| Модель Хікса-Хансена та її роль в макроекономіці.
2006 р. ПЛАН
Вступ...................................................................................................................... 3
1. Суть макроекономічного аналізу............................................................. 5
2. Економічна суть моделі Хікса – Хансена.............................................. 9
3. Обґрунтування економічної політики держави за допомогою моделі Хікса-Хансена.................................................................................................. 13
3.1 Грошово-кредитна політика............................................................. 13
3.2 Фіскальна політика............................................................................... 15
3.3 Альтернативні варіанти фіскальної політики.............................. 19
Висновок............................................................................................................ 25
Список використаної літератури............................................................... 26
Макроекономіка — це одна з наук, що вивчає економіку. Остання е складною системою. Крім макроекономіки, її вивчають багато інших економічних наук: політична економія, мікроекономіка, маркетинг, галузеві та функціональні економіки тощо. Макроекономіка як наука спирається передусім на положення та висновки економічної теорії про розвиток виробничих відносин, розширене відтворення, дію об'єктивних економічних законів та механізм їх застосування у практиці господарювання. Вона також безпосередньо пов'язана з математикою і статистикою, широко використовує методи економіко-математичного моделювання, що перетворює її у точну науку. Дає змогу перейти від кількісного до якісного аналізу економічних процесів та явищ. Макроекономіка формує наукові уявлення про функціонування економіки на національному рівні. Аналізуючи основні фактори і наслідки макроекономічного розвитку, ця наука водночас пропонує певні «рецепти», методи активного впливу на об'єкт свого дослідження. Макроекономіка виступає теоретичною основою економічної політики держави.
Макроекономічні моделі використовуються в системі макроекономічного аналізу. Цей аналіз дуже важливий для економіки будь-якої країни. Моделюючи певні процеси, ми можемо краще дізнатися про особливості певного явища, його недоліки. Основна мета
даної курсової роботи – дослідити особливості застосування моделі Хікса-Хансена для обґрунтування економічної політики держави.
Забиваем Сайты В ТОП КУВАЛДОЙ - Уникальные возможности от SeoHammer
Каждая ссылка анализируется по трем пакетам оценки: SEO, Трафик и SMM.
SeoHammer делает продвижение сайта прозрачным и простым занятием.
Ссылки, вечные ссылки, статьи, упоминания, пресс-релизы - используйте по максимуму потенциал SeoHammer для продвижения вашего сайта.
Что умеет делать SeoHammer
— Продвижение в один клик, интеллектуальный подбор запросов, покупка самых лучших ссылок с высокой степенью качества у лучших бирж ссылок.
— Регулярная проверка качества ссылок по более чем 100 показателям и ежедневный пересчет показателей качества проекта.
— Все известные форматы ссылок: арендные ссылки, вечные ссылки, публикации (упоминания, мнения, отзывы, статьи, пресс-релизы).
— SeoHammer покажет, где рост или падение, а также запросы, на которые нужно обратить внимание.
SeoHammer еще предоставляет технологию Буст, она ускоряет продвижение в десятки раз,
а первые результаты появляются уже в течение первых 7 дней.
Зарегистрироваться и Начать продвижение
Поставлена мета обумовила необхідність вирішення ряду взаємопов’язаних завдань:
· визначити необхідність та значення макроекономічного аналізу;
· виявити економічну суть моделі Хікса-Хансена;
· дослідити можливості моделі Хікса-Хансена для аналізу економічної політики держави.
Предметом
дослідження є модель Хікса-Хансена.
Об’єктом
дослідження виступає економічна політика держави.
Курсова робота складається із трьох розділів в яких послідовно аналізується визначена проблема.
Макроекономічний аналіз оцінює народногосподарський комплекс загалом. Він вивчає сукупні економічні величини (національний продукт і національний прибуток, сукупне споживання, сукупне інвестування). Він досліджує взаємозв'язки, що формуються між цими величинами, які виражають діяльність цілих груп господарських суб'єктів.
Макроекономічний аналіз розглядає економічні явища з глобальної точки зору. Тут доречна така метафора: він досліджує загальні аспекти лісу незалежно від складових його дерев.
Цей тип аналізу отримав розвиток за останні тридцять років під впливом знаменитї праці Джона Мейнарда Кейнса "Загальна теорія зайнятості, процента і грошей". Він особливо корисний при вивченні економічного зростання, динаміки загальної економічної активності і загального рівня цін.
У чому ж полягає значення макроекономічного аналізу? Хіба глобальні і середні величини, з якими він має справу, не є просто-напросто підсумовуваними показниками і середніми значеннями індивідуальних господарських одиниць? Хіба конкретні ціни, заробітна плата, різні виробництва не являють собою справжню реальність економічного життя, в той час як узагальнені показники і середні величини є швидше штучними конструкціями, що можуть виявитися неточними або брехливими?
Тому питання про те, чим цікавий макроекономічний аналіз і що можна чекати від нього, є цілком правомірним.
Розвиток макроекономічного аналізу можна пояснити декількома причинами:
- Воно пов'язане насамперед з міркуваннями економічної політики: державне втручання торкається всієї економіки або її великі сектори; воно позначається на самих різних економічних рішеннях всіх громадян - їх споживанні, заощадженнях, їх капіталовкладеннях); проблеми, що встають при цьому повинні розглядатися в рамках глобальної теорії. Іншою перевагою такої теорії є можливість використати кількісні показники при підрахунку сукупних величин за допомогою технічних інструментів національного розрахунку.
Сервис онлайн-записи на собственном Telegram-боте
Попробуйте сервис онлайн-записи VisitTime на основе вашего собственного Telegram-бота:
— Разгрузит мастера, специалиста или компанию;
— Позволит гибко управлять расписанием и загрузкой;
— Разошлет оповещения о новых услугах или акциях;
— Позволит принять оплату на карту/кошелек/счет;
— Позволит записываться на групповые и персональные посещения;
— Поможет получить от клиента отзывы о визите к вам;
— Включает в себя сервис чаевых.
Для новых пользователей первый месяц бесплатно.
Зарегистрироваться в сервисе
- Воно пов'язане, по-друге, з теоретичними міркуваннями. Справа в тому, що макроекономічний аналіз може брати до уваги такі факти і труднощі, які не виявляються в індивідуальному плані. Характерні особливості і поведінка якоїсь сукупності не піддаються визначенню за допомогою простого підсумовування характерних особливостей поведінки його складових елементів.
"Хоч ліс і є просто-напросто сукупністю дерев, - відмічав К. Боулдінг, - він не виявляє характеру і поведінки окремих дерев. Дерево виходить з сім'я, росте, вмирає і опадає. Збалансований ліс може рости вічно, зберігаючись незмінним в тому, що стосується віку і характеру складаючих його дерев. Коли окремі дерева ростуть, старіють і вмирають, їх замінюють нові особні і ліс залишається все тим же. У лісі спалити окреме дерево майже неможливо - завжди реальна небезпека лісової пожежі. Окреме дерево не впливає на клімат місцевості, де воно росте; ліс на нього впливає".
І Боулдінг робить висновок стосовно економіки: "Немає жодної іншої науки, де небезпека узагальнення індивідуального досвіду була б так велика, як в економіці. Саме велике джерело помилок економічної думки пов'язане, можливо, з тією трудністю, яку, як бачимо, випробовує людський розум, намагаючись уявити собі замкнену систему як єдине ціле, і з виникаючою на цій основі тенденцією застосувати до суспільства і до економіки загалом висновки, що виникають з індивідуального досвіду".
Є немало прикладів того, що отримало назву "макроекономічних парадоксів". Так, яка-небудь фірма або галузь промисловості може збільшити свою продукцію, переманивши до себе працівників більш високими, ніж у їх конкурентів, заробітками; при повній зайнятості промисловість країни не може збільшити загальну зайнятість. Зменшивши заробітну плату своїм робітником, яка-небудь фірма може знизити свої ціни і збільшити об'єм свого продажу. Якщо ж заробітну плату своїм працівникам зменшать всі фірми, їм не вдасться збільшити об'єм свого продажу, оскільки загальне зменшення заробітної плати знижує національний прибуток і, відповідно, сукупний попит. Індивідуум може зберігати, не інвестуючи, або інвестувати без попереднього зберігання або не пов’язуючи свої накопичення з рівнем інвестування; однак для економіки загалом заощадження ідентичні інвестуванню.
Не треба, однак, приховувати небезпеки, які можуть таїтися в макроекономічному аналізі. Сама велика з цих небезпек пов'язана з більш або менш значною різнорідністю елементів, створюючих сукупну величину. Остання може бути значущою при умові, що її компоненти однорідні: "Якщо до хмарочоса додати шість яблук, то сума, що отримується може мати якесь значення тільки для сюрреалиста". Подібно цьому, те або інше середнє значення цікаве тільки тоді, коли воно представницьке; для цього треба, щоб частотний розподіл елементів, для яких виводиться середнє значення, не мав дуже великого розкиду.
Ось чому нерідко виявляється необхідним враховувати при макроекономічному аналізі не тільки розмір сукупних величин, але і їх структуру. Сам аналіз буде тим більше плідним, чим більше вдасться розікласти агреговані величини на деяке число більш дрібних величин, з тим щоб скоротити неоднорідність, зберігши при цьому можливість оперувати системою загалом. Крім того, намагаючись пояснити певні макроекономічні зв'язки на основі теорії поведінки окремих господарських суб'єктів, важливо уміти згрупувати господарські одиниці, чия поведінка може бути визнана приблизно схожою.
Модель Хікса – Хансена це модель взаємозв'язку товарного і грошового ринків. Дана модель уперше була запропонована британським економістом Дж.Р. Хіксом у 1937 р. у статті "Містер Кейнс і класики". Більш широке поширення одержала після виходу у світ книги А. Хансена "Грошова теорія і фіскальна політика" (1949).
Модель Хікса – Хансена містить у собі елементи "кейнсіанского хреста" і теорії переваги ліквідності Дж.М. Кейнса. Сучасні економісти в модель включають фінансовий ринок у цілому, тобто ринки грошей і цінних паперів. Перша частина моделі - крива ІS - "інвестиції - заощадження" покликана відбити умову рівноваги на товарному ринку, друга крива LM - "ліквідність - гроші" (L - попит на гроші, М - пропозиція грошей на грошовому ринку) - умови рівноваги на грошовому ринку. Умовою рівноваги на ринку товарів служить рівність інвестицій і заощаджень, а на грошовому ринку - рівність між попитом на гроші і їх пропозицію. Ці дві частини моделі зв'язує процентна ставка, рівноважна величина якої відбиває динаміку економічних процесів. Рівновага на кожнім із двох ринків - товарному і грошовому - установлюється не автономно, а взаємозалежно. Зміни на одному з ринків незмінно спричиняють відповідні зрушення на іншому.
Модель Хікса – Хансена являє собою графік, системою координат якого служать рівень національного доходу (вісь х
) і значення процентної ставки (r) - вісь y
. Її автори виходять з того, що інтенсивність інвестиційного процесу визначається граничною ефективністю (тобто прибутковістю) капіталу. Отже, інвестувати має сенс тільки тоді, коли гранична ефективність капіталу перевищує ставку банківського відсотка (тобто прибутковість заощаджень). Виходить, обсяг інвестицій можна вважати функцією банківського відсотка: І = І(r). Чим нижче рівень процентної ставки, тим за інших рівних умов вигідніше робити додаткові капіталовкладення і навпаки. У кейнсіанскій моделі умовою рівноваги на товарному ринку є рівність сукупних заощаджень і інвестицій - І = S. Заощадження ж, відповідно до "основного психологічного закону" визначаються рівнем національного доходу, тобто S = S (Y). Таким чином, виходить функція ІS; тобто І (r) = S (Y). Якщо розглянути ще і грошовий ринок, то там рівновага настає, коли попит на гроші (L) збігається з їх пропозицією (M). Ця величина приймається як задана.
Що стосується попиту на гроші (L), то він, згідно кейнсіанської теорії, визначається трансакційним мотивом (потребою в грошах для реалізації комерційних справ) і є функцією доходу (тобто L1 = L1(Y), чи викликається спекулятивним мотивом (перевага цінних паперів з метою одержання відсотка), тому спекулятивний попит на гроші є убутною функцією норми банківського відсотка, тобто L2 = L2(r). Тоді сукупний попит на гроші (L = L1 + L2) ставиться в пряму залежність від рівня національного доходу й у зворотну залежність від ринкової ставки банківського відсотка:
L = L1(Y) + L2(r) чи L = L(Y1r)
Дорівнявши попит та пропозицію на грошовому ринку можна одержати умову його рівноваги чи функцію LM = L (Y1r) = M.

Рис. 1 Рівновага на ринку
Якщо ці графіки помістити в одну систему координат (рис. 1), то крапка їхнього перетинання (Е) укаже на таке співвідношення між рівнями національного доходу і банківського відсотка, при якому заощадження дорівнюють інвестиціям, попит на гроші дорівнює їх пропозиції, тобто обоє сектора (товарний і грошовий) господарства знаходяться в стані рівноваги.
Однак у такому виді модель загальної рівноваги не довершена, оскільки в ній не відбитий стан ринку праці. Згідно кейнсіанському підходу, рівновага на ньому встановлюється при такій реальній заробітній платі, що зрівнює попит та пропозицію праці. При цьому номінальна заробітна плата вважається нееластичної, а ринок праці виконує пасивну роль, тобто його стан цілком обумовлюється кон'юнктурою товарного і грошового ринків.
Якщо розглядати всі ринки як взаємозалежні, то загальна графічна модель (рис. 2) буде мати наступний вид.

Рис. 2 Загальна модель ринку
Тут у частині А відбита рівновага на товарному і грошовому ринку (схема ІS - LM), у частині В - графічне вираження виробничої функції (Y = Y(N), де обсяг національного доходу ув'язаний із зайнятістю населення, і частина З - це модель рівноваги на ринку праці, де N - рівень зайнятості, W - ставка номінальної заробітної плати, Р - рівень цін; отже, W/P - ставка реальної заробітної плати, а Nd і NS - показники попиту та пропозиції праці.
Причинні зв'язки, відповідно до кейнсіанської теорії, спрямовані від частини А до частини С через частину В. Тобто, взаємодія товарного і грошового ринку визначають своєю рівновагою рівноважний (оптимальний) рівень національного доходу (Y)*. Він, у свою чергу, дозволяє за допомогою виробничої функції установити обсяг попиту на робочу силу, що у підсумку визначає і рівновагу на ринку праці. Тепер модель Хікса-Хансена стає завершеною. Її поява була сприйнята більшістю фахівців як несуперечливий, зрозумілий і адекватний виклад суті кейнсіанскої теорії. Тому вона і стала фундаментом "неокласичного синтезу".
Основний інструмент кредитно-грошової політики - це операції на відкритому ринку, тобто покупка (продаж) державних облігацій, здійснюваний Центральним Банком. Розглянемо як ці операції впливають на кількість грошей в економіці.
Якщо Центральний Банк продає держоблігації, то в результаті цієї операції кількість грошей на руках у населення скорочується. У випадку покупки облігацій у населення, навпаки, грошова маса росте.
Розглянемо наслідку розширення грошової маси, тобто покупки облігацій на відкритому ринку, для закритої економіки, описуваною моделлю ІS-LM. Цю політику часто називають експансіоністською грошово-кредитною політикою. Отже, у результаті покупки облігацій номінальна, а слідом за нею і реальна, грошова маса росте, що приводить до надлишкової пропозиції на ринку грошей (і надлишковому попиту на ринку облігацій). Для відновлення рівноваги на ринку грошей ставка відсотка повинна упасти для кожного рівня доходу й у результаті крива LM зрушується вниз (див. Рис. 1). Нова рівновага буде в крапці перетинання ІS з нової кривої LM, що на графіку позначена як Е2. Як економіка переходить з Е1 в Е2? Після того, як у результаті росту реальної кількості грошей цей ринок вийшов зі стану рівноваги, ставка відсотка миттєво падає до рівня і', при якому рівновага на ринку грошей буде відновлено. У результаті падіння ставки процента починається ріст інвестицій, що приводить до надлишкового попиту на ринку товарів і збільшенню випуску. Ріст випуску означає зростання доходів і, як наслідок, підвищення попиту на гроші, надлишковий попит на ринку грошей приводить до підвищення ставки відсотка. У результаті росту випуску і ставки відсотка, економіка поступово переміщається уздовж кривої LM у нову рівновагу в крапку Е2.

Рис.3 Вплив збільшення пропозиції грошей на рівновагу в моделі ІS-LM.
Яким же буде вплив грошово-кредитної експансії на рівновагу в розглянутій моделі? Порівнюючи первісну (Е1) і нову рівновагу (Е2) ми бачимо, що в результаті проведеної політики зріс випуск і упала ставка відсотка.
Випадок продажу облігацій Центральним Банком дасть нам протилежний результат, тобто приведе до падіння випуску і підвищенню ставки відсотка. Надалі грошово-кредитну політику, спрямовану на збільшення грошової маси і, як наслідок, випуску, будемо називати грошово-кредитною експансією, а політику, спрямовану на скорочення грошової маси і, відповідно випуску, будемо називати твердою чи стримуючою кредитно-грошовою політикою.
Розглянемо збільшення державних закупівель (G). Збільшення держзакупівель приводить до збільшення сукупних витрат і, при колишньому випуску, до надлишкового попиту на ринку товарів для кожної ставки відсотка. На надлишковий попит фірми реагують шляхом збільшення випуску й у результаті росту випуску при кожній ставці відсотка, крива ІS зрушується вправо, як це зображено на Рис.4. Оскільки ринок товарів пристосовується повільно, то ми не перескакуємо миттєво з Y0 у Y1, а випуск росте поступово, і ми рухаємося до нової рівноваги уздовж кривої LM. Отже, у результаті фіскальної експансії відбувається ріст випуску і ставки відсотка.

Рис.4 Вплив збільшення державних закупівель на рівновагу в моделі ІS-LM.
Відмітимо, що випуск росте значно менше величини зрушення кривої ІS. Причина в тім, що, викликане надлишковим попитом на гроші, підвищення ставки відсотка приводить до падіння інвестицій і, отже, скорочуються сукупні витрати, приводячи до надлишкової пропозиції на ринку товарів і скороченню випуску. Отже, збільшення одного компонента сукупного попиту (державних закупівель) приводить до скорочення іншого компонента сукупного попиту, а саме, до падіння інвестицій. Подібний ефект називається ефектом витиснення. У даному випадку ми маємо справу з витисненням інвестицій.
Факторами, що визначають величину ефекту витиснення є нахили кривих ІS і LM. Чим більш положиста крива LM, тим менше ефект витиснення. Це порозумівається тим, що у випадку більш положистої кривої LM фіскальна експансія веде до меншого росту ставки відсотка і, отже, викликає менше скорочення інвестицій. У результаті випуск збільшується сильніше, ніж у випадку з більш крутою LM, що проілюстровано на рис. 5.

Рис.5 Вплив нахилу кривої LM
на ступінь витиснення інвестицій.
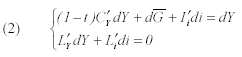
Іншим фактором, що визначає ступінь ефекту витиснення, є чутливість інвестицій до зміни ставки відсотка. Дійсно, при однаковій зміні ставки відсотка інвестиції скоротяться сильніше при більш високій чутливості інвестицій до процентної ставки. Однак потрібно враховувати ще один момент: чим вище чутливість інвестицій до ставки процента, тим більш положистою буде крива ІS, що приведе до меншого росту процентної ставки при підвищенні держзакупівель. Для того, щоб визначити вплив чутливості інвестицій на масштаб ефекту витиснення, потрібно враховувати обидва фактори, що діють у протилежному напрямку і з'ясувати, який же з розглянутих ефектів буде домінувати. Для цього звернемося до системи рівнянь, що задає рівновагу в моделі ІS-LM:

Розглянемо збільшення випуску і ставки відсотка, викликані ростом державних закупівель:

Звідкіля одержуємо:

З першого співвідношення випливає, що при більшій чутливості інвестицій до ставки проценту (тобто з ростом Ii
`) збільшення державних закупівель веде до більшого росту випуску, що означає менше витиснення інвестицій. Цей результат легко проілюструвати графічно для лінійної моделі (див. Рис. 4). Як видно з малюнка, у випадку більшої чутливості інвестицій до ставки відсотка (якому відповідає крива ІS(b2)) ставка відсотка змінюється менше, але, проте, випуск також збільшується менше, що свідчить про більший ефект витиснення.

Рис.6 Вплив чутливості інвестицій до ставки відсотка на ступінь ефекту витиснення.
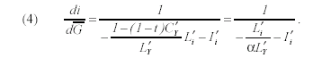
І, нарешті, ще один фактор, що впливає на величину ефекту витиснення - це Кейнсіанський мультиплікатор автономних витрат. З одного боку, чим вище мультиплікатор, тим сильніше зрушиться крива ІS вправо в результаті росту державних закупівель. З іншого боку, більш високий мультиплікатор означає, що крива ІS буде більш положистою і, отже, при однаковому зрушенні ІS вправо ставка відсотка змінилася б менше. Необхідно з'ясувати, який же з вищеописаних факторів зробить визначальний вплив на ставку відсотка. Для цього звернемося до вже розглянутої вище системі, що описує рівноважні збільшення випуску і доходу при збільшенні держзакупівель. Нас цікавить зміна процентної ставки, тому що в нашому випадку, чим сильніше виросте процентна ставка, тим більше буде ефект витиснення. Перетворивши систему (3) одержуємо:

З отриманого співвідношення слідує, що з ростом мультиплікатору α, вплив державних закупівель на ставку проценту зростає, та, відповідно, ефект витіснення буде більше.
Фіскальна політика може здійснюватися з використанням різних інструментів. У рамках моделі ІS-LM можна проаналізувати наступні варіанти фіскальної політики: зміна державних закупівель, зміна державних трансфертів, зміна ставки прибуткового податку, зміна інвестиційного податкового кредиту. Результати аналізу цих політик представлені в таблиці 1. Як ми бачимо, різні варіанти фіскальної експансії ведуть до росту випуску і ставки відсотка, однак по-різному впливають на структуру сукупного попиту.
Таблиця 1.
Вплив різних варіантів фіскальної експансії на рівновагу в моделі ІS-LM
| |
Ставка відсотка
|
Випуск
|
Споживання
|
Державні закупівлі
|
Інвестиції
|
| Збільшення державних закупівель
|
+
|
+
|
+
|
+
|
-
|
| Збільшення державних трансфертів
|
+
|
+
|
+
|
=
|
-
|
| Зменшення прибуткового податку
|
+
|
+
|
+
|
=
|
-
|
| Інвестиційні субсидії
|
+
|
+
|
+
|
=
|
+
|
Розглянемо докладніше ситуацію з інвестиційними субсидіями, що представлена в нижньому рядку таблиці 1. Інвестиційні субсидії являють собою визначені податкові пільги пов'язані зі здійсненими інвестиційними витратами, у силу цього ця політика зветься субсидії інвестиційного податкового кредиту
. Ми будемо моделювати цю політику як збільшення автономних інвестицій. Як і будь-який інший варіант фіскальної експансії, інвестиційні субсидії ведуть до росту випуску і падінню ставки відсотка, однак, у даному випадку, не зовсім зрозуміло як же зміниться рівноважна величина інвестицій. З одного боку, ріст автономних інвестицій веде до зрушення функції інвестицій і збільшенню інвестицій при даній ставці відсотка, але, з іншого боку, ставка відсотка росте, що негативно відбивається на інвестиціях, тобто, викликає зрушення вліво уздовж нової інвестиційної кривої (див. Рис.7). Щоб визначити, як у результаті зміняться інвестиції, потрібно зрозуміти, чи може ставка відсотка вирости так сильно (наприклад, до рівня і2), щоб цілком перекрити позитивний ефект від інвестиційних субсидій чи ми усі таки будемо мати ріст інвестицій, що має місце при ставці і1. Щоб відповісти на це питання згадаємо, що інвестиційні субсидії стимулюють сукупний попит, у результаті крива ІS зрушується вправо і росте випуск. Подивимося, як ріст випуску розподіляється між компонентами сукупного попиту. Помітимо, що державні закупівлі не змінюються, отже, випуск змінюється за рахунок споживання та інвестицій ∆Y = ∆C + ∆I, при чому споживання зростає менше ніж випуск, (0 < ∆C < ∆Y) оскільки гранична схильність до споживання менше одиниці. Таким чином, ми можемо укласти, що для збереження балансу інвестиції повинні зрости.

Рис.7 Вплив інвестиційних субсидій на величину рівноважних інвестицій.
Дотепер ми розглядали лише стандартну модель ІS-LM, де крива ІS мала негативний нахил, а крива LM - позитивний нахил. Однак це не завжди так. Розглянемо кілька екстремальних випадків і проаналізуємо ефективність економічної політики для них.
1) Класичний випадок: вертикальна крива LM

Рис.8 Класична крива LM.
Якщо чутливість попиту на гроші до ставки відсотка близька до нуля, то крива попиту на гроші буде вертикальною і, отже, рівновага на ринку грошей досяжна лише при одній величині доходу, при якій криві попиту та пропозиції грошей збігаються. У результаті ми одержуємо, що, яка б не була ставка відсотка, їй завжди буде відповідати той самий рівень доходу, що врівноважує ринок грошей, та приводить до вертикальної кривої LM.
Як ми бачили, при стандартних нахилах кривих ІS і LM, як кредитно-грошова, так і фіскальна політика ефективно впливали на рівень випуску в економіці. Проаналізуємо, як змінюється ефективність цих політик у випадку класичної кривої LM. Грошово-кредитна політика буде, як і раніше, високо ефективна (стосовно зміни випуску). Ріст грошової маси викликає зрушення кривої LM вправо, що веде до росту випуску.
Фіскальна політика в класичному випадку, навпаки, абсолютно неефективна, оскільки вона веде лише до росту ставки відсотка і повному витісненню інвестицій, випуск же залишається колишнім. Дійсно, оскільки випуск визначається місцем розташування кривої LM (тобто цілком залежить від ситуації на ринку грошей), то здвиг кривої ІS не може змінити випуск, а впливає лише на його структуру. Так, приміром, збільшення державних закупівель, приводить лише до падінню інвестицій, не змінюючи при цьому споживання: ∆Y = ∆C + ∆G + ∆I Оскільки ∆Y = 0, то ∆C = 0 отже ∆G + ∆I = 0 чи ∆I = - ∆G Отже, в економіці з вертикальної кривої LM кількість грошей є параметром, що визначає рівновагу, яка відбиває основний постулат кількісної теорії грошей.
2) Ліквідна пастка (горизонтальна крива LM).
Ситуація ліквідної пастки виникає в тому випадку, якщо при якійсь (досить низькій) ставці відсотка населення готове усе своє багатство тримати у формі грошей. Якщо ставка відсотка дуже низька, то витрати, пов'язані з упущеними процентними платежами виглядають незначними і ніхто не хоче тримати свої активи у виді облігацій.

Рис.9 Крива LM у випадку ліквідної пастки.
У результаті крива попиту на гроші виглядає, як горизонтальна лінія при деякій близькій до нуля процентній ставці і зміна доходу не спричиняє зміну ставки, що врівноважує ринок грошей. Таким чином, ми одержуємо горизонтальну криву LM.
У випадку ліквідної пастки кредитно - грошова політика абсолютно неефективна, оскільки збільшення грошової маси не приводить до здвигу LM і, отже, не відбивається на рівноважному доході. Фіскальна політика, навпаки, дуже ефективна, оскільки в цьому випадку не змінюється ставка відсотка і значить ефект витиснення відсутній.

Рис.10 Економічна політика у випадку ліквідної пастки.
Як ми бачимо, для впливу на випуск ми можемо використовувати як фіскальну, так і кредитно-грошову політику. Однак ці політики по-різному впливають на ставку відсотка:
· фіскальна експансія веде до росту ставки відсотка і падінню інвестицій (за винятком случаю чи інвестиційного податкового кредиту, коли ставка відсотка
· падає, але інвестиції ростуть)
· кредитно-грошова експансія веде до падіння ставки відсотка і росту інвестицій.
Питання вибору макроекономічної політики зважуються звичайно на основі політичних переваг. Однак важливо відзначити, що, використовуючи комбінацію фіскальної і кредитно-грошової політик можна сполучити експансію з заданим впливом на ставку відсотка, наприклад можна домогтися росту випуску при незмінній процентній ставці, як це показано на рис. 11.

Рис.11 Ефект від використання змішаної економічної політики
Отже, комбінуючи фіскальну і грошово-кредитну політику, ми можемо домагатися рішення більш складних задач, чим просте регулювання випуску. Так, наприклад, ми можемо, не змінюючи випуск, змінити його структуру. Подібна задача може бути дуже актуальна, якщо економіка знаходиться в ситуації повної зайнятості і, отже, зміна випуску небажана, однак його структура може вимагати зміни.
Схема Хікса-Хансе на являє собою різновид концепції загальної економічної рівноваги, що активно розроблявся неокласиками. Кейнсіанска теорія тепер ввійшла в неї на правах частки випадку. Якщо відкинути специфічно кейнсіанські допущення (наприклад, про нееластичність номінальної заробітної плати), то ця модель у повній відповідності з неокласичною тезою про саморегулюємий ринок демонструє можливість автоматичного досягнення повної зайнятості. Таке трактування моделі цілком улаштовувало неокласиків, однак ортодоксальні кейнсіанці, відкидаючи ідею саморегулюємості економіки, висунули ряд положень, що, на їхню думку, роблять систему непрацюючою.
Дана модель дуже популярна. Вона використовується прихильниками як кейнсіанського, так і монетаристського підходу. З її допомогою здійснюється пошук оптимального співвідношення різних ринків і визначається варіант стабілізаційної економічної політики.
1. Бурда М., Виплош Ч. Макроекономіка: Європейський контекст. Київ: Основи, 1998, 682 с.
2. Івашина О.Ф., Дулік Т.О., Новікова Л.Ф. Макроекономіка. Дніпропетровськ: ДДФЕІ, 1999, 124 с.
3. Манків Г.Н. Макроекономіка. Київ: Основи, 2000, 588 с.
4. Орищак Я. Основи курсу "Макроекономіка". Тернопіль: Підручники та посібники, 2001, 120 с.
5. Рокоча В.В. Міжнародна економіка. Кн.2. Монетарна теорія міжнародної економіки. Київ: Таксон, 2003, 302 с.
6. Савченко А.Г. Макроекономіка. Київ: КНЕУ, 1999, 120 с.
7. Савченко А.Г., Пухтаєвич Г.О., Тітьонко О.М. Макроекономіка. Київ: Либідь, 1995, 208 с.
|