| МОДЕЛИ ОПТИМИЗАЦИИ МАШИНОСТРОИТЕЛЬНОГО
ПРОИЗВОДСТВА
Задание 1. Управление запасами
Рассчитать размер экономического заказа в рамках задачи материально-технического снабжения предприятия.
1.1. Постановка задачи
Компания ежегодно закупает D = 8000 штук деталей по цене Ц = 10 руб./шт. и использует их на сборке. Затраты хранения одной детали в течение года Н = 3 руб./шт. Затраты заказа 8 = 30 руб./заказ. Эффективный фонд времени работы за год Ф = 200 рабочих дней. Производственная мощность поставщика 10670 транзисторов в год. Затраты резервирования 7 руб./шт. в год.
Построить график изменения запаса во времени и определить, используя модель экономичного запаса (ЕОQ): (Q* – оптимальный размер закупочной партии; N – число заказов в год; Т – время между заказами; d – интенсивность потребления запаса (дневную потребность); КОР – точку перезаказа; С – общие затраты.
1.2. Метод решения задачи
Задача системы материально-технического снабжения предприятия заключается в том, чтобы обеспечить минимум затрат на транспортировку и хранение запасов при одновременном бесперебойном обеспечении ими процесса производства.
Аналогичные рассуждения характерны и для партии выпускаемой продукции. Если производить продукцию мелкими партиями, издержки хранения готовой продукции будут минимальны, но возрастут издержки переналадки оборудования.
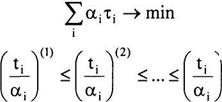
Наибольшее распространение получили четыре модели определения оптимального размера закупочной партии
| Модель экономического заказа (EOQ)
|
Модель производственного заказа
|
Модель заказа с резервным запасом
|
Модель заказа с дисконтом
|
| 
|

|

|

|
где D – годовой спрос, S – затраты заказа, Н – затраты хранения, М – мощность производителя, В – затраты резервирования, Ц – закупочная цена, h – затраты хранения в процентах от цены.
Модель экономичного заказа используется при коротком цикле изготовления партии доставки. Модель производственного заказа – при длительном цикле. Модель заказа с резервным запасом – при создании резервного запаса на случай сбоя в поставках. Модель заказа с дисконтом – при наличии скидок с цены за покупку большой партии.
В модели экономического заказа (ЕОQ) размер закупочной партии – величина постоянная, запасы расходуются равномерно, очередные поставки осуществляются через равные интервалы времени. Заказ на поставку очередной партии дается при уменьшении размера запаса до установленного критического уровня – «точки заказа», и как только размер запаса доходит до нуля, мгновенно поступает новая партия.
Забиваем Сайты В ТОП КУВАЛДОЙ - Уникальные возможности от SeoHammer
Каждая ссылка анализируется по трем пакетам оценки: SEO, Трафик и SMM.
SeoHammer делает продвижение сайта прозрачным и простым занятием.
Ссылки, вечные ссылки, статьи, упоминания, пресс-релизы - используйте по максимуму потенциал SeoHammer для продвижения вашего сайта.
Что умеет делать SeoHammer
— Продвижение в один клик, интеллектуальный подбор запросов, покупка самых лучших ссылок с высокой степенью качества у лучших бирж ссылок.
— Регулярная проверка качества ссылок по более чем 100 показателям и ежедневный пересчет показателей качества проекта.
— Все известные форматы ссылок: арендные ссылки, вечные ссылки, публикации (упоминания, мнения, отзывы, статьи, пресс-релизы).
— SeoHammer покажет, где рост или падение, а также запросы, на которые нужно обратить внимание.
SeoHammer еще предоставляет технологию Буст, она ускоряет продвижение в десятки раз,
а первые результаты появляются уже в течение первых 7 дней.
Зарегистрироваться и Начать продвижение
1.3. Решение задачи
Рассмотрим влияние размера закупочной партии на суммарные затраты хранения и запаса (табл. 1).
| Размер закупочной партии
|
Затраты хранения
|
Затраты заказа
|
Затраты хранения и заказа
|
| 8000
|
8000/2∙3 = 12000
|
8000/8000∙30 = 30
|
12030
|
| 4000
|
6000
|
60
|
6060
|
| 500
|
750
|
4800
|
1230
|
| 400
|
600
|
600
|
1200
|
| 300
|
450
|
800
|
1250
|
| 200
|
300
|
1200
|
1500
|
| 100
|
150
|
2400
|
2550
|
Если все 8000 деталей закупаются одновременно, то время между заказами – год, общие затраты 12030 руб., максимальный запас 8000 шт., среднегодовой запас:

Если детали закупаются двумя партиями, то время между заказами – полгода, общие затраты составляют 6060 руб., максимальный запас 4000 шт., среднегодовой запас 

Общие затраты хранения и заказа минимальны, если затраты хранения равны затратам заказа , т.е. общие затраты хранения зависят от величины затрат хранения одной штуки и размера среднегодового запаса:
.
Общие затраты заказа зависят от величины удельных затрат заказа и количества заказов за год:
.
Затраты хранения равны затратам заказа при условии:

Отсюда оптимальный размер закупочной партии (формула Уилсона):
штук.
Количество заказов за год:
.
Время между заказами:
дней.
Интенсивность потребления:
.
Точка перезаказа – критический уровень запаса, по достижении которого нужно сделать перезаказ, тогда новая партия поступит вовремя:
шт.
Общие затраты на хранение, заказ и закупку запасов составляют:
руб.
1.4. Расчет производственного заказа
Определить параметры заказа, если запас пополняется по мере изготовления партии. Определить максимальный уровень запаса и интенсивность его пополнения.

штук.
заказов в год.
дней между заказами,
штуки в день производится.
На производство всей партии потребуется
Т1 = Q*/р = 800/53 = 15 дней.
Если бы запас одновременно с пополнением не потреблялся бы, то максимальный запас был бы 800 штук, а так:

1.5. Определение размера заказа с резервным запасом
Будем считать, что запас расходуется неравномерно, а время между подачей заказа и поступлением очередной партии колеблется, поэтому на случай сбоя в поставках создается резервный запас.
Необходимо рассчитать параметры заказа, если часть закупочной партии расходуется на создание резервного запаса, и определить при этом оптимальный размер резервного запаса.
Сервис онлайн-записи на собственном Telegram-боте
Попробуйте сервис онлайн-записи VisitTime на основе вашего собственного Telegram-бота:
— Разгрузит мастера, специалиста или компанию;
— Позволит гибко управлять расписанием и загрузкой;
— Разошлет оповещения о новых услугах или акциях;
— Позволит принять оплату на карту/кошелек/счет;
— Позволит записываться на групповые и персональные посещения;
— Поможет получить от клиента отзывы о визите к вам;
— Включает в себя сервис чаевых.
Для новых пользователей первый месяц бесплатно.
Зарегистрироваться в сервисе

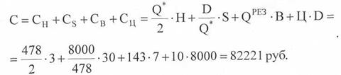
Превышение резервного запаса = 478-143-335 штук.
N = D/Q* = 8000/478 = 17 заказов.
T = Ф/N = 200/17 = 12 дней.
1.6. Расчет заказа с дисконтом
Произвести расчет параметров заказа: оптимальный размер закупочной партии и общие затраты, если поставщики установили дисконтные скидки для оптовых покупателей: партия 400 штук по 10 руб./шт.; 600 штук — 9,5 руб./шт.; 2000 штук — 9,3 руб./шт.. Затраты на хранение 30% от цены.
Какое заказываемое количество минимизирует общие затраты?

Корректируем в сторону увеличения Q*, которые ниже допустимого дисконтного диапазона и рассчитываем общие затраты.

С600= 600/2•0,3•9,5 + 8000/600•30 + 9,5•8000 = 77255 руб. С2000= 2000/2•0,3•9,3 + 8000/2000•30 + 9,3•8000 = 77310 руб.
Задание 2. Составление календарных графиков
2.1. Постановка задачи
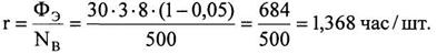
Цеху установлена месячная программа термообработки шестерен Nв - 500 штук. Цех работает в три смены при непрерывной рабочей неделе (ДP = 30 дней, ТCM = 8 часов, КСM = 3). Потери времени на ремонт оборудования РР = 5%. Межоперационное время tМО = 1 час. Процент выполнения норм Рв=120%. Техпроцесс включает три операции (КОП = 3). Трудоемкость по операциям: t1 = 3, t2 = 2, t3 = 1 мин./шт. Количество единиц оборудования на каждой операции равно одному. Размер партии 100 штук. Размер садки на каждой операции 50 штук (kс = 2).
Построить календарный график загрузки оборудования.
2.2. Метод решения
Оперативно-календарное планирование основывается на нормативах, которые согласовывают календарные планы и работу цехов, участков и рабочих мест.
Такие нормативы называются календарно-плановыми. К ним относятся размеры и ритмы партий деталей, узлов, изделий; длительность производственного цикла обработки партий; опережение запуска-выпуска деталей; заделы и нормативы незавершенного производства.
Серийное производство характеризуется строгой повторяемостью обработки партий деталей, соблюдением ритма работы:
К = n•r.
Взаимосвязь размера партии п и ритма партии К:
п = R/r = R•Nв/ФЭ = R•NДН и R = n/Nдн,
где NДН — среднедневной выпуск; г — ритм одной детали; Nв — программа выпуска; ФЭ — эффективный фонд времени. Поэтому, определив размер партии, можно рассчитать ритм партии и наоборот.
Размер партии — количество деталей одного наименования, непрерывно обрабатываемых ена одном (каждом) рабочем месте без переналадки.
Чем больше размер партии, тем выше производительность, меньше время переналадки оборудования, но тем больше затраты на хранение. Размер партии будет оптимальным, если суммарные затраты будут минимальны.
После установления размеров партий рассчитывают длительность производственных циклов:
где 5 — коэффициент параллельности (одновременности) обработки партии на операциях (0,3 — параллельная обработка; 0,6 — параллельно-последовательная; 0,9 — последовательная). КСM — коэффициент сменности; ТCM — продолжительность смены; qij — количество рабочих мест-дублеров; Коп, i — число операций обработки деталей i-го наименования; tШК,ij — норма штучно-калькуляционного времени; РВ,ij — процент выполнения норм по ij-й детале-операпии; tМO — время межоперационного пролеживания деталей на рабочем месте в ожидании обработки; tе,i — время естественных процессов.
Под опережением запуска О3i понимают время (в днях) от момента запуска партии деталей в обработку в данном цехе до момента выпуска со сборки всех изделий, для которых были запущены эти детали.
Опережение выпуска меньше опережения запуска на величину длительности цикла обработки партии в данном цехе: . ,
Нормативы п, ТЦ, ОЗ(В) регламентируют ход производственного процесса и используются в построении планов-графиков запуска-выпуска партий. Дата выпуска партий планируется через ритм:
Dвik = Dвi1-(k-1)•Rвi. где k — число партий, планируемых к выпуску за период.
2.3. Решение задачи
Ритм детали:
Ритм детали:
R =
r•n =1,368•100= 136,8 час/партия или 136,8/24 = 5,7 дней/партия.
График загрузки оборудования
Таблица 2

Количество партий, подлежащих запуску и выпуску за месяц:

ЗАДАЧИ ВЫБОРА ОЧЕРЕДНОСТИ ЗАПУСКА ПАРТИЙ В ОБРАБОТКУ
Партии предметов различных наименований обрабатываются на рабочих местах в различной последовательности. От принятой последовательности зависят время простоев оборудования и рабочих, длительность производственного цикла обработки партии предметов данного и всех наименований, размера незавершенного производства и другие технико-экономические показатели.
При выборе очередности запуска партий в обработку могут использоваться: элементарные приоритеты (первым в обработку если раньше срок готовности или больше цена; в конец очереди если больше запас времени и т.п.) и экономические оценки (суммарное время окончания обработки всех партий, затраты на хранение запасов, штраф за нарушение сроков).
В общем виде задача расписания формулируется следующим образом. Имеется m станков и п деталей. Маршрут движения партий деталей по рабочим местам одинаков, перемещение их по ооперациям последовательное. Известно время обработки j-й детали на i-м станке (tij) и время переналадки фij при переходе с i-й детали на j-ую. Требуется установить оптимальную очередность работ так, чтобы суммарное время выполнения работ было минимальным.
Задание 3. Расчет запуска партии на одном станке
3.1. Постановка задачи
Установить порядок запуска партий в обработку на одном рабочем месте, так чтобы минимизировать суммарное время пролеживания деталей, если длительность обработки партий деталей: А — 10 мин., Б — 7 мин., В — 9 мин., Г — 8 мин. Построить график загрузки рабочего места. Как изменится порядок запуска, если затраты на хранение партии деталей, соответственно, равны: 2, 1, 3, 2 руб./мин.
3.2. Решение задачи
Условие минимизации суммарного времени пролеживания можно записать в виде:
где фi и tj — время пролеживания и время обработки 1-й партии.
Решение задачи при графике обработки деталей по возрастанию их времени обработки: ф1 = 0; ф2 = 7; ф3 = 7 + 8 = 15; ф4 = 7 + 8 + 9 = 24; суммарное время пролеживания = 34 мин. График загрузки рабочего места:

Постановку задачи при минимизации суммарных затрат на хранение можно записать в виде:

где бi — затраты на хранение i-й партии.
Оптимальное решение задачи при очередности деталей по возрастанию показателя т/а: 9/3 = 3; 8/2 = 4; 10/2 = 5; 7/1=7. б1ф1 = 3•0 = 0; б2ф2 = 2•9 = 18; б3ф3 = 2•(9 + 8) = 34; б4ф4 = 1•(9 + 8 + 10) = 27. Суммарные затраты на хранение 79 руб. График загрузки рабочего места на рис. 6.
Задание 4. Расчет запуска партии на двух станках
4.1. Постановка задачи
Установить порядок запуска партий в обработку на участке из двух рабочих мест, так чтобы минимизировать общее время занятости участка. Длительность обработки партий деталей: А — Зи7;Б — 5и2;В — 1 и8;Г — 5 и 4 мин.
4.2. Решение задачи
Для выбора очередности обработки партий на двух рабочих местах используется алгоритм Джонсона. В матрице времен обработки отыскивается минимальный элемент. Если меньшее tij (i-я деталь на первом рабочем месте), то 1-ю партию записывают в график на первое место; меньшее ti2 (i-я деталь на втором рабочем месте), то i-ю партию записывают в график на последнее место. Строка i из дальнейшего рассмотрения исключается. С оставшимся набором деталей процедура повторяется до тех пор, пока не будет сформирован весь график.

8 7
Рис.7
Если встречаются равные элементы одной строки или элементы одного столбца, то порядок их рассмотрения произволен (получается несколько оптимальных последовательностей).
Оптимальный порядок запуска: В - А - Г - Б; ТСЦ = 22 мин.
Задание 5. Расчет запуска партий на трех станках
5.1. Постановка задачи
Установить порядок запуска партий в обработку на трех рабочих местах, так чтобы минимизировать суммарное время обработки партий деталей. Длительность обработки партий деталей (мин) задана в таблице 3.
| Таблица 3
|
| |
1 рм
|
2 рм
|
3 рм
|
Т1
|
Т2
|
ТЗ
|
Т4
|
| А
|
3
|
2
|
5
|
2 + 5 = 7
|
3 + 2 = 5
|
7-5 = 2
|
2
|
| Б
|
1
|
4
|
2
|
6
|
5
|
1
|
1
|
| В
|
1
|
3
|
5
|
8
|
4
|
4
|
4
|
| Г
|
2
|
3
|
4
|
7
|
5
|
2
|
2
|
| |
|
|
|
В-А-Г-Б В-Г-А-Б
|
В-А-Г-Б А-Б-Г-В
|
В-А-Г-Б
|
В-А-Г-Б
|
5.2. Решение задачи
Для выбора очередности обработки партий на трех и более рабочих местах используется алгоритм Петрова-Соколицина.
Все множество вариантов запуска партий сводится к четырем последовательностям запуска, получаемых:
Рис.8
Из четырех предварительных вариантов выбирается оптимальный, соответствующий минимальному общему времени.
Суммарную длительность обработки всех партий можно найти из аналитической модели, известной как цепной или матричный метод расчета суммарного времени обработки. Строки исходной матрицы расставляются в порядке запуска партий в обработку, затем строится матрица оценок (той же размерности, что и исходная) по правилам:
ф11 = фt11
ф1j = ф + t1j; j = 2Краб.мест (первая строка со второго элемента)
фi1 = фi-11 + ti1; i = 2Кпартий (первый столбец со второго элемента)
фij = mах{фi-1j; tij-1} (все остальные элементы).
Тсц (суммарное время обработки) - это последний элемент полученной матрицы.
| |
|
|
|
|
Таблица 4
|
| |
1 рм
|
2 рм
|
3 рм
|
|
|
|
|
| в
|
1
|
3
|
5
|
1
|
1+3 = 4
|
4 + 5 = 11
|
| А
|
3
|
2
|
5
|
1+3=4
|
4 + 2 = 6
|
9 + 5 = 14
|
| Г
|
2
|
3
|
4
|
4 + 2 = 6
|
6 + 3 = 9
|
14 + 4=18
|
| Б
|
1
|
4
|
2
|
6+1 = 7
|
9 + 4=13
|
18 + 2 = 20
|
Министерство общего и профессионального образования Российской Федерации
Южно-Уральский государственный университет Кафедра автоматики и управления
КУРСОВАЯ РАБОТА
по дисциплине
ИССЛЕДОВАНИЕ ОПЕРАЦИЙ И ПРИНЯТИЕ РЕШЕНИЙ
Модели оптимизации машиностроительного
производства
Выполнил
Проверил
____________________________________ Казаринов Л.С
Челябинск 2001
|