| СОДЕРЖАНИЕ
ВВЕДЕНИЕ
ОПРЕДЕЛЕНИЕ ПРИОРИТЕТНЫХ ВИДОВ ПРОДУКЦИИ
ПРОМЫШЛЕННОГО ПРЕДПРИЯТИЯ В УСЛОВИЯХ РЫНКА
ВЫВОДЫ
ИСПОЛЬЗОВАНЫ ИСТОЧНИКИ
ВВЕДЕНИЕ
Приоритетным направлением финансово-экономической и производственно-сбытовой деятельности украинских предприятий является повышение уровня конкурентоспособности произведенной продукции с целью получения прибыли при максимально полном удовлетворении запросов потребителей. Сегодня эта проблема, наиболее актуальная для национальных товаропроизводителей , требует выявления новых связей между уровнем конкурентоспособности продукции и эффективностью деятельности предприятия.
В современной экономической литературе рассмотрена только одна сторона взаимосвязей между этими двумя понятиями, а именно - что повышение конкурентоспособности продукции возможно лишь за счет увеличения эффективности использования всех ресурсов, которые есть у предприятия. При этом практически не освещается обратная связь: повышение конкурентоспособности отдельного вида продукции может положительно повлиять на эффективность деятельности предприятия в целом.
В работе рассмотрены актуальные вопросы управления конкурентоспособностью продукции с целью повышения эффективности стратегической деятельности многопрофильных предприятий, обоснован концептуальный подход к определению приоритетных видов продукции предприятия в условиях рынка, предложена методика для их оценки на примере одного из ведущих предприятий металлургической отрасли Украины.

При определении видов продукции, для которых целесообразно проводить меры по повышению конкурентоспособности, учитывают следующие показатели:
— уровень спроса на продукцию;
— рентабельность продукции;
— удельный вес продукции в общем объеме производства;
— уровень конкурентоспособности продукции.
Уровень спроса на каждый из видов продукции определяется с помощью исследований основных рынков сбыта с учетом тенденций их развития. Чтобы иметь возможность сопоставлять спрос на все виды продукции предприятия, вводится количественный показатель спроса (см. табл. 1).
Таблица 1 Показатели спроса на продукцию
| Характеристика спроса
|
Количественное
значение
|
| Спрос на продукцию отсутствует
Забиваем Сайты В ТОП КУВАЛДОЙ - Уникальные возможности от SeoHammer
Каждая ссылка анализируется по трем пакетам оценки: SEO, Трафик и SMM.
SeoHammer делает продвижение сайта прозрачным и простым занятием.
Ссылки, вечные ссылки, статьи, упоминания, пресс-релизы - используйте по максимуму потенциал SeoHammer для продвижения вашего сайта.
Что умеет делать SeoHammer
— Продвижение в один клик, интеллектуальный подбор запросов, покупка самых лучших ссылок с высокой степенью качества у лучших бирж ссылок.
— Регулярная проверка качества ссылок по более чем 100 показателям и ежедневный пересчет показателей качества проекта.
— Все известные форматы ссылок: арендные ссылки, вечные ссылки, публикации (упоминания, мнения, отзывы, статьи, пресс-релизы).
— SeoHammer покажет, где рост или падение, а также запросы, на которые нужно обратить внимание.
SeoHammer еще предоставляет технологию Буст, она ускоряет продвижение в десятки раз,
а первые результаты появляются уже в течение первых 7 дней.
Зарегистрироваться и Начать продвижение
|
0,0
|
| Низкий уровень спроса с дальнейшей тенденцией к снижению
|
0,1-0,2
|
| |
0,2-0,3
|
| Низкий уровень спроса с тенденцией к дальнейшему повышению
|
0,3-0,4
|
| Средний уровень спроса с тенденцией к дальнейшему снижению
|
0,4-0,5
|
| |
0,5-0,6
|
| Средний уровень спроса с тенденцией к дальнейшему повышению
|
0,6-0,7
|
| Высокий уровень спроса с тенденцией к дальнейшему снижению
|
0,7-0,8
|
| Стабильно высокий уровень спроса
|
0,8-0,9
|
| Высокий уровень спроса с тенденцией к дальнейшему повышению
|
0,9-1,0
|
Показатели рентабельности продукции и ее удельного веса в общем объеме производства определяются на основе методов экономического анализа хозяйственной деятельности предприятия. Показатель уровня конкурентоспособности продукции вычисляется по одной из методик, наиболее соответствующей виду и состоянию рынка, на котором функционирует предприятие, и характеристикам самой продукции.
Предлагаем следующую схему для определения приоритетной продукции предприятия в условиях рынка.
На первом этапе рассчитываются указанные показатели по всем видам продукции предприятия.
На втором этапе формируются группы приоритета. Их составляют виды продукции по признаку влияния мер по управлению их конкурентоспособностью на эффективность деятельности предприятия. Группы приоритета формируются с помощью метода ранжирования и показывают уровень значимости каждого вида продукции для предприятия по отдельным показателям. Количество первичных групп приоритета равно количеству показателей, принимающих участие в анализе. Для определения этих групп продукция ранжируется по показателю спроса на нее и увязывается со стандартной шкалой оценок (см. табл. 1). С учетом особенностей этого показателя максимальное количество групп приоритета, которое мы можем сформировать, равно максимально возможному количеству показателей спроса - то есть 10, а минимальное — 1. Далее происходит формирование первичных групп приоритета по другим показателям, принимающим участие в анализе. Количество первичных групп продукции, сформированных с помощью ранжирования экономических показателей, должно совпадать с количеством первичных групп, сформированных по показателям спроса.
Формирование групп приоритета проводится следующим образом: в группу приоритета 1-го уровня необходимо относить только те виды продукции, которые при поэтапном ранжировании по и-показателям попадали в первую группу п или п-1 раз. В группе приоритета 2-го уровня находятся те виды продукции, которые при ранжировании попали в эту группу п или и-1 раз, а также те, которые попали в группу приоритета 1-го уровня п-2 раза, и т. д. по каждой из существующих групп (см. табл. 2).
Сервис онлайн-записи на собственном Telegram-боте
Попробуйте сервис онлайн-записи VisitTime на основе вашего собственного Telegram-бота:
— Разгрузит мастера, специалиста или компанию;
— Позволит гибко управлять расписанием и загрузкой;
— Разошлет оповещения о новых услугах или акциях;
— Позволит принять оплату на карту/кошелек/счет;
— Позволит записываться на групповые и персональные посещения;
— Поможет получить от клиента отзывы о визите к вам;
— Включает в себя сервис чаевых.
Для новых пользователей первый месяц бесплатно.
Зарегистрироваться в сервисе
Таблица 2
Формирование групп приоритета
| Группы приоритета, уровень
|
Первичные группы приоритета, уровень
|
| |
1-й
|
2-й
|
3-й
|
|
10-й
|
| 1-Й
|
п, п -1
|
-
|
-
|
|
-
|
| 2-Й
|
п-2
|
п, п -1
|
-
|
|
-
|
| 3-Й
|
п -3
|
п-2
|
п, п -1
|
|
-
|
| |
|
|
|
|
|
| 10-Й
|
-
|
п-9
|
п -8
|
|
п, п -1
|
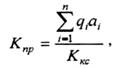
На третьем этапе определения приоритетной продукции рассчитывается коэффициент приоритета Кв
'.

где qt
- анализуемый показатель;
аt
- вес показателя;
п - количество показателей;
Ккс
- коэффициент конкурентоспособности продукции.
Вес каждого показателя определяется с помощью экспертных оценок и зависит от стратегических целей предприятия.
Рассмотрим использование предложенной методики для оценки приоритетной продукции одного из ведущих предприятий металлургической отрасли Украины ОАО «Интерпайп – НТЗ». Основные виды продукции предприятия и расчетные показатели приведены в табл. 3.
В процессе анализа были сформированы четыре группы приоритета для продукции ОАО «Интерпайп – НТЗ», которые приведены в табл. 4
Таблица 3
Расчетные значения показателей ОАО «Интерпайп – НТЗ»
| Продукция
|
Спрос
|
Удельный вес в общем объеме производства (%)
|
Рентабельность продукции (%)
|
Показатель конкурентоспособности продукции
|
| Колеса цельнокатаные
|
0,83
|
24,81
|
31,25
|
1,70
|
| Бандажи железнодорожные
|
0,81
|
2,70
|
30,75
|
1,05
|
| Трубы нефтепроводные
|
0,95
|
23,61
|
33,33
|
1,18
|
| |
0,88
|
6,32
|
31,41
|
1,39
|
| Трубы электросварочные
|
0,56
|
2,54
|
24,84
|
1,14
|
| Трубы водогазопроводные
|
0,48
|
4,39
|
27,88
|
1,61
|
| Трубы катаные углеродные
|
0,58
|
1,62
|
24,83
|
1,72
|
| Трубы катаные шарикоподшипни-
|
|
|
|
|
| |
0,57
|
1,95
|
26 ,21
|
1,68
|
| Трубы тянутые шарикоподшипни-
|
|
|
|
|
| ковые
|
0,59
|
1,80
|
22,98
|
2,07
|
| Трубы тянутые углеродные
|
0,53
|
2,27
|
24,07
|
1,62
|
| Трубы обсадные с муфтами
|
0,86
|
12,85
|
31,06
|
1,48
|
| Трубы насосно-компрессорные
|
0,59
|
3,48
|
26,42
|
1,43
|
| |
0,87
|
12,35
|
28,37
|
1,47
|
Таблица 4
Вхождение продукции ОАО «Интерпайп – НТЗ» в первичные группы приоритета продукции
| |
Первичная группа приоритета
|
| Продукция
|
1-го
|
2-го
|
3-го
|
4-го
|
| |
уровня
|
уровня
|
уровня
|
уровня
|
| |
1
|
2
|
_
|
|
| Бандажи железнодорожные
|
|
2
|
1
|
_
|
| Трубы нефтепроводные
|
2
|
1
|
|
-
|
| Трубы бурильные
|
-
|
3
|
-
|
-
|
| Трубы электросварочные
|
-
|
-
|
3
|
-
|
| Трубы водогазопроводные
|
-
|
1
|
1
|
1
|
| Трубы катаные углеродные
|
-
|
-
|
2
|
1
|
| Трубы катаные шарикоподшипниковые
|
-
|
-
|
3
|
-
|
| Трубы тянутые шарикоподшипниковые
|
-
|
-
|
2
|
1
|
| Трубы тянутые углеродные
|
-
|
-
|
3
|
-
|
| Трубы обсадные с муфтами
|
-
|
3
|
-
|
-
|
| Трубы насосно-компрессорные
|
-
|
-
|
3
|
-
|
| Трубы обсадные
|
-
|
3
|
-
|
-
|
Данные таблицы 4 показывают, какое количество раз и к какой из первичных групп приоритета, сформированных по указанным принципам, относится каждый вид продукции ОАО "Интерпайп - НТЗ". Например, цельнокатаные колеса один раз вошли в первичную приоритетную группу 1-го уровня и дважды — 2-го уровня.
Сделав необходимые расчеты, определяем коэффициент и группы приоритета, в которые входит продукция ОАО "Интерпайп — НТЗ" (см. табл. 5)
Таблица 5
Определение приоритетной продукции ОАО «Интерпайп – НТЗ»
| Группа
|
Продукция
|
Коэффициент
|
| приоритета
|
|
приоритета
|
| 1
|
Трубы нефтепроводные
|
1,48
|
| |
Колеса цельнокатаные
|
1,01
|
| |
Трубы обсадные с муфтами
|
0,91
|
| 2
|
Трубы обсадные
|
0.85
|
| |
Трубы бурильные
|
0,84
|
| |
Бандажи железнодорожные
|
0,77
|
| |
Трубы электросварочные
|
0,74
|
| |
Трубы насосно-компрессорные
|
0,64
|
| |
Трубы катаные шарикоподшипниковые
|
0,52
|
| 3
|
Трубы тянутые углеродные
|
0,50
|
| |
Трубы катаные углеродные
|
0,47
|
| |
Трубы тянутые шарикоподшипниковые
|
0,37
|
| 4
|
Трубы водогазопроводные
|
0,63
|
ВЫВОДЫ
Проведенный анализ показывает, что приоритетной продукцией в современных рыночных условиях для ОАО «Интерпайп – НТЗ» являются нефтепроводные трубы. То есть меры по управлению конкурентоспособностью этого вида продукции будут иметь наибольшее положительное влияние на эффективность деятельности предприятия.
Разработанная методика может использоваться при оценке приоритетной продукции и для предприятий других отраслей промышленности Украины.
ИСПОЛЬЗОВАНЫ ИСТОЧНИКИ
1. Кузьмін О.Є., Долішній М.І.,Булеєв I.П., Шинкаренко В.Г. та ін. Конкурентоспроможність: проблеми науки і практики. Монографія. Науково-дослідний центр індустріальних проблем розвитку HAH України, Харківський національний економічний університет. - X., Видавничий дім «ІНЖЕК», 2006, 248 с
2. Швиданенко Г.О. Сучасна технологія діагностики фінансово-економічної діяльності підприємства. Монографія. - К., КНЕУ, 2002, 192 с
3. Промислове виробництво: підсумки 2005 року та прогнозні оцінки початку 2006 року. «Економіст» N22(220), 2006, с 13
4. Харахулах В.С. Лесовой В.В. Производство и перспективы технического перевооружения металлургической подотрасли. «Металлургическая и горнорудная промышленность» N° 6 (234), 2005, с 1
5. Фінансова звітність ВАТ «Інтерпайп – НТЗ» за 2005 p
|