Банк рефератов содержит более 364 тысяч рефератов, курсовых и дипломных работ, шпаргалок и докладов по различным дисциплинам: истории, психологии, экономике, менеджменту, философии, праву, экологии. А также изложения, сочинения по литературе, отчеты по практике, топики по английскому.
Реклама
Полнотекстовый поиск
Всего работ:
364139
Теги названий
Реклама
VisitTime.ru помогает быстро организовать онлайн-запись клиентов и держать расписание под контролем.
📅 Настройте услуги и длительность приёма, откройте свободные окна — и клиенты запишутся сами в пару кликов.
🕒 Вы избегаете накладок, меньше тратите времени на переписки и звонки, а автоматические напоминания повышают явку.
💡 Отличное решение для мастеров, студий и сервисных команд, которым важны порядок и стабильная загрузка.
Начать пользоваться сервисом



Разделы
Авиация и космонавтика (304)
Административное право (123)
Арбитражный процесс (23)
Архитектура (113)
Астрология (4)
Астрономия (4814)
Банковское дело (5227)
Безопасность жизнедеятельности (2616)
Биографии (3423)
Биология (4214)
Биология и химия (1518)
Биржевое дело (68)
Ботаника и сельское хоз-во (2836)
Бухгалтерский учет и аудит (8269)
Валютные отношения (50)
Ветеринария (50)
Военная кафедра (762)
ГДЗ (2)
География (5275)
Геодезия (30)
Геология (1222)
Геополитика (43)
Государство и право (20403)
Гражданское право и процесс (465)
Делопроизводство (19)
Деньги и кредит (108)
ЕГЭ (173)
Естествознание (96)
Журналистика (899)
ЗНО (54)
Зоология (34)
Издательское дело и полиграфия (476)
Инвестиции (106)
Иностранный язык (62791)
Информатика (3562)
Информатика, программирование (6444)
Исторические личности (2165)
История (21319)
История техники (766)
Кибернетика (64)
Коммуникации и связь (3145)
Компьютерные науки (60)
Косметология (17)
Краеведение и этнография (588)
Краткое содержание произведений (1000)
Криминалистика (106)
Криминология (48)
Криптология (3)
Кулинария (1167)
Культура и искусство (8485)
Культурология (537)
Литература : зарубежная (2044)
Литература и русский язык (11657)
Логика (532)
Логистика (21)
Маркетинг (7985)
Математика (3721)
Медицина, здоровье (10549)
Медицинские науки (88)
Международное публичное право (58)
Международное частное право (36)
Международные отношения (2257)
Менеджмент (12491)
Металлургия (91)
Москвоведение (797)
Музыка (1338)
Муниципальное право (24)
Налоги, налогообложение (214)
Наука и техника (1141)
Начертательная геометрия (3)
Оккультизм и уфология (8)
Остальные рефераты (21692)
Педагогика (7850)
Политология (3801)
Право (682)
Право, юриспруденция (2881)
Предпринимательство (475)
Прикладные науки (1)
Промышленность, производство (7100)
Психология (8692)
психология, педагогика (4121)
Радиоэлектроника (443)
Реклама (952)
Религия и мифология (2967)
Риторика (23)
Сексология (748)
Социология (4876)
Статистика (95)
Страхование (107)
Строительные науки (7)
Строительство (2004)
Схемотехника (15)
Таможенная система (663)
Теория государства и права (240)
Теория организации (39)
Теплотехника (25)
Технология (624)
Товароведение (16)
Транспорт (2652)
Трудовое право (136)
Туризм (90)
Уголовное право и процесс (406)
Управление (95)
Управленческие науки (24)
Физика (3462)
Физкультура и спорт (4482)
Философия (7216)
Финансовые науки (4592)
Финансы (5386)
Фотография (3)
Химия (2244)
Хозяйственное право (23)
Цифровые устройства (29)
Экологическое право (35)
Экология (4517)
Экономика (20644)
Экономико-математическое моделирование (666)
Экономическая география (119)
Экономическая теория (2573)
Этика (889)
Юриспруденция (288)
Языковедение (148)
Языкознание, филология (1140)

Учебное пособие: Оценка вероятности банкротства организации

Название: Оценка вероятности банкротства организации
Раздел: Рефераты по экономике
Тип: учебное пособие Добавлен 21:41:52 21 ноября 2008 Похожие работы
Просмотров: 753 Комментариев: 21 Оценило: 3 человек Средний балл: 5 Оценка: неизвестно     Скачать

5 Оценка вероятности банкротства организации.

5.1 Понятие и правовые признаки банкротства;

5.2 Диагностика финансового кризиса;

5.3 Методика анализа банкротства организации.

5.1 Понятие и правовые признаки банкротства.

Понятие «банкротство» является сложной экономической категорией и имеет двухуровневую структуру проявления.

Первый, макроэкономический, уровень связан со структурной перестройкой экономики в целом. Динамизм экономических процессов, как часть нормального функционирования рыночной экономики, требует периодического повторения ситуации банкротства для той или иной организации: банкротство устраняет нежизнеспособные элементы рынка и тем самым «освобождает дорогу» наиболее эффективно действующим субъектам.

Финансовые трудности в целом и, банкротство в частности, служат своего рода индикаторами «слабости», неэффективности предыдущего распределения прав собственности, сигнализируя о неспособности данного конкретного собственника выполнять свою функцию в экономической системе оптимальным образом. Процесс устранения такого собственника и замены его теми, кто может справиться с делом наилучшим способом, составляет элемент закономерной эволюции рыночной экономики.

Второй уровень, микроуровень, включает два варианта толкования банкротства: финансовый и юридический, где банкротство выступает в разных формах и основывается на различных критериях.

С точки зрения финансового менеджмента банкротство - это заключительный этап развития кризисной ситуации, сопровождающийся разбалансировкой финансовых потоков организации, полной потерей ликвидности и финансовой устойчивости. Финансовый аспект базируется на критерии неоплатности.

Процесс развития кризисной ситуации в организации сопровождается постепенной потерей ее платежеспособности и, одновременно, повышением степени неплатежеспособности. Если же и механизм финансового оз­доровления, осуществляемый в рамках арбитражного процесса, не оказал реальной помощи, то должник признается банкротом по решению арбитражного суда (юридический аспект банкротства), что влечет его ликвидацию.

Некоторые отечественные авторы также указывают на постепенное созревание банкротства. По их мнению, банкротство зарождается в период «финансового здоровья», если последнее не подкреплено постоянной аналитической работой, направленной на выявление и нейтрализацию скрытых негативных тенденций. Ими выделяются три основные стадии банк­ротства: скрытая стадия неплатежеспособности, стадия финансовой неустойчивости и явное банкротство.

Реклама

С юридической точки зрения в соответствии с Федеральным законом «О несостоятельности (банкротстве)» № 127 - ФЗ от 26.10.2002 г. «...несостоятельность (банкротство) - признанная арбитражным судом или объявленная должником неспособность должника в полном объеме удовлетворить требования кредиторов по денежным обязательствам и (или) исполнить обязанность по уплате обязательных платежей».

Юридический аспект основывается на критерии неплатежеспособности. Важность юридического аспекта банкротства заключается в том, что именно с даты принятия заявления о признании должника (юридического лица) несостоятельным включается в действие весь экономико-правовой реабилитационный механизм, направленный на финансовое оздоровление кризисной организации.

В статье 3 Федерального закона №127-ФЗ от 26.10.2002 г. «О несостоятельности (банкротстве)» оговариваются признаки банкротства и юридического и физического лица:

1. Юридическое лицо считается неспособным удовлетворить требования кредиторов по денежным обязательствам и (или) исполнить обязанность по уплате обязательных платежей, если соответствующие обязательства и (или) обязанности не исполнены им в течение трех месяцев с момента наступления даты их исполнения.

2. Гражданин считается неспособным удовлетворить требования кредиторов по денежным обязательствам и (или) исполнить обязанность по уплате обязательных платежей, если соответствующие обязательства и (или) обязанности не исполнены им в течение трех месяцев с момента наступления даты их исполнения и если сумма его обязательств превышает стоимость принадлежащего ему имущества.

Это основные признаки банкротства. Кроме того, если иное не предусмотрено настоящим Законом, дело о банкротстве может быть возбуждено, если требования к должнику - юридическому лицу в совокупности составляют не менее 100 000 рублей, а к должнику -гражданину - не менее 10 000 руб., а также имеются признаки банкротства, установленные статьей 3 настоящего Федерального закона.

Для определения наличия признаков банкротства должника принимаются во внимание:

1. размер денежных обязательств, в том числе размер задолженности за переданные товары, выполненные работы и оказанные услуги;

Реклама

2. суммы займа с учетом процентов, подлежащих уплате должником, за исключением - обязательств перед гражданами, перед которыми должник несет ответственность за причинение вреда жизни и здоровью;

3. обязательства по выплате авторского вознаграждения;

4. а также обязательства перед учредителями (участниками) должника - юридического лица, вытекающие из такого участия.

Подлежащие уплате за неисполнение или ненадлежащее исполнение денежного обязательства неустойки (штрафы, пени) и иные меры ответственности не учитываются при определении размера денежных обязательств.

Рассмотренные выше признаки банкротства в большей степени относятся к юридическим.

Однако в экономической литературе выделяют и экономические признаки, которые подразделяют на две группы.

К первой группе относятся показатели, свидетельствующие о возможных финансовых затруднениях и вероятности банкротства в недалеком будущем:

• повторяющиеся существенные потери в основной деятельности, выражающиеся в хроническом спаде производства, сокращении объемов продаж и хронической убыточности;

• низкие значения коэффициентов ликвидности и тенденция их к снижению;

• наличие хронически просроченной кредиторской и дебиторской задолженности;

• увеличение до опасных пределов доли заемного капитала в общей его сумме;

• дефицит собственного оборотного капитала;

• систематическое увеличение продолжительности оборота капитала;

• наличие сверхнормативных запасов сырья и готовой продукции;

• использование новых источников финансовых ресурсов на невыгодных условиях;

• неблагоприятные изменения в портфеле заказов;

• падение рыночной стоимости акций организации;

• снижение производственного потенциала.

Во вторую группу входят показатели, неблагоприятные значения которых не дают основания рассматривать текущее финансовое состояние как критическое, но сигнализируют о возможности резкого его ухудшения в будущем при непринятии действенных мер. К ним относятся:

■чрезмерная зависимость организации от какого-либо одного конкретного проекта, типа оборудования, вида актива, рынка сырья или рынка сбыта;

■потеря ключевых контрагентов;

■недооценка обновления техники и технологии;

■вынужденные простои, неритмичная работа;

■неэффективные долгосрочные соглашения;

■недостаточность капитальных вложений.

После возбуждения арбитражным судом дела о банкротстве вводится процедура наблюдения и назначается временный управляющий. Определение о введении наблюдения выносится судьей арбитражного суда единолично. В случае, если невозможно сразу определить кандидатуру временного управляющего, вопрос о его утверждении может быть рассмотрен в течение 15 дней с момента вынесения определения о введении процедуры наблюдения.

Временный управляющий при проведении процедуры наблюдения осуществляет анализ финансового состояния должника (в соответствии с приказом ФСФО РФ от 23.01.2001 г. № 16 «Об утверждении «Методических указаний по проведению анализа финансового состояния организаций»; постановлением Правительства РФ № 367 от 25.06.2003 г., «Об утверждении правил проведения арбитражным управляющим финансового анализа»), инвентаризацию его имущества, формирует реестр требований кредиторов, готовит предложения о возможности или невозможности восстановления платежеспособности должника. Кроме того, он определяет дату первого собрания кредиторов, которое должно состояться не позднее чем за 10 дней до даты окончания процедуры наблюдения, и организует его проведение

При подготовке дела к судебному разбирательству арбитражный суд рассматривает заявление, жалобы и ходатайства лиц, участвующих в деле о банкротстве, устанавливает обоснованность требований кредиторов.

По ходатайству лиц, участвующих в деле о банкротстве, арбитражный суд может назначить экспертизу для выявления признаков фиктивного или преднамеренного банкротства должника. Цель такой экспертизы -обоснование наличия или отсутствия неправомерных действий в отношении организации - должника и его кредиторов.

Указанные действия представляют собой уголовные преступления, предусмотренные УК РФ.

Признаками фиктивного банкротства является наличие у должника возможности удовлетворить требования кредиторов в полном объеме на дату обращения должника в арбитражный суд с заявлением о признании его несостоятельным (банкротом).

Для установления наличия (отсутствия) признаков фиктивного банкротства определяется обеспеченность краткосрочных обязательств должника его оборотными активами ([OA - НДС] / [краткосрочные пассивы - доходы буд. периодов, фондов потребления, резервы предстоящих расходов и платежей]).

На основании рассчитанной величины К0 б делают следующие выводы о наличии признаков фиктивного банкротства:

1. Если значение К0 б > 1, то имеются признаки фиктивного банкротства

2. Если значение К0 б < 1, то признаки фиктивного банкротства отсутствуют.

С целью выявления признаков преднамеренного банкротства проводится анализ финансово-хозяйственной деятельности должника, который делится на 2 этапа:

1. Рассчитываются показатели, характеризующие изменения в обеспеченности обязательств должника перед его кредиторами, имевшие место за период проверки (обеспеченность обязательств должника всеми его активами; обеспеченность обязательств должника его оборотными активами; величина чистых активов);

2. Анализируются условия совершения сделок должника за этот же период, повлекших существенные изменения в показателях обеспеченности обязательств должника перед его кредиторами.

В случае, если на первом этапе установлено существенное ухудшение показателей, обеспечивающих обязательства, проводится экспертиза сделок должника за этот же период, реализация которых могла быть причиной соответствующей динамики показателей.

В результате проведенной экспертизы делают следующие выводы:

- если обеспеченность требований кредиторов за период проверки существенно не ухудшилась, то признаки преднамеренного банкротства отсутствуют;

если обеспеченность требований кредиторов за период проверки существенно ухудшилась, но сделки, совершаемые должником, соответствуют существовавшим рыночным условиям, нормам и обычаям делового оборота, то признаки преднамеренного банкротства отсутствуют;

- если обеспеченность требований кредиторов ухудшилась и сделки, совершенные должником, не соответствуют существовавшим рыночным условиям, нормам и обычаям делового оборота, то признаки преднамеренного банкротства усматриваются.

В случае, если выявлено отсутствие признаков банкротства или в ходе экспертизы установлено фиктивное банкротство, арбитражный суд выносит решение об отказе в признании должника банкротом.

5.2 Диагностика финансового кризиса.

Проявлению банкротства предшествует финансовый кризис, который представляет собой одну из наиболее серьезных форм нарушения финансового равновесия организации, отражающую циклически возникающие на протяжении ее жизненного цикла под воздействием разнообразных факторов противоречия между фактическим состоянием ее финансового потенциала и необходимым объем финансовых потребностей, несущие наиболее опасные угрозы ее функционированию.

Оценка кризисных симптомов организации и диагностирование ее финансового кризиса осуществляется задолго до проявления его явных признаков.

Диагностика финансового кризиса представляет собой систему целевого финансового анализа, направленного на выявление возможных тенденций и негативных последствий кризисного развития организации.

В зависимости от целей и методов осуществления диагностика финансового кризиса организации подразделяется на две основные системы:

1. система экспресс-диагностики финансового кризиса;

2. систему фундаментальной диагностики финансового кризиса.


Экспресс - диагностика финансового кризиса. Основной целью экспресс - диагностики является раннее обнаружение признаков кризисного развития организации и предварительная оценка масштабов ее кризисного состояния. Экспресс - диагностика проводится по следующим этапам:

1. Определение объектов наблюдения «кризисного поля». Основные показатели, учитываемые при анализе на этом этапе, представлены в Приложении 7 и таблицах 14, 15;

2. Формирование системы индикаторов оценки угрозы финансового кризиса организации;

3. Анализ отдельных сторон кризисного финансового развития организации, осуществляемый стандартными методами. Основу такого анализа составляет сравнение фактических показателей -индикаторов с плановыми и выявление размеров отклонений в динамике. Рост размера негативных отклонений в динамике характеризует нарастание кризисных явлений в финансовой деятельности организации;

4. Предварительная оценка масштабов кризисного финансового состояния организации. При оценке масштабов кризисного финансового состояния организации используют три характеристики, представленных в таблице 16.

Таблица 16

Масштабы кризисного финансового состояния организации и
возможные пути выхода из него

Масштаб кризисного состояния организации

Способы реагирования

Легкий финансовый кризис

Нормализация текущей финансовой деятельности

Глубокий финансовый кризис

Полное использование внутренних механизмов финансовой стабилизации

Катастрофический финансовый кризис

Поиск эффективных форм внешней санации (при неудаче - ликвидация организации)

Фундаментальная диагностика финансового кризиса характеризует систему оценки параметров кризисного финансового развития организации, осуществляемой на основе методов факторного анализа и прогнозирования.

Основными целями фундаментальной диагностики финансового кризиса являются следующие:

1. углубление результатов оценки кризисных параметров финансового развития организации, полученных в процессе экспресс-диагностики;

2. подтверждение полученной предварительной оценки масштабов кризисного финансового состояния организации;

3. прогнозирование развития отдельных факторов, генерирующих угрозу финансового кризиса организации и их негативных последствий;

4. оценка и прогнозирование способности организации к нейтрализации финансового кризиса за счет внутреннего финансового потенциала.

Фундаментальная диагностика финансового кризиса осуществляется по следующим этапам:

1. Систематизация основных факторов, обуславливающих кризисное финансовое развитие организации;

2. Проведение комплексного фундаментального анализа с использованием специальных методов оценки влияния отдельных факторов на кризисное финансовое развитие организации (полный комплексный анализ финансовых коэффициентов, корреляционный анализ, СВОТ - анализ);

3. Прогнозирование развития кризисного финансового состояния организации под негативным воздействием отдельных факторов (прогноз осуществляется на основе разработки многофакторных регрессионных моделей. В процессе прогнозирования учитываются факторы, оказывающие наиболее существенное негативное воздействие на финансовое развитие);

4. Прогнозирование способности организации к нейтрализации финансового кризиса за счет внутреннего финансового потенциала (определяется как быстро и в каком объеме организация способна обеспечить рост чистого денежного потока, снизить общую сумму финансовых обязательств снизить уровень текущих затрат и т.д.);

5. Окончательное определение масштабов кризисного финансового состояния организации.

5.3 Методики анализа вероятности банкротства организации.

Диагностика несостоятельности (банкротства) организации выражает систему финансового анализа, направленного на исследование признаков кризисного развития организации по данным финансовой отчетности.

Диагностика несостоятельности (банкротства) включает две подсистемы:

■ экспресс-диагностика банкротства;

■ фундаментальная (прогнозная) его диагностика. Экспресс-диагностику осуществляют по данным оперативного

финансового анализа. При экспресс - диагностике финансового состояния организации для предупреждения ее возможного банкротства целесообразно использовать дополнительные показатели. В качестве таких показателей предлагают использовать следующие:

1. Коэффициент текущей ликвидности (КТЛ):

КТЛ = оборотные активы

краткосрочные обязательства

Из краткосрочных обязательств исключают такие статьи V раздела бухгалтерского баланса, как «Доходы будущих периодов», «Резервы предстоящих расходов», «Задолженность перед участниками (учредителями) по выплате доходов». Рекомендуемое значение показателя равно 2.

2. Коэффициент обеспеченности собственными средствами (КОСС):

КОСС = СК +ДО - BOA

OA

где СК - собственный капитал;

ДО - долгосрочные обязательства;

BOA - внеоборотные активы;

OA - оборотные активы.

Рекомендуемое значение показателя равно 0,1


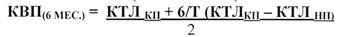
3. Коэффициент восстановления (утраты) платежеспособности (КВП) характеризуется отношением расчетного КТЛ к его нормативному
значению, равному двум. Расчетный КТЛ определяют как сумму его
фактического состояния на конец отчетного периода и изменения
этого показателя между окончанием и началом отчетного периода в
перерасчете на установленный период восстановления (утраты)
платежеспособности (6 и 3 месяца):

Рекомендуемое значение коэффициента восстановления платежеспособности равно 1 и, рассчитанный на период 6 месяцев, свидетельствует о наличии у организации реальной возможности восстановить свою платежеспособность.

Коэффициент восстановления платежеспособности менее 1 рассчитанный на 6 месяцев свидетельствует о том, что у организации нет реальной возможности восстановить свою платежеспособность.


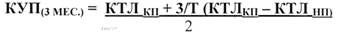
4. Коэффициент утраты платежеспособности (КУП) вычисляют по
формуле:

Коэффициент утраты платежеспособности со значением более 1 рассчитанный на период 3 месяца свидетельствует о наличии реальной возможности у организации не утратить свою платежеспособность.

Коэффициент утраты платежеспособности, принимающий значение менее 1 и определенный на период 3 месяца, свидетельствует о том, что у организации имеется реальная перспектива утратить платежеспособность в ближайшее время.

Принятие решения о признании структуры баланса неудовлетворительной, а организации - неплатежеспособной осуществляют, если коэффициент текущей ликвидности менее 2, а коэффициент обеспеченности собственными средствами менее 0,1.

Помимо рассмотренных коэффициентов, позволяющих установить несостоятельность организации, существуют и другие критерии, дающие возможность прогнозировать потенциальное банкротство. К их числу относят:

■ Неудовлетворительная структура активов (имущества) организации, которая выражается в росте доли труднореализуемых активов (сомнительной дебиторской задолженности; запасов с длительными сроками хранения; готовой продукции, не пользующейся спросом у покупателей);

■ Замедление оборачиваемости оборотных активов и ухудшение состояния расчетов с поставщиками, подрядчиками, покупателями и другими партнерами;

■ Сокращение периода погашения кредиторской задолженности при замедлении оборачиваемости оборотных активов;

■ Тенденция к вытеснению в составе обязательств «дешевых» заемных средств более «дорогими» и их неэффективное размещение в активе баланса и т.д.

Фундаментальную диагностику банкротства осуществляют с помощью
общепринятых коэффициентов финансовой устойчивости,

платежеспособности и ликвидности.

В экономической литературе приводится множество методик оценки банкротства организации, отличающихся набором используемых коэффициентов. Однако, как правило, при проведении анализа вероятности банкротства целесообразным является использование показателей, указанных в официальных источниках.

В настоящее время оценка финансового состояния организаций нормативно регулируется приказом ФСФО РФ от 23.01.2001 г. № 16 «Об утверждении «Методических указаний по проведению анализа финансового состояния организаций» - Приложение 9; приказом Минэкономразвития РФ от 21.04.2006 г. «Об утверждении методики проведения федеральной налоговой службой учета и анализа финансового состояния и платежеспособности стратегических предприятий и организаций»


Приложение 10.

Кроме того, часто в экономической литературе приводятся показатели для проведения финансового состояния организации, которые указаны в постановлении Правительства РФ № 367 от 25.06.2003 г., «Об утверждении правил проведения арбитражным управляющим финансового анализа» -

Приложение 11. Цель данного документа - обеспечить единство методик оценки финансового состояния организации арбитражным управляющим при введении соответствующих процедур банкротства.

Оценить/Добавить комментарий
Имя
Оценка
Комментарии:
Хватит париться. На сайте FAST-REFERAT.RU вам сделают любой реферат, курсовую или дипломную. Сам пользуюсь, и вам советую!
Никита11:11:52 02 ноября 2021
.
.11:11:50 02 ноября 2021
.
.11:11:50 02 ноября 2021
.
.11:11:50 02 ноября 2021
.
.11:11:49 02 ноября 2021

Смотреть все комментарии (21)
Работы, похожие на Учебное пособие: Оценка вероятности банкротства организации

Назад
Меню
Главная
Рефераты
Благодарности
Опрос
Станете ли вы заказывать работу за деньги, если не найдете ее в Интернете?

Да, в любом случае.
Да, но только в случае крайней необходимости.
Возможно, в зависимости от цены.
Нет, напишу его сам.
Нет, забью.



Результаты(294402)
Комментарии (4230)
Copyright © 2005 - 2024 BestReferat.ru / реклама на сайте