма А снизит цены, а фирма В не сделает того же, то прибыль фирмы А возрастет на 1500 тыс. грн. Если фирма А не предпримет никаких шагов в области цен, а фирма В снизит свои цены, прибыль фирмы А сократится на 1500 тыс. грн. Если обе фирмы оставят цены без изменений, их прибыли не изменятся. [1]
Какую стратегию выберет фирма А? Наилучшим вариантом для нее является снижение цен при стабильности фирмы В, в этом случае прибыль возрастает на 1500 тыс. грн. Однако этот вариант является наихудшим с точки зрения фирмы В. Для обеих фирм было бы целесообразным оставить цены без изменения, при этом прибыли остались бы на прежнем уровне. Вместе с тем, опасаясь наихудшего из возможных вариантов, фирмы снизят свои цены, теряя при этом по 1000 тыс. грн. прибыли. Стратегия фирмы А на снижение цены называется стратегией наименьших потерь.
Стремлением к наименьшим потерям можно объяснить, почему фирмы в условиях олигополии предпочитают тратить значительные средства на рекламу, увеличивая свои издержки и не добиваясь при этом увеличения доли рынка.
Ни одна из приведенных выше моделей олигополии не позволяет ответить на все вопросы, связанные с поведением фирм на подобных рынках. Однако они могут быть использованы для анализа отдельных аспектов деятельности фирм в этих условиях.
5. Использование и распределение ресурсов фирмой
Как было показано выше, фирмы в условиях рынка широко применяют метод сравнения предельных дохода и издержек при принятии решений об объеме продаж и цене продукции. Тот же метод используется и при определении количества необходимых для производства продукции ресурсов, обеспечивающего фирме минимальные суммарные издержки и соответственно максимальную прибыль. Именно об этом речь пойдет ниже.
Чем определяется спрос на ресурсы со стороны отдельной фирмы? Прежде всего он зависит от спроса на готовую продукцию, производимую с использованием данных ресурсов, поэтому чем выше спрос на продукцию, тем выше и спрос на необходимые ресурсы с учетом изменения эффективности их использования. Так, в развитых странах спрос на энергоресурсы растет очень медленно. .Другим обстоятельством, влияющим на спрос ресурсов, являются их цены. Средства фирмы, направляемые на покупку ресурсов, входят в ее производственные издержки, поэтому фирма стремится использовать ресурсы в таком количестве и сочетании, которое позволит ей получать максимальную прибыль. [4]
Количество используемых фирмой ресурсов зависит от их отдачи, или производительности. Последняя подвержена действию закона убывающей отдачи. Поэтому фирма будет расширять применение ресурсов до тех пор, пока каждый дополнительный ресурс будет увеличивать ее доход в большей степени, чем издержки.
Каким образом введение в производство дополнительных ресурсов влияет на доход фирмы? Увеличение использования какого-либо ресурса приводит к увеличению выпуска продукции, а следовательно, и дохода фирмы.
5.1. Предельная доходность ресурса
Предположим, что фирма использует только один переменный ресурс. Им может оказаться труд, отдельный вид оборудования и т.п. Прирост выпуска продукции в натуральном выражении, обеспеченный за счет увеличения данного ресурса на единицу, получил название предельного продукта. Прирост дохода фирмы за счет дополнительной единицы данного ресурса называется предельной доходностью ресурса или доходом от предельного продукта MRP (англ. marginal revenue product). Как отмечалось выше, предельный продукт сначала растет, а затем начинает снижаться в соответствии с законом убывающей отдачи. Поскольку рост предельного продукта происходит на очень коротком участке, можно им пренебречь и предположить, что с самого начала он будет сокращаться. [4]
Рассмотрим предельную доходность ресурса фирмы Х (табл. 5.1). Если фирма действует в условиях совершенной конкуренции, цена произведенной продукции постоянна и не зависит от объема выпуска. Если же фирма является несовершенным конкурентом, то она вынуждена снижать цену при расширении объема сбыта. Соответственно предельная доходность ресурса фирмы-несовершенного конкурента не совпадает с предельной доходностью ресурса конкурентной фирмы.
Таблица 5.1. Предельиая доходность ресурса фирмы Х в условиях совершенной и несовершенной конкуренции на рынке продукции

Из данных табл. 5.1 видно, что скорость снижения доходности ресурса для монополиста выше, чем для чисто конкурентной фирмы, и график предельной доходности ресурса для монополиста будет иметь более крутой наклон (рис. 5.1). Это обстоятельство важно для фирмы, так как предельная доходность является одним из факторов, определяющих количество данного ресурса, которое будет использовать фирма. [1]
Но для принятия решения о расширении использования в производстве данного ресурса фирма должна не только знать, как повлияет дополнительный ресурс на увеличение ее дохода. Она всегда сравнивает доход с издержками и оценивает прибыль. Поэтому она должна определить, как покупка и использование дополнительного ресурса повлияют на увеличение издержек.
Рис. 5.1. График предельной доходности ресурса для фирмы в условиях совершенной и несовершенной конкуренции на рынке готовой продукции: МRР1, МRР2 - предельные доходности соответственно в указанных условиях; Qрес - количество используемого ресурса; Qрес - цена ресурса
5.2. Предельные издержки ресурса
Прирост издержек за счет введения в производство дополнительной единицы переменного ресурса называется предельными издержками ресурса. Когда фирма сталкивается с условиями совершенной конкуренции на ресурсном рынке, ее предельные издержки на ресурс будут равны цене этого ресурса.
Например, если небольшая фирма хочет нанять бухгалтера, то ему заплатят согласно рыночной ставке заработной платы. Поскольку спрос фирмы является лишь малой долей спроса на бухгалтеров, она не сможет повлиять на уровень их заработной платы. Предельные издержки на оплату труда для фирмы будут иметь вид горизонтальной линии.
5.3. Какое количество ресурса следует использовать?
Принцип выбора фирмой количества используемого ресурса аналогичен принципу определения оптимального объема выпуска продукции. Для фирмы будет прибыльным увеличивать количество используемого ресурса до точки, где его предельная доходность будет равна предельным издержкам на этот ресурс (рис. 5.2). В рассматриваемом примере при цене ресурса 1000 грн. фирма в условиях совершенной конкуренции на рынке готовой продукции будет использовать 6 ед. данного ресурса (график предельной доходности МRР1), а в условиях несовершенной конкуренции - только 5 ед. (график предельной доходности ресурса МRР2).
Рис. 5.2. Оптимальное количество используемого ресурса для конкурентной фирмы и для фирмы - несовершенного конкурента на рынке готовой продукции: MPR1 и MPR2 - предельные доходности ресурса для фирмы в условиях соответственно совершенной и несовершенной конкуренции на рынке готовой продукции; МСрес - предельные издержки на ресурс
Мы определили, какое количество переменного ресурса будет использовать фирма при условии, что все остальные ресурсы постоянны. Однако на практике перед фирмой стоит вопрос, каким образом скомбинировать применяемые ресурсы, чтобы получить максимальную прибыль.
5.4. Выбор варианта сочетания ресурсов
Выбор производителем варианта сочетания ресурсов, обеспечивающего минимальные издержки, напоминает выбор потребителя. Из различных наборов предлагаемых товаров, приносящих ему одинаковое удовлетворение, потребитель выбирает один, соответствующий его ограниченному бюджету.
Производитель из всех вариантов сочетания используемых ресурсов, с помощью которых можно произвести заданное количество готовой продукции, делает выбор, принимая во внимание цены ресурсов. Допустим, что используются два взаимозаменяемых ресурса. Например, фирма взяла на себя очистку городских улиц от снега. Для этой цели ей нужны дворники и снегоуборочная техника. Сколько техники и сколько дворников ей нужно, чтобы выполнить фиксированный объем работ с наименьшими затратами?
Построим график, показывающий все возможные сочетания числа машин и числа дворников. Можно использовать 4 машины и 20 человек, 2 машины и 40 человек, 1 машину и 80 человек, а также всякое иное сочетание, отмеченное любой точкой на кривой. Кривая имеет изогнутую форму: с увеличением числа дворников их предельная доходность будет убывать, а машин, наоборот, возрастать. Это происходит вследствие действия известного закона убывающей отдачи. Суммарный доход во всех точках будет одинаков и равен площади убранной территории, умноженной на стоимость уборки ее единицы (1 км2
).
График возможных вариантов сочетания двух видов ресурсов, необходимых для выполнения заданного объема работ: К - число снегоуборочных машин; L - численность дворников
Для того чтобы принять решение о том, сколько нужно машин и дворников для уборки улиц, фирме недостаточно знать только их необходимые количество и численность. Следует учитывать издержки фирмы, которые она понесет в результате применения разного количества ручного труда и машин, и определить минимальные. Издержки зависят от цены снегоуборочной техники и заработной платы дворников.
Предположим, что использование одной машины обойдется фирме в 20 тыс. грн., а наем 10 дворников - в 10 тыс. грн. Общая сумма издержек фирмы, связанных с закупкой машин и наймом дворников, может быть исчислена по формуле:
С=КРК+LPL (5.1)
где С- общие издержки фирмы, тыс. грн.; К- число машин, шт.; РК - цена машины, тыс. грн.; L - численность дворников, десятков чел.; РL - затраты на наем 10 дворников, тыс. грн.
Рис. 5.3. Возможные сочетания двух ресурсов при их одинаковой суммарной стоимости: К- число снегоуборочных машин; L - численность дворников
На рис. 5.3 изображены три графика, соответствующие трем вариантам общих издержек фирмы. Например, график С1 показывает все возможные сочетания машин и ручного труда, которые обходятся в 60 тыс. грн.; С2-в 80 тыс. и С3-в 100 тыс. Наклон графиков зависит от соотношения цены на машину и заработной платы дворника.
Чтобы определить, какие издержки будут минимальными при выполнении заданного объема работ, сравним графики, представленные на рис. 5.2 и 5.3(рис. 5.5). [1]
Кривая на рис. 5.5 наглядно показывает, что ни в точке А1, ни в точке А3, издержки фирмы не будут минимальными, они составят 100 тыс. грн., тогда как в точке А2 издержки будут равны 80 тыс. грн. Иными словами, минимум издержек будет достигнут при использовании фирмой двух снегоуборочных машин и найме 40 дворников.
Рис. 5.5. График сочетания двух ресурсов, минимизирующего издержки фирмыКак фирма может найти эту точку, не прибегая к вычерчиванию графиков? Обратим внимание, что в точке А2 наклон кривой, отражающей различные сочетания числа машин и числа дворников, необходимых для выполнения заданной работы, и прямой, показывающей эти сочетания, соответствующие данному объему затрат, совпадают.
Наклон кривой отражает соотношение предельных доходностей используемых факторов производства, а наклон прямой - соотношение цен на эти факторы. Отсюда можно сделать вывод, что фирма будет минимизировать издержки, когда отношения предельной доходности каждого ресурса к его цене будут равны:

(5.2)
где KRPK и KRPL, - предельные доходности машины и дворника; PK и PL- цена машины и заработная плата дворника
Иными словами, фирма будет минимизировать свои издержки, когда затраты на производство дополнительной единицы продукции или на выполнение дополнительного объема работ будут одинаковы, независимо от того, что она использует для этого - новую группу дворников или новую снегоуборочную машину.
Если цена одного из факторов изменится, то фирма будет минимизировать издержки при другом их сочетании.
Заключение.
Совершенная конкуренция характеризуется существованием на рынке множества мелких фирм, производящих однородную продукцию; вход в отрасль и выход из нее фирм абсолютно свободный, каждая фирма имеет свободный доступ к информации; доля каждой фирмы на рынке настолько мала, что ее решение о повышении или понижении цены не отразится на рыночной цене, поэтому она является для фирмы заданной извне.
Правило равенства предельного дохода предельным издержкам используется фирмами при любых рыночных условиях. Особенностью совершенной конкуренции является равенство предельного дохода и цены. Если рыночная цена установлена выше минимальных средних валовых издержек фирмы, то ее задачей является получение максимума прибыли. Однако фирма будет продолжать производить, когда цена ниже минимума средних валовых издержек, но не ниже средних переменных издержек. В этом случае ее задачей будет минимизация своих убытков. Если цена окажется ниже минимума средних переменных издержек, фирма предпочтет прекратить свою деятельность.
В условиях совершенной конкуренции фирмы производят такое количество продукции, которое соответствует точке пересечения кривых рыночного спроса и предложения. Кривая предложения каждой фирмы является отрезком кривой ее предельных издержек, лежащим выше кривой средних переменных издержек.
Чистая монополия предполагает, что одна фирма является единственным производителем данной продукции, не имеющей аналогов. Монополист полностью контролирует ее цену и объем выпуска.
Кривая спроса на продукцию фирмы-монополиста - наклонная и совпадает с кривой рыночного спроса. Издержки и рыночный спрос являются ограничителями, которые не позволяют монополисту произвольно устанавливать высокую цену на свою продукцию. Максимизируя прибыль, он определяет цену и объем производства исходя из равенства предельного дохода и предельных издержек. Поскольку кривая предельного дохода монополиста лежит ниже кривой спроса, он будет продавать продукцию по более высокой цене и производить ее в меньшем объеме, чем в условиях совершенной конкуренции.
Фактором, ограничивающим монопольную власть на рынке, является эластичность рыночного спроса. Чем выше эластичность, тем меньше монопольная власть, и наоборот. На степень монопольной власти влияют также количество фирм на рынке, концентрация, конкурентная стратегия.
В реальной жизни чистая монополия, так же как и совершенная конкуренция, встречается достаточно редко. Реальные рынки очень разнообразны и характеризуются условиями монополистической конкуренции, постепенно переходящей в олигополию.
При монополистической конкуренции множество мелких фирм производит разнообразную дифференцированную продукцию; вступление новых фирм в отрасль не сложно Легкое вхождение новых фирм в отрасль приводит к тенденции получения нормальной прибыли в долгосрочном периоде, когда экономическая прибыль стремится к нулю.
Олигополистические отрасли характеризуются наличием нескольких крупных фирм, каждая из которых контролирует значительную долю рынка. Особенностью олигополии является взаимная зависимость решений отдельных фирм в области объема выпуска продукции и цены на нее. Существуют разные модели, описывающие поведение олигополистов, в том числе модель Курно и модель изогнутой кривой спроса. Однако единой теории олигополии, которая могла бы объяснить все многообразие поведения фирм, нет.
Список использованной литературы
1. Экономика: учебник /под ред. А. С. Булатова.-М.: Юристь-2002.
2. Эдвин Дж. Долан. Микроэкономика. Издательство АО “Санкт-Петербург оркестр”, 1994 год.
3. Микро- и макроэкономика, практикум. АО “Литера плюс”, “Санкт-Петербург оркестр”, 1994 год.
4. Р. Нуриев, С. Авдашева. Базовые экономические понятия. Вопросы экономики № 11, 1993 год.
5. Основы рыночной экономики. Терминологический словарь. Москва, издательство МАИ, 1992 год.
6. Дж. Ф. Стенлейк. Экономикс для начинающих. Москва, издательство “Республика”, 1994 год.
7. В.М. Ковальчук Загальна економічна теорія Тернопіль “Астон” 1996
8. Макконнелл К.Р. , С.Л. Брю С.Л. Аналітична економія: Мікроекономіка /переклад з англ. С. Панчишин, О. Ватаманюк. За ред. З. Ватаманюка. – Львів: Просвіта, 1999
9. Ястремський О. , Гриценко О. Основи Мікроекономіки. – К.: Знання, 1998
10. Резникова И., Защита доходов граждан от инфляции // Глав бух. – 2001. - № 38. – с. 53 – 56.
11. Сіроштан М.А., Гри горян Г.М., Тененбаум А.Б. та ін. Політична економія: Навч. посібник. – Харків: РВВ ХДЕУ, 1998. – 344 с.
12. Сіроштан М.А., Макроекономіка: Навч. посіб. – Х.: ВД „ІНЖЕК”, 2004. – 186 с.
13. Сіроштан М.А., Нариси з економічної теорії: Навч. посібник. (, М.П. Хохлов, І.В. Калиніченко та ін.). – Харків: РВВ ХДЕУ, 1994. – 583 с.
14. Чепінога В.Г., Основи економічної теорії: Навч. посіб. – К.: Юринком Інтер, 2003. – 456 с.
15. Чухно А.А., Основи економічної теорії: Підручник/ П. С. Єщенко, Г.Н. Клименко та ін.; За ред. А.А. Чухна. – К.: Вища школа., 2001. – 606 с.
Словарь экономических терминов
Капитал
— это созданный человеком ресурс для производства товаров и услуг; это товары, которые непосредственно не удовлетворяют потребности человека, инвестиционные товары, средства производства.
Конкуренция
— состязательность предпринимателей, когда их самостоятельные действия ограничивают возможности каждого их них влиять на общие условия реализации товара на рынке и стимулируют производство тех товаров, в которых нуждается потребитель;
Многоотраслевой концерн
— это объединение десятков и даже сотен предприятий различных отраслей промышленности, транспорта, торговли, участники которого теряют собственность на средства производства и произведенный продукт, а главная фирма осуществляет над другими участниками объединения финансовый контроль.
Монополии
— это крупные хозяйственные объединения, находящиеся как в частной, так в коллективной собственности и осуществляют контроль над отраслями, рынками и экономикой, на основе высокой степени концентрации производства и капитала с целью установления монопольных цен и извлечения высоких прибылей.
Монополистическая конкуренция
— это рыночная структура, при которой большое количество производителей противостоит многочисленным покупателям; сочетает в себе элементы свободной конкуренции с небольшой дозой монопольной власти.
Монопольная деятельность
— действия (бездеятельность) предпринимателя (предпринимателей) при условии монопольного положения на рынке одного предпринимателя (группы предпринимателей) в производстве и реализации товаров, а также действия (бездеятельность) органов власти и управления, направленные на недопущение, существенное ограничение или устранение конкуренции;
Монопольная цена
— это верхняя цена, за которую монополист может продать товар или услугу и которая содержит в себе максимальную монопольная сверхприбыль от использования (злоупотребления) монопольного положения.
Монопольное образование
— предприятие, объединение или хозяйственное общество и другое образование, занимающее монопольное положение на рынке.
Монопольное положение
— доминирующее положение предпринимателя, дающее ему возможность самостоятельно или вместе с другими предпринимателями ограничивать конкуренцию на рынке определенного товара. Монопольным признается положение предпринимателя, доля которого на рынке определенного товара превышает 35%. Решением Антимонопольного комитета Украины может определиться монопольным положение предпринимателя, доля которого на рынке определенного товара менее 35%.;
Олигополией
называют тип рынка, на котором несколько фирм контролируют его основную часть. При этом номенклатура продукции может быть как небольшой (нефть), так и достаточно обширной (автомобили, химическая продукция).
Предельными издержками ресурса
называют прирост издержек за счет введения в производство дополнительной единицы переменного ресурса.
Прибыль
– это вознаграждение капиталиста за недоиспользование собственного капитала и за риск, который существует при вложении средств.
Рынок товара (товарный рынок)
— сфера оборота товара одной потребительской стоимости, в пределах которой определяется монопольное положение;
Совершенная конкуренция
— это рынок на котором многочисленные производители, свободно входящие и выходящие из него предлагают многочисленным покупателям какой-либо однородный или стандартизированный товар; фирма производитель не влияет на цену, а лишь приспосабливается к ней.
Экономическая прибыль
– прибыль, которая остается у предпринимателя после вычета из общей выручки как внешних, так и внутренних издержек.
|