Государственный Университет Управления
Кафедра Финансы и кредит
Курсовая работа по статистике
«Методы изучения сезонности»
Выполнил
Проверил
Москва 2006 Содержание
| 1. Введение
|
3
|
| 2. Теоретическая часть.
|
4
|
| 2.1. Метод простой средней
|
4
|
| 2.2. Метод относительных чисел
|
7
|
| 2.3. Анализ сезонности методом У. Персона
|
8
|
| 2.4. Анализ сезонности в рядах динамики после определения и исключения общей тенденции развития в них
|
10
|
| 3. Расчетная часть
|
15
|
| 4. Аналитическая часть
|
21
|
| 5. Заключение
|
25
|
| 6. Приложение
|
26
|
| 7. Список используемой литературы
|
28
|
1. Введение
В данной курсовой работе я рассматриваю тему сезонности, изучение сезонных колебаний и методы их анализа. Суть сезонности заключается в отчетливо выраженной закономерности внутригодовых изменений изучаемого явления. Сезонные колебания – периодические колебания, которые имеют определенный и постоянный период, равный годовому промежутку. После измерения и изучения сезонных колебаний можно применить меры для смягчения сезонности.
Для изучения сезонных колебаний данные, представленные в ряду динамики, обрабатывают с целью выявления основной тенденции развития, а затем рассчитывают индексы сезонности. Сезонная волна может быть получена без предварительного выравнивания методом простой средней, методом относительных чисел, методом У. Персона.
В расчетной части рассматриваются задача на нахождение индексов сезонности и прогнозирование явления с помощью этих индексов. Так же рассматривается задача на анализ ряда динамики и определение его средних показателей.
В аналитической части курсовой работы проводиться анализ данных с применением средств MS Excel. Производятся расчеты с новыми данными в табличном процессоре. Так же данная программа позволяет строить графики и диаграммы, что предает наглядность данным.
2.Теоретическая часть.
Одной из важнейших задач статистики является изучение явления в непрерывном его развитии. С целью изучения изменений явления во времени строиться ряд динамики.
Ряд динамики представляет собой ряд расположенных в хронологической последовательности числовых значений статистического показателя, характеризующих изменение общественных явлений во времени. Он содержит 2 элемента: показатель времени и уровень ряда (y) (Гусаров В.М. «Теория статистики», ЮНИТИ 1998, стр.119 ).
Забиваем Сайты В ТОП КУВАЛДОЙ - Уникальные возможности от SeoHammer
Каждая ссылка анализируется по трем пакетам оценки: SEO, Трафик и SMM.
SeoHammer делает продвижение сайта прозрачным и простым занятием.
Ссылки, вечные ссылки, статьи, упоминания, пресс-релизы - используйте по максимуму потенциал SeoHammer для продвижения вашего сайта.
Что умеет делать SeoHammer
— Продвижение в один клик, интеллектуальный подбор запросов, покупка самых лучших ссылок с высокой степенью качества у лучших бирж ссылок.
— Регулярная проверка качества ссылок по более чем 100 показателям и ежедневный пересчет показателей качества проекта.
— Все известные форматы ссылок: арендные ссылки, вечные ссылки, публикации (упоминания, мнения, отзывы, статьи, пресс-релизы).
— SeoHammer покажет, где рост или падение, а также запросы, на которые нужно обратить внимание.
SeoHammer еще предоставляет технологию Буст, она ускоряет продвижение в десятки раз,
а первые результаты появляются уже в течение первых 7 дней.
Зарегистрироваться и Начать продвижение
Ряды бывают моментальные и интервальные. В моментальных рядах уровень ряда характеризует изучаемое явление на определенный момент, в интервальных – состояние явления за период.
При построении и анализе рядов динамики необходимо соблюдать: уровни ряда должны охватывать одну и ту же территорию, должны иметь одинаковые единицы измерения, единую методологию расчета, сопоставимость по времени.
Факторы действующие на ряд динамики:
1. Постоянно действующие – формируют основную тенденцию или тренд.
2. Периодически действующие – формируют сезонные колебания.
3. Эпизодически действующие – складывается случайная компонента.
Выявление сезонных колебаний складывающихся под воздействием периодически действующих факторов. Статистика выявляет их с помощью индексов сезонности, совокупность которых представляет сезонную волну.
Для выявления сезонных колебаний берут данные за несколько лет и изучают их по кварталам либо месяцам. За несколько лет данные берутся для того, чтобы случайные колебания одного года не сильно влияли на результаты исследований.
Если исходный ряд динамики имеет определенную тенденцию в развитии, то исходные данные вначале обрабатывают с целью выявления основной тенденции развития, а далее ведут расчет индексов сезонности. Индексы сезонности могут быть рассчитаны и без предварительного выравнивания - методом простой средней.
2.1. Метод простой средней.
Сущность этого метода изучения и измерения сезонных колебаний заключается в определении индекса сезонности (сезонной волны) с помощью средней арифметической. Индексами сезонности являются процентные отношения фактических (эмпирических) внутригрупповых уровней к теоретическим (расчетным) уровням, выступающим в качестве базы сравнения. (Гусаров В.М. «Теория статистики», ЮНИТИ 1998, стр.152 ).

Например, изучая поквартальные показатели, исчисляются отношения средних квартальных к общей средней за весь рассматриваемый период.
Таблица 1
| Динамика пассажирооборота транспорта общего пользования (млрд. пасс.-км.)
|
| 2000
|
2001
|
2002
|
2003
|
2004
|
| I квартал
|
82,6
|
83,5
|
80,5
|
82,2
|
88,1
|
| II квартал
|
100,9
|
100,6
|
101,2
|
103,0
|
109,9
|
| III квартал
|
115,8
|
112,7
|
113,5
|
117,6
|
| IV квартал
|
91,7
|
89,5
|
90,6
|
94,0
|
В таблице 1 приведены данные пассажирооборота России за 2000-2004гг. вычислим сезонную волну методом простой средней. Определим поквартальные средние уровни пассажирооборота как простые средние арифметические за каждый квартал на протяжении всего изучаемого периода.
Сервис онлайн-записи на собственном Telegram-боте
Попробуйте сервис онлайн-записи VisitTime на основе вашего собственного Telegram-бота:
— Разгрузит мастера, специалиста или компанию;
— Позволит гибко управлять расписанием и загрузкой;
— Разошлет оповещения о новых услугах или акциях;
— Позволит принять оплату на карту/кошелек/счет;
— Позволит записываться на групповые и персональные посещения;
— Поможет получить от клиента отзывы о визите к вам;
— Включает в себя сервис чаевых.
Для новых пользователей первый месяц бесплатно.
Зарегистрироваться в сервисе
Для первого квартала средняя будет равна: =(82,6+83,5+80,5+82,2+88,1):5 =83,38 (млрд. пасс.-км.)
Для второго квартала средняя будет равна: =(100,9+100,6+101,2+103,0+109,9):5=103,12 (млрд. пасс.-км.)
Для третьего квартала средняя будет равна: =(115,8+112,7+113,5+117,6):4=114,9 (млрд. пасс.-км.)
Для четвертого квартала средняя будет равна: =(91,7+89,5+90,6+94,0):4=91,45 (млрд. пасс.-км.)
Далее определим средний квартальный объем пассажирооборота за весь период в целом , как отношение общей суммы пассажирооборота к числу периодов: общ.=1757,9:18=97,66
Сезонная волна определяется процентным отношением уровней поквартальных средних к средней квартальной.
Для первого квартала: (83,38:97,66)×100=85,38
Для второго квартала: (103,12:97,66) )×100=105,59
Для третьего квартала: (114,9:97,66) )×100=117,65
Для четвертого квартала: (91,45:97,66) )×100= 93,64
Таблица 2
| Анализ методом простой средней сезонности пассажирооборота транспорта общего пользования (млрд. пасс.-км.)
|
| годы
|
кварталы
|
итого за год
|
среднеквартальные уровни
|
| I
|
II
|
III
|
IV
|
| А
|
1
|
2
|
3
|
4
|
5
|
6
|
| 2000
|
82,6
|
100,9
|
115,8
|
91,7
|
391
|
97,75
|
| 2001
|
83,5
|
100,6
|
112,7
|
89,5
|
386,3
|
96,58
|
| 2002
|
80,5
|
101,2
|
113,5
|
90,6
|
385,8
|
96,45
|
| 2003
|
82,2
|
103,0
|
117,6
|
94,0
|
396,8
|
99,2
|
| 2004
|
88,1
|
109,9
|
198,0
|
99,0
|
| итого за период
|
416,9
|
515,6
|
459,6
|
365,8
|
1757,9
|
488,98
|
| средние уровни
|
83,38
|
103,12
|
114,9
|
91,45
|
392,85
|
98,21
|
| сезонная волна
|
85,38
|
105,59
|
117,65
|
93,64
|
402,26
|
100
|
Средний индекс сезонности должен быть равен 100%, а сумма индексов равна 400, в данном случае существует небольшая погрешность, вследствие округлений.
Из данной таблицы видно, что в I квартале пассажирооборот наименьший, в средним за изучаемый период на 14,62% меньше среднеквартального показателя, а в III квартале на 17,65% больше.
Для наглядности построим график сезонной волны:

Благодаря методу простой средней можно уменьшить случайные колебания показателей ряда динамики. Правильность полученной сезонной волны зависит от числа уровней ряда и от характера их изменения: чем больше уровней ряда, чем больше число лет исследования, тем более точные будут результаты. Однако, этот метод, хотя и является достаточно простым в использовании, применяется редко, т.к. не исключает влияние общей тенденции, а уровень явлений почти всегда изменяется на протяжении изучаемого периода.
2.2. Метод относительных чисел.
Данный метод можно применять для рядов динамики, развитие общей тенденции которых происходит равномерно.
Цепные отношения вычисляются как процентные отношения данных за каждый квартал к данным предшествующего квартала. Из относительных чисел вычисляется простая средняя величина для каждого квартала за период изучения. Исходные данные возьмем в таблице 1.
Таблица 3
| Анализ методом относительных чисел сезонности пассажирооборота транспорта общего пользования
|
| годы
|
поквартальные процентные отношения уровней ряда
|
средние из квартальных отношений за год
|
| I
|
II
|
III
|
IV
|
| А
|
1
|
2
|
3
|
4
|
5
|
| 2000
|
--------
|
122,15
|
114,77
|
79,19
|
105,37
|
| 2001
|
91,06
|
120,48
|
112,03
|
79,41
|
100,75
|
| 2002
|
89,94
|
125,71
|
112,15
|
79,82
|
101,91
|
| 2003
|
90,73
|
125,3
|
114,17
|
79,93
|
102,53
|
| 2004
|
93,72
|
124,74
|
109,23
|
| среднеквартальные отношения из цепных отношений за период
|
91,36
|
123,68
|
113,28
|
79,59
|
-------
|
| преобразованная средняя
|
100
|
123,68
|
140,1
|
111,51
|
-------
|
| преобразованная и исправленная средняя
|
97,37
|
122,74
|
138,69
|
109,63
|
117,11
|
| сезонная волна в среднем за период
|
83,14
|
104,81
|
118,43
|
93,61
|
100,00
|
Далее приравняем среднюю за первый квартал к 100 и найдем средние за 2-4 квартал по методу цепных произведений.
Перемножив преобразованную среднюю за четвертый квартал на среднюю из цепных отношений первого квартала увидим сдвиг колебаний под влиянием общей тенденции: 111,51×91,36:100=101,88. В нашем случае наблюдается общая тенденция увеличения, сезонные колебания оказались сдвинутыми на 1,88%. Данную погрешность необходимо устранить. Наиболее простой способ, это распределение ее на все кварталы. Для этого необходимо из показателей первого квартала вычесть ¼ от 1,88, из 2-го ½ от 1,88, из 3-го ¾ от 1,88 и из 4-го 1,88. вычислим среднюю квартальную из преобразованных и исправленных квартальных средних:
Вычислим сезонную волну как процентное отношение преобразованных и исправленных средних за каждый квартал к их общей средней. Для 1-го квартала: (97,37:117,11)×100=83,14, аналогично вычислим для остальных кварталов.
Таблица 3 показывает сезонность пассажирооборота. Минимум приходиться на 1-й квартал. За весь период пассажирооборот в первом квартале на 16,86% меньше среднего, в четвертом квартале на 6,39% меньше среднего. Во втором квартале наблюдается увеличение пассажирооборота на 4,81% больше среднего. На третий квартал приходится максимум и составляет на 18,43% больше среднего пассажирооборота.
Из проделанного анализа мы видим, что метод относительных чисел является более точным, чем метод простой средней, так как с его помощью сглаживается влияние общей тенденции изменения уровней ряда динамики на сезонную волну в среднем за весь изучаемый период.
2.3. Анализ сезонности методом У. Персона
Суть этого метода заключается в том, что значения средней сезонной волны исчисляются как медианные значения из цепных отношений. Погрешность, возникающая из-за общей тенденции, устраняется с помощью средней геометрической. Для анализа этим методом данные нужно подготовить: найдем цепные отношения. Цепные отношения вычисляются как процентные отношения данных за каждый квартал к данным предшествующего квартала. Воспользуемся данными, полученными в таблице 3. Вычислим средние как медианные значения. Медиану за первый отрезок времени возьмем за 100, а остальные средние вычислим последовательно перемножив их.
Для первого квартала ранжированный ряд: 89,94; 90,73; 91,06; 93,72. В данном ряду четное количество членов, медиана- это средняя двух центральных членов ряда: (90,73+91,06):2=90,9.
Для второго квартала ранжированный ряд: 120,48; 122,15; 124,74; 125,3; 125,71. Так как в этом ряду нечетное количество членов, то медиана, это центральный член – 124,74.
Таблица 4
| Анализ сезонности пассажирооборота транспорта общего пользования методом У.Персона
|
| кварталы
|
медианные значения из цепных отношений
|
преобразованные медианные значения
|
сезонные колебания не (выравненные)
|
сезонная волна в среднем за период
|
| А
|
1
|
2
|
3
|
4
|
| I
|
90,9
|
100
|
100
|
84,32
|
| II
|
124,74
|
124,74
|
124,07
|
104,62
|
| III
|
113,16
|
141,16
|
139,66
|
117,77
|
| IV
|
79,62
|
112,39
|
110,61
|
93,27
|
| итого по кварталам
|
408,42
|
478,29
|
474,34
|
399,98
|
| в среднем
|
102,11
|
119,57
|
118,59
|
100
|
Далее найдем преобразованные медианные значения. В первом квартале это значение берется за 100, тогда во втором оно будет 124,74. Далее находим оставшиеся значения, в третьем квартале это будет - произведение значения второго квартала на медианное значение из цепных отношений третьего квартала: (124,74:113,16) ×100=141,16
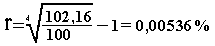
Произведение медианного значения первого квартала на преобразованное значение четвертого квартала позволяет увидеть погрешность, вызванную возрастающей общей тенденцией: (90,9×112,39):100=102,16. сезонные колебания сдвинуты на 2,16%.
Исправление погрешности по методу У. Персона основано на предположении развития ряда динамики по формуле сложных процентов.
Величина ошибки характеризуется ежеквартальным увеличением (уменьшением), вызванным общей тенденцией. Если первоначальный уровень ряда обозначить у
1
, а конечный у
2
, то ежеквартальная поправка исчисляется по следующей формуле:

Подставим в формулу полученные данные:
Чтобы сгладить погрешность разделим медианные значения на следующие числа: для первого квартала 1, для второго 1+0,00536, для третьего 1+2×0,00536, для четвертого на 1+3×0,00536 и получим сезонные колебания.
Средняя сезонных колебаний равна 118,59%, а не 100%. Примем 100 за среднюю арифметическую из исправленных сезонных колебаний, определим сезонную волну: первый квартал: 100:118,59×100=84,32; второй квартал: 124,07:118,59×100=104,62; третий квартал: 139,66:118,59×100=117,77; четвертый квартал: 110,61:118,59×100=93,27.
2.4. Анализ сезонности в рядах динамики после определения и исключения общей тенденции развития в них.
Суть этого метода заключается в предварительном определении и исключении общей тенденции развития. Данный метод используется в рядах динамики с выраженной тенденцией увеличения.
В начале определяется общая тенденция развития методом механического выравнивания или методом аналитического выравнивания по уровням какой-либо кривой. Общую тенденцию развития можно определить также с помощью скользящей средней.
Выравниваем ряд динамики по прямой(метод аналитического выравнивания).
=
a
0
+
a
1
x
Найдем параметры уравнения с помощью способа наименьших квадратов:
na0+a1∑x=∑y
a0∑+a1∑x2=∑yx
Для этого проведем определенные вычисления, которые упростят нахождение уровня ряда.
Таблица 5
| Динамика пассажирооборота транспорта общего пользования и расчет выравнивания динамического ряда
|
| годы и кварталы
|
пассажирооборот(У)
|
Х
|
x
2
|
УХ
|
| 2000г
|
I квартал
|
82,6
|
-17
|
289
|
-1404,2
|
| II квартал
|
100,9
|
-15
|
225
|
-1513,5
|
| III квартал
|
115,8
|
-13
|
169
|
-1505,4
|
| IV квартал
|
91,7
|
-11
|
121
|
-1008,7
|
| 2001г
|
I квартал
|
83,5
|
-9
|
81
|
-751,5
|
| II квартал
|
100,6
|
-7
|
49
|
-704,2
|
| III квартал
|
112,7
|
-5
|
25
|
-563,5
|
| IV квартал
|
89,5
|
-3
|
9
|
-268,5
|
| 2002г
|
I квартал
|
80,5
|
-1
|
1
|
-80,5
|
| II квартал
|
101,2
|
1
|
1
|
101,2
|
| III квартал
|
113,5
|
3
|
9
|
340,5
|
| IV квартал
|
90,6
|
5
|
25
|
453
|
| 2003г
|
I квартал
|
82,2
|
7
|
49
|
575,4
|
| II квартал
|
103
|
9
|
81
|
927
|
| III квартал
|
117,6
|
11
|
121
|
1293,6
|
| IV квартал
|
94
|
13
|
169
|
1222
|
| 2004г
|
I квартал
|
88,1
|
15
|
225
|
1321,5
|
| II квартал
|
109,9
|
17
|
289
|
1868,3
|
| сумма
|
1757,9
|
0
|
1938
|
302,5
|
a0=1757,9/18=97,66 a1=302,5/1938=0,16
Найдем уровень ряда. Отношение данных эмпирического ряда к показателям выравненного ряда в процентах исключает влияние общей тенденции развития на сезонные колебания, и одновременно определяется сезонная волна на протяжении всего изучаемого периода.
Таблица 6
| Исключение сезонной волны пассажирооборота транспорта общего пользования выраженной уравнением прямой
|
| годы и кварталы
|
Пассажиро-оборот(У)
|
ряд выравнений по уравнению прямой Ух
|
сезонная вол-на (У/Ух*100)
|
| 2000г
|
I квартал
|
82,6
|
94,9
|
87,04
|
| II квартал
|
100,9
|
95,3
|
105,88
|
| III квартал
|
115,8
|
95,6
|
121,13
|
| IV квартал
|
91,7
|
95,9
|
95,62
|
| 2001г
|
I квартал
|
83,5
|
96,2
|
86,8
|
| II квартал
|
100,6
|
96,5
|
104,25
|
| III квартал
|
112,7
|
96,9
|
116,31
|
| IV квартал
|
89,5
|
97,2
|
92,08
|
| 2002г
|
I квартал
|
80,5
|
97,5
|
82,56
|
| II квартал
|
101,2
|
97,8
|
103,48
|
| III квартал
|
113,5
|
98,1
|
115,7
|
| IV квартал
|
90,6
|
98,5
|
91,98
|
| 2003г
|
I квартал
|
82,2
|
98,8
|
83,2
|
| II квартал
|
103
|
99,1
|
103,94
|
| III квартал
|
117,6
|
99,4
|
118,31
|
| IV квартал
|
94
|
99,7
|
94,28
|
| 2004г
|
I квартал
|
88,1
|
100,1
|
88,01
|
| II квартал
|
109,9
|
100,4
|
109,46
|
Общая тенденция определена способом аналитического выравнивания по уравнению прямой линии. Из данной таблицы видно, что первом квартале первого года пассажирооборот меньше среднеквартального на 22,96%, во втором квартале — на 5,88% больше. Можно сделать вывод, что в первом и четвертом кварталах пассажирооборот меньше среднеквартального, а во втором и третьем – больше на протяжении изучаемого периода.
Определим сезонные волны в среднем за весь изучаемый период. Они рассчитываются по внутригодичным колебаниям, полученным после исключения общей тенденции развития.
Исчисления средней сезонной волны способом арифметической средней по выписанным поквартальным данным. Определим средние для каждого квартала и среднеквартальные за весь период.
Таблица
| расчет средних поквартальных показателей сезонной волны пассажирооборота
|
| кварталы
|
показатели сезонных колебаний
|
невыправленная ср. сезонная
|
выправленная ср. сезонная
|
| I
|
87,04; 86,8; 82,56; 83,2; 88,01
|
85,52
|
85,04
|
| II
|
150,88; 104,25; 103,48; 103,94; 109,46
|
105,4
|
104,81
|
| III
|
121,13; 116,31; 115,7; 118,31
|
117,86
|
117,19
|
| IV
|
95,62; 92,08; 91,98; 94,28
|
93,49
|
92,96
|
| итого
|
402,27
|
400,00
|
| в среднем
|
100,57
|
100,00
|
Так как среднеквартальная волна за весь период не равна ста, пропорционально изменим квадратные показатели средней сезонной волны.
Показатель первого квартала: 400/402,27*85,52=85,04
Показатель второго квартала: 400/402,27*105,4=104,81
Показатель третьего квартала: 400/402,27*117,86=117,19
Показатель четвертого квартала: 400/402,27*93,49=92,96
Выправленная сезонная волна показывает, что в первом квартале пассажирооборот в среднем на 14,96% меньше, а в третьем квартале на 17,19% больше.
Сезонные колебания по кварталам, вызываемые случайными причинами, могут быть характерными для отдельных лет, а при исчислении средней сезонной волны способом средней арифметической они принимаются в расчет и приводят к искажениям сезонной колеблемости. Чтобы избежать искажений рассчитаем среднюю сезонную волну методом средней арифметической из центральных членов ряда. Показатели колеблемости расположим в ранжированный ряд поквартально в возрастающем порядке и из них вычислим средние квартальные без учета крайних значений. Таким образом мы исключим влияние чрезмерно высоких или чрезмерно низких показателей.
Таблица
| кварталы
|
ранжированный ряд
|
невыправленная ср. сезонная
|
выправленная ср.сезонная
|
| I
|
82,56; 83,2; 86,8; 87,04; 88,01
|
85,68
|
85,5
|
| II
|
103,48; 103,94; 104,25; 105,88; 109,46
|
104,69
|
104,47
|
| III
|
115,7; 116,31; 118,31; 121,13
|
117,31
|
117,06
|
| IV
|
91,98; 92,08; 94,28; 95,62
|
93,18
|
92,97
|
| итого
|
400,86
|
400
|
| в среднем
|
100,22
|
100
|
Так как среднеквартальная волна за весь период не равна ста, пропорционально изменим квадратные показатели средней сезонной волны.
Показатель первого квартала: 400/400,86*85,68=85,04
Показатель второго квартала: 400/400,86*104,69=104,81
Показатель третьего квартала: 400/400,86*117,31=117,31
Показатель четвертого квартала: 400/400,86*93,18=93,18
Выправленная сезонная волна показывает, что во втором квартале пассажирооборот в среднем на 4,47% больше, а в четвертом квартале на 7,03% меньше.
3.Расчетная часть
Задание 22
1.
Реализация картофеля на колхозных рынках сибирского региона за 1999-2001гг. характеризуется данными, т.
| месяц
|
1999
|
2000
|
2001
|
| Январь
|
70
|
71
|
63
|
| Февраль
|
71
|
85
|
60
|
| Март
|
82
|
84
|
59
|
| Апрель
|
190
|
308
|
261
|
| Май
|
280
|
383
|
348
|
| Июнь
|
472
|
443
|
483
|
| Июль
|
295
|
261
|
305
|
| Август
|
108
|
84
|
129
|
| Сентябрь
|
605
|
630
|
670
|
| Октябрь
|
610
|
450
|
515
|
| Ноябрь
|
184
|
177
|
185
|
| Декабрь
|
103
|
168
|
104
|
1)определите индексы сезонности реализации картофеля;
2)постройте график сезонной волны;
3)спрогнозируйте реализацию картофеля по месяцам, используя индексы сезонности, если в 2002г. предполагается реализация картофеля в объеме 3180т.
Решение 1:
В статистике существует ряд методов изучения и измерения сезонных колебаний. Самый простой заключается в построении специальных показателей, индексов сезонности I
s
.
Совокупность этих показателей отражает сезонную волну.
Данный ряд динамики не содержит ярко выраженной тенденции развития, поэтому индексы сезонности исчисляются непосредственно по эмпирическим данным без их предварительного выравнивания.
Для каждого месяца рассчитывается средняя величина уровня
, затем вычисляется среднемесячный уровень для всего ряда Y. После чего определяется показатель сезонной волны – индекс сезонности I
s
как процентное отношение средних величин для каждого месяца к общему среднему уровню ряда, %:

Применяя формулу простой средней арифметической определим среднемесячные уровни:
Январь =(70+71+63):3=68т.
Февраль =(71+85+60):3=72т.
Таблица 1
| Реализация картофеля на колхозных рынках сибирского региона за 1999-2001гг. характеризуется данными, т.
|
| месяц
|
1999
|
2000
|
2001
|
сумма уровней за три года
|
|
|
| 1
|
2
|
3
|
4
|
5=2+3+4
|
6
|
7
|
| Январь
|
70
|
71
|
63
|
204
|
68
|
26,05
|
| Февраль
|
71
|
85
|
60
|
216
|
72
|
27,59
|
| Март
|
82
|
84
|
59
|
225
|
75
|
28,74
|
| Апрель
|
190
|
308
|
261
|
759
|
253
|
96,93
|
| Май
|
280
|
383
|
348
|
1011
|
337
|
129,12
|
| Июнь
|
472
|
443
|
483
|
1398
|
466
|
178,54
|
| Июль
|
295
|
261
|
305
|
861
|
287
|
109,96
|
| Август
|
108
|
84
|
129
|
321
|
107
|
41
|
| Сентябрь
|
605
|
630
|
670
|
1905
|
635
|
243,3
|
| Октябрь
|
610
|
450
|
515
|
1575
|
525
|
201,15
|
| Ноябрь
|
184
|
177
|
185
|
546
|
182
|
69,73
|
| Декабрь
|
103
|
168
|
104
|
375
|
125
|
47,89
|
| ИТОГО:
|
3070
|
3144
|
3182
|
9396
|
3132
|
1200
|
| в среднем:
|
255,83
|
262
|
256,17
|
783
|
261
|
100
|
Общая средняя равна 261. далее вычислим индексы сезонности по месяцам:
Январь I
s
=(68:261) ×100=26,05
Февраль I
s
=(72:261) ×100=27,59
Средний индекс сезонности должен быть равен 100%, тогда сумма индексов равна 1200т.
Анализ данных таблицы 1 позволяет сделать выводы:
1. Реализация картофеля на колхозных рынках характеризуется резко выраженной сезонностью.
2. Реализации картофеля отклоняется от среднемесячной максимум на 143,3%.
3. Наименьший спрос на картофель приходиться на январь (26,05%), а наибольший - на сентябрь(243,3%).
Построим график сезонной волны реализации картофеля на колхозных рынках:
    
Сезонность имела две волны подъема реализации картофеля: в июне и сентябре(главный). Уменьшение наблюдается с июня по август и с сентября по декабрь.
Составление надежных прогнозов динамики спроса и предложения товаров является необходимым условием регулирования рыночных отношений. Важное значение при этом имеют статистические методы экстраполяции. Под экстраполяцией понимают нахождение уровней за пределами изучаемого ряда, т.е. продление в будущее тенденции, наблюдавшейся в прошлом. (Гусаров В.М. «Теория статистики», ЮНИТИ 1998, стр.154 ).
Точность прогноза зависит от того, насколько обоснованными окажутся предположения о сохранении на будущее действий тех факторов, которые сформировали в базисном ряду динамики его основные компоненты.
Для осуществления прогноза реализации картофеля на колхозных рынках по месяцам, исходя из того, что в 2002 году объем реализации должен составить 3180т., посчитаем общий среднемесячный объем реализации в 2002г.:
=3180:12=265 (т)
Далее рассчитаем предполагаемый объем реализации картофеля на каждый месяц 2002г.
Январь (265×26,05):100=69т
Таблица 2
| Прогноз реализации картофеля на колхозных рынках в 2002г.
|
| месяц
|
реализация картофеля в 2002г, в т.
|
| 1
|
2
|
3
|
| Январь
|
26,05
|
69
|
| Февраль
|
27,59
|
73,1
|
| Март
|
28,74
|
76,2
|
| Апрель
|
96,93
|
256,9
|
| Май
|
129,12
|
342,2
|
| Июнь
|
178,54
|
473,1
|
| Июль
|
109,96
|
291,4
|
| Август
|
41
|
108,6
|
| Сентябрь
|
243,3
|
644,7
|
| Октябрь
|
201,15
|
533,1
|
| Ноябрь
|
69,73
|
184,8
|
| Декабрь
|
47,89
|
126,9
|
| ИТОГО:
|
3180
|
Зная индексы сезонности и планируемый объем реализации картофеля в 2002г. дан предварительный прогноз. Для более точного прогноза необходимо располагать дополнительной информацией.
2.
Динамика производства овощей в крестьянских хозяйствах РФ за 1996-2000 гг. характеризуется данными:
| Год
|
1996
|
1997
|
1998
|
1999
|
2000
|
| Овощи, тыс. т.
|
116
|
164
|
188
|
256
|
273
|
Определить средние показатели ряда динамики: а) средний уровень; б) средний абсолютный прирост; в) среднегодовой темп роста и прироста.
Решение 2:
Данный ряд характеризует увеличение производства овощей. Так как данные характеризуют наблюдения по годам, т.е. за конкретный период времени, то данный ряд является интервальным.
Средний уровень ряда характеризует обобщенную величину абсолютных уровней (Гусаров В.М. «Теория статистики», ЮНИТИ 1998, стр.131 ).
Для интервальных рядов с равными интервалами средний уровень определяется как простая средняя арифметическая:

(116+164+188+256+273):5=997:5=199,4
Обобщающий показатель скорости изменения уровней во времени - средний абсолютный прирост, представляющий собой обобщенную характеристику индивидуальных абсолютных приростов ряда. (Гусаров В.М. «Теория статистики», ЮНИТИ 1998, стр.134 ).
Определим эту величину через базисный прирост.

Таблица 3
| Динамика производства овощей в крестьянских хозяйствах РФ за 1996-2000 гг.
|
| год
|
овощи тыс.т.
|
абсолютный прирост, тыс.т.
|
| базисный
|
цепной
|
| 1996
|
116
|
| 1997
|
164
|
164-116=48
|
164-116=48
|
| 1998
|
188
|
188-116=72
|
188-164=24
|
| 1999
|
256
|
256-116=140
|
256-188=68
|
| 2000
|
273
|
273-116=157
|
273-256=17
|
| 997
|
157
|
157:(5-1)=39,25
Вычислим среднегодовой темп роста и прироста.
Средний темп роста представляет собой средний коэффициент роста, выраженный в процентах. Найдем средний коэффициент роста:

, т.е. 123,9%
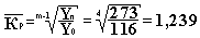
%
Средний темп прироста составляет 123,9%, т.е. с 1996 по 2000 гг. производства овощей в крестьянских хозяйствах РФ увеличивалось в среднем на 23,9% в год.
4.Аналитическая часть
Аналитический раздел данной работы, будет выполнен в прикладной программе Microsoft Excel.
Исходные данные для анализа:
Таблица 1
| Динамика пассажирооборота транспорта общего пользования (млрд. пасс.-км.)
|
| 2000
|
2001
|
2002
|
2003
|
2004
|
| I квартал
|
82,6
|
83,5
|
80,5
|
82,2
|
88,1
|
| II квартал
|
100,9
|
100,6
|
101,2
|
103,0
|
109,9
|
| III квартал
|
115,8
|
112,7
|
113,5
|
117,6
|
| IV квартал
|
91,7
|
89,5
|
90,6
|
94,0
|
Необходимо провести анализ сезонности имеющихся данных в программой среде Microsoft Excel.
Анализ:
Исходные данные в табличном процессоре (рис 1):

рис. 1
При анализе исходных данных мною были проведены промежуточные расчеты (рис 2):

рис. 2
Для получения промежуточных расчетов, в ячейки таблицы были введены формулы (рис.3)

рис. 3
Далее для получения данных по анализу, мною сначала были сформулированные интересующие меня вопросы и получены на них ответы в числовом выражении (рис 4):

рис. 4
Вывод:
Данная программа позволяет производить расчеты с новыми данными, для этого необходимо только ввести их на странице «Данные» в исходную таблицу. После чего автоматически будут произведены расчеты машиной. Это происходит за счет того, что все данные связаны друг с другом при помощи формул. На странице «Расчеты» можно посмотреть результаты промежуточных расчетов. На странице с названием «Ответы» можно просмотреть полученные ответы.
5. Заключение
В заключении подведем итоги. Сезонные колебания – периодические колебания, которые имеют определенный и постоянный период, равный годовому промежутку. Существуют различные методы изучения сезонности. Как с предварительным определением и исключением общей тенденции, так и без предварительного выравнивания. Наиболее простой способ определения сезонной волны без предварительного выравнивания – метод простой средней. Точность данных зависит от выбранного метода изучения сезонности. При анализе данных находим индексы сезонности и получаем сезонную волну. Индекс сезонности – процентное отношение фактических внутригрупповых уровней к расчетным уровням, выступающим в качестве базы сравнения. (Гусаров В.М. «Теория статистики», ЮНИТИ 1998, стр.152 ).
При использовании методов изучения сезонности появляется возможность проследить взаимоотношение сезонных колебаний и изучаемых показателей в зависимости от времени года.
6. Приложение
Таблица 1
| Динамика пассажирооборота транспорта общего пользования (млрд. пасс.-км.)
|
| 2002
|
2003
|
2004
|
| январь
|
27,2
|
27,7
|
29,4
|
| февраль
|
25,2
|
25,9
|
28,1
|
| март
|
28,1
|
28,7
|
30,7
|
| I квартал
|
80,5
|
82,2
|
88,1
|
| апрель
|
28,9
|
29,6
|
31,8
|
| май
|
33,0
|
33,6
|
35,9
|
| июнь
|
39,3
|
39,8
|
42,2
|
| II квартал
|
101,2
|
103
|
109,9
|
| июль
|
43,5
|
44,5
|
46,6
|
| август
|
37,8
|
39,6
|
40,6
|
| сентябрь
|
32,2
|
33,5
|
| III квартал
|
113,5
|
117,6
|
| октябрь
|
30,8
|
32,0
|
| ноябрь
|
29,9
|
30,9
|
| декабрь
|
29,9
|
31,1
|
| IV квартал
|
90,6
|
94,0
|
Таблица 2
| Динамика пассажирооборота транспорта общего пользования в % к соответствующему периоду предидущего года
|
| 2001
|
2002
|
| январь
|
100,7
|
96,8
|
| февраль
|
99,2
|
95,5
|
| март
|
103,3
|
96,9
|
| I квартал
|
101,1
|
96,5
|
| апрель
|
100,5
|
100,1
|
| май
|
98,9
|
102,4
|
| июнь
|
99,9
|
99,4
|
| II квартал
|
99,7
|
100,6
|
| июль
|
96,4
|
101,5
|
| август
|
97,6
|
100,4
|
| сентябрь
|
97,9
|
100,3
|
| III квартал
|
97,2
|
100,8
|
| октябрь
|
98,0
|
100,6
|
| ноябрь
|
98,3
|
100,6
|
| декабрь
|
96,6
|
101,4
|
| IV квартал
|
97,6
|
101,2
|
Таблица 3
| Динамика пассажирооборота транспорта общего пользования (млрд. пасс.-км.)
|
| 2000
|
2001
|
| январь
|
27,9
|
28,1
|
| февраль
|
26,6
|
26,4
|
| март
|
28,1
|
29
|
| I квартал
|
82,6
|
83,5
|
| апрель
|
28,8
|
28,9
|
| май
|
32,6
|
32,2
|
| июнь
|
39,5
|
39,5
|
| II квартал
|
100,9
|
100,6
|
| июль
|
44,5
|
42,9
|
| август
|
38,5
|
37,6
|
| сентябрь
|
32,8
|
32,1
|
| III квартал
|
115,8
|
112,7
|
| октябрь
|
31,2
|
30,6
|
| ноябрь
|
29,9
|
29,4
|
| декабрь
|
30,5
|
29,5
|
| IV квартал
|
91,7
|
89,5
|
Данные приведенные в таблице 1 взяты из журнала: «Социально-экономическое положение России». За 2002-2003гг.: № 12, 2003г. Государственный Комитет Российской Федерации по Статистике, стр. 82-83. За 2004г.: №8, 2004г. Федеральная служба государственной статистики, стр. 75.
Данные приведенные в таблице 2 взяты из журнала: «Социально-экономическое положение России» № 12, 2002г. Государственный Комитет Российской Федерации по Статистике, стр. 83.
Данные приведенные в таблице 3 получены путем вычисления из таблиц 1 и 2.
7. Список используемой литературы:
1. Гусаров В. М. Статистика: учебное пособие для ВУЗов - М: ЮНИТИ- ДАНА, 2002.
2. Общая теория статистики: Статистическая методология в изучении коммерческой деятельности: Учебник /А.И. Харламов, О.З. Башина, В.Т. Бабурин и др.; Под ред. А.А. Спирина, О.З. Башиной. - М.: Финансы и статистика, 1994г.
3. Практикум по статистике. Учебное пособие для ВУЗов / под редакцией В.М. Симчеры/ ВЗФЭИ - М: ЗАО «Финстатинформ», 1999.
4. Ресурсы Интернета
5. Годин A.M. Статистика: учебник - Издательско - торговая корпорация «Дашков и Ко», 2004.
|