| НЕГОСУДАРСТВЕННОЕ ОБРАЗОВАТЕЛЬНОЕ УЧРЕЖДЕНИЕ
ИНСТИТУТ ПРОФЕССИОНАЛЬНОЙ ОЦЕНКИ
Кафедра «Оценочная деятельность и антикризисное управление
Работа допущена к защите:
_________________________
зав. кафедрой
к.э.н, проф. Тазихина Т.В.
ВЫПУСКНАЯ КВАЛИФИКАЦИОННАЯ (ДИПЛОМНАЯ) РАБОТА
на тему: ОЦЕНКА БАЗЫ ОТДЫХА С ЦЕЛЬЮ ПРОДАЖИ
Слушатель группы
профессиональной
переподготовки №
Макаров В.А.
Научный руководитель:
к.э.н., доц. Епифанова Н.Ш.
АСТРАХАНЬ
2008
Содержание
ВВЕДЕНИЕ
ГЛАВА 1. ПОНЯТИЯ, ЦЕЛИ И ПРИНЦИПЫ ОЦЕНКИ НЕДВИЖИМОСТИ
1.1. Анализ нормативно-правовой базы
1.2. Основные подходы и принципы оценки недвижимости
1.3. Основные этапы процесса оценки недвижимости
ГЛАВА 2. ПРАКТИЧЕСКИЙ РАСЧЕТ БАЗЫ ОТДЫХА
2.1. Характеристика объекта оценки
2.2. Оценка базы отдыха затратным подходом
2.3 Оценка базы отдыха сравнительным подходом
2.4. Оценка базы отдыха доходным подходом
2.5. Согласование результатов о рыночной стоимости недвижимости
ЗАКЛЮЧЕНИЕ
БИБЛИОГРАФИЯ
Становлению системы оценки прежде всего способствовало развитие землеустроительства и картографии. Важную роль сыграло издание по заказу Петра I первого комплекта карт, а затем – первого атласа Российской империи. Новый импульс эволюции института оценки собственности дало появление банковской системы. В частности, большое влияние на укрепление этого института оказало учреждение Дворянского банка, а затем Крестьянского банка, которые кредитовали под залог земли.
В XVIII веке в России начали появляться оценочные службы, а также учебные заведения для подготовки кадров. Возникновение школы оценки было обусловлено необходимостью создания фискального кадастра – описания и оценки недвижимого имущества для целей налогообложения. Появилась землемерная школа, которая позже была преобразована в Константиновский межевой институт. Специалисты этой школы проводили работы по генеральному и специальному межеванию земель, результаты которых заносились в поземельные книги.
Вторым и, пожалуй, главным направлением развития института профессиональной оценки в России являлась деятельность государства по созданию фискальной системы в области земельно-имущественного налогообложения. Эту функцию претворяли в жизнь податные инспекторы, при этом обязанности сборщика налогов и оценщика, как правило, совмещались.
Забиваем Сайты В ТОП КУВАЛДОЙ - Уникальные возможности от SeoHammer
Каждая ссылка анализируется по трем пакетам оценки: SEO, Трафик и SMM.
SeoHammer делает продвижение сайта прозрачным и простым занятием.
Ссылки, вечные ссылки, статьи, упоминания, пресс-релизы - используйте по максимуму потенциал SeoHammer для продвижения вашего сайта.
Что умеет делать SeoHammer
— Продвижение в один клик, интеллектуальный подбор запросов, покупка самых лучших ссылок с высокой степенью качества у лучших бирж ссылок.
— Регулярная проверка качества ссылок по более чем 100 показателям и ежедневный пересчет показателей качества проекта.
— Все известные форматы ссылок: арендные ссылки, вечные ссылки, публикации (упоминания, мнения, отзывы, статьи, пресс-релизы).
— SeoHammer покажет, где рост или падение, а также запросы, на которые нужно обратить внимание.
SeoHammer еще предоставляет технологию Буст, она ускоряет продвижение в десятки раз,
а первые результаты появляются уже в течение первых 7 дней.
Зарегистрироваться и Начать продвижение
После отмены в 1861 году крепостного права все виды и направления оценки, а также ее нормативно-правовая база значительно усовершенствовались. В этот период создаются инструкции по оценке и налогообложению недвижимости, сохранившие значение и в наши дни. Вышедшее в 1870 году «Городовое положение» предоставляло полномочия по проведению оценки городским органам самоуправления. Учет недвижимого имущества осуществляли городские и земские управы. Для определения ценности земли применяли установленную цену выкупа ее крестьянами, а оценка городской недвижимости производилась на основании показаний владельцев. С увеличением объема работы в некоторых земствах стали создавать специальные статистические бюро, осуществлявшие, в том числе, и оценку.
В 1893 году вышел первый в России закон об оценке (переоценке) всех видов недвижимого имущества, а также «Правила оценки недвижимых имуществ для обложения земскими сборами». Эти документы возлагали задачу оценки на региональные и местные органы власти. Они и сегодня во многом могут служить образцом для проведения оценки различных видов собственности.
В годы революции и Гражданской войны оценочные работы были свернуты, поскольку коммунистическая эпоха отрицала понятие частной собственности и проповедовала собственность коллективную. Профессия оценщика на протяжении 70 лет фактически отсутствовала.
Однако за последние десятилетия картина российской действительности изменилась до неузнаваемости. С началом процесса перехода экономики страны на рыночные принципы появилась реальная потребность в решении проблем оценки стоимости недвижимости. Появился средний класс, Росстат фиксирует постоянное увеличение доходов населения. Рост общего благосостояния и бурное развитие банковской системы способствуют тому, что все большее количество граждан получают возможность приобретать квартиры, дома, земельные участки, автомобили, яхты, ценные бумаги и т. д.
В новейшей истории России возвращение института оценки состоялось в середине 90-х годов XX века. Официально Министерство труда и социального обеспечения зарегистрировало профессию оценщика (эксперт по оценке) в 1996 году. В 1998 году был принят Федеральный закон РФ «Об оценочной деятельности», который определил правовые основы регулирования оценочной деятельности в отношении объектов оценки, принадлежащих Российской Федерации, субъектам РФ или муниципальным образованиям, физическим и юридическим лицам, для целей совершения сделок с объектами оценки.
Сервис онлайн-записи на собственном Telegram-боте
Попробуйте сервис онлайн-записи VisitTime на основе вашего собственного Telegram-бота:
— Разгрузит мастера, специалиста или компанию;
— Позволит гибко управлять расписанием и загрузкой;
— Разошлет оповещения о новых услугах или акциях;
— Позволит принять оплату на карту/кошелек/счет;
— Позволит записываться на групповые и персональные посещения;
— Поможет получить от клиента отзывы о визите к вам;
— Включает в себя сервис чаевых.
Для новых пользователей первый месяц бесплатно.
Зарегистрироваться в сервисе
Сегодня с людьми этой профессии человек сталкивается чаще всего в случае приобретения недвижимости. Оценка ее профессионалами, обладающими предоставленным им законом правом вычислять стоимость квартиры или дома, – одна из важнейших частей сделки купли-продажи недвижимости. Но мало кто знает, что сама профессия зародилась в России очень давно – несколько веков назад
Сегодня оценка развивается уже не только как прикладная отрасль рыночной экономики, но и как научно-методическое направление экономической науки. Необходимость в ней возникает при любых сделках, затрагивающих право собственности на имущество, будь то купля-продажа, сдача в аренду или раздел имущества, судебные и имущественные споры, страхование имущества, оптимизация его налогообложения, составление брачных контрактов или вступление в наследство. Даже привлечение банковского кредита, например ипотечного, не обходится без проведения оценки собственности.
Так что профессия оценщика становится все более востребованной, потому что вопрос «Сколько это стоит?» рано или поздно задает практически каждый обладатель того или иного имущества: дачи, квартиры, земельного участка, автомобиля или пакета акций Газпрома.
ГЛАВА 1. ПОНЯТИЯ, ЦЕЛИ И ПРИНЦИПЫ ОЦЕНКИ НЕДВИЖИМОСТИ
1.1
Анализ нормативно-правовой базы
Законы
03.03.2008 Федеральный закон от 24.07.2007 № 221-ФЗ О государственном кадастре недвижимости
02.10.2007 Федеральный закон «Об оценочной деятельности в Российской Федерации»
31.07.2007 Федеральный закон российской федерации от 24 июля 2007 г. N 220-ФЗ "О внесении изменений в федеральный закон "Об акционерных обществах" и отдельные законодательные акты российской федерации"
17.07.2007 Федеральный закон о внесении изменений в отдельные законодательные акты российской федерации по вопросам оценочной деятельности. От 13 июля 2007 года 129-ФЗ
04.12.2006 Федеральный Закон о внесении изменений в статью 18 Федерального Закона "О лицензировании отдельных видов деятельности"
29.07.2006 Федеральный закон Российской Федерации от 27 июля 2006 г. N 157-ФЗ О внесении изменений в Федеральный закон "Об оценочной деятельности в Российской Федерации"
27.07.2006 Федеральный закон о внесении изменений в федеральный закон "Об акционерных обществах" и некоторые другие законодательные акты российской федерации. От 05 января 2006года № 7-ФЗ (в ред. Федерального закона от 27.07.2006 N 157-ФЗ)
27.07.2006 Федеральный Закон о внесении изменений в Федеральный Закон "Об акционерных обществах"
20.07.2006 Федеральный закон от 31 декабря 2005 г. N 201-ФЗ "О внесении изменений в главу 25.3 части второй Налогового кодекса Российской Федерации и Федеральный закон "О признании утратившими силу некоторых законодательных актов (положений законодательных актов)
08.04.2004 Вопросы Федерального агентства по управлению федеральным имуществом
25.10.2001 Земельный Кодекс Российской Федерации
24.11.1999 Федеральный Закон "О Государственном земельном кадастре"
29.07.1998 Федеральный Закон "Об оценочной деятельности"
26.12.1995 Федеральный Закон "Об акционерных обществах"
29.05.1992 Закон о залоге
Подзаконные акты
09.04.2008 Постановление правительства Российской Федерации от 3 апреля 2008 г. N 234
28.02.2008 Постановление Правительства Москвы от 31.11.2004 № 838-ПП с последующими изменениями и дополнениями
22.02.2008 Положение о составе разделов Проектной документации и требованиях к их содержанию
16.02.2008 Постановление Правительства Российской Федерации от 16.02.2008 №80. Об утверждении Положения о лицензировании аудиторской деятельности
08.11.2007 Постановление Правительства Российской Федерации от 08.11.2007 №765. О признании утратившими силу некоторых решений правительства Российской Федерации по вопросам оценочной деятельности
03.07.2007 Постановление Правительства Российской Федерации от 03.07.2007 №423
20.12.2006 Постановление Правительства Российской Федерации от 20.12.2006 №782. Вопросы организации реализации федерального имущества
20.07.2006 О лицензировании оценочной деятельности
19.07.2006 Постановление от 14 февраля 2006г. №87
27.11.2004 Постановление Правительства Российской Федерации от 27.11.2004 №691. Положение о Федеральном агентстве по управлению федеральным имуществом
27.08.2004 Постановление Правительства от 27 августа 2004г. №443. Положение о Министерстве экономического развития и торговли Российской Федерации
14.10.2003 Постановление Правительства Москвы от 14.10.2003 №861 с последующими изменениями и дополнениями. Об утверждении методики расчета арендной платы за пользование объектами нежилого фонда, находящимися в собственности города Москвы
11.11.2002 Постановление Правительства Российской Федерации "Об организации и проведении торгов по продаже находящихся в государственной или муниципальной собственности земельных участков или права на заключение договоров аренды таких земельных участков"
19.04.2002 Постановление Правительства Российской Федерации "О реализации арестованного имущества"
28.08.2001 Постановление Правительства Москвы от 28.08.2001 № 778-ПП. Об утверждении положения об установлении в особом порядке арендной платы за объекты нежилого фонда, находящиеся в собственности Москвы
06.07.2001 Постановление Правительства Российской Федерации "Об утверждении стандартов оценки"
08.04.2000 Постановление Правительства Российской Федерации от 08.04.2000 №316. Об утверждении правил проведения государственной кадастровой оценки земель
25.08.1999 Постановление Правительства Российской Федерации "О Государственной кадастровой оценки земель"
20.08.1999 Постановление Правительства Российской Федерации "Об уполномоченном органе по контролю за осуществлением оценочной деятельности в Российской Федерации"
Акты министерств и ведомств
04.04.2008 Акты во исполнение постановления Правительства Российской Федерации от 10.08.2007 г. №505 "О порядке принятия федеральными органами исполнительной властви решений о даче согласия на заключение сделок по привлечению инвестиций
04.03.2008 Приказ ФСФР России от 08.02.2007 №07-13. Об утверждении положения о составе и структуре активов акционерных инвестиционных фондов и активов паевых инвестиционных фондов
09.10.2007 Приказ Росимущества от 09.10.2007 №184
09.10.2007 Приказ Росимущества от 09.10.2007 №185
09.10.2007 Приказ Росимущества от 09.10.2007 №186
09.10.2007 Приказ Росимущества от 09.10.2007 №187
02.10.2007 Квалификационный справочник должностей руководителей, специалистов и других служащих
20.07.2007 ФСО №3: Требования к отчету об оценке
20.07.2007 ФСО №1: Общие понятия оценки, подходы и требования к проведению оценки
20.07.2007 ФСО №2: Цель оценки и виды стоимости
27.06.2007 Совместное распоряжение Росимущества и РФФИ от 27.06.2007 №2378-р 120
02.03.2007 Приказ Минэкономразвития от «02» марта 2007 г. № 69 «Об утверждении положения о порядке ведения реестра членов саморегулируемой организации оценщиков, составе сведений, включаемых в реестр членов саморегулируемой организации оценщиков, порядке предоставле
29.09.2006 Приказ Минэкономразвития России от 29 сентября 2006г. № 303 «Об утверждении Положения о порядке проведения экспертизы отчета об оценке ценных бумаг, требованиях и порядке выбора саморегулируемой организации оценщиков, осуществляющей проведение экспертизы»
23.06.2005 Приказ Минэкономразвития России от 23 июня 2005г. № 138 «Об утверждении методических рекомендаций по государственной кадастровой оценке земель особо охраняемых территорий и объектов»
14.05.2005 Приказ Минэкономразвития России от 14 мая 2005г. № 99 «Об утверждении методических рекомендаций по государственной кадастровой оценке земель водного фонда»
1.2 Основные подходы и принципы оценки недвижимости
Теоретической основой процесса оценки является система оценочных принципов. В мировой практике принято выделять четыре группы оценочных принципов (рис. 1.1):
1-я группа: принципы, основанные на представлениях потенциального собственника;
2-я группа: принципы, вытекающие из процесса эксплуатации недвижимости;
3-я группа: принципы, обусловленные действием рыночной среды;
4-я группа: принцип наиболее эффективного использования.

Рис. 1.1. Принципы оценки недвижимости
Первая группа принципов оценки. Исходный принцип оценки стоимости недвижимости - принцип полезности, который означает, что чем больше объект недвижимости способен удовлетворить потребность собственника, тем выше его полезность и стоимость.
В экономической оценке полезность определяется величиной и сроками получения доходов или других выгод от использования объектов недвижимости (например, эксплуатация земельного участка в особом режиме — заповедники, лечебно-оздоровительные зоны — или связь объекта с историческими ценностями), а также от престижности.
Три подхода к оценке недвижимости раскрывают различные аспекты полезности.
С точки зрения сравнительного подхода рациональный покупатель не заплатит за объект недвижимости выше цены сопоставимого объекта, обладающего такой же полезностью.
С позиций затратного подхода за продаваемый объект недвижимости нецелесообразно платить больше, чем будет стоить строительство нового объекта аналогичной полезности в приемлемые сроки.
С точки зрения доходного подхода стоимость объекта недвижимости определяется возможностями инвестирования в другие объекты аналогичной полезности, т.е. в объекты, приносящие примерно одинаковый поток доходов.
Для некоторых видов недвижимости наибольшая полезность достигается, если объекты оцениваются как отдельные элементы, другие могут оказаться более полезными в качестве составной части имущественного комплекса (например, многофункциональные центры).
Принцип замещения означает, что при наличии определенного количества однородных (по полезности или доходности) объектов недвижимости самым высоким спросом будут пользоваться объекты с наименьшей ценой. Данный принцип исходит из возможности альтернативного выбора для покупателя, т.е. стоимость объекта недвижимости зависит от того, имеются ли на рынке аналогичные или замещающие объекты.
Принцип замещения связан с установлением верхней границы стоимости объектов недвижимости, которая обусловлена затратами на строительство заменяющей собственности в приемлемые сроки. Благоразумный покупатель не будет платить за объект недвижимости больше стоимости незастроенного земельного участка и затрат на строительство аналогичного строения.
Принцип замещения наиболее полно реализуется при новом строительстве, в районах массовой жилой или дачной застройки, когда преобладают однотипные земельные участки и высок уровень стандартизации архитектурных и градостроительных проектов зданий.
Принцип ожидания определяется тем, какой доход (с учетом величины и сроков получения) или какие выгоды и удобства от использования объекта недвижимости, включая выручку от последующей перепродажи, ожидает получить потенциальный собственник. Данный принцип лежит в основе оценки недвижимости доходным подходом и характеризует точку зрения потенциального пользователя на будущие доходы и их текущую стоимость. Например, стоимость земельного участка в населенном пункте, отведенного под жилую застройку, будет отражать капитализированную величину арендной платы (реальной или потенциально возможной), которую ожидает получить собственник от эксплуатации жилого дома.
Поскольку использование объектов недвижимости носит длительный характер, то оценка их рыночной стоимости в конкретном районе должна учитывать перспективные тенденции развития данной территории. В этом отношении принцип ожидания заставляет оценщика более тщательно анализировать и сопоставлять влияние принципов, отражающих текущую рыночную ситуацию, а именно — спроса и предложения и конкуренции.
Вторая группа принципов оценки обусловлена процессом эксплуатации недвижимости и включает принципы вклада, остаточной продуктивности, сбалансированности, разделения.
Принцип вклада — для оценки стоимости объекта недвижимости необходимо определить вклад каждого фактора и его важнейших элементов в формирование полезности и стоимости объекта.
Доходность объекта недвижимости определяется комбинацией четырех групп факторов: земли со строениями (если участок незастроенный, то только земли), оборудования и технических средств (для застроенного участка — также зданий и сооружений), рабочей силы и менеджмента. При этом стоимость каждой группы факторов зависит от того, насколько увеличивается стоимость всего объекта недвижимости от их использования с учетом имеющихся количественных и качественных характеристик.
Другими словами, вклад — это добавление в стоимость недвижимости, которое является результатом наличия конкретного фактора или его элементов.
Если рассматривать действие данного принципа в динамике, по отношению к расширяющемуся объекту, то величина каждого последующего вклада может и не соответствовать конкретным затратам на создание рассматриваемого компонента, поскольку общая стоимость недвижимости не всегда выступает простой суммой стоимостей отдельных составляющих элементов. Например, издержки на устройство подземной автостоянки в сумме 150000 долл. могут увеличить стоимость многоэтажного жилого дома на 300000 долл.
В данном случае проявляется действие закона предельной производительности, согласно которому вклад элементов недвижимости эффективен до тех пор, пока увеличение стоимости объекта превышает стоимость предельных затрат. Изучение типичных размеров вклада позволяет собственнику (застройщику) принять решение о том, нужно ли добавлять в объект недвижимости тот или иной его компонент или нет. Критерием целесообразности выступает соотношение величины вклада элемента какого-либо фактора в стоимость объекта и суммы затрат, необходимых для добавления этого элемента.
Принцип вклада часто используется для определения излишних или недостающих улучшений при анализе наиболее эффективного использования. Основной проблемой, связанной с оценкой величины вклада, является то, что на практике многие элементы, влияющие на стоимость, крайне редко могут быть выделены в чистом виде из состава недвижимости или добавлены к ней. Покупатель оценивает объект недвижимости как единый комплекс, а не как сумму отдельных компонентов, не проводит при этом поэлементных расчетов.
Особое положение среди указанных факторов занимает земельный участок со строениями, так как его вклад обусловлен принципом остаточной продуктивности. Остаточная продуктивность определяется как остаток дохода, отнесенный к объекту недвижимости, после того как оплачены затраты на труд, оборудование и технические средства, менеджмент.
Поскольку земля со строениями неподвижна, то необходимые для эффективного функционирования объекта оборудование и технические средства, труд и менеджмент должны быть привлечены к ней. Это означает, что собственник земли сначала должен оплатить расходы по привлечению этих трех факторов (если участок земли не застроен, то учитываются также затраты на строительство зданий или сооружений), после чего оставшийся доход может быть отнесен к земле. Следовательно, земля имеет остаточную стоимость и приносит доход только тогда, когда имеется остаток после удовлетворения требований к доходам всех привлекаемых компонентов (рис. 1.2).
| Компоненты
|
Формы компенсации
|
| Труд
|
Зарплата, комиссионные вознаграждения
|
| Оборудование и технические средства
|
Процент на вложенный капитал плюс амортизация
|
| Менеджмент
|
Прибыль, вознаграждение управляющим
|
| Земля со строениями
|
Арендная плата, состоящая из ренты, дохода на вложенный капитал и амортизации строений
|
Рис. 1.2. Компоненты недвижимости и формы их компенсации
Остаточная продуктивность объекта недвижимости, имеющего лучшее местоположение, существенно увеличивается, если оно позволяет получать дополнительные доходы за счет максимизации выручки от продаж, минимизации издержек, особенно транспортных, или за счет удовлетворения особых потребностей потребителей.
Например, максимизация денежной выручки достигается тогда, когда владелец бензоколонки приобретает участок, находящийся на оживленном транспортном узле, визуально открытый и легко доступный большому числу автомобилистов.
Минимизация затрат — потенциальный собственник складского помещения заплатит больше за участок, расположенный рядом с железнодорожной станцией или автомагистралью, чем находящийся в районе с плохой транспортной доступностью.
Удовлетворение особых запросов потребителей — арендатор жилья согласится на более высокую арендную плату за жилой дом, с которого открывается красивый пейзаж или который находится в экологически чистом районе крупного города.
Изменение того или иного компонента, необходимого для нормального функционирования объекта недвижимости, может увеличивать или уменьшать стоимость объекта. Эта закономерность проявляется через принцип сбалансированности.
Принцип сбалансированности — для каждого типа землепользования необходимы определенные компоненты объекта, оптимальное сочетание которых обеспечивает максимальную стоимость недвижимости.
Другими словами, любому типу недвижимости соответствует оптимальное сочетание взаимодействующих элементов в структуре объекта недвижимости, классов недвижимости в масштабах района или города (поселения), при котором достигается состояние равновесия, обеспечивающее максимальную стоимость всего объекта.
Сбалансированность нарушается, если здания на земельном участке характеризуются недостаточными усовершенствованиями или, наоборот, имеют излишние улучшения по отношению к данному земельному участку, например, его размеру.
Дисбаланс также может возникнуть, когда сооружения на земле неадекватны или избыточны по сравнению с внешним окружением, т.е. нарушается принцип соответствия. В любом из этих случаев объект недвижимости теряет стоимость из-за недостаточно эффективного использования, а риск по вероятным сделкам с такой недвижимостью увеличивается.
Необходимо подчеркнуть, что принцип сбалансированности способствует достижению оптимального размера объекта недвижимости при существующем варианте его использования с учетом сложившихся рыночных стандартов, типа землепользования и условий внешнего окружения.
Принцип сбалансированности действует не только в масштабе отдельного объекта, но и квартала, района, города в целом. В этом случае существующее количество объектов недвижимости различного назначения должно соответствовать рыночному спросу, т.е. числу вариантов их использования.
Для объектов недвижимости сбалансированность характеризуется экономическими показателями емкости и эффективности.
Емкость показывает, сколько объектов недвижимости может быть приложено к определенному земельному участку, при этом местные органы атасти могут: регулировать параметры недвижимости (высоту, плотность застройки, эффективность использования земельного участка); устанавливать требования по сохранению ландшафта, исторической застройки, охране памятников истории и культуры, по природоохранным мероприятиям.
Эффективность определяется тем, какой уровень прибыли может обеспечить сочетание земельного участка с расположенными на нем строениями при реализации различных проектов застройки.
При рассмотрении возможных вариантов повышения эффективности использования объекта недвижимости необходимо учитывать принцип разделения элементов недвижимости и имущественных прав на них.
Принцип разделения означает, что физические элементы недвижимости и имущественные права на них можно разделять и соединять таким образом, чтобы достичь максимальной стоимости объекта.
Характерная черта недвижимости заключается в том, что она не может быть перемещена с одного места в другое, т.е. имеет фиксированное местоположение. Поэтому переход объекта недвижимости от продавца к покупателю происходит путем передачи прав на нее. Чем более совершенны нормативные документы, регулирующие разнообразные права на недвижимость и их отчуждение, тем шире и динамичнее рынок недвижимости, тем ниже степень риска и рациональнее затраты, связанные с приобретением недвижимости. При разделении физических элементов недвижимости и имущественных прав на них возможны следующие варианты:
• пространственное разделение: разделение прав на воздушное пространство, на почвенный слой земли, на подземное пространство с недрами, на водные ресурсы прибрежных полос, разбиение земельного массива на отдельные участки, разделение здания на подвальное помещение, этажи и т.д.;
• разделение по видам имущественных прав: аренда, ограниченное использование, ипотека, внесение в уставные фонды предприятий, эмиссионное обеспечение для выпуска акций;
• разделение по времени владения или пользования: краткосрочная и долгосрочная аренда, бессрочное пользование, пожизненное владение, право хозяйственного ведения, оперативного управления.
Третья группа принципов оценки, обусловленных действием рыночной среды, включает спрос и предложение, конкуренцию, соответствие и изменение внешней среды.
Принцип спроса и предложения означает, что цена недвижимости изменяется в результате взаимодействия спроса и предложения. Он выражает взаимозависимость между растущей потребностью в объектах недвижимости в условиях социально-экономического развития общества и ограниченностью предложения, обусловленной природной ограниченностью земельных участков, а также экономическими издержками на строительство (реконструкцию) улучшений.
Спрос - это представленная на рынке платежеспособная потребность в объектах недвижимости.
При изучении спроса рыночная информация о сделках с недвижимостью классифицируется по однородным группам, при этом объекты, входящие в определенную группу, должны конкурировать между собой на одном сегменте рынка.
Сложность анализа спроса зависит от назначения объекта недвижимости и возрастает по мере перехода от незастроенных земельных участков к имущественным комплексам.
Предложение — это количество объектов недвижимости, которое может быть выставлено на продажу при сложившемся уровне цен. Необходимо отметить, что предложение земли в целом выступает как фиксированная величина, ограниченная самой природой, поскольку земля является свободно невоспроизводимым товаром. В то же время отмечается устойчивая структурная тенденция перераспределения земли по целевому назначению: увеличиваются земли поселений, промышленности, транспорта, связи и иного специального назначения; сокращаются земли лесного фонда и запаса.
Принцип спроса и предложения, как основа механизма рыночного саморегулирования, объясняет большие различия в ценах на объекты недвижимости в зависимости от их целевого назначения и местоположения.
Принцип конкуренции означает, что цены на объекты недвижимости устанавливаются посредством постоянного соперничества субъектов рынка, которые стремятся к получению максимальной прибыли. Высокая норма прибыли стимулирует привлечение капиталов на рынок недвижимости и усиливает конкуренцию.
Положительная роль конкуренции состоит в том, что только на конкурентном рынке можно определить рыночную стоимость, когда она выравнивает доходность инвестиций в разных сегментах рынка недвижимости. При наличии монополизма сверхприбыль порождает разрушительный характер конкуренции, подрывает действие рыночных механизмов и в конечном счете приводит к искажению рыночной стоимости недвижимости. Особенно опасен этот процесс на стадии зарождения и становления рынка недвижимости (прежде всего земли), характерной для нашей страны.
Особенностями конкурентной ситуации на российском рынке недвижимости являются ограниченное количество продавцов и покупателей, значительный контроль за некоторыми сегментами рынка со стороны отдельных участников, наличие препятствий для вхождения на рынок, низкий уровень неценовой конкуренции.
При анализе сложившейся конкурентной ситуации необходимо иметь в виду, что конкуренция лежит в основе динамики кривых спроса и предложения и выступает исходной предпосылкой для максимизации прибыли. При этом следует отметить, что прибыль, приходящаяся на земельные участки с улучшениями, отличается от производственной прибыли. Средняя прибыль в сфере производства товаров и услуг представляет собой вознаграждение за вложение капитала, управление производством, инициативу и риск. Она проявляется как разница между валовой выручкой и издержками производства, и любой собственник стремится определить объем производства, который максимизирует прибыль в данных конкурентных условиях.
Доход от инвестирования в недвижимость также выступает формой вознаграждения за капиталовложения в землю и расположенные на ней объекты. В то же время это не норма дохода на капитал, а ожидаемый чистый операционный доход, остающийся после оплаты операционных расходов и расходов на замещение, который формируется по остаточному принципу.
Учет принципа конкуренции проявляется в том, что если на рынке недвижимости ожидается обострение соперничества, то оценщик или уменьшает величину прогнозируемых доходов, или повышает степень риска.
Кроме того, объекты недвижимости, которые имеют экономические преимущества сегодня, не обязательно сохранят их в будущем. Поэтому если собственник получает доход, превышающий среднерыночную величину, то вероятность его дальнейшего поступления требует тщательного обоснования, например, заключения договоров долгосрочной аренды.
Принцип соответствия состоит в том, что максимальная стоимость объекта недвижимости возникает тогда, когда имеются разумный уровень архитектурной однородности и совместимый характер землепользования. Соответствие характеристик объекта недвижимости потребностям и ожиданиям местного рынка обеспечивает высокий рыночный спрос на него, а следовательно, и высокую стоимость.
Прежде всего принцип соответствия проявляется через прогрессию и регрессию.
Эффект прогрессии заключается в положительном воздействии внешнего окружения или соседних объектов на стоимость недвижимости. Например, в результате функционирования в данном районе объектов, обеспечивающих высокий уровень инфраструктуры, стоимость недвижимости повышается.
Регрессия имеет место, во-первых, когда объект недвижимости характеризуется излишними улучшениями, которые не востребованы рынком, или когда внешнее окружение оказывает отрицательное воздействие на процесс эксплуатации объекта. Например, при выборе местоположения земельного участка необходимо принимать во внимание внешние объекты, существование которых может негативно отразиться на выбранном варианте застройки. Регрессия возникнет при соседстве объектов отдыха с производственными предприятиями, которые загрязняют окружающую среду, являются источниками шума, неприятных запахов и т.п. Во-вторых, данный принцип требует определенного соответствия назначения объекта недвижимости его местоположению с точки зрения приобретения материально-технических средств или продажи товаров и услуг. Так, при строительстве торговых предприятий предпочтение отдается участкам, расположенным на основных магистралях, площадях, рядом с железнодорожными станциями, аэропортами, остановками пассажирского транспорта. Для таких объектов, как кафе, рестораны, мотели, бензоколонки, магазины запчастей, горюче-смазочных материалов, огромное значение имеет визуальная открытость со стороны дорожного движения.
Критерии соответствия, как и стандарты в целом, совершенствуются по мере роста городов и нарастания многообразия форм землепользования. Принцип соответствия имеет первостепенное значение при определении величины износа объекта недвижимости. Объект недвижимости, который не соответствует установившимся социальным, экономическим и архитектурным стандартам, теряет в стоимости из-за функционального или внешнего износа.
Принцип изменения внешней среды предполагает при оценке объектов недвижимости учет возможных изменений экономических, социальных и юридических условий, при которых они используются, а также учет внешнего окружения и перспектив развития района.
Принцип изменения внешней среды обязательно учитывается при написании отчета об оценке посредством указания даты, на которую определена стоимость объекта недвижимости.
Принципом, обобщающим влияние указанных ранее трех групп принципов оценки, является наиболее эффективное использование (НЭИ).
Четвертая группа принципов оценки (НЭИ) означает, что из возможных вариантов использования объекта недвижимости выбирается тот, при котором наиболее полно реализуются функциональные возможности земельного участка с улучшениями. Именно этот вариант применяется для оценки стоимости недвижимости.
Оценщик делает поправку на потери при сборе платежей, анализируя ретроспективную информацию по конкретному объекту с последующим прогнозированием данной динамики и таким образом может определить вариант, приносящий максимально возможный доход от земельного участка независимо от того, застроен участок или нет и какие строения находятся на нем на дату оценки.
НЭИ определяется как использование недвижимости, которое:
а) является законодательно разрешенным, т.е. соответствует юридическим нормам, включая распоряжения о зонировании и нормы охраны окружающей среды, градостроительные ограничения, требования по охране памятников истории архитектуры, благоустройству прилегающей территории и т.п.;
б) физически осуществимо, т.е. размер и форма земельного участка, его транспортная доступность, имеющиеся строения позволяют реализовать выбранный вариант использования;
в) финансово обосновано с точки зрения окупаемости инвестируемого капитала, т.е. использование обеспечивает доход, превышающий капитальные затраты, эксплуатационные расходы и финансовые обязательства;
г) обеспечивает наивысшую стоимость или доходность недвижимости.
НЭИ рассматривается в два этапа: во-первых, земельного участка как свободного, во-вторых, участка земли с существующими улучшениями. Если участок свободен от строений, то определяется, какой объект наиболее эффективно построить с учетом правовых, градостроительных, экологических и иных ограничений, а также с учетом перспектив развития района.
Если на земельном участке уже имеется застройка, то вариантами наиболее эффективного использования могут быть ремонт, модернизация или реконструкция. Сложившееся использование будет продолжаться до тех пор, пока стоимость земли при ее оптимальном применении не превысит общую стоимость земли и построек при текущем использовании за вычетом затрат по сносу имеющихся сооружений. В последнем случае вариантом НЭИ станет снос имеющихся строений.
Таким образом, объекты недвижимости в случае снижения эффективности их использования могут изменять свое назначение. Это происходит как в результате износа зданий и других улучшений, так и под воздействием тенденций на рынке недвижимости.
НЭИ может развиваться с течением времени под влиянием рыночных стандартов и внешних изменений. Если недавно около земельного участка пролегла автострада, то его наилучшим использованием может стать строительство заправочной станции, пункта быстрого питания или автосервиса.
На практике принцип НЭИ является исходной предпосылкой, на которой основывается выбор конкретного вида оцениваемой стоимости недвижимости и строится заключение об ее величине. Например, при определении наиболее вероятной цены продажи (рыночной стоимости) объекта недвижимости принцип НЭИ трактуется как наиболее вероятное использование существующего объекта недвижимости, тогда как при определении инвестиционной стоимости акцент в интерпретации делается на наиболее эффективное использование объекта недвижимости с возможными улучшениями.
Существующие сегодня в России административные ограничения и зонирование часто не отражают требований развивающегося рынка недвижимости, и поэтому фактическое использование земельного участка с улучшениями часто не соответствует наилучшему варианту.
Все вышеперечисленные принципы оценки недвижимости тесно взаимосвязаны и в зависимости от вида и специфики оцениваемого объекта, от используемого метода оценки могут играть основную или вспомогательную роль.
Эти принципы представляют собой теоретическую основу оценки стоимости объектов недвижимости. На них базируются три фундаментальных подхода к оценке недвижимости — доходный, сравнения продаж и затратный.
1.3 Основные этапы процесса оценки недвижимости
Процесс оценки недвижимости включает следующие этапы:
1-й этап. Определение задачи оценки
Цель оценки
Вил определяемой стоимости
Установление оцениваемых имущественных прав
Дата оценки
2-й этап. Составление плана и договора на проведение оценки
График работ по оценке
Источники информации
Выбор методов оценки
Затраты на проведение оценки
Денежное вознаграждение за проведение оценки
Составление договора на оценку
3-й этап. Сбор и анализ информации
Осмотр объекта и прилегающей территории
Юридическое описание объекта недвижимости
Физические характеристики и местоположение
Экономическая информация
Проверка достоверности собранной информации
Анализ и обработка информации
4-й этап. Анализ наиболее эффективного использования
Анализ земельного участка Анализ земельного участка
как условно свободного с улучшениями
Правовая обоснованность выбранного варианта использования
Физическая осуществимость
Финансовая целесообразность
Наивысшая стоимость недвижимости
5-й этап. Расчет оценочной стоимости объекта недвижимости на основе трех подходов:
- оценка стоимости на основе доходного подхода
- оценка стоимости на основе сравнительного подхода
- оценка стоимости на основе затратного подхода
6-й этап. Согласование полученных результатов и выведение итоговой величины стоимости объекта недвижимости
Проверка полученных данных о величине стоимости
Допущения и ограничивающие условия, обусловленные полнотой и достоверностью использованной информации
Выведение итоговой величины стоимости
7-й этап. Составление отчета об оценке
Рынок недвижимости России по историческим меркам еще очень молод. Начало его развития можно датировать серединой 1990 года, когда вместе с процессом приватизации в Москве появились первые легальные сделки по продаже квартир. В других городах старт рынка жилья произошел вместе с общим началом либерализации экономики (1992 г.), в третьих - в 1993 году и позже. За прошедшие 10-15 лет он проделал беспрецедентно большой путь становления и развития.
По своей природе рынок недвижимости, в отличие от большинства других рынков (товарных, сырьевых, фондовых и др.), не является конкурентным, что обусловлено специфическими особенностями недвижимости как товара, и, следовательно, собственно рынка. Такими особенностями являются:
1. Сложность стандартизации объектов на рынке недвижимости - каждое здание или земельный участок имеют свое индивидуальное местоположение и внешнее окружение.
2. Предложение на рынке земли является абсолютно не эластичным, а предложение на зданий (сооружений) ограничено объемами нового строительства.
3. Высокая стоимость недвижимости и ее специализированный характер ограничивают число участников рынка.
4. Товаром на рынке недвижимости являются права на объекты, вследствие чего сделки с недвижимостью требуют дополнительного оформления и государственной регистрации.
5. Информация на рынке недвижимости не столь открыта, как на рынках потребительских товаров или ценных бумаг. Сделки часто имеют конфиденциальный характер.
6. Сделки с недвижимостью требуют крупных инвестиций, поэтому степень развития рынка зависит от доступности кредитов.
7. Рынок недвижимости отличает высокая степень государственного регулирования.
Рынок недвижимости представляет собой систему экономических отношений, характеризующуюся цикличностью развития, при помощи которой осуществляется передача прав собственности.
Динамика изменения циклов развития рынка недвижимости приведена ниже:

Рисунок 1.3. Динамика изменения циклов развития рынка недвижимости
Цикл спада
наблюдается тогда, когда рынок перенасыщен. Количество непроданных объектов увеличивается, новое строительство сокращается до минимума или прекращается совсем, кредиторы неохотно финансируют операции с недвижимым имуществом, цены снижаются.
Цикл поглощения
характеризуется увеличением спроса на недвижимость. Рынок начинает поглощать непроданные объекты, увеличивается арендная плата, у кредиторов появляется интерес к недвижимости, цены начинают расти.
Цикл нового строительства
имеет место при росте спроса и ограниченности предложения, т.е. когда существующих объектов не хватает для удовлетворения потребностей рынка.
Цикл насыщения
характеризуется снижением объемов продажи. В итоге возникает излишек готовой строительной продукции и мощностей, уровень занятости снижается, новое строительство постепенно сворачивается, цены начинают снижаться.
Основные группы факторов, объективно влияющих на стоимость объектов недвижимости, на структуру спроса и предложения, представлены далее на рисунке 1.4.

Рис. 1.4. Основные группы факторов, объективно влияющих на стоимость объектов недвижимости, на структуру спроса и предложения
Рынок недвижимости может быть сегментирован по местоположению, по типам прав на объекты, функциональному назначению и другим параметрам.
При классификации объектов недвижимости по функциональному назначению выделяют следующие сегменты рынка:
- земельные участки;
- жилая недвижимость;
- нежилая недвижимость.
Нежилая недвижимость включает в себя доходную недвижимость, т.е. объекты, которые могут приносить доход в виде арендной платы (торговая, офисная, промышленная и складская недвижимость, а также многофункциональные объекты).
Определение сегмента рынка выявляет круг объектов недвижимости, имеющих общих потенциальных покупателей и продавцов, которые, в свою очередь, посредством реализации своих интересов определяют ценообразующие факторы для конкретного сегмента.
Анализ астраханского рынка недвижимости
На протяжении всего периода существования современного мирового рынка недвижимости и девелоперского бизнеса наблюдается устойчивая связь между политической обстановкой и инвестиционной активностью на рынке. Относительная политическая и экономическая стабильность в стране, в последнее время, способствуют развитию деловой активности и как следствие развитию рынка недвижимости.
В своем движении от централизованной к свободной, рыночной экономики рынок недвижимости в Астраханской области проделал значительный путь. Он совпадает с общим движением экономической реформы в стране. На данном этапе развития рынка отмечается превышение предложения над спросом.
Развитие рынка недвижимого имущества особенно заметно в г. Астрахани. Так, в центральной части города планируется поэтапная реконструкция старых кварталов, предусматривающая сохранение исторических зданий и так называемой фоновой застройки, представляющей архитектурную ценность. Комплексная реконструкция сохраняемых зданий предусматривает ремонт и реставрацию фасадов и полное внутреннее обновление зданий с возможным изменением их назначения, переселением жильцов в благоустроенные квартиры, замену инженерных коммуникаций, комплексное благоустройство прилегающих территорий. Уже разработано несколько инвестиционных проектов на здания центральной части города с организацией в них торговых комплексов, гостиниц, офисов. Новая застройка со сносом ветхих зданий в центральной части города планируется только на выборочных площадках и ограничивается по этажности с целью сохранения восприятия комплекса Астраханского кремля и других архитектурных доминант исторического центра. Для всех без исключения зданий, размещаемых в центральной части города, обязательным требованием является индивидуальное проектирование, с коллегиальным рассмотрением проектов на заседаниях Градостроительного Совета при управлении Главгорархитектуры. В ближайшие годы будет построен конгресс-центр на базе начатого много лет назад здания речного вокзала на набережной р. Волги. В этом современном многофункциональном комплексе предусмотрены службы речного вокзала, гостиничные номера, фешенебельный ресторан, офисные помещения, культурно-развлекательный блок помещений и многое другое. Как неотъемлемая часть этого комплекса, получит новую жизнь парк 17-й пристани, и расположенный рядом с ним Молодежный проспект.
Построен крупный торговый комплекс по ул. Бакинской, в котором размещены многопрофильные торговые и офисные помещения.
В массовом жилищном строительстве сохранится современное направление строить жилые дома с различными типами квартир, от обычных до крупногабаритных, с улучшенной планировкой, рассчитанных на любой вкус и достаток. Уже нет возврата к типовому тиражированию многоэтажек, каждый жилой дом не похож на другой, и все они максимально учитывают особенности астраханского климата с его жарким летом и весенними ветрами. Градостроители больше не планируют «расползания» новых микрорайонов по окраинам города, как это было раньше. Проводимая мэрией и управлением Главгорархитектуры современная градостроительная политика ставит в равные условия инвесторов, занимающихся жилищным строительством, поскольку строительные площадки в городе выделяются после предварительного заключения договоров об обязательных нормативных отчислениях жилой площади от всех вновь строящихся жилых домов, размер которых зависит от условий строительных площадок. В ближайшие годы продолжится застройка районов Бабаевского, Эллинга, микрорайонов «Никитинский бугор» № 1 и № 2, «Приволжский затон», по ул.С.Перовской, ул. Куликова и других по ул. Яблочкова - Зеленая, за железнодорожным вокзалом, и по ул. Кирова - Н.Островского.
Уже сейчас по удельному весу вновь строящегося жилья на душу населения Астрахань лидирует среди других городов России, и будет строиться еще больше благодаря ожидаемой государственной поддержке, запланированной на реализацию Программы ликвидации ветхого и аварийного жилого фонда.
Огромный вклад в обновление облика города вносят предприниматели, силами которых построены десятки современных торгово-остановочных комплексов, магазинов, автозаправочных станций, предприятий обслуживания. Выкупая квартиры первых этажей старых зданий, предприниматели превращают их в оборудованные магазины, приводят в порядок фасады и укладывают тротуарную плитку на тротуарах. На смену киоскам и павильонам, установленным в городе на первых шагах развития предпринимательской деятельности, приходят современные минимаркеты и торговые центры. Впереди большая работа по реализации уже разработанных специалистами управления Главгорархитектуры инвестиционных проектов на реконструкцию всех сегодняшних городских рынков и строительство новых, которые будут представлять многофункциональные торговые комплексы с прекрасными условиями для продавцов и покупателей, с организацией нормальных подъездов и мест парковки автотранспорта.
Увеличение темпов экономического роста, расширение коммерческих структур и рост их количества обуславливают увеличение спроса на коммерческую недвижимость или нежилые помещения. Основные составляющие структуры сдаваемых в аренду или реализуемых нежилых помещений - это офисные помещения, торговые помещения, складские и производственные помещения. На рынке недвижимости сложилась следующая структура спроса и предложения: наибольшим спросом пользуются торговые помещения или магазины. Наибольшим спросом на рынке пользуются небольшие помещения, расположенные в черте города. Продажа крупных объектов нежилой недвижимости явления не частое. Наблюдая за публикациями в средствах массовой информации можно видеть, что объявления о продаже одних и тех же объектов достаточно регулярно появляются в течение 4-6 месяцев.
Собственники объектов нежилой недвижимости большей частью предпочитают сдавать недвижимость в аренду, поэтому основная часть предлагаемой к продаже нежилой недвижимости располагается в отдаленных районах города и требует значительных капиталовложений для их дооснащения и ремонта. Несмотря на то, что нежилые помещения, пользуются достаточно устойчивым спросом, вполне очевидно, что на рынке существует множество невостребованных площадей.
Цены на нежилые помещения (в пересчете за 1 м2
) зависят в первую очередь от следующих основных факторов:
- назначения нежилого помещения;
- месторасположения;
- технического состояния;
- площади.
Кроме того, на стоимость нежилых помещений влияют и такие факторы, как наличие телефонных линий, количество мест на автостоянке, наличие охраны и пр. К стоимостным факторам относятся условия заключения договора (прямая аренда, субаренда, договор о совместной деятельности).
В настоящее время рынок недвижимости в Астраханском регионе функционирует в цикле нового строительства.
Проведенный нами анализ арендных ставок и стоимости 1 м2
площади офисных зданий, объектов торговли, производственных помещений по состоянию на дату оценки на вторичном рынке недвижимости г. Астрахани свидетельствует о значительности разброса значений.
| Вид объекта недвижимости
|
Арендная ставка за 1м2
в месяц без эксплутационных расходов (руб)
|
Стоимость 1 м2
(руб)
|
Максимальное значение (руб.)
|
Минимальное значение (руб)
|
Среднее значение
|
| Арендная ставка за 1м2
в месяц без эксплутационных расходов (руб)
|
Стоимость 1 м2
(руб)
|
Арендная ставка за 1м2
в месяц без эксплутационных расходов (руб)
|
Стоимость 1 м2
(руб)
|
Арендная ставка за 1м2
в месяц без эксплутационных расходов (руб)
|
Стоимость 1 м2
(руб)
|
| Офисное помещение в целом
|
400-1000
|
30000-80000
|
1000
|
80000
|
400
|
30000
|
700
|
55000
|
| Офисное помещение удаленное от центра до 5 км
|
350-600
|
25000-60000
|
600
|
60000
|
350
|
25000
|
475
|
42500
|
| Офисное помещение удаленное от центра от 5 км
|
300-500
|
20000-50000
|
500
|
50000
|
300
|
20000
|
400
|
35000
|
| Торговое центр
|
800-3500
|
50000-100000
|
3500
|
100000
|
800
|
50000
|
2150
|
75000
|
| Торговое помещение удаленное от центра от 5 км
|
600-1500
|
35000-65000
|
1500
|
65000
|
600
|
35000
|
1050
|
50000
|
| Складские помещения
|
50-250
|
5000-25000
|
250
|
25000
|
50
|
5000
|
150
|
15000
|
| Производственное помещение
|
50-150
|
5000-20000
|
150
|
20000
|
50
|
5000
|
100
|
12500
|
Рынок офисных помещений
В отличие от рынка жилья, который время от времени захлестывают периоды ажиотажа, рынок офисной недвижимости достаточно стабилен в своем развитии.
Спрос на офисные помещения держится на высоком уровне уже длительное время. Объем предложения так же увеличивается, но о насыщении рынка в настоящий момент говорить не приходится.
Рост количества предприятий в Астрахани увеличивает потребности бизнеса в свободных площадях. Улучшение благосостояния отдельных фирм позволяет предъявлять более высокие требования к качеству офисных помещений. Статус «Южных ворот России» привлекает в Астрахань все новые компании из других регионов. Именно эти процессы придают импульс развитию рынка недвижимости и привлекают в эту сферу дополнительные средства из смежных областей.
В последние годы цены на офисы имеют устойчивую тенденцию к росту цеп. Основной объем предложения укладывается в диапазон от 45 000 до 70 000 руб. за кв. м.
Объем предложения на рынке почти постоянно увеличивается. Происходит это за счет нескольких направлений:
- Вовлечение в оборот на рынке коммерческой недвижимости, квартир, переведенных в нежилой фонд
- Строительство новых объектов
- Оптимизация управления недвижимостью со стороны компаний, которые обладают излишней собственностью.
В то же время необходимо заметить, что зачастую рост объема предложения на рынке происходит за счет слаболиквидных объектов, которые не пользуются спросом у предпринимателей. Качественных предложений на рынке по-прежнему немного.
Вероятно, что в ближайшие годы рынок коммерческой недвижимости будет пополняться не только за счет нового строительства. Многие частные компании будут оптимизировать управление собственной недвижимости. Часть непрофильных активов таких компаний появится на рынке. Кроме того, отдельные компании, имеющие недвижимость в центральных районах города, рассматривают варианты ее использования в качестве доходной. Уже сейчас отдельные компании переводят свои подразделения из центра на окраины, а освободившиеся площади предлагают в аренду. Предложение помещений на первых этажах жилых домов будет постепенно уменьшаться. Данные тенденции получат развитие и в ближайшие год-два.
Уровень цен аренды в последние годы также имел тенденцию к повышению, однако, темпы роста цен в этом сегменте несколько ниже, чем на рынке продаж. В целом уровень цен на аренду в городе достаточно высок. Основной объем предложения находится в ценовом диапазоне от 1 200 до 7 200 руб./кв. м/год. Основная причина такого положения - дефицит свободных и качественных предложений. Не смотря на то, что в последний год на рынке появилось несколько новых зданий, предлагающих качественные площади, выбор у предпринимателей по-прежнему ограничен.
В сегменте строящихся объектов преобладают проекты, реализуемые на условиях долевого участия в строительстве. Это свидетельствует о том, что в настоящий момент на рынке отсутствует достаточное число крупных инвесторов. Вероятней всего, что в будущем (перспектива 2-3 года) доля бизнес центров, возводимых с целью дальнейшей сдачи в аренду, и будет возрастать. Это приведет к тому, что старые административные здания без концепций и грамотного управления будут начинать испытывать серьезную конкуренцию и будут вынуждены «скатиться» в низший ценовой сегмент.
Сегодня идет дифференциация рынка на разные качественные группы, у потенциальных арендаторов офисной недвижимости пока только формируются четкие представления о качестве и необходимом уровне сервиса. До недавнего времени главным определяющим фактором была цена офиса. Уже сейчас объекты более тщательно изучаются в разрезе местоположение - качество – цена. Вероятно, через 2-3 года на рынке сформируются основные классы офисной недвижимости, которыми будут оперировать все участники рынка.
Рынок складских помещений
В настоящее время рынок складских помещений в г. Астрахани находится в стадии активного развития. Устойчивым спросом на рынке пользуются складские помещения площадью от 1000 до 2000 м2
расположенные в черте города с удобными подъездными путями. Продажа крупных, складских помещения явления не частое. Наблюдая за публикациями в средствах массовой информации можно видеть, что объявления о продаже одних и тех же объектов достаточно регулярно. Появляются в течение 5-8 месяцев.
Собственники складских помещений большей частью предпочитают использовать их для сдачи в аренду, поэтому складские помещения и производственные площади предприятий, приспособленные под склады в черте города пользуются достаточно устойчивым спросом, т.к. основная часть предлагаемых к продаже складов располагается в отдаленных районах города и требует значительных капиталовложений для их дооснащения и ремонта. Анализируя предложения по продаже аналогичных объектов на рынке недвижимости можно сделать вывод, что диапазон стоимости, в зависимости от качества и местоположения, составляет от 5000 до 20 000 рублей за 1 м2
общей площади. Предложение па рынке складских помещений, при условии продажи в комплексе с торговыми и офисными помещениями (торговые базы) может достигать 25 000 руб./кв.м.
Рынок торговых помещений
Торговые помещения, представленные на рынке города, можно выделить в следующие группы:
1. Специализированные торговые учреждения использующие приватизированную или находящуюся в аренде муниципальную собственность для целей собственного бизнеса. К данному типу относится большинство крупных магазинов города. Часть площадей (при наличии избытка) предоставляется сторонним организациям в аренду или субаренду. Чрезвычайно трудно найти достоверную информацию о сделках по купли-продажи с данным типом недвижимости в связи с ее большими размерами и стоимостью, т.к. такая информация обычно, носит конфиденциальный характер и не разглашается.
2. Специализированные торговые учреждения имеющие торговые площади в собственности на основе совершенных сделок купли-продажи. В основном к данному типу относятся небольшие магазины, расположенные в приспособленных помещениях, а так же торговые павильоны, выполненные в капитальных конструкциях. Используются торговыми учреждениями только для целей собственного бизнеса. С данным типом недвижимости совершается абсолютное большинство сделок купли-продажи.
3. Торговые площади, эксплуатируемые компаниям-операторам в торговых зонах и площадках (крытые и открытые сельскохозяйственные и вещевые рынки). Данные компании не ведут торговой деятельности, а все площади сдают в аренду сторонним организациям, основную часть которых составляют частные предприниматели, так называемые «челноки».
В связи с отмеченной структурой торговых помещений г. Астрахани, сделки-купли продажи наблюдаются в основном только во второй группе недвижимости.
Ни в каком другом секторе рынка недвижимости местоположение объекта не имеет такого огромного значения, как на рынке торговых помещений. Если торговое помещение расположено в престижном и бойком месте, оно будет продано или арендовано в достаточно короткий срок. Средняя рыночная цена продажи для магазинов составляет 45000 - 75000; руб./кв.м. и колеблется в зависимости от площади торговых помещений. Покупатели отдают предпочтение небольшим (до 100 - 200 кв.м.) магазинам, расположенным в оживленных районах города. Предложения на рынке торговых помещений, в отдаленных районах города, лежат в диапазоне 20000 - 40000 руб./кв.м. Предложения на рынке торговых помещений, в центральных районах города, в местах большого людского потока, лежат в диапазоне 60000 - 100000 руб./кв.м.
Обращает на себя внимание одна интересная тенденция, сложившаяся в этом секторе рынка. В центральной части города и на основных магистралях, в районах рынков и мини-рынков, культурных центров, как правило, приобретаются в собственность жилые помещения и переводятся в нежилой фонд, как альтернатива покупки нежилой Недвижимости (торговые и офисные помещения).
При анализе рынка аренды недвижимости установлено, что при аренде аналогичных помещений предпочтение отдается торговым помещениям площадью от 100 до 200 кв.м., в местах наиболее интенсивных людских потоков. Диапазон цеп на аренду торговых площадей зависит от двух основных факторов: их месторасположения и уровня отделки.
В окраинных районах города арендная плата за торговые помещения составляет 5000-7000 руб. за 1 кв. м. в год. В районах рынков и мини - рынков арендная плата может достигать 10000 -15000 руб. за 1 кв. м. в год. В центральных районах города и в местах большого людского потока ее величина может увеличиваться до 35000 руб. за 1 кв. м. в год. Однако найти арендатора, готового платить за аренду такие деньги, весьма проблематично.
Ситуация на вторичном рынке недвижимости г. Астрахани и Астраханского региона в целом, свидетельствует о постоянном росте значений арендных ставок и стоимости 1 м2
недвижимости. Это связано как с инфляционными процессами, развитием сферы торговли, малого и среднего предпринимательства, так и объективной реакцией потенциальных покупателей (населения и юридических лиц), считающих объекты недвижимости одними из самых надежных вложений средств.
Промышленная недвижимость
Рынок промышленной недвижимости, как сегмент рынка недвижимости в целом характеризуется рядом особенностей:
1. В подавляющем большинстве случаев объект производственной недвижимости – это комплекс зданий и сооружений, связанных между собой единой технологической цепочкой. При этом каждый элемент этой цепочки имеет ценность именно как ее составляющая, а не как обособленный объект.
2. Промышленная недвижимость, включающая в себя цеха, мастерские и прочие здания и сооружения, предназначенные для размещения производства какого-либо конечного продукта, с большой долей условности может быть отнесена к категории «доходной» недвижимости, предназначенной для получения дохода в виде арендной платы. Доход от указанных объектов представляет собой долю в общей чистой прибыли от производства продукции.
3. Риски, связанные с инвестициями в производственную недвижимость в основном определяются особенностями того производства, для размещений которого она приобретается.
Производственная недвижимость - это достаточно закрытый в информационном плане сегмент рынка, для него характерны длительные сроки экспозиции объектов, в том числе и более 1 года.
Зачастую промышленная недвижимость является специализированным имуществом, имеющим крайне ограниченный рынок либо вообще такового не имеющий.
Складская недвижимость
В период с 2000-го по 2003 г. отмечалось постоянное увеличение объемов складских площадей - примерно на 10% в год. Повышение спроса на качественные склады инициировало не только увеличение масштабов работ по ремонту и реконструкции существующих площадей, но и новое строительство. Комплексы для хранения грузов теперь строят не только в крупнейших городах центральной части, но и в регионах России, в первую очередь на ключевых направлениях грузопотоков. Однако строительство новых современных сооружений требует значительных капиталовложений на начальном этапе, а недостаток собственных средств и высокая стоимость заемных средств сдерживают рост инвестиций.
В настоящее время под товарным складом понимается сооружение, где осуществляются хранение, подготовка к продаже и отпуск товаров оптовым покупателям. Товарный склад может функционировать и как самостоятельная структура, и как структурное подразделение предприятия оптовой торговли. Все складские сооружения можно классифицировать по этажности (одноэтажные и многоэтажные) и по конструктивным особенностям.
Недостатком многоэтажных складов является то, что примерно 20% объема здания приходится на лифты и лестницы. Это сокращает полезную площадь. Кроме того, традиционно принятая частота сетки колонн 6x6 м и невысокая допустимая нагрузка на междуэтажные перекрытия зачастую не позволяют применять необходимую для обслуживания технику и оборудование. Однако основной «минус» одноэтажных зданий - это высокая стоимость занимаемых ими земельных участков, поэтому предпочтение отдается складам с высотной зоной хранения.
Конструкция склада является определяющей при формировании стоимости хранения. По техническому устройству (конструкции) склады принято делить на закрытые, полузакрытые, открытые и специальные. Основным видом складских сооружений являются закрытые здания. К полузакрытым складам относятся навесы, которые могут иметь от одной до трех стен или не иметь их вовсе. Открытые бетонированные или асфальтированные площадки, имеющие водостоки, - это простейший вид складских сооружений. К специальным относят склады, оснащенные особыми устройствами для хранения, например, резервуарами для жидкостей, бункерами и элеваторами для хранения сыпучих грузов и т. п.
В последнее время все большее распространение получает понятие «грузовой терминал» (терминальный комплекс). В логистике принято следующее определение: грузовым терминалом называется специальный комплекс сооружений, персонала, технических и технологических устройств, организационно взаимоувязанных и предназначенных для выполнения логистических операций, связанных с приемом, погрузкой-разгрузкой, хранением, сортировкой, грузопереработкой партий грузов, а также коммерческо-информационным обслуживанием грузополучателей, перевозчиков и других логистических посредников в уни-, мульти-, интермодальных и прочих перевозках. Грузовые терминалы, являясь важным звеном товаропроводящих сетей, представляют собой не просто пункты накопления мелких отправок, но крупные грузораспределительные центры и базы снабжения. Они подразделяются на универсальные и специализированные.
Универсальные терминалы - это группа складов с дистрибутивным центром. Терминалы осуществляют сбор, завоз, развоз, переработку (в основном мелких отправок) и хранение грузов и другие логистические операции. Универсальные терминалы оснащают железнодорожными подъездными путями, контейнерными площадками, оборудованием для грузопереработки тяжеловесных, длинномерных, скоропортящихся грузов и др. На крупных терминалах осуществляются длительное хранение и таможенная обработка грузов. Специализированные терминалы проводят операции для определенного вида грузов (например, скоропортящихся, продовольственных, медицинских, бумаги и т. п.). Специализация грузовых терминалов позволяет учесть требования потребителей к перевозке, хранению, переработке грузов и снизить соответствующие затраты.
В настоящее время стоимость хранения даже на складах низкого класса очень высока, но рынок складских помещений остается наименее развитым компонентом рынка недвижимости по сравнению с сегментами торговых и офисных площадей, где доходность существенно выше. В скором времени, однако, можно уверенно прогнозировать существенный рост этого сегмента, поскольку рынок торговой и офисной недвижимости в основном насыщен, тогда как спрос на складские помещения превышает предложение, особенно в классе А. Спрос на высококачественные помещения для хранения определяется стабильным увеличением объемов промышленного производства в России, стремительным развитием розничной торговли, появлением на российском рынке крупных западных торговых сетей, увеличением числа отечественных компаний, нуждающихся в качественных складских комплексах. Такие склады должны иметь хорошую транспортную доступность: располагаться вблизи транспортной магистрали, иметь хорошую подъездную дорогу, по которой могли бы передвигаться еврофуры, и железнодорожную ветку. Необходимыми условиями являются: наличие коммуникаций, энергоресурсов и связи, а также оборудования, позволяющего регулировать температурный режим и влажность; выровненный пол; потолки высотой 8...10 м; возможность установки стеллажной системы, а также наличие офиса. Наконец, для нормальной работы складу нужен профессиональный менеджмент, что подразумевает систему учета, круглосуточную охрану, логистику и т. д. Вообще оптимизация работы склада включает в себя:
- определение оптимального количества и загрузки складского оборудования;
- разработку стратегии и тактики оптимального использования складских мощностей;
- максимальное использование вместимости склада и увеличение коэффициента оборачиваемости;
- наличие полноценной автоматизированной системы управления складом.
Надо сказать, что большая часть используемых складских помещений сохранилась у нас еще с советских времен и представляет собой площади, по европейским понятиям не приспособленные для организации современных складских комплексов. Такое положение связано с тем, что в 1990-е годы под товарные склады использовались помещения неработающих цехов заводов и фабрик, плодоовощных баз и т. п., стоимость аренды которых в целом была невысокой. Несколько более «цивилизованными» были бывшие ведомственные базы с охраной и сигнализацией, где имелись какие-либо погрузочно-разгрузочные механизмы. Неотапливаемые помещения использовали для хранения лесоматериалов, автозапчастей, пластика, различного «секонд-хенда». Владельцы небольших торговых точек предпочитали хранить товар и вовсе в обычных гаражах. И в настоящее время, даже в Москве и Московской области, примерно только 18% складов отвечают международным требованиям при том, что спрос на них значительно - в 6...7 раз - превышает предложение. Заметим, что, по оценкам специалистов, строительство современного логистического центра окупается за 4...6 лет. Не более 15% - это менее респектабельные помещения (класс В), которые в Европе уже не признают. Остальные (классы С и D) предназначены для менее требовательных арендаторов, которым по большому счету необходимы только стены и крыша и ни к чему, скажем, холодильное оборудование. Кроме того, типичный недостаток отечественных складов – размеры площадей. У нас наиболее популярными являются складские помещения площадью до 1000 м2
и высотой не более 6 м, тогда как на Западе высота складских зданий достигает 20...40 м.
В настоящее время все большее развитие получает тенденция, когда потребители складских услуг готовы все больше платить за уровень профессионального обслуживания складских помещений с высоким уровнем менеджмента и наличием первоклассного оборудования. Раньше само понятие «склад» ассоциировалось исключительно с хранением груза. Сегодня значительную роль начинают играть различные технологии, которые в развитых странах направлены на рациональное использование рабочей силы, где она довольно дорогая, а в нашей стране - на сокращение затрат на оборудование и его эксплуатацию. Зачастую более рационально принять на работу дополнительных рабочих, чем приобрести новый погрузчик или штабелёр. По-прежнему слабым местом в организации работ является слабое оснащение складского комплекса современным технологическим оборудованием, отставание от современного уровня автоматизации складских работ и учета. Только небольшое количество складских компаний адаптировалось к современным потребностям рынка складских услуг, причем в основном это зарубежные фирмы. Большинство российских фирм, сдающих помещения в аренду, как и раньше, отдают предпочтение «ненавязчивому» сервису, предоставляя своим клиентам заниматься организацией складского процесса самостоятельно.
В заключение отметим, что тенденция роста спроса на современные качественные склады в последние годы предполагает наличие:
- полного комплекса услуг по хранению и обработке грузов, таможенному оформлению и транспортировке на одной территории;
- современной техники и технологии обработки грузов;
- многоярусного хранения, позволяющего экономно расходовать имеющиеся площади;
- достаточного количества погрузочно-разгрузочных зон и зон комплектации;
- совершенной системы управления складом, позволяющей генерировать любые виды отчетов о товарах клиента и проводить инвентаризацию остатков;
- страхования груза за счет логистического оператора;
- системы видеонаблюдения, контроля доступа, физической и противопожарной охраны;
- коммуникаций и связи.
Очевидно, что основными недостатками в развитии складов в России, которые приводят к необоснованным потерям при хранении товаров и ухудшению его качества, низкой скорости обработки, отсутствию должного учета и анализа процесса обработки товаров, неоправданному увеличению сроков и ошибкам в сопроводительных документах, являются отсутствие комплекса необходимых услуг, плохо организованный учет и контроль за движением товаров, устаревшая техника и технология ведения работ.
Ситуация на вторичном рынке недвижимости г. Астрахани и Астраханского региона в целом, свидетельствует о постоянном росте значений арендных ставок и стоимости 1 м2
недвижимости. Это связано как с инфляционными процессами, развитием сферы торговли, малого и среднего предпринимательства, так и объективной реакцией потенциальных покупателей (населения и юридических лиц), считающих объекты недвижимости одними из самых надежных вложений средств.
Рынок земельных участков
На момент оценки рынок земельных участков, расположенных как в городской черте, так и за ее пределами, недостаточно активен, доля предложений к продаже земельных участков в общем предложении на рынке недвижимости составляет не более 3 5%.
Сегмент участков для индивидуального жилищного строительства является наиболее развитым на рынке земли, что обусловлено в первую очередь существованием права частной собственности граждан на такие земельные участки.
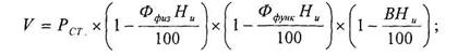
Затратный подход является одним из стандартных подходов оценки рыночной стоимости недвижимости. Подход основан на определении затрат, которые может понести потенциальный покупатель недвижимости при строительстве здания или сооружения, аналогичного по своим физическим параметрам или потребительской свойствам оцениваемой недвижимости.
Стоимость недвижимости, определяемая с использованием затратного подхода, соответствует полному праву собственности и равна сумме рыночной стоимости участка земли, плюс стоимость нового строительства улучшений, минус накопленный износ.
Стоимость нового строительства улучшений в зависимости от типа объекта оценки и условий может определяться на базе восстановительной стоимости или стоимости замещения.
Стоимость нового строительства определяется как сумма прямых издержек, непосредственно связанных с возведением объекта, косвенных издержек на процессы, опосредованно участвующие в строительстве и прибыли предпринимателя (инвестора).
Восстановительная стоимость - сумма затрат в рыночных ценах, существующих на дату проведения оценки, на создание объекта оценки, с применением идентичных материалов и технологий.
Заменяющая стоимость - сумма затрат на создание объекта, аналогичного объекту оценки, в рыночных ценах, существующих на дату проведения оценки.
Под накопленным износом понимается признаваемая рынком потеря стоимости улучшений, вызываемая физическими разрушениями, функциональным устареванием, внешним устареванием или комбинацией этих факторов.
Основные шаги при применении затратного подхода к определению стоимости:
1) Определить стоимость земельного участка в предположении, что он не застроен;
2) Определить восстановительную стоимость улучшений (зданий, сооружений, объектов благоустройства), находящихся на объекте;
3) Определить дополнительные затраты, необходимые для того, чтобы довести здание до состояния рыночных требований и уровня загрузки помещений;
4) Определить предпринимательский доход (прибыль застройщика);
5) Определить величину накопленного износа;
6) Определить остаточную стоимость объекта оценки;
7) К полученной величине стоимости с учетом износа добавить стоимость земельного участка.
Общая формула затратного метода:
Сзатр
=Сзу
+Снс
-Из
(1)
где: Сзатр
- стоимость объекта оценки, найденная затратным методом;
Сзу
- стоимость земельного участка;
Снс
- стоимость нового строительства;
Из
- износ - количественная оценка отличия стоимости объекта оценки от стоимости восстановления;
Снс
= ПИ+КИ
(2)
где: ПИ
= Ссмет
- прямые издержки, сметная стоимость или договорная цена, то есть та сумма, которая будет уплачена инвестором подрядчику за реализацию проекта на основе договора подряда КИ — косвенные издержки - те издержки инвестора, связанные со строительством, которые не могут быть включены в договорную цену.
В состав КИ обычно включают:
- стоимость разработки проекта и авторского надзора
- стоимость согласования проекта и экспертизы
- оплата услуг консультантов
- затраты на получение права застройки, права подключения к городским инженерным сетям
- издержки, связанные с правом использования земли во время строительства (аренда и налоги)
- издержки, связанные с проведением тендера, поиском подрядчика, заключением договора подряда
- издержки, связанные с выводом объекта на проектную мощность и т.д.
ПП
- прибыль предпринимателя (застройщика)- компенсация за отвлечение средств инвестора в течение срока осуществления строительства.
Смет
=Ссмр
+Соб
+Пз
(3)
Cсмр
- стоимость строительно-монтажных работ
Соб
- стоимость оборудования, отнесенного к недвижимости
Пз
- прочие (неучтенные) затраты
Ссмр
= ПЗ + HP + ПН
(4)
где: ПЗ - прямые затраты
HP - накладные расходы
ПН- плановые накладные, сметная прибыль или прибыль подрядчика
ПЗ
= Сзп
+ Смат
+ Сэмм
(5)
где: Сзп
- заработная плата строительных рабочих и машинистов
Смат
- стоимость строительных материалов
Сэмм
- стоимость эксплуатации машин и механизмов
Определение стоимости земельного участка
В соответствии со ст. 35 ЗК РФ при переходе права собственности на здание, строение, сооружение, находящиеся на чужом земельном участке, к другому лицу оно приобретает право на использование соответствующей части земельного участка, занятой зданием строение, сооружением и необходимой для их использования, на тех же условиях и в том же объеме, что и прежний собственник.
Учитывая тот факт, что в настоящее время в городе Астрахани практически отсутствует частная собственность на земельные участки, оценке подлежит стоимость прав долгосрочной аренды земельного участка, приходящегося на оцениваемое помещение.
При определении стоимости недвижимости обычно используют три основных подхода:
- сравнительный подход;
- доходный подход;
- затратный подход.
В соответствии с «Методическими рекомендациями по определению рыночной стоимости земельных участков» в рамках сравнительного подхода используются:
- метод сравнения продаж,
- метод выделения,
- метод распределения,
на доходном подходе основаны:
- метод капитализации земельной ренты,
- метод остатка,
- метод предполагаемого использования.
При определении стоимости права аренды земельного участка в рамках доходного подхода в отчете применялся метод остатка для земли. Данный метод применяется для оценки застроенных и незастроенных земельных участков. Условие применения метода — возможность застройки оцениваемого земельного участка улучшениями, приносящими доход или возможность коммерческого использования земельного участка, приносящего доход. В случае если доход рассчитан от коммерческого использования земельного участка, необходимо из этого дохода вычесть доход не относящихся к земельному участку или из капитализированного дохода вычесть рыночную стоимость активов, не относящихся к земельному участку.
Метод предполагает следующую последовательность действий:
- расчет стоимости воспроизводства или замещения существующих или прогнозируемых на оцениваемом участке улучшений;
- расчет общего чистого дохода от единого объекта недвижимости на основе рыночных ставок арендной платы и существующих правовых ограничений использования объекта недвижимости;
- расчет чистого дохода, приходящегося на улучшения, как произведения их стоимости воспроизводства или замещения на ставку капитализации доходов для улучшений;
- расчет чистого дохода, приходящегося на земельный участок, как разности общего чистого дохода и чистого дохода, приходящегося на улучшения;
- расчет стоимости земельного участка путем деления чистого дохода, приходящегося на земельный участок, на ставку капитализации доходов для земли.
Определение ставки капитализации (R)
- Любой объект недвижимости имеет ограниченный срок, в течение которого его эксплуатация является экономически целесообразной. Доход, приносимый объектом недвижимости за этот период, должен быть достаточным, чтобы:
- обеспечить требуемый уровень дохода на вложенный капитал (норма дохода или ставка дисконтирования);
- окупить первоначальные инвестиции собственника (норма возврата капитала).
В соответствии с этим, ставка капитализации включает две составляющие - норму возврата капитала и норму дохода на капитал (ставка дисконтирования).
Определение ставки дисконтирования
Создание (приобретение) и эксплуатация объекта недвижимости является самостоятельным бизнесом, требующим дохода.
Ставка дисконтирования включает в себя:
- безрисковую ставку;
- премию за различные виды рисков.
Безрисковая ставка отражает уровень дохода по альтернативным для собственника инвестициям с минимально возможным уровнем риска. В качестве безрисковой могут использоваться процентные ставки по депозитам наиболее крупных и надежных банков, ставки доходности по государственным ценным бумагам и др.
Премия за риск отражает дополнительный доход, который ожидает получить типичный инвестор, вкладывая средства в объект недвижимости. В большинстве методик рассматриваются составляющие премии за риск:
- премия за риск инвестирования в объекты недвижимости;
- премия за низкую ликвидность;
- премия за инвестиционный менеджмент.
Определение безрисковой ставки
Для определения безрисковой ставки можно пользоваться как среднеевропейскими показателями по безрисковым операциям, так и российскими. В случае использования среднеевропейских показателей к безрисковой ставке прибавляется премия за риск инвестирования в данную страну, так называемый страновой риск.
В качестве возможных безрисковых ставок в пределах РФ принято рассматривать следующие инструменты:
- Депозиты Сбербанка РФ и других надежных российских банков. Применение ставок по депозитам Сбербанка РФ и других российских банков достаточно ограничено в связи с непродолжительностью сроков, на которые принимаются депозиты (как правило, до одного - двух лет). Все это сужает возможности применения данных инструментов.
- Западные финансовые инструменты (государственные облигации развитых стран, LIBOR). Сложности при использовании ставки LIBOR (Libor Inter Bank Offered Rate - ставка Лондонского межбанковского рынка по предоставлению кредитов) обуславливается ее краткосрочностью (не более одного года), а также более высокими уровнями риска по сравнению с вложениями в государственные ценные бумаги. Среди государственных облигаций в оценочной практике наиболее целесообразно использовать 10-летние казначейские облигации США.
- Ставки по межбанковским кредитам РФ (MIBID, MIBOR, MIACR). Ставки рассчитываются сроком от 1 дня до 1 года. Очевидно, что использование значений данных ставок для расчета безрисковой доходности не является целесообразным, прежде всего вследствие их краткосрочного характера. Кроме того, доходность, заложенная в межбанковских кредитах, учитывает риск их невозврата, что также обуславливает необходимость отказа от использования данного инструмента в процессе оценки.
- Ставка рефинансирования ЦБ РФ. Ставка рефинансирования - процентная ставка, которую использует Центральный банк при предоставлении кредитов коммерческим банкам в порядке рефинансирования. Данная ставка могла бы по своей экономической сущности применяться, пожалуй, только приоценке кредитно-финансовых институтов, а также ставка рефинансирования является инструментом денежно-кредитной политики Центрального банка и, следовательно, используется последним для целенаправленного воздействия на финансово-банковскую сферу и далеко не всегда отражает реальную ситуацию, сложившуюся на рынке.
- Государственные облигации РФ. Государственные облигации РФ представлены рублевыми и валютными финансовыми инструментами. События августа 1998 г. (дефолт) значительно снизили доверие к рублевым облигациям, поэтому в настоящий момент их достаточно сложно рассматривать в качестве безрисковых вложений.
- Валютные облигации РФ представлены двумя видами: внутренним (ОВВЗ) и внешним (еврооблигации). На практике чаще всего применяют именно эту ставку, учитывая ее долгосрочность.
В данном случае в качестве безрисковой ставки использована ставка доходности к погашению по долгосрочным облигациям федерального займа, которая составляет 6,83 %.
Определение премии за риск инвестирования в различные объекты недвижимости.
Риски вложения в объект недвижимости подразделяются на два вида. К первому относятся систематические и несистематические риски, ко второму - статичные и динамичные. На рынке в целом преобладающим является систематический риск. Стоимость конкретной приносящей доход собственности может быть связана с экономическими и институциональными условиями на рынке. Примеры такого вида риска: появление излишнего числа конкурирующих объектов, уменьшение занятости населения в связи с закрытием градообразующего предприятия, введение в действие природоохранных ограничений, установление ограничений на уровень арендной платы. Несистематический риск - это риск, связанный с конкретной оцениваемой собственностью и независимый от рисков, распространяющихся на сопоставимые объекты. Например: трещины в несущих элементах, изъятие земли для общественных нужд, неуплата арендных платежей, разрушение сооружение пожаром и/или развитие поблизости от данного объекта несовместимой с ним системы землепользования. Статичный риск - это риск, который можно рассчитать и переложить на страховые компании, динамический риск может быть определен как «прибыль или потеря предпринимательского шанса и экономическая конкуренция». Расчет премии за риск представлен в Таблице «Факторы риска, влияющие на объект недвижимости».
Факторы риска, влияющие на объект недвижимости.
| Вид и наименование риска
|
Категория риска
|
1
|
2
|
3
|
4
|
5
|
6
|
7
|
8
|
9
|
10
|
| Систематический риск
|
| Ухудшение общей экономической ситуации
|
динамичный
|
1
|
| Увеличение числа кон
курирующих объектов
|
динамичный
|
1
|
| Изменение федерального или местного законодательства
|
динамичный
|
1
|
| Несистематический риск
|
| Природные и чрезвычайные антропогенные ситуации
|
статичный
|
1
|
| Ускоренный износ здания
|
статичный
|
1
|
| Неполучение арендных платежей
|
динамичный
|
1
|
| Неэффективный менеджмент
|
динамичный
|
1
|
| Криминогенные факторы
|
динамичный
|
1
|
| Финансовые проверки динамичный
|
динамичный
|
1
|
| Неправильное оформление договоров аренды
|
динамичный
|
1
|
| Количество наблюдений
|
0
|
1
|
2
|
3
|
2
|
0
|
1
|
1
|
0
|
0
|
| Взвешенный итог
|
0
|
2
|
6
|
12
|
10
|
0
|
7
|
8
|
0
|
0
|
| Сумма
|
45
|
| Количество факторов
|
10
|
| Средневзвешенное значение балла
|
4,5
|
| Величина поправки за риск (1 балл =1%)
|
4,50%
|
Определение премии за низкую ликвидность
Премия за низкую ликвидность, есть поправка на длительность экспозиции при продаже объектов недвижимости.
Данная премия вычисляется по формуле:
(6)
где: П
- премия за низкую ликвидность;
Rб
- безрисковая ставка;
L
- период экспозиции (в месяцах);
Q
- общее количество месяцев в году.
На дату проведения оценки поправка на низкую ликвидность принимается равной 3,25%, что соответствует трем месяцам экспонирования объекта.
Определение премии за инвестиционный менеджмент
Премию за инвестиционный менеджмент Специалисты оценивают на уровне 3%.
Определение нормы возврата капитала
Объект недвижимости имеет конечный (ограниченный) срок экономической жизни (срок, в течение которого эксплуатация объекта является физически возможной и экономически выгодной). Доход, приносимый объектом недвижимости, должен возмещать потерю объектом своей стоимости к концу срока его экономической жизни. Количественно величина дохода, необходимого для такого возмещения, выражается через норму возврата капитала.
Существует три способа расчета нормы возврата капитала:
1. Прямолинейный возврат капитала (метод Ринга): предполагает возврат капитала равными частями в течение срока владения активом, норма возврата в этом случае представляет собой ежегодную долю первоначального капитала, отчисляемую в беспроцентный фонд возмещения.
2. Возврат капитала по фонду возмещения и безрисковой ставке процента (метод Хоскольда): предполагает, что фонд возмещения формируется по минимальной из возможных ставок - "безрисковой" ставке.
3. Возврат капитала по фонду возмещения и ставке дохода на инвестиции (метод Инвуда): предполагает, что фонд возмещения формируется по ставке процента, равной норме дохода на инвестиции (ставке дисконтирования).
Срок экономической жизни, принимается равным 30 лет, в соответствии со средним сроком до проведения капитального ремонта (определено на основании ВСН 58-88 (р))
| Показатель
|
Значение
|
| Безрисковая ставка
|
6,83%
|
| Премия за риск
|
3%
|
| Премия за низкую ликвидность
|
3,5%
|
| Премия за инвестиционный менеджмент
|
4,5%
|
| Коэффициент капитализации (R)
|
17,83
|
В данном случае стоимость земли определена по методике прямой капитализации арендной платы за пользованием участком. Согласно данных площадь участка составляет 56 310,0 м2
. Базовая величина годовой арендной платы за земли административного назначения в 33-й ТЭЗ составляет 15,88 руб./м2
. Ставка капитализации составляет 17,83%.
Стоимость земельного участка, рассчитанная методом капитализации арендной платы, составит, с учетом округления:

Величина накопленного физического износа определялась на основании:
- правил оценки физического износа зданий ВСН 53-86 (р.),
- визуального осмотра.
Расчет величины накопленного износа произведен по формуле:
(8)
где Ф"и
— физический износ здания, %;
Фк
i
— физический износ отдельной конструкции, элемента или системы, %;
li
, — коэффициент, соответствующий доли восстановительной стоимости отдельной конструкции, элемента или системы в общей восстановительной стоимости объекта;
п
- число отдельный конструкций, элементов или систем объекта.
Функциональный (моральный) износ — это потеря стоимости вследствие относительной неспособности данного сооружения обеспечить полезность по сравнению с новым сооружением, созданным для таких же целей. Он обычно вызван плохой планировкой, несоответствием техническим и функциональным требованиям по таким параметрам как размер, стиль, срок службы и т.д. Функциональный износ может быть устранимым и неустранимым. Функциональный износ считается устранимым, когда стоимость ремонта или замены устаревших или неприемлемых компонентов выгодна или, по крайней мере, не превышает величину прибавляемой полезности и/или стоимости. В противном случае износ считается неустранимым.
В данном случае признаков функционального износа не обнаружено.
Определение величины износа внешнего воздействия объектов недвижимости
Внешнее устаревание — это потеря стоимости, обусловленная влиянием внешних факторов. Оно может быть вызвано общеэкономическими и внутриотраслевыми изменениями и является функцией внешнего влияния.
У данного Объекта внешнего износа не обнаружено.
Стоимость Объекта с учетом всех видов износов определяется по формуле:
(9)
где: Рст
- расчетная стоимость, в рублях;
Ффиз
Ни
- величина физического износа, %;
Ффунк
Ни
- величина функционального износа, %
ВНи
- величина внешнего износа, %;
Подход к оценке с точки зрения сравнения продаж основывается на прямом сравнении оцениваемого объекта с другими объектами недвижимости, которые были проданы или включены в реестр на продажу. Рыночная стоимость недвижимости определяется ценой, которую заплатит типичный покупатель за аналогичный по качеству и полезности объект.
Подход сравнения продаж наиболее действенен для объектов недвижимости, по которым имеется достаточное количество информации о недавних сделках купли-продажи. Любое отличие условий продажи сравниваемого объекта от типичных рыночных условий на дату оценки должно быть учтено при анализе.
Расчет величины рыночной стоимости при применении подхода сравнения продаж выполняется в следующей последовательности:
1. Подбор информации по продажам, предложения к продаже объектов, аналогичных оцениваемому.
2. Выбор параметров сравнения.
3. Сравнение объекта и аналогов по элементам сравнения и корректировка цен продаж аналогов для определения стоимости объекта оценки.
4. Согласование данных по аналогам и получение стоимости оцениваемого объекта.
В оценочной практике принято выделять девять основных элементов сравнения, которые должны анализироваться в обязательном порядке: права собственности на недвижимость; состояние рынка; экономические характеристики; условия финансирования; местоположение; характер использования; условия продажи; физические характеристики; компоненты, не связанные с недвижимостью.
В процессе проведения данного анализа Оценщик располагал достаточными сведениями о продажах определенного количества объектов недвижимости, которые можно рассматривать как аналоги для сравнения с оцениваемым объектом. Поэтому для расчета рыночной стоимости объекта оценки был применен и сравнительный подход.
В качестве единицы сравнения была выбрана стоимость 1 м2
общей площади помещения (здания), предлагаемого к продаже. В эту стоимость последовательно вводились корректировки на дату совершения сделки, на местоположение, на состояние (физический износ), на масштаб и на ремонт. Поправки на отличие в правах собственности, условия финансирования, характер использования не вносились, так как Объект оценки и аналоги по этим элементам сравнения одинаковы.
Определение рыночной стоимости объектов недвижимости доходным подходом основывается на принципе ожидания. В соответствии с этим принципом типичный инвестор, то есть покупатель объекта недвижимости, приобретает его в ожидании получения в будущем доходов от использования. Учитывая, что существует непосредственная связь между размером инвестиций и выгодами от коммерческого использования объекта инвестиций, стоимость недвижимости определяется как стоимость прав на получение приносимых ею доходов, иными словами, стоимость объекта недвижимости определяется как текущая стоимость будущих доходов, генерируемым объектом оценки.
Преимущество доходного подхода по сравнению с затратным и сравнительным подходами заключается в том, что он в большей степени отражает представление инвестора о недвижимости как источнике дохода, то есть это качество недвижимости учитывается, как основной ценообразующий фактор. Основным недостатком доходного подхода является то, что он в отличие от двух других подходов основан на прогнозных данных.
Этапы процедуры оценки при данном подходе:
- Составление прогноза будущих доходов;
- Определение потерь от недоиспользования площадей;
- Расчет издержек по эксплуатации недвижимости;
- Пересчет чистого операционного дохода в текущую стоимость объекта;
Составление прогноза будущих доходов
Составление прогноза будущих доходов от сдачи оцениваемых площадей в аренду за период владения и на основе полученных данных определение потенциального валового дохода (ПВД).
ПВД - представляет собой максимальный доход, который способен приносить объект оценки, при 100% загрузке площадей без учета всех потерь и расходов. ПВД зависит от площади оцениваемого объекта, установленной арендной ставки и рассчитывается по формуле:
(11)
где: ПВД
- потенциальный валовой доход;
Аст
- средняя ставка аренды;
S
- площадь Объекта оценки.
Определение потерь от недоиспользования площадей
Определение на основе анализа рынка потерь от недоиспользования площадей и при сборе арендной платы, расчет действительного валового дохода.
Как правило, собственник в долгосрочном периоде не имеет возможности постоянно сдавать в аренду 100% площадей здания. Потери арендной платы имеют место за счет неполной занятости объекта недвижимости и неуплаты арендной платы недобросовестными арендаторами.
Степень незанятости объекта доходной недвижимости арендаторами характеризуется коэффициентом недоиспользования, определяемым отношением величины не сданных в аренду площадей к величине общей площади, подлежащей сдаче в аренду. Отношение сданных в аренду площадей к общей площади, подлежащей сдаче в аренду, называется коэффициентом загрузки. Для различных сегментов рынка недвижимости существуют типичные рыночные значения коэффициента загрузки.
Таким образом, величина потерь от незанятости площадей либо определяется исходя из рыночных данных, либо рассчитывается для конкретной недвижимости по формуле:
(12)
Где: Кнд
- коэффициент недоиспользования;
Кп
- доля площадей, подлежащих сдаче в аренду, на которые в течение года происходит смена арендаторов;
пс
- средний период в течение года, который необходим для поиска новых арендаторов после ухода старых;
па
- общее число арендных платежей в году.
Полученная в результате величина коэффициента недоиспользования выражает долю ПВД, теряемого в результате невозможности 100%-ной сдачи в аренду всех предназначенных для этого площадей конкретного объекта недвижимости. Отсюда, возникает необходимость скорректировать ПВД на коэффициент загрузки площадей (Кз
), который определяется следующим образом:
Кз
=1- Кнд
; (13)
Невозможность полного сбора арендной платы подразумевает типичную рыночную ситуацию, когда всегда имеются недобросовестные арендаторы, которые, освобождая помещение, не погашают свою задолженность по аренде. Количественным выражением снижения дохода от неоплаты аренды является коэффициент потери доходов от неоплаты (коэффициент недосбора платежей) (Кн), который определяется на основе информации о средних потерях собственников от неуплаты арендаторами арендной платы по данному виду помещений, который выражается в % от потенциального валового дохода.
Таким образом, коэффициент сбора платежей
(Кс)
составит:
Кс
=1-Кн
(14)
Итак, расчет действительного валового дохода (ДВД)
осуществляется по следующей формуле:
ДВД = ПВД×Кз
×Кс
; (15) :
Следует отметить, что к ДВД, рассчитанному вышеизложенным способом, необходимо добавить прочие доходы, получаемые от функционирования объекта недвижимости сверх арендных платежей, например, за пользование дополнительными услугами - прачечной, автомобильной стоянкой, то есть к прочим доходам можно отнести дополнительные средства, получение которых можно увязать с нормальным использованием объекта недвижимости.
Для оцениваемого помещения коэффициент недоиспользования составит 8,3%, определяется из расчета того, что на поиск клиента (1/12 х 100 %) = 8,3% или в долях 0,083. Таким образом, коэффициент загрузки составит (Кз
) = 1 - 0,083 = 0,92.
По сложившейся практике, арендные платежи вносят заранее (авансовыми платежами), в связи с этим, коэффициент сбора платежей (Кс) принимаем равным 1,0.
Расчет издержек по эксплуатации недвижимости
Расчет издержек по эксплуатации оцениваемой недвижимости, который основывается на анализе фактических издержек по ее содержанию и/или типичных издержек на данном рынке.
Эксплуатационные расходы (ЭР) - это расходы, необходимые для обеспечения нормального функционирования объекта, непосредственно связанные с получением действительного валового дохода.
Эксплуатационные расходы принято делить на три группы:
- условно-постоянные;
- условно-переменные;
- расходы на замещение.
К условно-постоянным расходам относят расходы, размер которых не зависит от степени эксплуатационной загруженности объекта и уровня предоставляемых услуг. Обычно в эту группу включают:
- налог на имущество;
- страховые взносы (платежи по страхованию имущества);
- платежи за земельный участок;
- некоторые элементы переменных расходов, которые фактически являются постоянными.
К условно-переменным расходам относят расходы, размер которых зависит от эксплуатационной загруженности объекта и уровня предоставляемых услуг. Обычно в эту группу включают следующие расходы:
- коммунальные;
- на текущие ремонтные работы;
- заработная плата обслуживающего персонала;
- налоги на заработную плату;
- на пожарную охрану и обеспечение безопасности;
- на рекламу и заключение арендных договоров;
- на консультации и юридическое обслуживание;
- на управление;
- прочие расходы.
Расходы на замещение - расходы на периодическую замену быстроизнашивающихся конструктивных элементов здания. Обычно к таким элементам относят:
- кровлю, покрытие пола, элементы внутренней и наружной отделки, оконные и дверные заполнения, скобяные изделия, а также другие конструктивные элементы с коротким сроком службы
- санитарно-техническое оборудование и электроарматура;
- элементы наружного благоустройства - пешеходные дорожки, подъездные дороги, автостоянки, озеленение и малые архитектурные формы.
Включение данной группы расходов в эксплуатационные расходы, связанные с нормальной эксплуатацией здания, обусловлено тем предположением, что владелец будет эксплуатировать недвижимость на уровне, соответствующем нормативам и стандартам для данного типа недвижимости.
Таким образом, расчетная величина эксплуатационных расходов вычитается из действительного валового дохода, а итоговый показатель является чистым операционным доходом.
Также следует учесть, что в современных условиях собственники обычно не формируют фонд замещения, а вся сумма денежных затрат выплачивается единовременно в случае необходимости. Это заключение было сделано в результате бесед с собственниками нежилых зданий и помещений.
Пересчет чистого операционного дохода в текущую стоимость объекта
Пересчет чистого операционного дохода в текущую стоимость объекта рядом способов в зависимости от выбранного метода оценки.
Для определения текущей стоимости объекта, исходя из чистого операционного дохода, возможно использование следующих методов:
- метод прямой капитализации доходов;
- метод капитализации по норме отдачи на капитал:
- метод капитализации по расчетным моделям;
- метод дисконтированных денежных потоков.
В основе данных методов лежит предпосылка, что стоимость недвижимости обусловлена способностью оцениваемого объекта генерировать потоки доходов в будущем. В обоих методах происходит преобразование будущих доходов от объекта недвижимости в его стоимость с учетом уровня риска, характерного для данного объекта. Различаются эти методы лишь способом преобразования потоков дох да.
Метод прямой капитализации - метод определения рыночной стоимости доходного объект основанный на прямом преобразовании наиболее типичного дохода первого года в стоимость путем деления его на коэффициент капитализации, полученный на основе анализа рыночных данных о соотношениях чистого дохода и стоимости активов, аналогичных оцениваемому объекту, полученных метода рыночной экстракции.
При этом нет необходимости оценивать тенденции изменения дохода во времени, а при оценки коэффициента капитализации - учитывать отдельно его составляющие: норму отдачи на капитал и норму его возврата. Предполагается, что учет всех этих тенденций и составляющих заложен в рыночных данных. Такой западный классический вариант метода прямой капитализации, при котором коэффициент капитализации извлекается из рыночных сделок, применять в российских условиях практически не возможно, в связи с возникающими сложностями при сборе информации (чаще всего условия и цени сделок являются конфиденциальной информацией). Исходя из этого, на практике приходится использовать алгебраические методы построения коэффициента капитализации, предусматривающие отдельную оценку нормы отдачи на капитал и нормы его возврата.
Следует отметить, что метод прямой капитализации применим для оценки действующих активов, не требующих на дату проведения оценки больших по длительности капиталовложений в ремонт или реконструкцию.
Метод капитализации по норме отдачи на капитал
- метод определения рыночной стоимости доходного объекта, основанный на преобразовании всех денежных потоков как "сальдо реальных денег", которые он генерирует в процессе оставшегося срока экономической жизни, в стоимость путей дисконтирования их на дату проведения оценки с использованием нормы отдачи на капитал, извлекаемой из рынка альтернативных по уровню рисков инвестиций.
Метод капитализации по норме отдачи на капитал
имеет с формальной (математической) точки зрения две разновидности:
- метод дисконтированных денежных потоков
- метод капитализации по норме отдачи на капитал, при котором для определения рыночной стоимости с использованием в качестве ставки дисконтирования нормы отдачи на капитал отдельно дисконтируются с последующим суммированием денежные потоки каждого года эксплуатации оцениваемого актива, включая денежный поток от его перепродажи в конце периода владения.
- метод капитализации по расчетным моделям
- метод капитализации по норме отдачи на капитал, при котором для определения рыночной стоимости наиболее типичный доход первого года преобразуется в стоимость с использованием формализованных расчетных моделей дохода и стоимости, полученных на основе анализа тенденций их изменения в будущем.
Метод дисконтированных денежных потоков используется, если:
- Предполагается, что будущие потоки будут существенно отличаться от текущих;
- Имеются данные, позволяющие обосновать размер будущих потоков денежных средства от недвижимости;
- Потоки доходов и расходов носят сезонный характер;
- Оцениваемая недвижимость - крупный многофункциональный коммерческий объект;
- Объект недвижимости строится или только что построен и вводится (или введен) в эксплуатацию.
Метод капитализации по расчетным моделям используется, если:
- Потоки доходов стабильны длительный период времени, представляют собой значительную положительную величину;
- Потоки доходов возрастают устойчивыми, умеренными темпами.
Учитывая, что Объект оценки не требует проведения капитальных ремонтных работ, а также, принимая во внимание существующие тенденции на рынке коммерческой недвижимости в г. Астрахань, можно прогнозировать плавно изменяющиеся с незначительными темпами потоки дохода от сдачи в аренду объекта оценки, что позволяет применить для пересчета спрогнозированного дохода в текущую стоимость метод капитализации по расчетным моделям (далее - метод капитализации дохода).
Метод капитализации доходов представляет собой определение стоимости недвижимости через перевод годового (или среднегодового) чистого операционного дохода (ЧОД) в текущую стоимость.
Базовая формула расчета имеет следующий вид:
(16)
Определение ставки капитализации (R)
- Любой объект недвижимости имеет ограниченный срок, в течение которого его эксплуатация является экономически целесообразной. Доход, приносимый объектом недвижимости за этот период, должен быть достаточным, чтобы:
- обеспечить требуемый уровень дохода на вложенный капитал (норма дохода или ставка дисконтирования);
- окупить первоначальные инвестиции собственника (норма возврата капитала).
В соответствии с этим, ставка капитализации включает две составляющие - норму возврата капитала и норму дохода на капитал (ставка дисконтирования).
Определение ставки дисконтирования
Создание (приобретение) и эксплуатация объекта недвижимости является самостоятельным бизнесом, требующим дохода.
Ставка дисконтирования включает в себя:
- безрисковую ставку;
- премию за различные виды рисков.
Безрисковая ставка отражает уровень дохода по альтернативным для собственника инвестициям с минимально возможным уровнем риска. В качестве безрисковой могут использоваться процентные ставки по депозитам наиболее крупных и надежных банков, ставки доходности по государственным ценным бумагам и др.
Премия за риск отражает дополнительный доход, который ожидает получить типичный инвестор, вкладывая средства в объект недвижимости. В большинстве методик рассматриваются составляющие премии за риск:
- премия за риск инвестирования в объекты недвижимости;
- премия за низкую ликвидность;
- премия за инвестиционный менеджмент.
Определение безрисковой ставки
Для определения безрисковой ставки можно пользоваться как среднеевропейскими показателями по безрисковым операциям, так и российскими. В случае использования среднеевропейских показателей к безрисковой ставке прибавляется премия за риск инвестирования в данную страну, так называемый страновой риск.
В качестве возможных безрисковых ставок в пределах РФ принято рассматривать следующие инструменты:
- Депозиты Сбербанка РФ и других надежных российских банков. Применение ставок по депозитам Сбербанка РФ и других российских банков достаточно ограничено в связи с непродолжительностью сроков, на которые принимаются депозиты (как правило, до одного-двух лет). Все это сужает возможности применения данных инструментов.
- Западные финансовые инструменты (государственные облигации развитых стран, LIBOR). Сложности при использовании ставки LIBOR (Libor Inter Bank Offered Rate). Ставка Лондонского межбанковского рынка по предоставлению кредитов) обуславливается ее краткосрочностью (не более одного года), а также более высокими уровнями риска по сравнению с вложениями в государственные ценные бумаги. Среди государственных облигаций в оценочной практике наиболее целесообразно использовать 10-летние казначейские облигации США.
- Ставки по межбанковским кредитам РФ (MIBID, MIBOR, MIACR). Ставки рассчитываются сроком от 1 дня до 1 года. Очевидно, что использование значений данных ставок для расчета безрисковой доходности не является целесообразным, прежде всего вследствие их краткосрочного характера. Кроме того, доходность, заложенная в межбанковских кредитах, учитывает риск их не возврата, что также обуславливает необходимость отказа от использования данного инструмента в процессе оценки.
- Ставка рефинансирования ЦБ РФ. Ставка рефинансирования - процентная ставка, которую использует Центральный банк при предоставлении кредитов коммерческим банкам в порядке рефинансирования. Данная ставка могла бы по своей экономической сущности применяться, пожалуй, только при оценке кредитно-финансовых институтов, а также ставка рефинансирования является инструментом денежно-кредитной политики Центрального банка и, следовательно, используется последним для целенаправленного воздействия на финансово-банковскую сферу и далеко не всегда отражает реальную ситуацию, сложившуюся на рынке.
- Государственные облигации РФ. Государственные облигации РФ представлены рублевыми и валютными финансовыми инструментами. События августа 1998 г. (дефолт) значительно снизили доверие к рублевым облигациям, поэтому в настоящий момент их достаточно сложно рассматривать в качестве безрисковых вложений.
- Валютные облигации РФ представлены двумя видами: внутренним (ОВВЗ) и внешние (еврооблигации). На практике чаще всего применяют именно эту ставку, учитывая долгосрочность.
Таким образом, в качестве безрисковой ставки в расчетах используется ставка доходности к погашению по долгосрочным облигациям федерального займа, которая составляет 6,83 %.
Определение премии за риск инвестирования в различные объекты недвижимости.
Риски вложения в объект недвижимости подразделяются на два вида. К первому относятся сиетематические и несистематические риски, ко второму - статичные и динамичные. На рынке в целом пре обладающим является систематический риск. Стоимость конкретной приносящей доход собственности может быть связана с экономическими и институциональными условиями на рынке. Примеры такого вида риска: появление излишнего числа конкурирующих объектов, уменьшение занятости населения связи с закрытием градообразующего предприятия, введение в действие природоохранных ограничений установление ограничений на уровень арендной платы. Несистематический риск - это риск, связанный конкретной оцениваемой собственностью и независимый от рисков, распространяющихся на сопоставимые объекты. Например: трещины в несущих элементах, изъятие земли для общественных нужд, не уплата арендных платежей, разрушение сооружение пожаром и/или развитие поблизости от данной объекта несовместимой с ним системы землепользования. Статичный риск - это риск, который можно рассчитать и переложить на страховые компании, динамический риск может быть определен как "при быль или потеря предпринимательского шанса и экономическая конкуренция". Расчет премии за риск представлен в Таблице «Факторы риска, влияющие на объект недвижимости».
Определение премии за низкую ликвидность
Премия за низкую ликвидность, есть поправка на длительность экспозиции при продаже объектов недвижимости.
Данная премия вычисляется по формуле:
(17)
где: П
- премия за низкую ликвидность;
Rб
- безрисковая ставка;
L
- период экспозиции (в месяцах);
Q
- общее количество месяцев в году.
На дату проведения оценки поправка на низкую ликвидность принимается равной 3,25%, что соответствует трем месяцам экспонирования объекта.
Определение премии за инвестиционный менеджмент
Премию за инвестиционный менеджмент Специалисты оценивают на уровне 3%.
Определение нормы возврата капитала
Объект недвижимости имеет конечный (ограниченный) срок экономической жизни (срок, в течение которого эксплуатация объекта является физически возможной и экономически выгодной). Доходя приносимый объектом недвижимости, должен возмещать потерю объектом своей стоимости к конца срока его экономической жизни. Количественно величина дохода, необходимого для такого возмещения, выражается через норму возврата капитала.
Существует три способа расчета нормы возврата капитала:
4. Прямолинейный возврат капитала (метод Ринга): предполагает возврат капитала равными частями в течение срока владения активом, норма возврата в этом случае представляет собой ежегодную долю первоначального капитала, отчисляемую в беспроцентный фонд возмещения.
5. Возврат капитала по фонду возмещения и безрисковой ставке процента (метод Хоскольда): предполагает, что фонд возмещения формируется по минимальной из возможных ставок – «безрисковой» ставке.
6. Возврат капитала по фонду возмещения и ставке дохода на инвестиции (метод Инвуда) предполагает, что фонд возмещения формируется по ставке процента, равной норме дохода на инвестиции (ставке дисконтирования).
Срок экономической жизни, принимается равным 30 лет, в соответствии со средним сроком допроведения капитального ремонта (определено на основании ВСН 58-88 (р)).
ГЛАВА 2. ПРАКТИЧЕСКИЙ РАСЧЕТ БАЗЫ ОТДЫХА
2.1 Характеристика объекта оценки
ПЕРЕЧЕНЬ ОБЪЕКТОВ ОЦЕНКИ
Список объектов оценки
Таблица 1
| Адрес
|
| Удобство подъездных путей
|
1
|
| Окружающая застройка
|
Базы отдыха, дачные участки.
|
| Территориально-экономическая зона г. Астрахани
|
33
|
| Площадь земельного участка, кв. м.
|
56310
|
| Право на земельный участок
|
Право постоянного пользования
|
Таблица 2
| Домик с верандой (литер 1-25)
|
| Общая характеристика здания
|
| Функциональное назначение здания
|
Жилое
|
| Количество
|
25 штук
|
| Общая площадь здания, кв. м.:
|
12,1
|
| Вспомогательные площади, кв.м.:
|
-
|
| Основные площади, кв. м.
|
12,1
|
| Конструктивные характеристики здания
|
| Количество этажей в здании
|
1 этаж
|
| Группа капитальности
|
III
|
| Материал наружных ограждений (стен)
|
Деревянные
|
| Материал перекрытий
|
Деревянные
|
| Площадь по наружному обмеру, кв.м.
|
30,4
|
| Строительный объем, куб.м.
|
38
|
| Инженерное оборудование
|
| Электроснабжение
|
Стандартное
|
| Описание внутренней отделки помещений
|
| По результатам осмотра было установлено, что в помещениях: полы деревянные окрашенные масляной краской, потолок и стены покрашены (окрасочный слой местами загрязнился, потемнел, видны следы протечек).
|
Таблица 3
| Клуб двухэтажный (литер 26)
|
| Общая характеристика здания
|
| Функциональное назначение здания
|
Административное
|
| Количество
|
374,1
|
| Общая площадь здания, кв. м.:
|
10,9
|
| Вспомогательные площади, кв.м.:
|
363,2
|
| Конструктивные характеристики здания
|
| Количество этажей в здании
|
2 этажа
|
| Группа капитальности
|
I
|
| Материал наружных ограждений (стен)
|
Кирпич
|
| Материал перекрытий
|
ж/б
|
| Площадь по наружному обмеру, кв.м.
|
208,6
|
| Строительный объем, куб.м.
|
1460
|
| Инженерное оборудование
|
| Электроснабжение
|
Стандартное
|
| Вентиляция
|
Стандартная
|
| Описание внутренней отделки помещений
|
| По результатам осмотра было установлено, что в помещениях: полы бетонные (потертости в ходовых местах), потолок и стены покрашены (окрасочный слой местами загрязнился, потемнел, видны следы протечек).
|
Таблица 4
| Жилой дом (литер 27)
|
| Общая характеристика здания
|
| Функциональное назначение здания
|
Жилое
|
| Основные площади, кв. м.:
|
47,6
|
| Общая площадь здания, кв. м.:
|
63,2
|
| Вспомогательные площади, кв.м.:
|
15,6
|
| Конструктивные характеристики здания
|
| Количество этажей в здании
|
1 этаж
|
| Группа капитальности
|
I
|
| Материал наружных ограждений (стен)
|
Деревянные
|
| Материал перекрытий
|
Деревянные
|
| Площадь по наружному обмеру, кв.м.
|
82,8
|
| Строительный объем, куб.м.
|
230
|
| Инженерное оборудование
|
| Электроснабжение
|
Стандартное
|
| Вентиляция
|
Стандартная
|
| Описание внутренней отделки помещений
|
| По результатам осмотра было установлено, что в помещениях: полы деревянные окрашенные масляной краской, потолок и стены покрашены (окрасочный слой местами загрязнился, потемнел, видны следы протечек).
|
Таблица 5
| Гараж (литер 28)
|
| Общая характеристика здания
|
| Функциональное назначение здания
|
Складское
|
| Общая площадь здания, кв. м.:
|
15,4
|
| Основные площади, кв. м.:
|
15,4
|
| Вспомогательные площади, кв.м.:
|
| Конструктивные характеристики здания
|
| Количество этажей в здании
|
1 этаж
|
| Группа капитальности
|
III
|
| Материал наружных ограждений (стен)
|
Деревянные
|
| Материал перекрытий
|
Деревянные
|
| Площадь по наружному обмеру, кв.м.
|
| Строительный объем, куб.м.
|
| Инженерное оборудование
|
| Электроснабжение
|
Стандартное
|
| Вентиляция
|
Стандартная
|
| Описание внутренней отделки помещений
|
| По результатам осмотра было установлено, что в помещениях: полы бетонные, потолок и стены покрашены (окрасочный слой местами загрязнился, потемнел, видны следы протечек), ворота металлические.
|
Таблица 6
| КТП-462 (литер 29)
|
| Общая характеристика здания
|
| Функциональное назначение здания
|
Производственное
|
| Конструктивные характеристики здания
|
| Количество этажей в здании
|
1 этаж
|
| Группа капитальности
|
III
|
| Материал наружных ограждений (стен)
|
Металлический каркас
|
| Строительный объем, куб.м.
|
2,3
|
Таблица 7
| Хлораторная (литер 29)
|
| Общая характеристика здания
|
| Функциональное назначение здания
|
Производственное
|
| Конструктивные характеристики здания
|
| Количество этажей в здании
|
1 этаж
|
| Группа капитальности
|
II
|
| Материал наружных ограждений (стен)
|
Кирпичное
|
| Площадь по наружному обмеру, кв.м.
|
33,5
|
| Строительный объем, куб.м.
|
97
|
| Инженерное оборудование
|
| Электроснабжение
|
Стандартное
|
| Вентиляция
|
Стандартная
|
| Описание внутренней отделки помещений
|
| По результатам осмотра было установлено, что в помещениях: полы бетонные, потолок и стены побелка (окрасочный слой местами загрязнился, потемнел, видны следы протечек).
|
2.2 Оценка базы отдыха затратным подходом
Определение восстановительной стоимости Объектов недвижимости.
В соответствии с общей частью к сборникам УПВС, в восстановительную стоимость приведенных в сборниках укрупненных показателей включены все прямые (ПИ) и косвенные (КИ) издержки, связанные со строительством, т.е. сумма ПИ + КИ равна полной восстановительной стоимости (ПВС) объекта.
Расчет ПВС Объекта будем производить по формуле:

Где: V- строительный объем объекта недвижимости, м3
, м2
, п/м.;
Сед
. — стоимость единицы измерения строительного объема в ценах 1969 года, определяется по соответствующему сборнику УПВС;
Ккл
— поправочный коэффициент для III-го
климатического района, в котором расположена Астраханская область;
К1
- коэффициент перехода от сметных цен 1969 г. к сметным ценам 1984 г. Принят на уровне индекса изменения стоимости строительно-монтажных работ по отраслям народного хозяйства на 1.01.1984 г1
. К1
= 1,16.
К1
терр
- поправочный территориальный коэффициент для Астраханской области к коэффициенту К1
К1
терр
= 1,04.
К2
- индекс удорожания капвложений в строительстве по сравнению с уровнем цен 1984 года к дате оценки, разработанный Региональным центром по ценообразованию в строительстве при АООТ «Астрахангражданпроект».
В связи с тем, что индекс удорожания К2
рассчитывается поквартально, используем следующие данные.
Таблица 8
| Расчетная дата
|
К84/2006
|
| 1 Январь, 2005
|
31,71
|
| 1 Апрель, 2005
|
32,87
|
| 1 Июль, 2005
|
34,53
|
| 1 Октябрь, 2005
|
35,99
|
| 1 Январь, 2006
|
37,25
|
| 1 Апрель, 2006
|
38,30
|
| 1 Июль, 2006
|
39,63
|
| 1 Октябрь, 2006
|
40,97
|
| 1 Январь, 2007
|
45,46
|
| 1 Апрель, 2007
|
47,33
|
| 1 Июль, 2007
|
50,95
|
| 1 Октябрь, 2007
|
54,13
|
| 1 Январь, 2008
|
56,50
|
| 1 Апрель, 2008
|
59,30
|
| 21 июня, 2008
|
59,97
|
Указанные данные обработаны с помощью стандартной статистической функций регрессионного анализа «ЛИНЕЙН», входящей в состав электронной таблицы «Microsoft Excel». С помощью данной функции составлено уравнение регрессии, описывающее изменение величины данного коэффициента во времени. Для расчета воспользуемся сборником укрупненных показателей восстановительной стоимости.
Таблица 9
| №
п/п
|
Наименование
|
Литера
|
Ед.
изм.
|
Строительный объем, м3
|
Стоимость 1 м3
, в ценах 1969 г. руб./м3
|
К 1
|
ПВС на дату оценки, руб
|
| 1
|
Домик с верандой
|
1
|
м3
|
38
|
21,30
|
0,94
|
1,16
|
1,04
|
59,97
|
55044,82 р.
|
| 2
|
Домик с верандой
|
2
|
м3
|
38
|
21,30
|
0,94
|
1,16
|
1,04
|
59,97
|
55044,82 р.
|
| 3
|
Домик с верандой
|
3
|
м3
|
38
|
21,30
|
0,94
|
1,16
|
1,04
|
59,97
|
55044,82 р.
|
| 4
|
Домик с верандой
|
4
|
м3
|
38
|
21,30
|
0,94
|
1,16
|
1,04
|
59,97
|
55044,82 р.
|
| 5
|
Домик с верандой
|
5
|
м3
|
38
|
21,30
|
0,94
|
1,16
|
1,04
|
59,97
|
55044,82 р.
|
| 6
|
Домик с верандой
|
6
|
м3
|
38
|
21,30
|
0,94
|
1,16
|
1,04
|
59,97
|
55044,82 р.
|
| 7
|
Домик с верандой
|
7
|
м3
|
38
|
21,30
|
0,94
|
1,16
|
1,04
|
59,97
|
55044,82 р.
|
| 8
|
Домик с верандой
|
8
|
м3
|
38
|
21,30
|
0,94
|
1,16
|
1,04
|
59,97
|
55044,82 р.
|
| 9
|
Домик с верандой
|
9
|
м3
|
38
|
21,30
|
0,94
|
1,16
|
1,04
|
59,97
|
55044,82 р.
|
| 10
|
Домик с верандой
|
10
|
м3
|
38
|
21,30
|
0,94
|
1,16
|
1,04
|
59,97
|
55044,82 р.
|
| 11
|
Домик с верандой
|
11
|
м3
|
38
|
21,30
|
0,94
|
1,16
|
1,04
|
59,97
|
55044,82 р.
|
| 12
|
Домик с верандой
|
12
|
м3
|
38
|
21,30
|
0,94
|
1,16
|
1,04
|
59,97
|
55044,82 р.
|
| 13
|
Домик с верандой
|
13
|
м3
|
38
|
21,30
|
0,94
|
1,16
|
1,04
|
59,97
|
55044,82 р.
|
| 14
|
Домик с верандой
|
14
|
м3
|
38
|
21,30
|
0,94
|
1,16
|
1,04
|
59,97
|
55044,82 р.
|
| 15
|
Домик с верандой
|
15
|
м3
|
38
|
21,30
|
0,94
|
1,16
|
1,04
|
59,97
|
55044,82 р.
|
| 16
|
Домик с верандой
|
16
|
м3
|
38
|
21,30
|
0,94
|
1,16
|
1,04
|
59,97
|
55044,82 р.
|
| 17
|
Домик с верандой
|
17
|
м3
|
38
|
21,30
|
0,94
|
1,16
|
1,04
|
59,97
|
55044,82 р.
|
| 18
|
Домик с верандой
|
18
|
м3
|
38
|
21,30
|
0,94
|
1,16
|
1,04
|
59,97
|
55044,82 р.
|
| 19
|
Домик с верандой
|
19
|
м3
|
38
|
21,30
|
0,94
|
1,16
|
1,04
|
59,97
|
55044,82 р.
|
| 20
|
Домик с верандой
|
20
|
м3
|
38
|
21,30
|
0,94
|
1,16
|
1,04
|
59,97
|
55044,82 р.
|
| 21
|
Домик с верандой
|
21
|
м3
|
38
|
21,30
|
0,94
|
1,16
|
1,04
|
59,97
|
55044,82 р.
|
| 22
|
Домик с верандой
|
22
|
м3
|
38
|
21,30
|
0,94
|
1,16
|
1,04
|
59,97
|
55044,82 р.
|
| 23
|
Домик с верандой
|
23
|
м3
|
38
|
21,30
|
0,94
|
1,16
|
1,04
|
59,97
|
55044,82 р.
|
| 24
|
Домик с верандой
|
24
|
м3
|
38
|
21,30
|
0,94
|
1,16
|
1,04
|
59,97
|
55044,82 р.
|
| 25
|
Домик с верандой
|
25
|
м3
|
38
|
21,30
|
0,94
|
1,16
|
1,04
|
59,97
|
55044,82 р.
|
| 26
|
Клуб 2-х этажный
|
26
|
м3
|
1460
|
24,40
|
0,94
|
1,16
|
1,04
|
59,97
|
2422679,21 р.
|
| 27
|
Жилой дом
|
27
|
м3
|
230
|
23,20
|
0,94
|
1,16
|
1,04
|
59,97
|
362885,03 р.
|
| 28
|
Гараж
|
28
|
м3
|
53
|
22,10
|
0,94
|
1,16
|
1,04
|
59,97
|
79656,53 р.
|
| 29
|
КТП-462
|
29
|
м3
|
2
|
23,50
|
0,94
|
1,16
|
1,04
|
59,97
|
3957,32 р.
|
| 30
|
Хлораторная
|
30
|
м3
|
97
|
24,30
|
0,94
|
1,16
|
1,04
|
59,97
|
160299,16 р.
|
| 31
|
Зем. участок
|
3305740 р.
|
Определение величины накопленного износа
Определение величины физического износа объекта недвижимости
Расчет физического износа объекта представлен далее в таблице:
Таблица 10
| Домик с верандой
|
Литера
|
1-25
|
| Наименование конструктивных элементов и вида работ
|
Удельный вес в общей стоимости % (у)
|
Фактический физический износ элемента
|
Доля физического износа элемента в общем физическом износе здания, %
|
| Фундаменты
|
4%
|
20%
|
0,80%
|
| Стены и перегородки
|
31%
|
25%
|
7,75%
|
| Перекрытия
|
12%
|
20%
|
2,40%
|
| Крыши
|
4%
|
30%
|
1,20%
|
| Полы
|
6%
|
30%
|
1,80%
|
| Проемы
|
13%
|
30%
|
3,90%
|
| Отделочные работы
|
10%
|
30%
|
3,00%
|
| Внутренние санитарно-технические и электрические устройства
|
13%
|
30%
|
3,90%
|
| Прочие работы
|
7%
|
30%
|
2,10%
|
| Итого:
|
26,85%
|
Таблица 11
| Клуб двухэтажный
|
Литера
|
26
|
| Наименование конструктивных элементов и вида работ
|
Удельный вес в общей стоимости % (у)
|
Фактический физический износ элемента
|
Доля физического износа элемента в общем физическом износе здания, %
|
| Фундаменты
|
4%
|
20%
|
0,80%
|
| Стены и перегородки
|
31%
|
25%
|
7,75%
|
| Перекрытия
|
12%
|
30%
|
3,60%
|
| Крыши
|
4%
|
30%
|
1,20%
|
| Полы
|
6%
|
30%
|
1,80%
|
| Проемы
|
13%
|
30%
|
3,90%
|
| Отделочные работы
|
10%
|
45%
|
4,50%
|
| Внутренние санитарно-технические и электрические устройства
|
13%
|
40%
|
5,20%
|
| Прочие работы
|
7%
|
40%
|
2,80%
|
| Итого:
|
31,55%
|
Таблица 12
| Жилой дом
|
Литера
|
27
|
| Наименование конструктивных элементов и вида работ
|
Удельный вес в общей стоимости % (у)
|
Фактический физический износ элемента
|
Доля физического износа элемента в общем физическом износе здания, %
|
| Фундаменты
|
4%
|
20%
|
0,80%
|
| Стены и перегородки
|
31%
|
25%
|
7,75%
|
| Перекрытия
|
12%
|
20%
|
2,40%
|
| Крыши
|
4%
|
30%
|
1,20%
|
| Полы
|
6%
|
30%
|
1,80%
|
| Проемы
|
13%
|
40%
|
5,20%
|
| Отделочные работы
|
10%
|
40%
|
4,00%
|
| Внутренние санитарно-технические и электрические устройства
|
13%
|
40%
|
5,20%
|
| Прочие работы
|
7%
|
30%
|
2,10%
|
| Итого:
|
30,45%
|
Таблица 13
| Гараж
|
Литера
|
28
|
| Наименование конструктивных элементов и вида работ
|
Удельный вес в общей стоимости % (у)
|
Фактический физический износ элемента
|
Доля физического износа элемента в общем физическом износе здания, %
|
| Фундаменты
|
4%
|
20%
|
0,80%
|
| Стены и перегородки
|
31%
|
25%
|
7,75%
|
| Перекрытия
|
12%
|
20%
|
2,40%
|
| Крыши
|
4%
|
30%
|
1,20%
|
| Полы
|
6%
|
30%
|
1,80%
|
| Проемы
|
13%
|
35%
|
4,55%
|
| Отделочные работы
|
10%
|
35%
|
3,50%
|
| Внутренние санитарно-технические и электрические устройства
|
13%
|
35%
|
4,55%
|
| Прочие работы
|
7%
|
35%
|
2,45%
|
| Итого:
|
29,00%
|
Таблица 14
| КТП-462
|
Литера
|
29
|
| Наименование конструктивных элементов и вида работ
|
Удельный вес в общей стоимости % (у)
|
Фактический физический износ элемента
|
Доля физического износа элемента в общем физическом износе здания, %
|
| Фундаменты
|
4%
|
20%
|
0,80%
|
| Стены и перегородки
|
31%
|
25%
|
7,75%
|
| Перекрытия
|
12%
|
20%
|
2,40%
|
| Крыши
|
4%
|
30%
|
1,20%
|
| Полы
|
6%
|
30%
|
1,80%
|
| Проемы
|
13%
|
35%
|
5,20%
|
| Отделочные работы
|
10%
|
40%
|
3,50%
|
| Внутренние санитарно-технические и электрические устройства
|
10%
|
35%
|
3,50%
|
| Прочие работы
|
7%
|
35%
|
2,45%
|
| Итого:
|
29,00%
|
Таблица 15
| Хлораторная
|
Литера
|
30
|
| Наименование конструктивных элементов и вида работ
|
Удельный вес в общей стоимости % (у)
|
Фактический физический износ элемента
|
Доля физического износа элемента в общем физическом износе здания, %
|
| Фундаменты
|
4%
|
20%
|
0,80%
|
| Стены и перегородки
|
31%
|
25%
|
7,75%
|
| Перекрытия
|
12%
|
30%
|
3, 60%
|
| Крыши
|
4%
|
30%
|
1,20%
|
| Полы
|
6%
|
30%
|
1,80%
|
| Проемы
|
13%
|
30%
|
3,90%
|
| Отделочные работы
|
10%
|
35%
|
3,50%
|
| Внутренние санитарно-технические и электрические устройства
|
13%
|
35%
|
4,55%
|
| Прочие работы
|
7%
|
30%
|
2,10%
|
| Итого:
|
29,20%
|
Определение величины накопленного функционального износа
Стоимость зданий и сооружений рассчитанная затратным подходом.
Таблица 16
| № п/п
|
Наименование
|
Литера
|
ПВС на дату оценки, руб.
|
Физический износ
|
Рыночная стоимость
|
| 1
|
Домик с верандой
|
1
|
55044,82 р
|
26,85%
|
40265,29 р
|
| 2
|
Домик с верандой
|
2
|
55044,82 р
|
27,85%
|
39714,84 р
|
| 3
|
Домик с верандой
|
3
|
55044,82 р
|
27,15%
|
40100,15 р
|
| 4
|
Домик с верандой
|
4
|
55044,82 р
|
27,15%
|
40100,15 р
|
| 5
|
Домик с верандой
|
5
|
55044,82 р
|
27,00%
|
40182,72 p
|
| 6
|
Домик с верандой
|
6
|
55044,82 р
|
26,85%
|
40265,29p
|
| 7
|
Домик с верандой
|
7
|
55044,82 р
|
27,45%
|
39935,02р.
|
| 8
|
Домик с верандой
|
8
|
55044,82 р
|
26,55%
|
40430,42р.
|
| 9
|
Домик с верандой
|
9
|
55044,82 р
|
26,65%
|
40375,38 p
|
| 10
|
Домик с верандой
|
10
|
55044,82 р
|
26,00%
|
40733,17 p
|
| 11
|
Домик с верандой
|
11
|
55044,82 р
|
24,55%
|
41531,32 p.
|
| 12
|
Домик с верандой
|
12
|
55044,82 р
|
25,50%
|
41008,39 p.
|
| 13
|
Домик с верандой
|
13
|
55044,82 р
|
28,00%
|
39632,27 p.
|
| 14
|
Домик с верандой
|
14
|
55044,82 р
|
24,40%
|
41613,88 p
|
| 15
|
Домик с верандой
|
15
|
55044,82 р
|
25,90%
|
40788,21 p
|
| 16
|
Домик с верандой
|
16
|
55044,82 р
|
24,90%
|
41256,09 p
|
| 17
|
Домик с верандой
|
17
|
55044,82 р
|
25,40%
|
41338,66 р
|
| 18
|
Домик с верандой
|
18
|
55044,82 р
|
25,40%
|
41063,44 p
|
| 19
|
Домик с верандой
|
19
|
55044,82 р
|
25,10%
|
41228,57 p
|
| 20
|
Домик с верандой
|
20
|
55044,82 р
|
29,70%
|
38 696,51 p
|
| 21
|
Домик с верандой
|
21
|
55044,82 р
|
29,65%
|
38,724,03 р
|
| 22
|
Домик с верандой
|
22
|
55044,82 р
|
25,70%
|
40898,30 p
|
| 23
|
Домик с верандой
|
23
|
55044,82 р
|
28,30%
|
39467,14 р
|
| 24
|
Домик с верандой
|
24
|
55044,82 р
|
22,65%
|
42577,17 р.
|
| 25
|
Домик с верандой
|
25
|
55044,82 р
|
24,75%
|
41421,23 р.
|
| 26
|
Клуб двухэтажный
|
26
|
2422679,21 р
|
31,55%
|
1658323,92 р
|
| 27
|
Жилой дом
|
27
|
362885,03 р
|
30,45%
|
252386,54p
|
| 28
|
Гараж
|
28
|
79 656,53 р
|
29,00%
|
56556,14 р.
|
| 29
|
КТП-462
|
29
|
3957,32 р
|
29,00%
|
2809,70р.
|
| 30
|
Хлораторная
|
30
|
160299,16
|
29,20%
|
113491,81 р
|
| 31
|
Земельный участок
|
3 305 740 р
|
3 305 740 p
|
| 6402656,19 р
|
2.3 Оценка базы отдыха сравнительным подходом
Перечень характеристик объектов - аналогов представлен в таблице.
Таблица 17
Аналоги для производственных помещений
| №
п/п
|
Описание помещения
|
Площадь земельного участка
|
Кол-во мест в сутки
|
Цена
|
Дата продажи
|
| 1
|
о. Джергак, участок, 3, 4 га, 32 летних домика, коммуникации
|
3,4
|
64
|
11 000 000,00 р.
|
Май 2008
|
| 2
|
Камызякский район, участок 1 га, на берегу реки, 13 домиков, сауна, коммуникации
|
1
|
26
|
5 000 000,00 р.
|
Май 2008
|
| 3
|
Харабалаи, участок 2,5 га, на берегу реки, 17 домиков, коммуникации
|
2,5
|
34
|
6 500 000,00 р.
|
Май 2008
|
| р-н Бабаевского, участок 5, 6 га, на берегу реки, 25 домиков, коммуникации
|
5,631
|
55
|
11 000 000,00 р.
|
Май 2008
|
1. Поправка на дату продажи.
Для расчета поправки использовался курс Евро , установленный ЦБ РФ на дату продажи (предложения).
2. Поправка на местоположение.
Поправка на этот фактор оценивается экспертным методом, исходя из практики риэлторской и оценочной деятельности.
3. Поправка на износ.
Расчет производится по формуле:
(10)
где: Пизнос
- поправка на износ;
Иобъекта
- фактический износ оцениваемого объекта (в данном случае, всего здания);
Ианалога -
фактический износ аналога.
4. Поправка на ремонт.
Анализ информации о стоимости ремонтных работ в г. Астрахани в настоящее время позволяют сделать следующие заключения:
Таблица включает те корректировки, которые были внесены, исходя из имеющихся различий между оцениваемым и сравниваемыми объектами.
Таблица 18
| Элементы сравнения
|
Единица измерения
|
Объекты сравнения
|
| Оцениваемый
|
Объект №1
|
Объект №2
|
Объект №3
|
| Цена продажи
|
Руб.
|
11 000 000
|
5 000 000
|
6 500 000
|
| Количество мест
|
ч/м
|
55,0
|
64,0
|
26,0
|
34,0
|
| Цена за ед. общей площади
|
Руб./ч/м
|
171875,0
|
192307,7
|
191176,5
|
| Дата продажи
|
01.07.2006
|
01.07.2006
|
01.07.2006
|
| Корректировка
|
%
|
| Скорректированная цена
|
Руб.
|
171 875,0
|
192 307,7
|
191 176,5
|
| Корректировка на местоположение
|
%
|
10%
|
| Скорректированная цена
|
Руб.
|
189 062,5
|
192 307,7
|
191 176,5
|
| Корректировка на удобство подъездных путей, %
|
10%
|
5%
|
| Скорректированная цена
|
207 968,8
|
192 307,7
|
200 735,3
|
| Корректировка на транспортную доступность, %
|
| Скорректированная цена
|
Руб.
|
207 968,8
|
192 307,7
|
200 735,3
|
| Ремонт
|
Косметический ремонт
|
Косметический ремонт
|
Косметический ремонт
|
Косметический ремонт
|
| Корректировка в руб.
|
- р.
|
- р.
|
- р.
|
| Скорректированная цена
|
Руб.
|
207 968,8
|
192 307,7
|
200 735,3
|
| Весовой показатель
|
3
|
2
|
1
|
| Стоимость 1м2
объекта оценки
|
Руб.
|
201 542,82 р.
|
| Стоимость объекта оценки
|
Руб.
|
11 084 855,18 р.
|
2.4 Оценка базы отдыха доходным подходом
Характеристики сопоставимых объектов для определения средних ставок арендной платы Объекта:
Таблица 19
| Характеристики
|
Объект оценки
|
Объект №1
|
Объект №2
|
Объект №3
|
| Источник информации
|
База отдыха «Мечта»
|
База отдыха «Джергак»
|
База отдыха «Астрахань»
|
| Месторасположение
|
г. Астрахань
|
Камызякский район
|
о. Джергак
|
с. Чаган
|
| Количество мест
|
55
|
30
|
54
|
28
|
| Уровень отделки помещений
|
Стандартный ремонт
|
Стандартный ремонт
|
Стандартный ремонт
|
Стандартный ремонт
|
| Стоимость 1 места, в сутки
|
-
|
250,00 р.
|
250,00 р.
|
300,00 р.
|
| Стоимость 1 места, в месяц
|
-
|
7 500,00 р.
|
7 500,00 р.
|
9 000,00 р.
|
| Стоимость 1 места, в год
|
37500,00 р.
|
37500,00 р.
|
45000,00 р.
|
| Корректировка на транспортную доступность, %
|
-
|
0%
|
0%
|
0%
|
| Скорректированная цена
|
37500,00 р.
|
37500,00 р.
|
36000,00 р.
|
| Корректировка на уровень отделки, в %
|
-
|
| Скорректированная цена
|
37500,00 р.
|
37500,00 р.
|
36000,00 р.
|
| Корректировка на расположение в здании
|
| Скорректированная цена
|
37500,00 р.
|
37500,00 р.
|
36000,00 р.
|
| Весовой показатель
|
2
|
3
|
1
|
| Скорректированная ставка 1 места, руб. в год
|
37250,00 р.
|
| Скорректированная ставка 1 места, руб. в месяц
|
7 450,00 р.
|
| Стоимость 1 места в сутки, руб.
|
248,33 р.
|
| Скорректированная ставка валовой выручки, руб. в год
|
2048750,00 р.
|
Расчет среднегодовой величины эксплуатационных расходов представлен в нижеследующей таблице.
Таблица 20
| Наименование услуг
|
Среднегодовая величина расходов, оплачиваемых собственником (с учетом НДС)
|
| Налог на имущество, руб. (2,2 от остаточной стоимости)
|
409 р.
|
| Водопотребление, канализация и обслуживания сетей водопотребления, вызов бытовых отходов
|
17 652 р.
|
| Услуги облаживающего персонала (уборщица, сторожа, слесарь, плотник), руб.
|
16 000 р.
|
| Телефоны стационарные
|
300 р.
|
| Мелкий ремонт помещений
|
55 375 р.
|
| Электроэнергия
|
18 274 р.
|
| Итого, среднегодовая величина эксплуатационных расходов, руб.
|
108 009 р.
|
Определение рыночной стоимости Объекта методом капитализации дохода:
Таблица 21
| Показатель
|
Значение
|
| Площадь Объекта оценки ( S ), кв.м.
|
55
|
| Арендная плата ( А ст), руб./ кв.м./год
|
37 250,00 р.
|
| Потенциальный валовый доход ( ПВД), руб./год
|
2048750,00 р.
|
| Коэффициент загрузки помещений ( К з )
|
0,92
|
| Коэффициент сбора платежей ( К с)
|
1
|
| Действительный валовый доход (ДВД), руб./год
|
1884850,00 р.
|
| Эксплуатационные расходы по Объекту оценки ( ЭР), руб./год
|
108009 р.
|
| Чистый операционный доход (ЧОД об), в руб./год
|
1776840,71 р.
|
| Коэффициент капитализации
|
27,25%
|
| Рыночная стоимость Объекта (V), руб.
|
6520512,36 р.
|
2.5 Согласование результатов о рыночной стоимости недвижимости
Анализируя применимость каждого подхода для оценки нашего объекта, мы пришли к следующим выводам:
1. Затратный подход полезен в основном для оценки объектов, уникальных по своему виду и назначению, для которых не существует рынка, либо для объектов с незначительным износом. В оценке затрат на воспроизводство велика доля экспертных суждений. Информация, предоставляемая методом затрат, безусловно, имеет значение для нашего анализа, но нельзя на него слишком полагаться.
2. Подход сравнения продаж более отражает ту цену, которая может возникнуть на рынке с учетом всех тенденций рынка и предпочтений покупателей, чем любой другой из методов оценки. В то же время не стоит слишком доверяться исходной информации об условиях продаж объектов, их цене и проч.
3. Подход с точки зрения доходности отражает ту предельную стоимость, больше которой не будет платить потенциальный инвестор, рассчитывающий на типичное использование объекта и на принятые нами ставки доходности. В связи с этим, учитывая, что решения типичных инвесторов для данного типа объектов опирается в основном на стремление получить максимальный доход от владения, доходность в данном случае имеет достаточно большой вес при решении об окончательной стоимости объекта.
Учитывая вышеизложенное, мы пришли к следующим весовым коэффициентам, отражающим долю каждого из использованных нами подходов в определении итоговой стоимости:
Таблица 22
Весовые показатели подходов оценки
| Показатели
|
Затратный
подход
|
Сравнительный
подход
|
Доходный
подход
|
| Достоверность информации
|
25%
|
40%
|
35%
|
| Полнота информации
|
25%
|
40%
|
35%
|
| Способность учитывать действительные намерения покупателя
|
25%
|
50%
|
25%
|
| Способность учитывать конъюнктуру рынка
|
25%
|
50%
|
25%
|
| Способность учитывать размер, местоположение, доходность объекта
|
25%
|
35%
|
40%
|
| Допущения, принятые в расчетах
|
20%
|
50%
|
30%
|
| Весовые показатели достоверности подходов оценки
|
24,2%
|
44,2%
|
31,7%
|
Расчет согласованной стоимости произведен по формуле:
(18)
Где V- обоснованная рыночная стоимость объекта оценки, руб.; 1
V1
- стоимость объекта, определённая затратным подходом, руб.; ]
V2
_ стоимость объекта, определённая сравнительным подходом, руб.;
V3
_ стоимость объекта, определённая доходным подходом, руб.;
Q1
- средневзвешенное значение достоверности затратного подхода;
Q2
- Средневзвешенное значение достоверности сравнительного подхода;
Q3
- средневзвешенное значение достоверности доходного подхода;
Таким образом, согласованная стоимость Объектов недвижимости составляет:

Таким образом, на основании имеющейся информации и данных, полученных в результате проведения настоящего анализа с применением методик оценки, можно сделать следующее заключение:
стоимость Объекта оценки, база отдыха «Энергетик» расположенного по адресу: г. Астрахань, ул. Турбазовская, 3, по состоянию на «21» июля 2006 г., составляет с учетом округления (включая НДС 18%) рыночная стоимость имущества 8 510 000,00 рублей (Восемь миллионов пятьсот десять тысяч рублей).
Рыночная стоимость недвижимости и ее расчет является самым распространенным видом рыночной оценки. Оценка рыночной стоимости включает в себя определение стоимости объекта или отдельных прав в отношении оцениваемого объекта, например, права аренды, права пользования и т.д. Зачастую, рыночная стоимость недвижимости является очевидной для ее владельцев или возможных покупателей. Однако, после проведения оценки рыночной стоимости, ее цена может быть значительно скорректирована. Для определения этой реальной стоимости и производится оценка недвижимости.
Рыночная оценка может быть проведена в отношении таких объектов, как:
земельные участки
объекты жилой недвижимости (квартиры, коттеджи, дома)
объекты коммерческой недвижимости (офисные помещения, гостиницы, торговые и складские площади)
объекты промышленной недвижимости (здания, сооружения, промышленные комплексы)
инженерные коммуникации (мосты, путепроводы, газо- и нефтепроводы, теплосети)
объекты незавершенного строительства
Оценка рыночной стоимости помогает максимально выгодно распоряжаться недвижимым имуществом, этим новым ресурсом, который предприятия и граждане получают в свое распоряжение. Рыночная оценка становится необходимой уже тогда, когда собственники земли и недвижимости захотят заложить их для получения кредита. Без должной оценки не стоит рассчитывать и на привлечение дополнительных инвестиций, в том числе иностранных.
Оценка рыночной стоимости недвижимости означает определение наиболее вероятной цены, которая сложится при продаже объекта собственности на конкурентном и открытом рынке при наличии всех условий, необходимых для совершения справедливой сделки.
Такими условиями являются:
1. Покупатель и продавец действуют на основе типичных, стандартных мотивов. Ни для одной из сторон сделка не является вынужденной.
2. Обе стороны обладают всей полнотой информации для принятия решений и действуют, стремясь к наилучшему удовлетворению своих интересов.
3. Объект выставлен на открытом рынке достаточное время, и для совершения сделки выбран оптимальный момент.
4. Оплата производится в денежной форме или согласованы финансовые условия, сравнимые с оплатой наличными.
5. Цена сделки отражает обычные условия и не содержит скидок, уступок или специального кредитования ни одной из сторон, связанных со сделкой.
6. Объект пользуется обычным спросом и обладает признаваемой на рынке полезностью.
7. Объект достаточно дефицитен, иначе говоря, имеется ограниченное предложение, создающее конкурентный рынок.
8. Объект наделен свойствами отчуждаемости и способен передаваться из рук в руки.
Выделяют три основных метода оценки рыночной стоимости недвижимости: метод сравнения, затратный метод и метод капитализации доходов.
Основной метод рыночной оценки - это метод сравнительных продаж. Этот метод применим в том случае, когда существует рынок земли и недвижимости, существуют реальные продажи, когда именно рынок формирует цены, и задача оценщиков заключается в том, чтобы анализировать этот рынок, сравнивать аналогичные продажи и таким образом получать рыночную стоимость оцениваемого объекта. Метод построен на сопоставлении предлагаемого для продажи объекта с рыночными аналогами. Он находит наибольшее применение на Западе (90 процентов случаев). Однако для этой работы необходим уже сформировавшийся рынок земли и недвижимости.
Метод оценки рыночной стоимости по затратам к земле практически не применим. Может использоваться лишь в исключительных случаях оценки земли неразрывно от произведенных на ней улучшений. Считается, что земля постоянна и не расходуема, а затратный метод применяется для оценки искусственных объектов, созданных человеком. При оценке этим методом стоимость земли складывается со стоимостью улучшений (зданий, сооружений), а земля оценивается отдельно другими методами.
Вообще говоря, стоимость земли определяется тем, какой доход можно получить от ее использования. В связи с ограниченностью лучших для использования земельных участков, например, в городах, здесь испытывается соответствующий дефицит и расчет стоимости земли. Следующим методом рыночной оценки, который применим именно для России,- является метод оценки, основанный на анализе наиболее эффективного использования недвижимости, и этот анализ связан с определением того вида использования, который будет приносить владельцу максимальный доход.
Естественно, что со стороны банков возник большой интерес к таким операциям. И все они нуждаются в квалифицированной и точной рыночной оценке недвижимости, проводящие страхование по реальной стоимости объектов недвижимости.
Рыночная оценка необходима также в рамках региональной налоговой политики. Во всем мире основой системы местного налогообложения служит налог на недвижимость, за счет этого налога формируется около 70 процентов местного бюджета. Конечно, с развитием самого рынка, с появлением реальных стоимостей возможен переход к такой системе налогообложения, которая бы стимулировала развитие рынка недвижимости и обеспечила бы вместе с тем пополнение местных бюджетов. Этим объясняется и безусловный интерес к рыночной оценке, проявляемый со стороны местных администраций.
БИБЛИОГРАФИЯ
1. Федеральный закон «Об оценочной деятельности в Российской Федерации» № 135- ФЗ от 29.07.98 г.;
2. «Итоги производственной деятельности отраслей за август 2003 года». Приложение к журналу «Минтоп». Российское информационное агентство топливно-энергетического комплекса (РИА ТЭК), Москва, сентябрь 2003 г.
3. «Методика по расчету стоимости строительно-монтажных работ и прочих затрат по капитальному строительству, капремонту и реконструкции в текущем уровне цен». Утверждена Администрацией Астраханской области 05 июля 2001 г., введена в действие с 01.05.2001 г.
4. «Методические рекомендации по определению рыночной стоимости земельных уча стков», утвержденные распоряжением Минимущества России от 06.03.2002 г. № 568-р. (в ред. распоряжения Минимущества РФ от 31.07.2002 г. № 2314-р).
5. «Методические рекомендации по определению рыночной стоимости права аренды земельных участков», утвержденные распоряжением Минимущества России от 10.04.2003 г. №1102-р.
6. «Начисление амортизации». М.: «ПРИОР», 1995 г. - 128 с.
7. «Правила оценки физического износа жилых зданий», ВСН 53-86 (р) / Госгражданстрой. - М: Прейскурантиздат, 1988. - 72 с.
8. «Правила оценки физического износа жилых зданий», ВСН 53-86 (р) / Госгражданстрой. - М: Прейскурантиздат, 1988. — 72 с.
9. Raymond Perrier «Brand Valuation, London, InterBrand and Premier Book», 1997r.
10. Болдырев В. С., Галушина А. С., Федоров А. Е. «Введение в теорию оценки недвижимости». - М.: - «Центр менеджмента, оценки и консалтинга», 1998 г.
11. Государственные элементные сметные нормы на строительные работы ГЭСН-2001. Госстрой России, Москва, 2000 г.
12. Гражданский кодекс Российской Федерации (часть первая). - Введен в действие Федеральным законом РФ №51-ФЗ от ЗОЛ 1.94 г.;
13. Грибовскпй С. Оценка доходной недвижимости. - СПб: Питер, 2001.-336с;
14. Единые нормы амортизационных отчислений на полное восстановление основных фондов народного хозяйства СССР. Утверждены Постановлением Совета Министров СССР от 22 октября 1990 г. 1072
15. Единые нормы амортизационных отчислений на полное восстановление основных фондов народного хозяйства СССР. Утверждены Постановлением Совета Министров СССР от 22 октября 1990 г. № 1072
16. Земельный кодекс Российской Федерации. - Введен в действие Федеральным законом РФ №136-ФЗ 25.10.01 г.;
17. Информационный бюллетень "Цены на лаки, краску, сантехнику, металлоизделия и основные строительные материалы по предложениям предприятий города Астрахани". Выпущен отделом координации строительства при Главном управлении архитектуры и градостроительства администрации г. Астрахани, II квартал 2004 г.
18. Каталог районных единичных расценок для строительства объектов в зонах I-V Астраханской области, в 4-х томах.
19. Каталог районных единичных расценок для строительства объектов в зонах I-V Астраханской области. В 4-х томах. Астрахань, -1983 г.
20. Международные стандарты оценки Международного комитета по стандартам оценки имущества. - М.: РОО, 1995. - 385 с;
21. Межрегиональный информационно-аналитический бюллетень «Индексы цен в строительстве», издаваемый фирмой КО-ИНВЕСТ.
22. Межрегиональный информационно-аналитический бюллетень «Индексы цен в строительстве», издаваемый фирмой КО-ИНВЕСТ, г. Москва, 2005 г.
23. Оценка бизнеса. Учебник /под ред. А.Г.Грязновой, М.А. Федотовой. — М.: Финансы и статистика, 1999. - 512 с.
24. Питер Дойль «Маркетинг, ориентированный на стоимость», перевод с английского под редакцией Ю.Н. Капитуревского. С.-Пб.: «Питер», 2001г.
25. Приказы Минэкономразвития России от 20.07.2007г. №№254,255,256
26. Прокопипшн А. П. «Капитальный ремонт зданий: Справочник инженера- сметчика». В 2 т. Т. 2 - 2-е изд., перераб. и доп. - М: Стройиздат, 1991. - 416 с.: ил. ISBN 5- 274-01739-8.
27. Сборники укрупненных показателей восстановительной стоимости зданий и сооружений для оценки основных фондов, М. - «Стройиздат», 1970.
28. Сборники укрупненных показателей восстановительной стоимости зданий и сооружений для переоценки основных фондов, М. - «Стройиздат», 1970.
29. Специализированный журнал «Основные средства».
30. Стандарт СТО РОО 20-02-96 «Рыночная стоимость как база оценки»;
31. Стандарт СТО РОО 20-06-96 «Классификатор услуг по оценке имущества»;
32. Строительные нормы и правила. СНиП 1.04.03-85 «Нормы продолжительности строительства и задела в строительстве предприятий, зданий и сооружений» (утв. постановлением Госстроя СССР и Госплана СССР от 17 апреля 1985 г. № 51/90) (с изменениями от 10 февраля 1987 г.) Часть П.
33. Тарасевич Е. И. «Оценка недвижимости» / СПбГТУ, СПб., 1997, ISBN 5-7422-0024-2
34. Тарасевич Е. И. «Оценка недвижимости» / СШГТУ, СПб., 1997, ISBN 5-7422-0024-2
35. Шеремет А.Д., Негашев Е.В. «Методика финансового анализа» 3-е изд., перераб. и доп. - М: ИНФРА-М., 1999 г.
|