| Зміст
1. Принципи планування
2. Методи планування
1. Принципи планування
Планування базується на певних принципах. Основними з них є:
1) Об'єктивність
- планові показники повинні базуватися на ретельному вивчені фактичних даних і реального практичного досвіду.
2) Принцип науковості
має забезпечити дотримання умов економічних законів розвитку економіки.
Оцінка сучасного рівня розвитку національної економіки: планові розрахунки мають базуватися на вивченні статистичних даних розвитку економіки до початку планового періоду, а також на аналізі практичного досвіду. При цьому прийнятний для аналізу ретроспективний період має бути рівним або перевищувати перспективний.
3) Правильне визначення пріоритетів
обумовлене обмеженістю ресурсів і необхідністю концентрації зусиль на вирішенні найважливіших проблем розвитку народного господарства, галузі, регіону для забезпечення прогресивних зрушень у народногосподарських пропозиціях, підвищення ефективності всього суспільного виробництва, вирішення соціальних і екологічних проблем й ресурсозбереження.
4) Орієнтація на більш повне задоволення потреб суспільства.
Потреби суспільства визначаються за допомогою наукових досліджень і прогнозування з урахуванням науково обґрунтованих норм потреб на вивчення тенденцій зміни їх структур, що визначається науково-технічним прогресом, який спричиняє появу нових потреб.
5) Збалансованість
- приведення у відповідність макроекономічних планових показників (наявних ресурсів і потреб, грошових витрат і доходів, різних суб'єктів економіки тощо), погодження обсягів і виробництва із суспільною потребою в продукції.
6) Принцип реальності
передбачає:
• забезпечення плану необхідними матеріальними, трудовими, фінансовими й природними ресурсами та ефективне їх використання,
• розробку конкретних економічних, правових, організаційних механізмів реалізації плану.
• поєднання різних видів планування - перспективного і поточного, галузевого і територіального - для забезпечення комплексного розвитку економіки, гармонізації суспільних інтересів;
• провідну роль перспективних планів, які виражають генеральні напрями соціального, економічного й науково-технічного розвитку суспільства;
Забиваем Сайты В ТОП КУВАЛДОЙ - Уникальные возможности от SeoHammer
Каждая ссылка анализируется по трем пакетам оценки: SEO, Трафик и SMM.
SeoHammer делает продвижение сайта прозрачным и простым занятием.
Ссылки, вечные ссылки, статьи, упоминания, пресс-релизы - используйте по максимуму потенциал SeoHammer для продвижения вашего сайта.
Что умеет делать SeoHammer
— Продвижение в один клик, интеллектуальный подбор запросов, покупка самых лучших ссылок с высокой степенью качества у лучших бирж ссылок.
— Регулярная проверка качества ссылок по более чем 100 показателям и ежедневный пересчет показателей качества проекта.
— Все известные форматы ссылок: арендные ссылки, вечные ссылки, публикации (упоминания, мнения, отзывы, статьи, пресс-релизы).
— SeoHammer покажет, где рост или падение, а также запросы, на которые нужно обратить внимание.
SeoHammer еще предоставляет технологию Буст, она ускоряет продвижение в десятки раз,
а первые результаты появляются уже в течение первых 7 дней.
Зарегистрироваться и Начать продвижение
• єдність перспективного й поточного планування, що встановлює чіткі взаємозв'язки та наступність планів, є важливою умовою планової роботи.
7) Принцип погодженості суспільних, колективних і особистих інтересів.
Використання всієї системи інтересів є основною рушійною силою розвитку виробничих відносин, зростання економіки, підвищення її ефективності.
8) Орієнтація на світові стандарти
- врахування у процесі планування світових економічних, екологічних і соціальних стандартів.
9) Адаптація
- оперативне коригування планових завдань у зв'язку зі зміною умов і завдань соціально-економічного розвитку країни.
10) Принцип постійного аналізу та контролю виконання планів
полягає у своєчасному вивченні та усуненні недоліків у господарській діяльності підприємств і здійсненні необхідних заходів для досягнення планових показників.
2. Методи планування
Планування базується на системному аналізі й відбувається з використанням нормативного, балансового, програмно-цільового методів та економко-математичного моделювання, яке є інструментом реалізації вказаних методів.
1. При нормативному методі
планування планові завдання з обсягів виробництва, асортименту та сортаменту продукції визначаються за допомогою науково обґрунтованих норм та нормативів її споживання, витрат ресурсів на виробництво, завантаження виробничих потужностей та продуктивності устаткування. Ці норми і нормативи виражають ступінь економічної, соціальної, екологічної ефективності виробництва - норми ресурсомісткості, продуктивності, амортизації, рентабельності, викидів шкідливих речовин, прожиткового мінімуму, мінімальної заробітної плати та ін.
У планово-економічних обґрунтуваннях нормативи використовуються для двох типів розрахунків: визначення очікуваного результату за наявних ресурсів та визначення потреби в ресурсах для досягнення певного цільового результату.
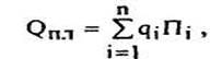
Очікуваний результат визначається відношенням обсягу наявних ресурсів планова потреба в ресурсах Р до нормативу їх витрати на один виріб qi:
а планова потреба в ресурсах Qрпл. - помноженням планового обсягу виробництва продукції і-го виду Пi на відповідну норму їх витрати на один виріб:
де n — кількість видів продукції, для виробництва якої використовується цей ресурс.
Таким чином, нормативи у плануванні можуть виконувати контрольну функцію, наприклад, для контролю ступеню досягнення орієнтовних рівнів ефективності виробництва, стану навколишнього середовища.
Сервис онлайн-записи на собственном Telegram-боте
Попробуйте сервис онлайн-записи VisitTime на основе вашего собственного Telegram-бота:
— Разгрузит мастера, специалиста или компанию;
— Позволит гибко управлять расписанием и загрузкой;
— Разошлет оповещения о новых услугах или акциях;
— Позволит принять оплату на карту/кошелек/счет;
— Позволит записываться на групповые и персональные посещения;
— Поможет получить от клиента отзывы о визите к вам;
— Включает в себя сервис чаевых.
Для новых пользователей первый месяц бесплатно.
Зарегистрироваться в сервисе
За роллю у плануванні нормативи поділяють на цільові, економічні (утворювання фондів) використовувані у техніко-економічних розрахунках. У
сучасних умовах економічні нормативи частково втратили своє значення, їх використовують при розробці індикативних планів. До складу цільових і використовуваних у техніко-економічних розрахунках належать:
• норми ефективності суспільного відтворення - матеріало-, енерго-, трудомісткості ВВП, коефіцієнт нагромадження та ін.;
• норми і нормативи затрат праці - відношення ВВП або валового випуску галузі економіки до чисельності трудових ресурсів;
• норми і нормативи витрат сировини, матеріалів, палива, енергії - витрати ресурсів на 1 грн. ВВП;
• норми й нормативи капітальних вкладень і капітального будівництва - загальна та порівняльна ефективність капітальних вкладень, питомі капітальні вкладення;
• фінансові норми та нормативи - бюджетозабезпеченість населення, норми відрахувань до бюджетів податків та ін.;
• соціальні норми й нормативи - норми споживання населенням товарів та послуг, мінімальна заробітна плата та ін.;
• екологічні норми і нормативи - витрати води на 1 грн. валового випуску промислової продукції, норми викидів шкідливих речовин та ін.
Норми встановлюються чотирма методами:
1) дослідним або експериментальним;
2) розрахунковим або розрахунково-аналітичним;
3) дослідно-розрахунковим або комбінованим;
4) статистичним.
Крім того, норми можуть розроблятися не тільки на кінцеву готову продукцію, а й на напівфабрикати, переробки, окремі процеси, агрегати, апарати тощо.
2. Балансовий метод
- узгодження потреб і ресурсів як у масштабі суспільства, так і за окремими складовими національної економіки, координація розвитку окремих виробництв, галузей, регіонів на основі розробки відповідних балансів. Цей метод застосовується у плануванні для досягнення рівноваги у сферах виробничого й особистого споживання, зіставляючи ресурси і потреби в них.
Баланс будують у вигляді спеціальної таблиці, у лівій частині якої зазначають усі види засобів (продукції, ресурсів) відповідно до потреб, а у правій - джерела їх надходження. В процесі розробки балансу має бути забезпечене рівняння між цими двома частинами. У загальному вигляді це можна записати так:
(3)
де хік
-ресурси і-ї продукції за к (к = 1,2,...,n) джерелами надходження;
vij
- обсяг розподілу і-ї продукції за j-ми напрямками використання.
Тобто задовільнений за певний період часу попит на продукцію і-го виду Vin дорівнює
(4)
де Vів - обсяг виробленої за цей період продукції;
Vісв - обсяг готової продукції, що знаходиться на складах виробників на початок планового періоду;
Vісс - обсяг готової продукції, що знаходиться на складах споживачів на початок планового періоду.
Баланси класифікуються за різними ознаками. За видом виробничих ресурсів їх розподіляють на баланси матеріальних, трудових, природних, фінансових ресурсів та виробничих потужностей. При державному плануванні використовують матеріальні або натуральні баланси, вартісні або фінансові баланси, баланси праці, найважливіші народногосподарські баланси.
Особлива роль у плановому регулюванні економіки країни належить міжгалузевому балансу виробництва й розподілу суспільного продукту - методу економічного аналізу і планування пропорцій процесу розширеного відтворення в галузевому розрізі.
Міжгалузевий баланс
- це система показників і розрахунків, які характеризують відтворення суспільного продукту за натурально-речовим і вартісним складом загалом у народному господарстві і в окремих галузях, відображають загальноекономічні й міжгалузеві пропорції.
Міжгалузевий баланс (МГБ)
- це зведена економічна таблиця шахового типу, яка складається за допомогою запропонованого В. Леонтьєвим методу «витрати-випуск».
Розробляється два види МГБ - натуральний (міжпродуктовий) баланс і МГБ у вартісному вираженні. Таблиця натурального МГБ містить два розділи: у першому відображено джерела формування продукції, у другому - розподіл її за напрямками використання.
Для поєднання вартісної структури суспільного продукту з його натурально-речовинною структурою розробляють таблицю МГБ, що складається з чотирьох квадрантів (табл. 1).
Таблиця 1
Міжгалузевий баланс виробництва і розподілу продукції

Перший квадрант характеризує розподіл продукції та формування витрат на її виробництво; він відбиває міжгалузеві потоки продукції в процесі її поточного виробничого споживання. На перехресті рядків і стовпців розташовані показники обсягу цих потоків Xij
, де і - номер галузі виробника, j - номер галузі споживача продукції.
Другий квадрант відбиває кінцеве споживання продукції Vi та обсяг валової продукції Xi
В третьому квадранті наведена сума амортизаційних відрахувань від виробничих фондів та новостворена вартість в галузях матеріального виробництва.
В четвертому квадранті наведені дані про перерозподіл новоствореної вартості.
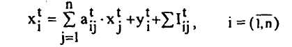
Основне рівняння МГБ
(5)
де Xij-обсяг постачання і-го виду продукції для виготовлення j-го виду виробів;
Yi - обсяг кінцевого продукту і-го виду, загальне виробництво j-го виду продукції.
, (6)
де Aj
- амортизаційні відрахування від основних виробничих фондів по і-му виду продукції,
Vi
- новостворена вартість, що утворилась при виробництві і-го виду продукції.
Структура побудови МГБ обумовлює дві його важливіші властивості:
1) загальні підсумки за однойменними рядками та стовпчиками дорівнюють одне іншому
(7)
2) загальна сума показників другого квадранта дорівнює відповідній сумі третього квадранта
(8)
Вартісні таблиці МГБ будуються за статичними й динамічними моделями.
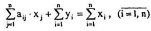
Статична модель МГБ має вигляд
(9)
де aij
- коефіцієнти прямих витрат (середньогалузеві нормативи витрат продукції галузі і, що використовуються як засоби виробництва для випуску одиниці продукції галузі і);
Xj - обсяг виробництва продукції j-ї галузі-споживача;
Xi - валове виробництво продукції і-ї галузі-виробника (і=1л);
Yi - обсяг кінцевого продукту і-ї галузі-виробника.
Складова aij
xj
характеризує міжгалузеві потоки і в цілому проміжний продукт; - кінцевий продукт; £х, - валовий суспільний продукт.
Статичні моделі відображають економічні зв'язки, що складаються за певний період часу (переважно за рік). Спрощена динамічна модель має вигляд
(10)
де t - індекс року;
Iij - продукція галузі і, що спрямована у вигляді виробничих інвестицій в i-му році на розширення виробництва в галузі j;
Yi
t
- обсяг кінцевого продукту і-ї галузі в t-му році за виключенням продукції, спрямованої на розширення виробництва.
Динамічні моделі відтворюють динамічні зв'язки, що склалися в народному господарстві. Вони використовуються для розрахунків розвитку економіки на перспективу.
Слід зазначити, що нормативний та балансовий методи планування взаємопов'язані та взаємодоповнюючі. Через це вони використовуються разом - при нормативному плануванні підтримується баланс потреб і можливостей, розробка балансів здійснюється з використанням нормативів (формули 9 - 10).
Література
1. Дядьківська Л.І., Головко Л.С. Державне регулювання економіки: Навч. посібник. – К.: Знання-Прес, 2008. – 209 с.
2. Економіка підприємства: Підручник / за заг. ред. С.Ф. Покропивного. – 2-ге вид., доп. і переробл. – К.: КНЕУ, 2009. – 528 с.
3. Пашута М.Т., Калина А.В. Прогнозування та макроекономічне планування: Навч. посібник. – К.: МАУП, 2006. – 185 с.
4. Виробничій менеджмент: Навч. посібник / За заг. ред. д.е.н., проф. С.Ф. Поважного. – Д.: ДонДУУ, 2009. – 493 с.
5. Сілаєв В.І. Планування у виробничій сфері: Конспект лекцій. – Д.: ДонДАУ, 2004. – 125 с.
6. Гринькова В.М., Новикова М.М. Державне регулювання економіки: навч. Посібник. – Х.: Вид. Дім „ІНЖЕК”, 2004. – 756с.
|