| Повышение экономической эффективности использования трудовых ресурсов
Содержание
Введение
1. Роль, понятие и состав трудовых ресурсов
2. Трудовые ресурсы в системе производственных ресурсов народного хозяйства и методы определения трудообеспеченности
3. Система показателей использования трудовых ресурсов
4. Показатели эффективности использования трудовых ресурсов и факторы на них влияющие
5. Состояние проблемы трудообеспеченности и эффективного использования трудовых ресурсов в народном хозяйстве
Заключение
Литература
Введение
Человек является активным участником и фактором производства. Изучение системы показателей состава, движения, воспроизводства и эффективности использования трудовых ресурсов - важнейшая задача экономики.
Проблемы регулирования занятости, трудовых отношений, организации труда имеют для экономики базовый характер, затрагивают ее основы. Не получив специализированных фундаментальных знаний в этой области, трудно найти и успешно применить соответствующие методы регулирования таких сложных объектов, какими являются сфера труда и рынок труда. Поэтому образовательные концепции предполагают обязательное получение знаний и навыков в этой области специалистами экономического и неэкономического профиля.
Под трудом понимается целесообразная деятельность людей, направленная на создание материальных и культурных ценностей. Роль труда в развитии человека и общества проявляется в том, что в процессе труда создаются не только материальные и духовные ценности, но и развиваются сами работники, которые приобретают навыки, раскрывают свои способности, пополняют и обогащают знания. С понятием “труд” неотъемлемо связано понятие “трудовые ресурсы”.
Трудовые ресурсы - это трудоспособная часть населения, обладающая физическими и интеллектуальными способностями к трудовой деятельности, способная производить материальные блага или оказывать услуги.
Размеры, структура и качество трудовых ресурсов, обеспеченность ими и их использование оказывают решающее влияние на повышение эффективности производства. Структура и численность работников на предприятиях зависит от их организационно-правового статуса, специализации и форм собственности.
1.
Трудовые ресурсы в системе производственных ресурсов народного хозяйства и методы определения трудообеспеченности.
Забиваем Сайты В ТОП КУВАЛДОЙ - Уникальные возможности от SeoHammer
Каждая ссылка анализируется по трем пакетам оценки: SEO, Трафик и SMM.
SeoHammer делает продвижение сайта прозрачным и простым занятием.
Ссылки, вечные ссылки, статьи, упоминания, пресс-релизы - используйте по максимуму потенциал SeoHammer для продвижения вашего сайта.
Что умеет делать SeoHammer
— Продвижение в один клик, интеллектуальный подбор запросов, покупка самых лучших ссылок с высокой степенью качества у лучших бирж ссылок.
— Регулярная проверка качества ссылок по более чем 100 показателям и ежедневный пересчет показателей качества проекта.
— Все известные форматы ссылок: арендные ссылки, вечные ссылки, публикации (упоминания, мнения, отзывы, статьи, пресс-релизы).
— SeoHammer покажет, где рост или падение, а также запросы, на которые нужно обратить внимание.
SeoHammer еще предоставляет технологию Буст, она ускоряет продвижение в десятки раз,
а первые результаты появляются уже в течение первых 7 дней.
Зарегистрироваться и Начать продвижение
1.1. Роль, понятие и состав трудовых ресурсов
Трудовые ресурсы как экономическая категория включает в себя население, находящееся в трудоспособном возрасте, как занятое в общественном производстве, так и не занятое. Границы трудоспособного возраста устанавливаются действующим законодательством с учетом физиологических факторов (возможностей) человека. В частности, в Республике Беларусь трудоспособным для мужчин считается возраст 16 - 60 лет, для женщин – 16 - 55 лет.
Сущность трудовых ресурсов заключается в том, что они выражают общественные отношения, складывающиеся по поводу их формирования, распределения и использования в общественном производстве.
Таблица 1.
Основные признаки классификации трудовых ресурсов
| Классификационный признак
|
Классификационная группа
|
| 1
|
2
|
| По характеру участия в производственной деятельности
|
Промышленно-производственный персонал (персонал основной деятельности) Персонал непромышленных подразделений, состоящих на балансе предприятия (персонал неосновной деятельности). Например, это санатории, профилактории, столовые, детские сады и т.д.
|
| По характеру выполняемых функций (категориям)
|
Рабочие, их них: рабочие основного производства (основных рабочих);
рабочие вспомогательного производства (вспомогательных рабочих)
|
| Служащие, из них: руководители; специалисты; прочие служащие.
|
Для изучения состава трудовых ресурсов предприятия их необходимо классифицировать по определенным признакам (таблица 1).
Для описания трудовых ресурсов на уровне предприятия различают понятия «трудовые ресурсы предприятия», «персонал предприятия» и «кадровый потенциал».
Трудовые ресурсы предприятия представлены работниками, прошедшими специальную подготовку, имеющими опыт и навыки в труде и занятыми на предприятии.
Персонал предприятия (кадры, трудовой коллектив) - совокупность работников, входящих в списочный состав предприятия.
Кадровый потенциал - способность кадров решать стоящие перед ними текущие и перспективные задачи. Он определяется численностью кадров, их образовательным уровнем, личностными качествами, профессионально-квалификационной, половозрастной структурой, характеристиками трудовой и творческой активности [20, 24].
В зависимости от характера участия в производственной деятельности в составе персонала предприятия выделяют две группы: промышленно-производственный персонал, занятый в производстве и его обслуживании, и персонал непромышленных подразделений, состоящих на балансе предприятия.
Сервис онлайн-записи на собственном Telegram-боте
Попробуйте сервис онлайн-записи VisitTime на основе вашего собственного Telegram-бота:
— Разгрузит мастера, специалиста или компанию;
— Позволит гибко управлять расписанием и загрузкой;
— Разошлет оповещения о новых услугах или акциях;
— Позволит принять оплату на карту/кошелек/счет;
— Позволит записываться на групповые и персональные посещения;
— Поможет получить от клиента отзывы о визите к вам;
— Включает в себя сервис чаевых.
Для новых пользователей первый месяц бесплатно.
Зарегистрироваться в сервисе
По характеру выполняемых функций промышленно-производственный персонал (ППП) подразделяется на рабочих и служащих [9, 127]. Рабочие - это непосредственно занятые в процессе создания материальных ценностей, а также занятые ремонтом, перемещением грузов, перевозкой пассажиров, оказанием материальных услуг и другими работами. К ним также относятся уборщицы, дворники, гардеробщики, охранники.
В зависимости от характера участия в производственном процессе, группа «рабочие», в свою очередь, делится на основных (производящих продукцию) и вспомогательных (обслуживающих технологический процесс) рабочих. Служащие, в свою очередь, подразделяются на руководителей, специалистов и прочих служащих. Руководители - работники, занимающие должности руководителей организаций и их структурных подразделений, они наделены правами принятия решений и несут ответственность за их последствия. Специалисты - работники с высшим и средним специальным образованием, обладающие фундаментальными научными знаниями, а также специальными знаниями и навыками, достаточными для осуществления профессиональной деятельности. К ним относятся инженеры, экономисты, бухгалтеры, социологи, юрисконсульты, нормировщики, техники и др.
Прочие служащие (технические исполнители) - работники, осуществляющие подготовку и оформление документов, хозяйственное обслуживание (делопроизводители, секретари-машинистки, табельщики, чертежники, копировщицы, архивариусы, агенты и др.).
Соотношение работников по категориям характеризует структуру трудовых ресурсов предприятия. В целом состав персонала предприятия различается по профессиям, специальностям и уровню квалификации. Профессия - род трудовой деятельности, требующий определенных знаний и навыков, приобретаемых путем обучения и практического опыта.
Специальность - вид деятельности в рамках той или иной профессии, который имеет специфические особенности и требует от работников дополнительных специальных знаний и навыков, например экономист по финансовой работе, экономист по бухгалтерскому учету и анализу хозяйственной деятельности, экономист по труду, экономист по сбыту, экономист по материально-техническому снабжению в рамках профессии экономиста или слесарь-наладчик; слесарь-монтажник, слесарь-сантехник в рамках рабочей профессии слесаря.
Квалификация - уровень общей и специальной подготовки работника, подтверждаемый установленными законодательством видами документов (аттестат, диплом, свидетельство и др.).
1.2. Трудовые ресурсы в системе производственных ресурсов народного хозяйства и методы определения трудообеспеченности
Большинство исследователей под ресурсами производства понимают совокупность тех природных, социальных и духовных сил, которые могут быть использованы в процессе создания товаров, услуг и иных ценностей. При этом, природные, материальные и трудовые ресурсы называют базовыми, так как они присущи любому типу производства, а финансовые ресурсы по причине их более позднего возникновения и принадлежности к рыночному типу экономических отношений называют производными.
Факторы производства – это экономическая категория, обозначающая уже реально вовлеченные в процесс производства ресурсы [14, 177]. Каждый фактор производства способен принести своему владельцу соответствующий доход.
Как правило, производство осуществляется в условиях ограниченности ресурсов и ограниченных возможностей. При этом экономическая организация производства возникает только тогда, когда участники производства исходят из принципа экономической целесообразности.
Осуществляя предпринимательскую деятельность, хозяйствующие субъекты должны оценить ресурсы, имеющиеся у них в наличии, выбрать наиболее приоритетные направления расходования ресурсов и проанализировать возможности привлечения ресурсов со стороны. Экономический аспект проблемы выбора заключается в выяснении: какой вариант использования ограниченных ресурсов обеспечит максимум доходности.
В настоящее время известны и используются три метода расчёта трудообеспеченности предприятия.
1) Определение трудовых ресурсов путём корректировки базовой численности:
Чпл
= Чб
* К
v
±
Эч
, где Чпл
- планируемая численность работников, чел.; Чб
- базовая численность работников, чел.; Кv
– коэффициент роста объёма производства, доли единиц; Эч
– экономия численности, чел.
2) Определение трудообеспеченности на основании трудоёмкости выполнения производственной программы.
а) На основе базовой трудоёмкости производственной программы: Чпл
=
t
п.б.
/ Фб
* Кв.н.
tп.б.
– полная трудоёмкость производственной программы, рассчитанная на основании базовой трудоёмкости (включает в себя технологическую трудоёмкость, трудоёмкость обслуживания и трудоёмкость управления); Фб
- эффективный фонд времени работы одного работника; Кв.н.
– коэффициент выполнения норм выработки.
б) Расчет численности по категориям работающих:
Чпл
=
t
б
техн
/ Фб
* Кб
в.н.
+
t
б
обсл
/ Фб
* Кб
в.н.
+ Чб
сл
± Эч
,
где tб
техн
– технологическая трудоёмкость производственной программы планового периода, рассчитанная на основании нормативной трудоёмкости базисного периода; tб
обсл
- трудоёмкость обслуживания производства в базисном периоде; Кб
в.н.
– коэффициент выполнения норм выработки в базовом периоде; Чб
сл
– численность служащих базисного периода.
в) на основе трудоёмкости производственной программы в плановом периоде: Чпл
=
t
п
техн
/ Фпл
* Кб
в.н.
+
t
п
обсл
/ Фпл
* Кб
в.н.
+ Чб
сл
где tп
техн
- техническая трудоёмкость произведённой программы планового периода, рассчитанная на основании плановой нормативной трудоёмкости и плановой производственной программы; tп
обсл
– трудоёмкость обслуживания производства в плановом периоде, рассчитанная на основании плановой трудоёмкости и планируемой производственной программы; Фпл
– эффективный фонд времени работы одного работника в плановом периоде.
3) Планирование на основании производительности или выработки:
Чпл
=
V
пл
/ Впл
,
Vпл
– объём производства в плановом периоде (в стоймостном или натуральном выражении); Впл
– выработка оного работника в год, рассчитанная в тех же показателях планового периода.
Метод расчета по нормативам типовых структур управления применяется для определения потребности в служащих и учитывается при разработке штатного расписания предприятия.
Баланс рабочего времени позволяет получить представление об эффективности использования рабочего времени на предприятии. Базовой единицей для его составления служат нормо-часы. Баланс рабочего времени состоит из двух частей. В первой части отражаются ресурсы труда:
1) указывается численность рабочих (человек);
2) приводится эффективный фонд рабочего времени одного среднесписочного рабочего в год (в часах), отдельно или в том числе может указываться численность рабочих-сдельщиков;
3) рассчитывается эффективный фонд труда путем умножения численности рабочих на годовой эффективный фонд рабочего времени одного среднесписочного рабочего (нормо-часы).
Во второй части показывается использование ресурсов труда. В этой части, как правило, выделяются следующие направления:
1) затраты труда (в нормо-часах), осуществленные на выпуск качественной и комплектной продукции;
2) затраты труда на бракованную продукцию;
3) затраты труда, связанные с отклонениями от нормальных условий работы;
4) затраты труда на выполнение работ, не предусмотренных производственной программой;
5) потери труда, связанные с организационно-техническими неполадками и нарушениями трудовой дисциплины, и т.д.
Баланс рабочих мест и численности работников составляется для установления наличия излишних или незанятых рабочих мест, которые влияют на соотношение труда и основного капитала и, соответственно, на уровень эффективности использования данных факторов производства.
Плановый баланс рабочего времени предназначен для определения полезного (явочного) фонда рабочего времени совокупного работника, а также одного работника и одного рабочего промышленно-производственного персонала, в том числе по отдельным структурным подразделениям. Он представляет собой сумму всех явок и неявок на работу в пределах календарного фонда времени (год, квартал, месяц) и составляется в такой последовательности.
Расчет планового баланса рабочего времени начинают с определения полезного (явочного) фонда рабочего времени одного работника в днях. Для этого рассчитывают календарный и номинальный фонды рабочего времени, а также дни неявок на работу по различным причинам.
Календарный фонд рабочего времени может быть годовым, квартальным и месячным. Годовой календарный фонд определяется количеством дней в году (365 или 366 дней), квартальный — количеством дней в квартале (90, 91 или 92 дня), месячный — количеством дней в планируемом месяце (28, 29, 30 или 31 день).
Планом предусматриваются законодательно установленные причины неявок на работу. Среди них:
1) очередные или дополнительные отпуска, продолжительность которых определяется законодательством, коллективным договором или контрактом с учетом условий труда, возраста работника и других факторов;
2) отпуск по беременности и родам;
3) отпуск по учебе;
4) неявки по болезни;
5) неявки, разрешенные законом.
1.3. Система показателей использования трудовых ресурсов
Документ, в котором отражается требуемая численность работников, называется штатным расписанием, которое предусматривает перечень должностей, численность работников по каждой должности, должностной оклад или тарифную ставку, надбавки и фонд заработной платы по окладам и тарифным ставкам. Штатное расписание составляется отдельно по каждому структурному подразделению и по предприятию в целом.
Для характеристики трудового потенциала предприятия используется своя система показателей. Количественная характеристика персонала измеряется в первую очередь такими показателями, как списочная, явочная и среднесписочная численность работников.
Списочная численность - это численность работников списочного состава на определенную дату с учетом принятых и выбывших за этот день работников. В списочный состав включаются все принятые на постоянную, сезонную или временную работу со дня зачисления на работу [27, 64]. Причем в списочном составе учитываются как фактически работающие, так и временно не работающие. Например, находящиеся в очередных, дополнительных или учебных отпусках, не явившиеся на работу по болезни и т.д. Но в данный состав не включаются работники, привлеченные для работ по трудовому соглашению и направленные предприятием на учебу с отрывом от производства.
Списочная численность работников в среднем за отчетный месяц (среднемесячная численность) исчисляется путем суммирования численности работников списочного состава за каждый календарный день отчетного месяца, т.е. с 1-го по 30-е или 31-е число (для февраля - по 28-е или 29-е число), включая государственные праздники, праздничные (нерабочие) и выходные дни, и деления полученной суммы на число календарных дней отчетного месяца.
В связи с приемом и увольнением списочная численность работников предприятия постоянно меняется. Поэтому для упрощения практических расчетов используется формула перевода явочной численности в списочную:
где Чсп
- численность списочная, чел.; Чяв
- численность явочная, чел.; Ксп
- коэффициент приведения явочной численности к списочной. Он определяется путем деления номинального количества дней работы предприятия на фактическое число рабочих дней по балансу рабочего времени. Как правило, его считают равным примерно 1,1.
Списочная численность работников, применяемая для исчисления средней заработной платы и производительности труда, представляет собой скорректированную величину численности, определенную для списочного состава. Так, из списочного состава, например, исключаются следующие категории работников [27, 66]:
1) женщины, находящиеся в отпусках по уходу за ребенком до достижения им возраста 3 лет;
2) работники, находящиеся в отпусках без сохранения заработка (содержания);
3) работники, находящиеся в учебных отпусках без сохранения заработной платы;
4) работники, не явившиеся по болезни (при наличии больничных листов);
5) учащиеся, проходящие производственную практику на предприятии, и др.
И в то же время в списочный состав входят некоторые категории работников, не относящиеся к списочному составу. Например, привлеченные на работу по специальным договорам с государственными организациями.
Явочная численность включает лишь работников, явившихся на работу. Явочный состав - это работники, фактически явившиеся на работу на каждую конкретную дату и работающие при установленном предприятием режиме. Для ежедневного учета работников, явившихся на предприятие, а также количества отработанного ими времени используется документ - табель учета использования рабочего времени:
Для определения численности работников за определенный период используется показатель среднесписочной численности.
Среднесписочная численность работников за месяц определяется как частное от деления суммы всех списочных данных за каждый день на календарное; число дней в месяце. При этом в выходные и праздничные дни показывается списочная численность работников за предыдущую дату. Среднесписочная численность работников за месяц (Чсс
) определяется по следующей формуле:
где Чсм
- численность работников за все дни работы предприятия за анализируемый период (квартал, год, чел.); Т - период (количество дней).
Среднесписочная численность работников рассчитывается за определенный период времени (за месяц, квартал, полугодие, год).
Среднесписочная численность работников за квартал, полугодие исчисляется путем суммирования среднемесячной численности за соответствующие месяцы работы и деления полученной суммы на три (квартал) или шесть (полугодие).
Среднегодовая численность - рассчитывается путем суммирования среднемесячной численности за все месяцы работы с начала и до конца года и делится на 12.
Для анализа данных о приеме и выбытии работников исчисляются коэффициенты оборота, текучести кадров, коэффициент соотношения принятых к выбывшим.
Коэффициент оборота по приему (Коп
) рассчитывается по следующей формуле:
где Чп
- численность всех принятых работников за данный период, чел.
Коэффициент оборота по выбытию (Ков) определяется по следующей формуле:
где Чв
- численность выбывших работников за данный период, чел.
Коэффициент текучести кадров (Кт
) рассчитывается по следующей формуле: 
где Чвн
- численность работников, выбывших с предприятия по неуважительным причинам (по инициативе работника, из-за прогулов и др.), чел.
Коэффициент соотношения принятых работников к выбывшим (Кс
) определяется по следующей формуле:
Производительность труда характеризует результативность труда и отражает выпуск продукции в единицу времени.
Измерить производительность труда можно исходя из количества продукции, произведенной в единицу времени (выработка), или количества времени, затраченного на производство единицы продукции (трудоемкость).
В зависимости от способа выражения объема продукции различают три основных метода измерения производительности труда: натуральный, трудовой и стоимостной. При натуральном методе уровень производительности труда исчисляется как отношение объема продукции в физических единицах измерения к среднесписочной числен* ности персонала. При трудовом методе объем продукции исчисляется в нормо-часах. Уровень производительности труда стоимостным методом определяется путем деления объема продукции в денежном выражении на среднесписочную численность персонала.
Наряду с производительностью труда принято использовать и некоторые другие показатели, называемые нормами труда.
Норма времени - количество времени, необходимое для производства определенных операций, выпуска единицы продукции или осуществления комплекса работ.
Норма выработки - показатель, обратный норме времени – количество операций, натуральных единиц продукции или полуфабрикатов, производимых в единицу времени.
Норма обслуживания - показатель, используемый при планировании штатов обслуживающего и вспомогательного персонала.
Выработка на одного работающего - отношение стоимости произведенной продукции (или количества в натуральных показателю) к общей численности персонала организации. От производительности труда отличается тем, что производительность труда используется почти исключительно применительно к численности рабочих - персонала, непосредственно занятого выпуском продукции, а при расчете выработки на одного работающего в расчет берется и вспомогательный и управленческий персонал [11, 29].
В =
Q
/ Чсп
,
где В - выработка, Q – объём произведённой продукции; Чсп
- среднесписочная численность работающих.
Индивидуальная выработка измеряется количеством продукции измеряется количеством продукции, произведённым в единицу времени или затратами труда, необходимыми на изготовление единицы продукции:
В = 1/
t
Для учёта анализа и планирования рассчитывается среднечасовая (Всч
), среднедневная (Всд
), среднегодовая выработка (Всг
).
Всч
=
Q
/ Тч
,
где Q – объём произведённой продукции; Тч
– количество отработанных человекочасов.
Всд
=
Q
/ Тдн
,
где Тдн
– количество отработанных дней.
Всг
=
Q
/ Чппп
,
где Чппп
– численность промышленно-производственного персонала.
Производительность труда является сложной экономической категорией. Она характеризуется системой полных, прямых, обратных и косвенных показателей. Прямые показатели производительности труда рассчитываются как отношение объема произведенной продукции к количеству затраченного времени:
П = ВП / Т
Уровень производительности труда может быть рассчитан путем деления количества затраченного рабочего времени на размер произведенной продукции. Этот показатель называют трудоемкостью продукции.
t
= Т /
Q
,
где Т – время, затраченное на производство всего объёма продукции, Q – объём продукции.
В различных предприятиях и хозяйствах производительность труда определяется различными способами в зависимости от того, какими единицами измерен объем производства и затраты труда.
Для определения трудоемкости единицы продукции, трудозатраты на все производство делим на объем выпускаемой продукции за определенный период.
Для целей планирования и анализа труда рассчитывается трудоемкость отдельных операций, изделий, работ. Технологическую трудоемкость (Тт
) определяли затраты труда основных рабочих-сдельщиков и повременщиков. Ее рассчитывали по производственным операциям, деталям, узлам и готовым изделиям.
Трудоемкость обслуживания (То
) представляют затраты труда вспомогательных цехов и подразделений, занятых обслуживанием производства. Ее расчет производится по каждой операции, изделию, либо пропорционально технологической трудоемкости изделий.
Производственная трудоемкость (Тпр
) слагается из трудоемкости технологической и обслуживания, т.е. это затраты труда основных и вспомогательных рабочих на выполнение единицы работ.
Тр
= Тт
+ То
Трудоемкость управления (Ту
) складывается из затрат труда руководителей, специалистов и др. служащих. Часть таких затрат, которые непосредственно связаны с изготовлением изделий, прямо относили на эти изделия; другую часть, которая непосредственно не связана с изготовлением изделий, относили к ним пропорционально трудоемкости.
Полная трудоемкость продукции (Тп
) отражала все затраты труда на изготовление каждого изделия и всей их суммы. Ее определяем по формуле:
Тп
= Тт
+ То
+ Ту
= Тпр
+ Ту
Различают трудоемкость нормативную, плановую и фактическую.
Нормативную трудоемкость рассчитывают на основе действующих норм труда; норм времени, норм выработки, норм обслуживания, норм численности.
Ее используют для определения общей величины трудозатрат, необходимых как для изготовления отдельных изделий, так и на выполнение всей производственной программы.
Плановая трудоемкость отличается от нормативной на величину снижения трудозатрат, планируемых в текущем периоде за счет реализации Фактическая трудоемкость - это сумма совершенных трудозатрат на выпущенный объем продукции или выполненный объем работ.
Показатели выработки и трудоёмкости измеряются в относительном выражении.
∆В = 100 * ∆
t
/ (100 - ∆
t
),
∆
t
= 100 * ∆В / (100 + ∆В),
где ∆В – процент увеличения выработки; ∆t – процент снижения трудоёмкости.
Трудоемкость - это затраты рабочего времени на производство единицы продукции или работы. Единица трудоемкости нормо-час (нормо-минуты). Данный показатель может быть выражен в таких единицах, как человеко-часы, человеко-дни или через показатель среднесрочной численности работающих. Существуют различные виды трудоёмкости (таблица 2).
Уровень производительности труда предопределяется тем, насколько полно реализуются основные факторы ее роста на предприятии.
Резервы - это неиспользованные возможности роста производительности труда: рост объема производства; экономия численности работников, занятых в производстве, и др.
Таблица 2.
Виды трудоёмкости.
| Вид
|
Состав
|
| Технологическая трудоемкость
|
затраты труда основных рабочих
|
| Трудоемкость обслуживания производства
|
затраты труда вспомогательных рабочих
|
| Производственная трудоемкость
|
затраты труда основных и вспомогательных рабочих
|
| Трудоемкость управления производством
|
затраты труда руководителей, специалистов и служащих
|
| Полная трудоемкость
|
затраты труда всего промышлен-но-производственного персонала
|
Факторы роста производительности труда - это изменения материально-технических, организационных и социально-экономических условий как непосредственно в процессе производства, так и вне его, под влиянием которых сокращаются затраты труда на производство единицы продукции [11, 30].
Формы проявления этих изменений (факторов) весьма разнообразны и могут выступать не только как конкретные мероприятия (например, повышение уровня механизации и автоматизации производства, совершенствование организации и обслуживания рабочих мест и т.п.), но и как обращение глубинных процессов и явлений (например, изменение формы собственности, углубление хозяйственного расчета, комплексная реструктуризация предприятия и т.п.).
Основными технико-экономическими факторами роста производительности труда являются:
1) повышение технического уровня производства;
2) совершенствование управления, организации производства и труда;
3) изменение объема и структуры производства;
4) отраслевые факторы.
К первой группе относятся факторы роста, влияющие на технический уровень производства: внедрение новой техники, прогрессивной технологии, механизации и автоматизации производственных процессов, повышение уровня оснащенности технологических процессов, улучшение использования сырья, материалов, применение прогрессивных материалов и др. Производительность труда увеличивается за счет сокращения трудозатрат на производство единицы продукции.
Индекс изменения производительности труда определяется как обратная величина к индексу трудоемкости:
Ко второй группе относятся факторы, воздействующие на совершенствование управлением предприятием, организацию производства и труда. Они позволяют:
1) сократить потери рабочего времени, а следовательно,; увеличить действительный годовой фонд времени одного рабочего (Фор), повысить нормы выработки и уменьшить, численность производственных рабочих;
2) повысить нормы обслуживания и уменьшить численность вспомогательных рабочих и обслуживающего персонала;
3) уменьшить численность аппарата управления и в результате сократить численность промышленно-производственного персонала, т.е. повысить производительность труда.
Факторы третьей группы роста производительности труда вызывают изменение соотношений между объемами продукции с различной трудоемкостью в производственной программе, поскольку численность всех категорий промышленно-производственного персонала, кроме основных производственных рабочих, при прочих равных условиях увеличивается в меньшей степени, чем возрастает объем производства. Это приводит к относительному уменьшению общей численности промышленно-производственного персонала. К такому же результату приводит изменение удельного веса отдельных видов продукции.
В четвертую группу входят факторы роста производительности труда, которые не могут быть отнесены к первым трем. Влияние этих факторов на производительность труда связано с изменениями трудоемкости и подсчитывается по отраслевым методикам и инструкциям.
Факторы роста производительности труда можно классифицировать также по направлениям воздействия факторов роста на производительность труда:
1) направление, создающее условия роста производительности труда (уровень развития науки, повышение квалификации работников, укрепление трудовой дисциплины, сокращение текучести кадров и др.);
2) направление, способствующее росту производительности труда (материальное и моральное стимулирование, совершенствование оплаты труда, внедрение научно и технически обоснованных норм труда, внедрение прогрессивной технологии и др.);
3) направление, непосредственно определяющее уровень производительности труда на предприятии (механизация и автоматизация производственных процессов, улучшение качества труда, ликвидация простоев, устранение брака, совершенствование управления и организации труда и др. Базой повышения уровня производительности труда является научно-технический прогресс).
При планировании роста производительности труда используют следующие методы: по технико-экономическим факторам, аналитический метод планирования, метод моделирования, метод прямого счета.
Наиболее распространенным в практической деятельности предприятий является метод планирования роста производительности труда по технико-экономическим факторам, к которым относят: повышение технического уровня производства, совершенствование управления, организации производства и труда, изменение объемов производства и удельного веса отдельных видов продукции, отраслевые факторы.
Уровень использования трудовых ресурсов характеризуется следующими показателями:
1. Степень вовлечения трудовых ресурсов в общественное производство – отношение участвующих в производстве трудоспособных к наличной численности.
2. Коэффициент использования трудовых ресурсов в течении года - отношение фактически отработанного времени к возможному годовому фонду рабочего времени.
А эффективное использование трудовых ресурсов характеризуется следующими показателями:
1. Коэффициент использования рабочей силы – отношение фактической численности работников к потребной.
2. Коэффициент сезонности использования трудовых ресурсов – отношение максимальной (минимальной) месячной занятости к среднегодовой.
3. Размах сезонности – отношение максимальных месячных затрат труда к минимальным.
На основе этих показателей принимают управленческие решения о повышении эффективности использования трудовых ресурсов. Еще одним важным показателем, характеризующим эффективное использование рабочей силы является производительность труда.
1.4. Показатели эффективности использования трудовых ресурсов и факторы на них влияющие
Показатели, характеризующие использование трудовых ресурсов, можно рассматривать с двух позиций: с позиции распределения занятых в народном хозяйстве по видовым признакам и с позиции эффективного применения трудового потенциала в экономическом и социальном секторах экономики. О распределении трудовых ресурсов дает представление показатель — их структура.
В качестве регулирующего используется показатель относительной экономии численности работающих за счет влияния отдельных факторов на уровень выработки продукции.
где Чисх
- исходная численность работающих, чел.; Впл
, -планируемый объем производства, ден. ед.; ПТбаз
- выработка продукции на одного работающего в базисном (предшествующем) периоде, ден. ед.; Чбаз
- численность работающих в базисном периоде, чел.; К0
- темп роста объема производства продукции в плановом периоде, % .
Расчет осуществляется следующим образом. Вначале определяется исходная численность работающих на планируемый период исходя из величины планируемого объема производства при условии сохранения выработки, сложившейся в базисном (предшествующем) периоде:
Затем по каждому фактору, исходя из намеченных к внедрению организационно-технических мероприятий по повышению производительности труда, эффективности производства и управления, определяется возможная экономия численности работающих, которая суммируется, и тем самым устанавливается общая экономия работающих по совокупности факторов. Плановый прирост производительности труда (АПТ) за счет внедрения организационно-технических мероприятий рассчитывается по формуле:

где Э - общая экономия работающих по всем факторам, чел.
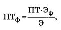
Величину прироста производительности труда по каждому фактору (ПТф
) в отдельности можно определить по формулам:

где Эф
- экономия численности, исчисленная по отдельному фактору, чел.; ПТ - общий прирост производительности труда по всей совокупности факторов, %; ПТф
- прирост производительности труда по отдельному фактору, %.
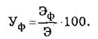
Удельный вес каждого отдельного фактора в общем приросте производительности труда (Уф
) определяется по формуле:
Аналитический метод планирования роста производительности труда базируется на расчете снижения трудоемкости продукции и улучшения использования рабочего времени в плановом периоде. Необходимым условием для его применения на предприятии является ведение учета и планирования технологической трудоемкости продукции.
При применении метода моделирования для планирования роста производительности труда осуществляется расчет многофакторных регрессионных моделей, позволяющих выявить наиболее значимые факторы, которые существенно влияют на уровень производительности труда. На основе полученных в модели результатов на предприятии разрабатываются нормативы для производительности труда на плановый период. Разработка нормативов может быть осуществлена как для предприятия в целом, так и для отдельных его подразделений. Однако применение данного метода пригодно только для тактического планирования. Для стратегического же планирования требуется построение динамической регрессионной многофакторной модели, которая сложна и подвержена значительному влиянию непредсказуемых, случайных факторов (возмущений).
При планировании роста производительности труда методом прямого счета используется прямой расчет выработки, которая может быть достигнута в плановом периоде путем деления планируемого объема выпуска продукции на плановую численность работающих. Однако при этом необходимо сравнение планируемой величины выработки и достигнутой выработки в базисном (отчетном, предшествующем) периоде.
Структура выражает соотношение конкретных социально-демографических и профессионально-квалификационных групп населения в составе занятых в экономике и формируется под влиянием множества факторов: структурных сдвигов в экономике, состояния рынка труда, институциональных изменений в собственности, благосостояния семей и др.
Структура трудовых ресурсов многогранна. Она включает распределение людей по определенным классификационным признакам: по полу, возрасту, образованию, месту жительства (город, село), общественным группам, профессиям, сферам приложения труда и по ряду других признаков.
Пол и возраст имеют важное значение для формирования рабочих мест в экономике (в региональном и отраслевом разрезах) с учетом состояния и развития рынка труда.
Особо значимой, качественной характеристикой является структура трудовых ресурсов по образованию, поскольку она характеризует состояние интеллектуального развития трудовых ресурсов. Уровень образования определяется тремя показателями: средним числом лет обучения, численностью учащихся и студентов, удельным весом специалистов с высшим и средним специальным образованием.
Качественный "срез" трудовых ресурсов: по полу, возрасту, образованию, состоянию здоровья, — выражает структуру трудового потенциала.
Показатели структуры трудовых ресурсов непосредственно связаны с динамикой трудовых ресурсов, т.е. их движением.
Изменения численности трудовых ресурсов характеризуются такими показателями, как абсолютный прирост, темп роста, темп прироста трудовых ресурсов.
Абсолютный прирост трудовых ресурсов определяется по формуле:
где Тпр
— абсолютный прирост трудовых ресурсов в рассматриваемом периоде (квартале, году, за ряд лет); Rn
и Rо
— численность трудовых ресурсов соответственно на конец и начало календарного периода.
Темп роста — отношение абсолютной величины численности трудовых ресурсов в конце данного периода к их величине в начале периода.
Темп прироста можно рассчитать по формуле:
Для изучения динамики за ряд лет определяются среднегодовые показатели как средние геометрические величины по формулам:


где Трс
– среднегодовой темп роста; n — число лет.
Абсолютный прирост, темп роста и прироста позволяют отслеживать влияние на структуру трудовых ресурсов естественного движения населения, обусловленного рождением и смертностью; механическим движением, определяемым миграцией; общего изменения численности трудовых ресурсов, связанного и с первым, и со вторым фактором.
Степень эффективности применения труда в любых видах и сферах деятельности в конечном счете измеряется временем, затрачиваемым работником на изготовление продукции или производство услуг с учетом соблюдения требований технологии и качества; при этом эффективность оценивается с позиции минимизации затрат времени на единицу результата труда. В материальном производстве эффективность применения труда оценивается показателем производительности труда. В нематериальной сфере (в образовании, здравоохранении, обслуживании и др.) в соответствии с конечными результатами таких видов деятельности применяются различные показатели.
При определении отдачи трудовых ресурсов изучается изменение выхода продукции и численности принимавших участие в производстве, а также сопоставляется численность работавших с затраченным рабочим временем.
Главным показателем отдачи трудовых ресурсов является выход валовой продукции на одного среднегодового работника. Для сопоставимости данного показателя по годам и между хозяйствами страны валовую продукцию выражают в сопоставимых ценах.
Отдача трудовых ресурсов зависит также от уровня использования запаса труда, определяемого как отношение физических затрат человеко - часов к годовому фонду рабочего времени. Труд (или рабочая сила) имеет два свойства - интенсивность и производительность труда. Интенсивность труда - это напряженность, плотность труда, измеряется количеством производительно затраченной за единицу времени мускульной и нервной энергии. Интенсивность является фактором, влияющим на результат труда, то есть его производительность
1.5. Состояние проблемы трудообеспеченности и эффективного использования трудовых ресурсов в народном хозяйстве
В качестве ресурсной базы обеспечения развития народного хозяйства Республики Беларусь выступают трудовые ресурсы.
Беларусь обладает значительным трудовым потенциалом, формирование которого предопределяется динамикой численности трудоспособных граждан. Рост их численности обусловил увеличение трудовых ресурсов с 6004,6 тыс. в 2000 году до 6211 тыс. человек в 2005 году (по оценке). При этом в городах наблюдается устойчивая тенденция роста, в то время как село теряет свой трудоспособный потенциал вследствие миграционного оттока молодежи в города.
Численность занятых в экономике уменьшилась в 2005 году до 4303 тыс. человек, или на 3,1 процента от уровня 2000 года [12, 25].
Сокращение уровня занятости в общественном производстве сопровождается оптимизацией численности кадрового персонала, ростом производительности труда, ликвидацией морально устаревших и неэффективных рабочих мест, улучшением использования рабочего времени. Положительные изменения наметились в динамике отраслевой структуры занятости в сторону усиления ее социальной направленности. Устойчивая тенденция снижения численности кадрового персонала наблюдалась в промышленности и сельском хозяйстве, при наметившемся росте численности занятых в строительстве. Доля работающих в сфере услуг по сравнению с 2000 годом увеличилась с 49,6 процента до 53,7 процента в 2005 году (по оценке) [12, 26].
Ряд позитивных процессов отмечается на рынке труда. Уровень регистрируемой безработицы снизился с 3,1 процента в 2003 году до 1,5 процента в 2005 году от численности экономически активного населения [12, 27]. Наметилась тенденция увеличения спроса на рабочую силу. Улучшилась его конъюнктура, хотя она по-прежнему остается трудоизбыточной. На конец 2005 года предложение превышало спрос в 2,4 раза, в то время как в 2003 году – в 4,3 раза. Показатель напряженности на рынке труда составил 2 безработных в расчете на одну вакансию против 4 человек в 2003 году [12, 28].
В 2006 – 2010 годах формирование трудового потенциала будет происходить под влиянием прироста трудоспособного населения до 2006 года и его абсолютного сокращения в последующие годы в связи с вступлением в трудоспособный возраст малочисленного поколения родившихся в 90-х годах прошлого века. Данные тенденции обусловят уменьшение численности трудовых ресурсов до 6120 – 6150 тыс. человек в 2010 году (на 1,4 процента).
Намечается тенденция роста уровня занятости населения. С учетом активизации процессов реформирования производства и инвестиционной деятельности по созданию новых рабочих мест прогнозируется увеличение численности занятых в экономике до 4740 – 4775 тыс. человек в 2010 году [12, 29].
Динамика отраслевой структуры занятости будет характеризоваться дальнейшим расширением ее социальной направленности. По прогнозу, доля занятых в сфере услуг возрастет к 2010 году до 56 процентов против 53,7 процента в 2005 году.
Основной целью государственной политики в социально-трудовой сфере является повышение эффективности использования ресурсов труда и формирование кадрового потенциала с учетом реальных потребностей производства.
Главными приоритетами политики занятости должны стать формирование благоприятных условий для повышения ее эффективности, преодоление дефицита рабочих мест посредством расширения инвестиционной активности за счет всех источников, снижение напряженности и поддержание стабильности в сфере социально-трудовых отношений. Основные усилия будут направлены на реализацию активных мер по обеспечению занятости населения и удержание уровня регистрируемой безработицы в пределах 1,5 – 2 процентов к экономически активному населению.
Исходя из поставленных приоритетов, определены следующие основные направления совершенствования трудовых отношений и занятости населения:
1) создание новых рабочих мест с учетом реализации мероприятий ежегодной программы занятости;
2) повышение эффективности занятости и формирование ее постиндустриальной структуры;
3) достижение сбалансированности спроса и предложения рабочих мест на рынке труда по профессионально-квалификационным признакам и регионам;
4) проведение взвешенной миграционной политики, направленной на позитивное территориальное перемещение населения, защиту внутреннего рынка труда;
5) стимулирование развития самозанятости населения, расширение деловой и предпринимательской инициативы граждан;
6) содействие профессиональной ориентации молодежи в выборе профессии и получении профессионального образования до начала ее трудовой деятельности;
7) улучшение качества рабочей среды, включая условия труда и технику безопасности, повышение уровня заработной платы и эффективное использование рабочего времени;
8) усиление социальной защиты населения от безработицы, смягчение и минимизация ее негативных социально-экономических последствий.
Основными проблемами в сфере занятости являются:
1) содержание излишней численности персонала;
2) нерациональная отраслевая структура и дисбаланс спроса и предложения рабочей силы по профессионально-квалификационным составляющим;
3) расширение масштабов неформальной занятости и нерегистрируемой безработицы.
Стратегической целью государственной политики на рынке труда является обеспечение свободно избранной, продуктивной занятости и создание условий для более рационального использования трудового потенциала общества в соответствии с профессиональными возможностями каждого человека. Повышение эффективности труда должно сопровождаться сокращением избыточной занятости на производстве и перераспределением рабочей силы в альтернативные сферы деятельности.
В ближайшие годы на фоне увеличения трудовых ресурсов прогнозируется сокращение численности работающих в общественном производстве – численность занятых в экономике может уменьшиться до 4210 тыс. чел.
В 2008–2010 гг. с учетом активизации структурной перестройки экономики ожидается более активное высвобождение работников из общественного производства. Численность занятых в экономике к 2010 г. может уменьшиться до 4125 тыс. чел. В структуре занятости произойдет переориентация на непроизводственные отрасли экономики за счет создания малых предприятий и расширения индивидуального предпринимательства в сфере услуг, где доля работающих увеличится до 58%. Сокращение уровня занятости ожидается в условиях уменьшения численности трудовых ресурсов, что обусловит снижение масштабов предложения рабочей силы на рынке труда. В результате уровень безработицы к концу 2010 г. сократится до 3,0–3,5% [12, 31].
Политика занятости населения в 2011–2020 гг. должна быть направлена на достижение наиболее полной сбалансированности спроса и предложения рабочей силы, повышение качества и конкурентоспособности трудового потенциала страны. В этот период прогнозируются более высокие темпы сокращения уровня занятости, что будет обусловлено дальнейшей оптимизацией численности кадрового персонала исходя из потребностей структурной перестройки производства, а также уменьшением притока кадров вследствие сокращения численности населения в трудоспособном возрасте. По прогнозу, численность занятых в экономике к 2020 г. сократится до 3865 тыс. чел. Политика приоритетного развития социальных отраслей и переориентации экономики на наукоемкие производства будет способствовать постепенному переходу к постиндустриальной модели занятости. Доля работающих в сфере услуг, по расчетам, увеличится до 64%.
Предполагается создать эффективные механизмы кадровой политики в направлении роста образовательного и профессионального уровня работников, формирования действенных стимулов к высокопроизводительному труду. Приоритетное внимание будет уделено обеспечению рационализации структуры занятости по профессиональному составу, повышению качества рабочей силы соответственно требованиям к профессиональной квалификации, предъявляемым на национальном и международном рынках труда. Стратегия повышения конкурентоспособности рабочей силы предусматривает решение проблем внешней трудовой миграции, включая такие задачи как содействие в трудоустройстве граждан Беларуси за рубежом, контроль за использованием иностранной рабочей силы, предупреждение нелегальной трудовой миграции, защита национального рынка труда.
Заключение
Для современной экономики страны проблема обеспеченности трудовыми ресурсами стоит чрезвычайно остро, причем наиболее дефицитным видом ресурсов, лимитирующим эффективность развития экономики в целом, являются трудовые ресурсы. Рабочая сила представляет собой особый товар, неотделимый от своего собственника. На перспективное обеспечение современных промышленных объектов экономики квалифицированной рабочей силой требуется длительный период времени и существенный объем инвестиций. В целях незамедлительного повышения эффективности использования ресурсов, в первую очередь, трудовых, необходимо принять оперативные меры по совершенствованию использования всех производственных ресурсов и их взаимодействия.
Возможности человеческих ресурсов как фактора экономического развития имеют огромное значение для предприятия и общества в целом. Изучение состояния трудового потенциала общества, территории, предприятия имеет очень важное практическое значение для сбалансирования ресурсов труда и числа рабочих мест с учётом всех изменений в численности и составе трудового потенциала, происходящих под влиянием социально-демографических процессов, совершенствования структуры экономики и производства, территориального размещения и других факторов.
Литература
1. Бабук И.М. и др. Экономика предприятия. – Мн.: БНТУ, 2003.
2. Белокрылова О.С. Экономика труда. – Ростов-на-Дону: Феникс, 2002. – 418 с.
3. Гринцевич Л.В. Экономика предприятия. – Мн.: ВУЗ-ЮНИТИ, 2004. – 326 с.
4. Жиделева В.В. Экономика предприятия. – М.: Инфра-М, 2001.
5. Иванов В.Ф. Трудовые ресурсы и рост благосостояния народа. – Мн.: Университетское, 1987.
6. Калинка А.А. Экономика предприятия. – Мн.: Ураджай, 2002. – 286 с.
7. Карлик А.Е. и др. Экономика предприятия. – М.: Инфра-М, 2003. – 246 с.
8. Кейлер В.А. Экономика предприятия. – М.: Инфра-М, 2001.
9. Крум Э.В. Экономика предприятия. – Мн.: РИВШ, 2005. – 318 с.
10. Лутохина Э.А. Трудовая активность и зарплата. – Мн.: Наука и техника, 1992.
11. Остапенко Ю.М. Экономика труда. – М.: Инфра-М, 2005. – 199 с.
12. Программы соцально-экономического развития Республики Беларусь на 2006 – 2010 годы. - Мн.: Мин-во экономики, 2006.
13. Раицкий К.А. Экономика предприятия. – М.: Дашков и К, 2002. – 348 с.
14. Рофе А.И. Экономика труда. – М.: МИК, 2000. – 248 с.
15. Саханов В.В., Демьянов П.В. Трудовые ресурсы лесопромышленного комплекса. – М.: Лесная промышленность, 1990. – 168 с.
16. Сергеев И.В. Экономика предприятия. – М.: Финансы и статистика, 2001.
17. Суша Г.З. Экономика предприятия. – М.: Новое знание, 2003. – 284 с.
18. Труд и занятость в РБ. – Мн.: Министерство статистики и анализа РБ, 2004.
19. Экономика предприятия. / Под ред. А.И. Руденко. – Мн.: Экос, 1995.
20. Экономика предприятия. / Под ред. А.С. Пелиха. – М.: Юнити, 2004. – 512 с.
21. Экономика предприятия. / Под ред. В.Я. Горфинкеля, В.А. Швандара. – М.: Юнити-Дана, 2003. – 462 с.
22. Экономика предприятия. / Под ред. В.Я. Хрипача. – Мн.: Финансы, учёт, аудит, 1997.
23. Экономика предприятия. / Под ред. Ф.К. Беа и др. – М.: Инфра-М, 2001.
24. Экономика предприятия./ Под ред. О.И. Волкова, В.Я. Позднякова. – М.: Инфра-М, 2006.
25. Экономика труда и социально-трудовых отношений. / Под ред. Г.Г. Мильквяна, Р.П. Колосовой. – М.: ЧеРо, 1996. – 623 с.
26. Экономика труда. / Под ред. Г.Р. Погосяна, Л.И. Жукова. – М.: экономика, 1991.
27. Экономика труда. / Под ред. П.Э. Шлендера, Ю.П. Кокина. – М.: Юристъ, 2003. – 592 с.
|