|
Міністерство освіти та науки України
КУРСОВА РОБОТА
З Економіки підприємств
на тему:
„Продуктивність праці: економічна суть, методи вимірювання та планування росту за техніко-економічними факторами.”
2007р.
|
ПЛАН
ЗМІСТ
ВСТУП
1. СУТНІСТЬ
ПОНЯТТЯ „ПРОДУКТИВНІСТЬ” І „ПРОДУКТИВНІСТЬ ПРАЦІ”.
2.
ПОКАЗНИКИ І МЕТОДИ ВИМІРЮВАННЯ ПРОДУКТИВНОСТІ ПРАЦІ.
3. ПЛАНУВАННЯ РОСТУ ПРОДУКТИВНОСТІ ПРАЦІ.
4. ВИЗНАЧЕННЯ ТРУДОЄМНОСТІ РІЧНОЇ ВИРОБНИЧОЇ ПРОГРАМИ.
ВИСНОВКИ.
СПИСОК ВИКОРИСТАНОЇ ЛІТЕРАТУРИ.
ВСТУП
Основною проблемою економічної теорії і господарської практики є аналіз співвідношення результатів і витрат, що в загальному розумінні називається ефективністю.
Витрати
визначаються обсягом використаних економічних ресурсів. Як відомо, економічні ресурси поділяють на три груп:
1) робоча сила (трудовий потенціал, людський капітал);
2) компоненти природних ресурсів (земля та сировина);
3) компоненти засобів виробництва (фізичний капітал).
Результати
характеризуються обсягами та вартістю виробленої та реалізованої продукції, показниками конкурентоспроможності, розмірами прибутку.
Якщо у розрахунку ефективності результати визначаються обсягом продукції, то одержаний показник називається продуктивністю.
Розвиток економіки, підвищення національного добробуту залежить від подальшого підвищення продуктивності.
Національний дохід або валовий національний продукт, у разі підвищення продуктивності збільшується швидше, ніж показники витрат. Зниження ж продуктивності
призводить до інфляції, пасивного торговельного балансу, повільних темпів зростання або спаду виробництва і до безробіття. Така ситуація нині характерна для України! Рівень продуктивності праці у народному господарстві та промисловості країни досить низький. Останнім часом спостерігається тенденція до його зниження, і згідно з розрахунками він становить у промисловості приблизно 10% від рівня продуктивності праці в США.
Схематично залежність результатів виробництва і ситуації в країні від низької продуктивності представлена моделлю «пастки» низької продуктивності. Модель відображає причинний зв'язок між багатьма змінними і чинниками, які впливають на продуктивність.
Забиваем Сайты В ТОП КУВАЛДОЙ - Уникальные возможности от SeoHammer
Каждая ссылка анализируется по трем пакетам оценки: SEO, Трафик и SMM.
SeoHammer делает продвижение сайта прозрачным и простым занятием.
Ссылки, вечные ссылки, статьи, упоминания, пресс-релизы - используйте по максимуму потенциал SeoHammer для продвижения вашего сайта.
Что умеет делать SeoHammer
— Продвижение в один клик, интеллектуальный подбор запросов, покупка самых лучших ссылок с высокой степенью качества у лучших бирж ссылок.
— Регулярная проверка качества ссылок по более чем 100 показателям и ежедневный пересчет показателей качества проекта.
— Все известные форматы ссылок: арендные ссылки, вечные ссылки, публикации (упоминания, мнения, отзывы, статьи, пресс-релизы).
— SeoHammer покажет, где рост или падение, а также запросы, на которые нужно обратить внимание.
SeoHammer еще предоставляет технологию Буст, она ускоряет продвижение в десятки раз,
а первые результаты появляются уже в течение первых 7 дней.
Зарегистрироваться и Начать продвижение
Як свідчить зарубіжний досвід, змінити таке становище можливо лише підвищенням продуктивності не тільки за рахунок оптимального використання ресурсів, а й створенням рівноваги між економічною, соціальною та політичною структурами суспільства.
Підвищення продуктивності
є вираженням загального економічного закону, економічною необхідністю розвитку суспільства і має такі цілі:
• стратегічну
— підвищення життєвого рівня населення. За рахунок зростання продуктивності в країнах, що переходили до ринкової економіки, досягалося від 40 до 90% життєвого рівня;
• найближчу —
підвищення ефективності діяльності галузей і підприємства і також реальне зростання особистих доходів працівників.
1.СУТНІСТЬ
ПОНЯТТЯ „ПРОДУКТИВНІСТЬ” І
„ПРОДУКТИВНІСТЬ ПРАЦІ”.
Згідно з рекомендаціями Міжнародної організації праці (МОП) розрізняють поняття «продуктивність» і «продуктивність праці».
Продуктивність
—
це ефективність використання ресурсів — праці капіталу, землі, матеріалів, енергії, інформації — під час виробництва різних товарів і надання послуг. Вона відбиває взаємозв'язок між кількістю і якістю вироблених товарів або наданих послуг і ресурсами, які були витрачені на їх виробництво. Продуктивність дає змогу порівнювати виробництво на різних рівнях економічної системи (на рівні окремого індивіда, цеху, підприємства, організації, галузі й держави) з використаними ресурсами. Під час їхньої оцінки необхідно враховувати зростання вартості енергії, сировини, витрат, пов'язаних з безробіттям тощо.
Більш висока продуктивність
означає збільшення обсягу продукції за тих самих витрат, при цьому необхідно враховувати потреби цієї чи іншої продукції на ринку, в суспільстві.
Зауважимо, що на зарубіжних підприємствах оцінюється тільки та продукція, яка куплена, а не просто вироблена.
Продуктивність можна розглядати як загальний показник, що
характеризує ефективність використання ресурсів для виробництва продукції. Проте сучасна економічна теорія стверджує, що точно визичити роль і частку витрат тих чи інших ресурсів, використаних на виробництво продукції, неможливо. Тому для визначення ефективності виробництва найчастіше використовують показник продуктивності праці
, хоча це не означає, що тільки праця є джерелом продуктивності.
Продуктивність праці
відбиває ступінь ефективності процесу праці. У її визначенні вихідною категорією є праця.
Праця
—
це доцільна, свідома, організована діяльність людей, спрямована на створення матеріальних і духовних благ, необхідних для задоволення суспільних і особистих потреб людей. Зміст і характер праці залежать від ступеня розвитку продуктивних сил і виробничих відносин.
Сервис онлайн-записи на собственном Telegram-боте
Попробуйте сервис онлайн-записи VisitTime на основе вашего собственного Telegram-бота:
— Разгрузит мастера, специалиста или компанию;
— Позволит гибко управлять расписанием и загрузкой;
— Разошлет оповещения о новых услугах или акциях;
— Позволит принять оплату на карту/кошелек/счет;
— Позволит записываться на групповые и персональные посещения;
— Поможет получить от клиента отзывы о визите к вам;
— Включает в себя сервис чаевых.
Для новых пользователей первый месяц бесплатно.
Зарегистрироваться в сервисе
Розрізняють конкретну й абстрактну працю. Конкретна праця
—
це доцільно спрямована діяльність людини, результатом якої є створення певної споживної вартості.
Абстрактна праця
—
це витрати людської енергії, частка затрат суспільної праці безвідносно до тієї конкретної форми, в якій вона здійснюється.
Подвійність поняття «праця» зумовлює і подвійність її змісту. Змістом конкретної праці є
кількісний і якісний склад трудових функцій (відмінність у професіях, рівні кваліфікації працівників тощо), їх співвідношення і взаємозв'язок у конкретному процесі праці.
Отже, конкретна праця виражає й техніко-технологічний аспект. Техніко-технологічний зміст праці індивідуальний на кожному робочому місці і перебуває під впливом перетворень у техніці, технології, змін предметів праці тощо.
Абстрактна праця
характеризується соціально-економічним змістом, тобто ступенем і способом затрат робочої сили, а також суспільно-економічними відносинами, в яких здійснюється процес праці (тривалість робочого дня, оплата праці, вимоги до підготовки працівника тощо).
Розглядають ще поняття «змістовність» праці, що характеризує рівень складності, різноманітності виконуваних трудових функцій, самостійності працівника в трудовому процесі.
Система виробничих відносин визначає характер праці. Розрізняють загальні й часткові ознаки праці.
Загальні ознаки праці
визначаються передусім формою власності і відображають відношення працівників до засобів виробництва, до продукту своєї праці. Вони виявляються також у суспільній природі праці, у ступені примушування до праці. З урахуванням цих ознак праця може бути відчуженою і не відчуженою від процесу виробництва і його результатів, безпосередньо і опосередковано суспільною, вільною і вимушеною.
Часткові ознаки
характеризують специфічні особливості функціонування робочої сили. За цими ознаками розрізняють види праці залежно від:
• способу здійснення — розумова й фізична;
• кінцевого результату праці — продуктивна й непродуктивна;
• рівня складності праці — складна й проста;
• рівня творчості — творча й нетворча.
Зміст і характер праці тісно взаємозв'язані. Вони взаємообумовлюють один одного і змінюються під впливом розвитку продуктивних сил і виробничих відносин у суспільстві.
З'ясовуючи економічний зміст продуктивності праці, треба мати на увазі, що праця, яка витрачається на виробництво тієї чи іншої редукції, складається з:
• живої праці, яка витрачається в даний момент безпосередньо в процесі виробництва даної продукції;
• минулої праці, уречевленої у раніше створеній продукції, яка використовується тією чи іншою мірою для виробництва нової проекції (сировина, матеріали, енергія — повністю, машини, споруди ,тощо — частково).
Продуктивність праці
—
це ефективність затрат конкретної праці, яка визначається кількістю продукції, виробленої за одиницю робочого часу, або кількістю часу, витраченого на одиницю продукції.
Тобто вона показує співвідношення обсягу вироблених матеріальних або нематеріальних благ та кількості затраченої на це праці. Зростання продуктивності праці означає збільшення кількості продукції, виробленої за одиницю часу, або економію робочого часу, витраченого на одиницю продукції
.
Рівень продуктивності праці характеризується показником виробітку,
який показує кількість продукції, що вироблена за одиницю часу. Оберненим до виробітку є показник трудомісткості.
У процесі виробництва функцією живої конкретної праці є створення нової вартості, а також перенесення робочого часу, матеріалізованого в речових елементах виробництва, на створюваний продукт. Тому продуктивність праці відображає ефективність як живої, так і сукупної (живої та уречевленої) праці. Розрізняють поняття індивідуальної (живої праці) й суспільної (живої та уречевленої) праці.
Продуктивність праці тісно пов'язана з її інтенсивністю.
Остання характеризує ступінь напруженості праці за одиницю часу і вимірюється кількістю витраченої енергії людини. Чим вищий рівень інтенсивності праці, тим вища її продуктивність. Максимальний рівень інтенсивності визначається фізіологічними й психічними можливостями людського організму. Отже, інтенсивність праці має фізіологічні межі, тобто не може бути необмеженою. У зв'язку з цим виникає поняття нормальної інтенсивності.
Воно означає такі затрати життєвої енергії протягом робочого часу зміни, які забезпечують необхідні умови для повноцінного функціонування організму й повного відновлення працездатності до початку нового трудового дня.
Таким чином, інтенсивність праці є важливим фактором продуктивності, проте має певну фізіологічну межу і потребує дотримання фізіологічних норм людської енергії.
2.ПОКАЗНИКИ І МЕТОДИ ВИМІРЮВАННЯ
ПРОДУКТИВНОСТІ ПРАЦІ.
Важливою передумовою визначення результативності праці є правильне обчислення рівня і динаміки продуктивності праці в усіх сферах економіки.
Вимірювання продуктивності праці має грунтуватися на розумінні її економічного змісту, визначенні показників, які можуть характеризувати рівень продуктивності праці у часі і просторі.

Методи обліку продуктивності праці мають відповідати таким вимогам:
• одиниця виміру не може викривляти показники продуктивності праці;
• повністю враховувати фактичний обсяг робіт і затрати робочого часу;
• забезпечувати єдність методів вимірювання продуктивності праці;
• показники продуктивності праці мають бути наскрізними, зведеними, порівняльними, мати високий ступінь узагальнення, бути універсальними у застосуванні.
Розрізняють продуктивність у масштабі суспільства, регіону, галузі, підприємства, організації, цеху, виробничої дільниці, бригади й окремого працівника.
Продуктивність праці вимірюється відношенням обсягу виробленої продукції до затрат праці (середньооблікової чисельності персоналу). Залежно від прямого або оберненого відношення маємо два показники: виробіток і трудомісткість.
Виробіток
—
це кількість виробленої продукції за одиницю часу або кількість продукції, яка припадає на одного середньооблікового працівника або робітника за рік, квартал, місяць. Він вимірюється відношенням кількості виробленої продукції до величини робочого часу, витраченого на його виробництво.
де В
— виробіток;
Т
— затрати робочого часу;
Q
— обсяг виробленої продукції.
На підприємствах виробіток може визначатися різними способами залежно від того, якими одиницями вимірюється обсяг продукції і затрати праці. Це такі способи:
1.Натуральний
– ділення обсягу виробленої продукції у фізичних одиницях на кількість затраченого часу в нормо-годинах.
2.Вартісний
- ділення обсягу виробленої продукції у гривнях на затрати часу, що виражені в середньо- списковій чисельності робітників або відпрацьованих ними кількості людино-днів;-годин.
3.Трудовий
- ділення обсягу виробленої продукції, представленої в затратах робочого часу в нормо-годинах на кількість працівників.
Трудомісткість
—
це показник, який характеризує затрати часу на одиницю продукції (тобто величина обернена до виробітку):

де Тр
— трудомісткість на одиницю продукції.
Чим більший виробіток продукції за одиницю часу, або чим менші затрати часу на одиницю продукції, тим вищий рівень продуктивності праці. Проте відсоток підвищення виробітку не рівнозначний відсотку зниження трудомісткості. Співвідношення між ними виражається так:
% зниження трудомісткості = % підвищення виробітку / (100 + %
підвищення виробітку)- 100;
% підвищення виробітку = % зниження трудомісткості / (100 - %
зниження трудомісткості)- 100.
Виробіток є найпоширенішим і універсальним показником. У масштабі економіки рівень продуктивності праці (виробітку) у сфері матеріального виробництва визначається відношенням величини знову створеної вартості — національного доходу — за певний період до середньооблікової чисельності персоналу, зайнятого у сфері матеріального виробництва протягом цього періоду. У сфері послуг продуктивність праці (виробіток) визначається відношенням вартості послуг без вартості матеріальних витрат на їх надання за певний період до середньооблікової чисельності персоналу сфери послуг за цей самий період.
Розрізняють показники виробітку залежно від одиниці виміру робочого часу:
• виробіток на одну відпрацьовану людино-годину — годинний;
• виробіток на один відпрацьований людино-день — денний;
• виробіток на одного середньооблікового працівника — річний (квартальний, місячний).
Годинний
виробіток характеризує продуктивність праці за фактично відпрацьований час.
Денний
залежить також від тривалості робочого дня і використання робочого часу всередині зміни. На його рівень впливають внутрішньозмінні простої та збитки часу.
Річний
виробіток ураховує не тільки внутрішньозмінні, а й цілодобові простої.
Залежність між цими показниками може бути виражена так:
1)Індекс денного виробітку = Індекс годинного виробітку - Індекс використання робочого часу протягом зміни;
2)Індекс річного виробітку = Індекс денного виробітку - Індекс кількості явочних днів протягом року.
Методи вимірювання продуктивності праці
(виробітку) залежать від способу визначення обсягів виробленої продукції. Розрізняють натуральний, трудовий і вартісний (грошовий) методи.
Сутність натурального методу
полягає в тому, що обсяг виробничої продукції і продуктивність праці розраховуються в натуральних одиницях (штуках, тоннах, метрах тощо).
Цей метод має широке застосування всередині підприємства: на робочих місцях, у бригадах, на окремих дільницях тих галузей, які виробляють однорідну продукцію (електроенергетика, видобувні галузі промисловості).
Якщо підприємство (цех, дільниця, бригада) випускає продукцію, котра має одне й те саме призначення, проте відрізняється за якоюсь однією ознакою, виробіток можна розрахувати за допомогою умовно-натуральних одиниць. Натуральний метод має обмежене застосування, оскільки підприємства і галузі випускають здебільшого різнорідну продукцію. Окрім цього, за даного методу не можна усувати змін обсягу незавершеного виробництва, яке в деяких галузях має велику частку в загальному обсязі продукції (будівництво, суднобудівництво та ін.).
Трудовий метод
найчастіше використовується на робочих місцях, у бригадах, на виробничих дільницях і в цехах, де обсяг робленої продукції або виконаних робіт визначається в нормо годинах. За науково обгрунтованих і на певний період незмінних норм цей метод достатньо точно характеризує зміни продуктивності праці.
Трудовий метод має обмежене застосування, оскільки він базується на використанні незмінних норм, що суперечить необхідності перегляду норм у міру здійснення організаційно-технічних заходів. Окрім того, досі на підприємствах розраховується здебільшого технологічна трудомісткість, яка виражає затрати часу лише основних робітників. І самі норми трудових затрат для них часто не порівняльні у зв'язку з різним ступенем їх обгрунтованості. Відсутні науково обгрунтовані нормативи праці на окремі види робіт або трудові функції.
У сучасних умовах найпоширенішим методом вимірювання продуктивності праці є вартісний (грошовий),
який грунтується на використанні вартісних показників обсягу продукції (валова, товарна продукція, валовий оборот, нормативна вартість обробки, чиста, нормативно-чиста й умовно-чиста продукція, валовий дохід).
Перевага вартісного методу полягає в можливості порівняння різнорідної продукції з витратами на її виготовлення як на окремому підприємстві або в галузі, так і економіки в цілому. У зв'язку з цим вартісний метод застосовується на всіх етапах планування й обліку як на галузевому, так і на територіальному рівнях.
Показники продуктивності праці, розраховані за валовою і товарною продукцією, мають схожі переваги і недоліки. Недоліки полягають передусім у тому, що рівень виробітку більшою мірою обумовлений затратами минулої (уречевленої) праці, ніж затратами живої праці. На величину виробітку і його динаміку побічний вплив чинять зміни асортименту продукції, її матеріаломісткість і трудомісткість, зміни обсягу кооперованих поставок, обсягу незавершеного виробництва, відмінності і динаміка цін на продукцію. Під час обчислення валової або товарної продукції часто має місце повторність розрахунку у зв'язку з тим, що вартість продукції підприємства, яке постачає цю продукцію, впливає на величину продуктивності підприємства, яке її використовує.
3. ПЛАНУВАННЯ РОСТУ ПРОДУКТИВНОСТІ ПРАЦІ
У ринковій економіці підвищення продуктивності праці
— основний чинник вирішення економічних проблем підприємства.
Зміна співвідношення між затратами робочого часу і кількістю виробленої продукції характеризує рух продуктивності праці
. Рівень і динаміка продуктивності праці визначаються складною взаємодією чинників: матеріально-технічних, організаційних, економічних, соціальних, природнокліматичних, структурних.
Для планування продуктивності праці на підприємстві можуть використовуватися вартісні й натуральні показники виробництва. Проте вимірювання продуктивності в натуральних одиницях практично не застосовується через різноманітність і непорівнянність продукції. Вона часто обновлюється, змінюються її споживчі властивості. Цим пояснюється повсюдне використання вартісних показників. Під час планування продуктивності праці визначають рівень, темпи і фактори її зростання.
Метою планування зростання продуктивності є:
• розрахунок основних техніко-економічних показників виробничо-господарської діяльності підприємства на стадії підготовки і порівняння варіантів проекту плану;
• найповніший облік ефективності впровадження заходів плану технічного й організаційного розвитку виробництва;
• визначення ролі й завдань окремих служб, відділів та інших виробничих підрозділів у підвищенні продуктивності праці;
• аналіз динаміки зростання продуктивності праці.
Планування росту продуктивності праці здійснюється такими методами:
· Методом прямого рахунку;
· Пофакторним методом;
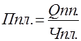
Перший метод передбачає визначення планового рівня продуктивності праці за формулою:

де Q
пл.
– запланований обсяг випуску продукції у вартісному виразі або в натуральних одиницях;
Чпл.
– планова чисельність промислово-виробничого персоналу
Найпоширенішим методом планування показника підвищення продуктивності праці є пофакторний метод
, тобто метод планування за факторами зростання продуктивності праці.
Відповідно фактори зростання продуктивності праці
– це вся сукупність рушійних сил і чинників, що ведуть до збільшення продуктивності праці. Вивчення цих факторів і пошук резервів зростання продуктивності праці є важливим завданням економічної теорії і практики.
Розрахунок планового рівня продуктивності праці здійснюється в декілька етапів:
І. Обчислення економії робочої сили під впливом техніко-економічних факторів.
Усі техніко-економічні фактори
, що впливають на підвищення продуктивності праці, можна поділити на такі:
1)
підвищення технічного рівня виробництва;
2)
структурні зрушення у виробництві, тобто зміна частки окремих видів продукції в загальному обсязі виробництва;
3)
удосконалення управління організації виробництва і праці;
4)
зміна обсягу виробництва продукції;
5)
галузеві фактори, наприклад зміна гірничо-геологічних умов, вміст корисних речовин у руді тощо;
6)
уведення в дію і освоєння нових об'єктів.
Підвищення технічного рівня виробництва.
Економія робочої сили під впливом цього фактору обчислюється так:

де t
1
і t
2
– трудомісткість виготовлення одного виду продукції відповідно до і після впровадження технічного заходу ;
N
пл.
– плановий обсяг випуску продукції;
Фд.
– дійсний річний фонд робочого часу одного робітника в плановому році;
Квн.
– коефіцієнт виконання норми;
Кч.
- коефіцієнт часу, який визначається шляхом ділення кількості місяців дії заходу в плановому році на 12.
Структурні зрушення у виробництві.
Зміна чисельності робітників за рахунок структурних зрушень у виробничій програмі знаходять за формулою:
 де Тб.
і Тпл
. – відповідно трудомісткість 1 млн. грн. продукції в базовому і плановому періодах;
Q
пл.
- обсяг випуску продукції по плану.
Зменшення чисельності робітників за рахунок збільшення питомої ваги кооперативних поставок обчислюють за формулою:

де Ппл
. і Пб.
- питома вага кооперативних поставок в базовому і плановому періодах;
Чб
. – базова чисельність робітників,
Удосконалення управління організації виробництва і праці.
Економія чисельності працюючих за рахунок вдосконалення управління виробництвом визначається:

де ∑ЧСб.
– сумарна чисельність керівників, службовців, спеціалістів в базовому році,чол.
∑ЧСнорм.
- сумарна чисельність керівників, службовців, спеціалістів по прогресивних нормах, прийнятих в плановому періоді,чол.
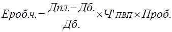
Економію чисельності робітників в результаті покращення використання робочого часу(Ероб.ч
.) можна обчислити:
де Дб.
і Дпл.
– число робочих днів, відпрацьованих в середньому одним робітником відповідно в базовому і плановому періодах;
Ч
’
пвп
– вихідна чисельність ПВП, скорегована з врахуванням впливу структурних зрушень у виробництві, чол..
Проб
. – питома вага робітника в базовій чисельності ПВП, %.
Зміна обсягу виробництва продукції.
Відносне зменшення чисельності працівників при збільшенні обсягу виробництва(Еобсяг.вир
.) визначається за формулою:

де Чб.ум-пости
– базова чисельність умовно-постійного персоналу (ПВП мінус основні робітники),чол.;
∆
Q
– приріст обсягу виробництва, %
∆Чум-пост
– приріст чисельність умовно-постійного персоналу, %.
Галузеві фактори.
Відносна економія робочої сили по даній групі факторів(Егал.ф
.) може визначається за формулою:

де t
б
. і t
пл.
–трудомісткість видобутку або виробництв одиниці продукції в базових і планових умовах виробництва, н-годю;
N
пл.
– плановий обсяг виробництва, натур. один;
Фпл.
– плановий фонд робочого часу одного робітника, год.
Введення в дію і освоєння нових об'єктів.
Зміна чисельності робітників визначається як різниця між чисельністю, що планується для нових підприємств (вона встановлюється на основі технічних проектів) і тією чисельністю, яка була б необхідна для випуску продукції на нових підприємствах при базовій продуктивності праці по міністерству в цілому.
Загальна економія чисельності працівників (Езаг.
) знаходиться як сума економії чисельності по кожному з перерахованих факторів.
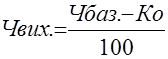
ІІ.
Визначення вихідної чисельності промислово-виробничого персоналу в плановому періоді:

де Ко
– темпи росту обсягу виробництва в плановому періоді, %
ІІІ.
Визначення планової чисельності працюючих
шляхом віднімання від вихідної їх чисельності в плановому період(Чвих
.) загальної величини їх зменшення(Езаг
).
І
V
.
Розрахунок приросту продуктивності праці(∆Пп.пл.) в плановому періоді:

Якщо по підприємству є відомою зміна трудомісткості виробничої програми
в цілому, то можливу зміну продуктивності праці по підприємству в плановому році можна обчислити за формулою:
де ∆Пп. –
можливий приріст або зниження продуктивності праці в плановому періоді, %
∆Тпрогр. –
процент зменшення або збільшення трудомісткості виробничої програми в плановому періоді:

де Ероб.часу
– економія (зростання) затрат робочого часу на виконання виробничої програми в плановому періоді, н-год.;
Тпрогр.б.
- трудомісткість виробничої програми в базовому році, н-год.
Важливим елементом економічного аналізу є розрахунок можливого приросту продукції за рахунок росту продуктивності праці. Цей розрахунок можна здійснити, користуючись залежністю:

де ∆
Qпп.
– приріст обсягу випуску продукції за рахунок підвищення продуктивності праці, %;
∆Ч
– приріст чисельності, %;
∆
Q
– приріст обсягу виробництва, %
Визначаючи кількісний вплив окремих факторів на підвищення продуктивності праці, слід виходити із відносної економії чисельності працівників за рахунок впливу того чи іншого фактора або їх сукупності.
Вихідним показником всіх планово-економічних розрахунків є необхідна чисельність промислово-виробничого персоналу (умовна
), розрахована на основі показників базисного виробітку і запланованого обсягу виробництва, тобто вона дорівнює базисній чисельності, помноженій на показник темпу зростання запланованого обсягу продукції.
Вплив можливої економії робочої сили на підвищення продуктивності праці за окремими факторами і в цілому визначається за допомогою показника умовної планової чисельності, зменшеної за рахунок усіх факторів.
Відмінності в умовах виробництва на підприємствах, а також особливості впливу на зростання продуктивності праці окремих чинників зумовлюють різноманітність розрахунків економії чисельності за окремими факторами. Однак можна визначити певні загальні принципи цих розрахунків:
• необхідність урахування поправки на строк упровадженого заходу;
• в тих випадках, коли впроваджуваний захід стосується тільки частини робітників, результат множиться на відповідну частку робітників у загальній їх чисельності;
• за послідовного впровадження заходів, спрямованих на економію чисельності працівників, застосовується ступінчастий метод розрахунку, тобто наступна величина зменшення відноситься не до первісної чисельності працівників, а до скороченої в результаті упровадження попередніх заходів.
Вплив вивільнення чисельності за рахунок кожного фактора визначаємо:

де Еі
–– економія чисельності працюючих за даним фактором, осіб;
Чп
— умовна чисельність працюючих, розрахована на запланований обсяг виробництва за виробітком базисного року, осіб;
Езаг
— економія чисельності промислово-виробничого персоналу, осіб;
На рівень продуктивності праці впливають структурні зрушення у виробництві.
Оскільки збільшення планових обсягів виробництва по окремих цехах неоднакове, остільки умовна чисельність працюючих, розрахована в цілому по підприємству, і сума умовної чисельності по цехах різнитиметься:
Ечп = Чбаз · Коб · Чп
де Ечп
— відносна економія чисельності промислово-виробничого персоналу;
Чбаз
— чисельність промислово-виробничого персоналу в окремих структурних підрозділах у базисному періоді, осіб;
Коб
— коефіцієнт збільшення обсягу виробництва продукції у плановому періоді;
Чп
— умовна чисельність промислово-виробничого персоналу, розрахована в цілому по підприємству.
Важливим фактором зростання продуктивності праці є підвищення технічного рівня виробництва
, що досягається за рахунок комплексної механізації й автоматизації виробничих процесів, упровадження передової технології, модернізації діючого устаткування, зміни конструкції і технічних характеристик виробів, підвищення якості продукції, поліпшення використання матеріалів, палива та інших енергоресурсів, упровадження нових, ефективніших видів сировини, матеріалів та енергоресурсів
Вплив комплексної механізації та автоматизації на економію праці в деяких випадках можна визначити прямим розрахунком. Вплив удосконалення організації виробництва і праці
на підвищення продуктивності найчастіше виявляється за такими напрямами:
· удосконалення управління виробництвом, скорочення втрат робочого часу (зменшення простоїв, невиходів на роботу);
· збільшення норм і зон обслуговування; скорочення втрат від браку;
· зміни в спеціалізації виробництва, не пов'язані з впровадженням нової техніки;
· впровадження прогресивних форм організації праці;
· зменшення кількості робітників, які не виконують норми виробітку, тощо.
Вплив на зростання продуктивності праці зміни обсягу і структури виробництва
здійснюється за такими напрямами, як зміна обсягу виробництва продукції, зміна питомої ваги окремих видів продукції тощо. Необхідно наголосити, що пропорційно до збільшення обсягу виробництва коливається лише чисельність основних робітників, і значно меншою мірою — чисельність інших категорій промислово-виробничого персоналу.
Даний метод планування зростання продуктивності праці є досить поширеним.
Проте він має і серйозні вади, оскільки розрахунок підвищення продуктивності праці за факторами найчастіше завищує планову чисельність робітників, що негативно впливає на підвищення продуктивності праці.
У методиці планування необхідно подолати існуючі вади, а головне — зробити її не статичною,
а засобом установлення оптимального плану, який би забезпечував необхідне зростання продуктивності праці за мінімальних затрат. Доцільно було б розширити практику планування підвищення продуктивності праці на основі розрахунку ефективності організацій-но-технічних заходів, спрямованих на зниження трудомісткості і поліпшення використання робочого часу.
Під час планування зростання продуктивності праці за таким методом можна використовувати показники зниження технологічної трудомісткості і зміни частки основних робітників у загальній чисельності промислово-виробничого персоналу; зниження повної трудомісткості.
Основними техніко-економічними показниками, які використовуються під час планування підвищення продуктивності праці, можуть бути:
• нормована, фактична і планова трудомісткість усієї виробничої програми, а також розрахованої на одиницю продукції, що випускається;
• зниження трудомісткості від упровадження запланованих організаційно-технічних заходів;
• чисельність працівників за категоріями;
• баланс робочого часу працівників у базисному і плановому періодах.
Визначається залежність між показниками годинного, денного і річного виробітку, а також між виробітком робітників і працюючих.

де Іпг
— індекс годинної продуктивності праці;
Ттехнол
—
трудомісткість технологічна планового обсягу робіт, розрахована за фактичними затратами праці;
Тз
— зниження затрат праці від упровадження організаційно-технічних заходів.
Розраховуючи місячну і річну продуктивність праці, слід урахувати середню кількість відпрацьованих годин за зміну середньо-обліковим працівником, а також середню кількість явочних днів одного середньооблікового працівника в плановому і базисному періодах.
Індекс зростання річної (місячної) продуктивності праці визначається за формулою:
Іпр = Ірг · Ізмф · Іяв дн
,
де Іпр
— індекс річної продуктивності праці;
Ізмф
— індекс використання змінного фонду робочого часу;
Іяв дн
— індекс зміни кількості явочних днів за рік у середньооблікового працівника.
При цьому:
де Фпл
і Фб
–– відповідно середня кількість відпрацьованих годин за зміну середньообліковим працівником у плановому і базовому періодах, год.;
Щоб розрахувати денну або річну (місячну) продуктивність праці на основі повної трудомісткості, необхідно індекс годинної продуктивності праці скоригувати на індекс використання змінного і річного фонду робочого часу працюючих. Визначаючи підвищення продуктивності праці працівників за годинною продуктивністю, яка розрахована на основі виробничої, або технологічної, трудомісткості, необхідно врахувати вплив зміни структури кадрів виробничих або основних робітників.
4.ВИЗНАЧЕННЯ ТРУДОЄМНОСТІ РІЧНОЇ ВИРОБНИЧОЇ
ПРОГРАМИ
Для того, щоб знайти трудоємність програми по видах і розрядах робіт
слід помножити обсяг річної програми на трудоємність виробу певного розряду кожного виду робіт.
Результати розрахунків заносимо в таблицю 1.
Таблиця 1
Трудоємність річної виробничої програми
| №
з/п
|
Вид і розряд робіт
|
Трудоємність
виробу,н-год
|
Річна програма, шт
|
Трудоємність програми по видах і розрядах робіт,н-год
|
| 1
|
Складальні роботи - всього в тому числі по розрядах:
III
розряд
VI
розряд
|
3,1
3,2
|
33000
|
102300
105600
|
| 2
|
Монтажні роботи - всього в тому числі по розрядах:
III
розряд
I
V
розряд
V
розряд
|
0,8
2,6
1,0
|
26400
85800
33000
|
| 3
|
Налагоджувальні і ремонтні роботи всього
VI
розряд
|
0,7
|
23100
|
| 4
|
Разом усіх видів робіт
|
11,4
|
33000
|
376200
|
ВИСНОВКИ
Кожне підприємство характеризується певним рівнем продуктивності праці, який може зростати або знижуватися під дією різноманітних чинників. Саме підвищення продуктивності праці є безперечною умовою прогресу і розвитку виробництва.
В умовах посиленої конкуренції на ринках товарів, послуг і праці великого значення набуває підвищення продуктивності праці на підприємствах
, яке виявляється передусім у збільшенні маси продукції, що виробляється в одиницю часу за незмінної її якості, або в підвищенні якості і конкурентоспроможності за незмінної її маси, що виробляється в одиницю часу; зменшенні затрат праці на одиницю продукції. Це призводить до зміни співвідношення затрат живої і уречевленої праці. Підвищення продуктивності праці означає, що частка затрат живої праці в продуктах зменшується, а частка затрат уречевленої праці збільшується. При цьому загальна сума праці, яка міститься в кожній одиниці продукту зменшується. Зростання продуктивності праці сприяє скороченню часу виробництва й обігу товару, збільшенню маси і норми прибутку.
В Україні становлення ринкової економіки, створення конкурентоспроможної продукції, збільшення обсягу продажу можливо лише за умови ефективного використання ресурсів на кожному робочому місці, підприємстві
, тобто глибокої реформи системи управління, виробництва і реалізації продукції, узгодженої з такими перетворювальними процесами, як приватизація, реструктуризація та адаптація до міжнародних стандартів. Зростання продуктивності праці є важливим показником економічного зростання країни.
Оскільки збільшення суспільного продукту в розрахунку на душу населення означає підвищення рівня споживання, а отже, і рівня життя, то економічне зростання стає однією з головних цілей держав з ринковою системою господарювання.
СПИСОК ВИКОРИСТАНОЇ
ЛІТЕРАТУРИ
1.
.Шегда А.В. ,Литвиненко Т.М., Нахаба М.П.
Економіка підприємств. – К.: 2000
2.
Абрамов В. М., Данюк В.
М., Гриненко А. М., Колот А. М.,
Чернов В.
Нормування праці. — К., 1995.
3.
Абрамов В. М., Данюк В. М., Колот А. М.
Мотивація і стимулювання праці в умовах переходу до ринку. — Одеса, 1995.
4.
Василъченко В. С.
Ринок праці та зайнятість. — К., 1996.
5.
Гангслі Теренс.
Соціальна політика та соціальне забезпечення за ринкової економіки. — К.: Основа, 1995.
6.
Данюк В. М.
Управление трудом в условиях рыночной экономики — К.: Знание, 1991.
7.
Долишний М. И.
Трудовые ресурсы производственных систем. — К.: Наукова думка, 1990.
8.
Жуков Л. И., Погосян Г. Р.
Экономика труда. — М.: Экономика, 1991.
9.
Калина А. В.
Организация и оплата труда в условиях рынка. — К.: МАУП, 1995.
10.
Казановский А. В., Колот А. М.
Соціальне партнерство на ринку праці. — Краматорськ: Нац. Центр продуктивності, 1995.
11.
Колот А. М.
Оплата праці на підприємстві: організація та удосконалення. — К., 1997.
12.
Колот А. М.
Мотивація, стимулювання й оцінка персоналу. — К.: КНЕУ, 1998.
13.
Лукьянченко Н.
Д
.
Управление трудом в промышленных предприятиях. — Донецк, 1996.
14.
Летюха В. М
. Основи ринкової економіки.. — К.: Урожай, 1995.
15.
Пирожков С. И.
Трудовой потенциал в демографическом измерении. — К.: Наукова думка, 1992.
16.
Петюх В. М.
Формування робочої сили в ринкових умовах. — К.: Знання, 1993.
17.
Петюх В. М.
Ринок праці та зайнятість. — К., 1997.
18.
Петюх В. Н.
Рыночная экономика: настольная книга делового человека. — К.: Урожай, 1995.
19.
Прокопенко И. И.
Управление производительностью. — К.: Техніка, 1990.
20.
Слезингер Г. Э.
Труд в условиях рыночной экономики. — М., 1996.
21.
Стеценко С.
Г., Швець В. Г.
Статистика населення. — К.; Вища школа, 1993.
|