| СОДЕРЖАНИЕ
ГЛАВА 2. СОВОКУПНОЕ ПРЕДЛОЖЕНИЕ: ПОНЯТИЕ И ФАКТОРЫ
ГЛАВА 3. РАВНОВЕСИЕ СОВОКУПНОГО СПРОСА И СОВОКУПНОГО ПРЕДЛОЖЕНИЯ
ГЛАВА 4. ИНВЕСТИЦИИ И ДОХОД. ЭФФЕКТ МУЛЬТИПЛИКАТОРА
ГЛАВА 5. КЛАССИЧЕСКАЯ МОДЕЛЬ МАКРОЭКОНОМИЧЕСКОГО РАВНОВЕСИЯ
ГЛАВА 6. КЕЙНСИАНСКАЯ МОДЕЛЬ МАКРОЭКОНОМИЧЕСКОГО РАВНОВЕСИЯ
ЗАКЛЮЧЕНИЕ
СПИСОК ИСПОЛЬЗОВАННЫХ ИСТОЧНИКОВ
ВВЕДЕНИЕ
Данная курсовая работа посвящена актуальной на сегодняшний день теме, а именно исследованию макроэкономического равновесия и его моделей. Актуальность этой темы определяется тем условием, что современная национальная экономика любой страны глубока интегрирована в мировую экономику и подвержена общим мировым экономическим тенденциям. В условиях современного долгосрочного финансово-экономического кризиса, нестабильности валютных курсов ведущих мировых валют, падению темпов занятости и росту инфляции первоочередной задачей правительств стран мира является приведение национальных экономик в равновесие. Для этого целесообразно будет обратиться к накопленному теоретическому опыту и моделям приведения национальной экономики в состояние равновесия посредством воздействия на совокупный спрос, совокупное предложение и другие показатели.
Равновесное состояние экономической системы страны – залог ее поступательного и гармоничного развития, динамичного экономического роста и роста благосостояния населения.
Предметом исследования является понятие макроэкономического равновесия.
Для раскрытия цели курсовой работы были определены следующие задачи:
- исследование теоретических опыта понятий совокупного спроса и совокупного предложения, а также механизмов их приведения в равновесие;
- анализ понятий инвестиций, дохода и действия эффекта мультипликатора;
- изучение классической и кейнсианской моделей макроэкономического равновесия.
Национальная экономика при макроэкономическом подходе может быть представлена в виде единого рынка, состоящего из одного совокупного потребителя и одной совокупной фирмы, производящей единственный продукт, предназначенный для личного и производственного потребления. Этот продукт должен продаваться по единой совокупной цене. Начнем анализ данного рынка с совокупного спроса AD.
СОВОКУПНЫЙ СПРОС характеризует желание и возможность населения, фирм, государства и заграницы приобрести определенный объем товаров и услуг при сложившемся уровне цен (рис. 1).
По оси абсцисс на графике совокупного спроса берется не номинальный, т. е. выраженный в текущих ценах, а реальный продукт, предложенный покупателю на рынке в ценах базового года.
Забиваем Сайты В ТОП КУВАЛДОЙ - Уникальные возможности от SeoHammer
Каждая ссылка анализируется по трем пакетам оценки: SEO, Трафик и SMM.
SeoHammer делает продвижение сайта прозрачным и простым занятием.
Ссылки, вечные ссылки, статьи, упоминания, пресс-релизы - используйте по максимуму потенциал SeoHammer для продвижения вашего сайта.
Что умеет делать SeoHammer
— Продвижение в один клик, интеллектуальный подбор запросов, покупка самых лучших ссылок с высокой степенью качества у лучших бирж ссылок.
— Регулярная проверка качества ссылок по более чем 100 показателям и ежедневный пересчет показателей качества проекта.
— Все известные форматы ссылок: арендные ссылки, вечные ссылки, публикации (упоминания, мнения, отзывы, статьи, пресс-релизы).
— SeoHammer покажет, где рост или падение, а также запросы, на которые нужно обратить внимание.
SeoHammer еще предоставляет технологию Буст, она ускоряет продвижение в десятки раз,
а первые результаты появляются уже в течение первых 7 дней.
Зарегистрироваться и Начать продвижение
Совокупный спрос в отличие от рыночного спроса является более сложной категорией и в масштабах общества складывается из четырех основных компонентов: первый — это спрос на товары и услуги С; второй —это инвестиционный спрос фирм I: третий — государственные закупки G, в которые входят все республиканские и местные расходы на армию и вооружение, бесплатное медицинское обслуживание и образование, государственные инвестиционные программы, строительство жилья и дорог и т. д.; последний, четвертый, компонент — чистый экспорт Хп
, т. е. разница между экспортом и импортом.
Кривая AD иллюстрирует изменение совокупного уровня расходов домашних хозяйств, бизнеса, правительства и заграницы в зависимости от изменения уровня цен. При снижении уровня цен объем реального ВВП, который смогут купить потребители, будет больше (т. е. реально будет куплено больше товаров и услуг).

Рис. 1 – Кривая совокупного спроса
AD
Отрицательный наклон кривой AD объясняется тремя важнейшими эффектами в рыночной экономике:
а) эффектом процентной ставки;
б) эффектом реального богатства;
в) эффектом импортных закупок.
Эффект процентной ставки показывает, что уровень цен влияет на объем производства через процентную ставку. Это означает, что если в стране повышается уровень цен, то при неизменной денежной массе происходит повышение процентной ставки (так как растет спрос на деньги для осуществления транзакционных операций). Но чем выше процентная ставка, тем ниже уровень инвестиций, а значит, и объем производства. Кроме того, чем выше процентная ставка, тем ниже потребительский спрос, поскольку дорогим становится потребительский кредит. Следовательно, более высокому уровню цен будет соответствовать меньший объем реального ВВП, и наоборот.
Эффект реального богатства проявляется следующим образом. В рыночной экономике богатство домашних хозяйств в значительной степени представлено в виде различных финансовых активов (акций, облигаций, срочных счетов). Предположим, что какой-то индивид имеет облигацию номиналом 1000 руб. При повышении уровня цен в 2 раза реальное богатство, представленное этой облигацией, уменьшится также в 2 раза. Снижение реального богатства приведет к уменьшению потребительского спроса, что и отражается в отрицательном наклоне кривой совокупного спроса
Эффект импортных закупок — это влияние повышения цен на выбор покупателей между подорожавшими отечественными товарами и импортными товарами, цены на которые не изменились. В такой ситуации покупатели будут предпочитать импортные блага, в силу чего объем совокупного спроса на отечественные товары уменьшится.
Сервис онлайн-записи на собственном Telegram-боте
Попробуйте сервис онлайн-записи VisitTime на основе вашего собственного Telegram-бота:
— Разгрузит мастера, специалиста или компанию;
— Позволит гибко управлять расписанием и загрузкой;
— Разошлет оповещения о новых услугах или акциях;
— Позволит принять оплату на карту/кошелек/счет;
— Позволит записываться на групповые и персональные посещения;
— Поможет получить от клиента отзывы о визите к вам;
— Включает в себя сервис чаевых.
Для новых пользователей первый месяц бесплатно.
Зарегистрироваться в сервисе
Сдвиг кривой совокупного спроса AD может происходить в результате изменений макроэкономической политики (денежного обращения, государственных расходов или налогообложения) или изменения экзогенных переменных (объема производства в зарубежных странах, влияющего на объем экспорта, или уверенности бизнесменов, оказывающих непосредственное влияние на инвестиции).
ГЛАВА 2. СОВОКУПНОЕ ПРЕДЛОЖЕНИЕ: ПОНЯТИЕ И ФАКТОРЫ
Вторым составляющим элементом единого рынка является совокупное предложение.
Совокупное предложение — это величина реально производимого продукта всеми производителями в экономической системе при определенном уровне цен.
В микроэкономике кривая предложения S имеет положительный наклон, свидетельствующий о том, что при повышении цен производители будут расширять производство данного товара. В макроэкономике кривая совокупного предложения имеет несколько иную форму (рис. 2).

Рис. 2 – Кривая совокупного предложения
AS
Чем объясняется такая конфигурация кривой AS. Дело в том, что в масштабе всей экономики могут сложиться три различных состояния: неполной занятости, приближающееся к полной занятости, полной занятости. На кривой AS можно выделить три участка:
а) горизонтальный, или кейнсианский;
б) восходящий, или промежуточный;
в) вертикальный, или классический.
Горизонтальный, или кейнсианский, участок характеризуется тем, что на нем все факторы производства используются не полностью. Существуют незадействованные в процессе производства мощности, сырье, рабочая сила. По мере увеличения объемов производства свободные факторы вовлекаются в процесс производства, не оказывая существенного влияния на уровень цен, он остается стабильным.
Такое состояние может сохраняться до определенного уровня ВВП (на рис. 2 он обозначен как Y1). После объема производства, равного Y1 состояние экономики начнет меняться.
Восходящий, или промежуточный, участок соответствует постепенному вовлечению в производство свободных факторов, имеющих определенные границы. Дальнейшее вовлечение их в производство дает в конечном счете увеличение затрат, что сказывается на стоимости продукции.
Происходит общий постепенный рост цен на товары и услуги, а производство растет не так быстро, как прежде.
Вертикальный, или классический, участок трактуется исходя из основной предпосылки представителей классической школы: в экономике все факторы должны быть задействованы в процессе производства. Объем производства при этом достигает максимально возможного уровня Y*, соответствующего значению ВВП, которого можно достичь в данной экономической системе при полной занятости.
Таким образом, кривая AS отражает динамику издержек производства на единицу продукции в связи с изменением уровня цен. Поэтому сдвиг кривой AS вправо или влево будет происходить при изменении:
а) цен на факторы производства;
б) налогов.
ГЛАВА 3. РАВНОВЕСИЕ СОВОКУПНОГО СПРОСА И СОВОКУПНОГО ПРЕДЛОЖЕНИЯ
Пересечение кривых AS и AD определяет равновесный объем выпуска и уровень цен в экономике. Учитывая сложную конфигурацию кривой совокупного предложения, можно предположить, что равновесная ситуация может возникнуть на любом из трех участков: кейнсианском, промежуточном и классическом. Наиболее динамичен совокупный спрос. Он быстрее улавливает те изменения, которые происходят в экономике.
Рост совокупного спроса, изменяя точку равновесия, отражается на объеме национального производства, следовательно, на занятости населения, а также на уровне цен (рис. 4).

Рис.4 – Последствия увеличения совокупного спроса: а – на кейнсианском участке; б – на восходящем; в – на классическом
Рассмотрим возможные варианты. Допустим, что кривые совокупного спроса и совокупного предложения пересекаются на кейнсианском участке (рис. 4,а). При росте совокупного спроса от AD0 до AD1 равновесие перейдет из точки Eo в точку E1. При этом значительно увеличится объем производства, а цены останутся на прежнем уровне. Возросший объем производства потребует привлечения дополнительной рабочей силы, которая имеется в экономической системе. Вовлечение дополнительных факторов производства на кейнсианском участке не вызывает какого-либо роста цен.
Возрастание совокупного спроса на восходящем участке вызывает иные последствия (рис. 4,б). Объем производства, а следовательно, и занятость населения возрастут, но в меньшей степени, чем на кейнсианском участке. Наблюдается общее повышение цен.
На классическом участке (рис. 4в) в условиях вовлечения всех факторов производства при росте совокупного спроса не происходит увеличения объемов производства и численности занятых. Здесь производство достигает своего потенциального уровня Y*. Однако это сопровождается резким повышением цен.
Были рассмотрены изменения, происходящие в экономике при увеличении совокупного спроса, но совокупный спрос может не только увеличиваться, но и уменьшаться. В таком случае срабатывает эффект храповика (рис. 5).

Рис. 5 – Эффект храповика
При первоначальном совокупном спросе AD0
точке равновесия Е0
соответствует объем производства Y* и уровень цен Р0
. При уменьшении совокупного спроса до уровня AD2
равновесие должно было бы переместиться в точку которой соответствует объем производств и уровень цен Но этого в реальной экономике не происходит, так как уровень цен, как правило, не снижается. Равновесная ситуация устанавливается в точке Е2
. Цена остается на прежнем уровне, а объем производства падает до уровня E2, т. е. больше, чем если бы равновесие устанавливалось традиционным путем. Линия совокупного предложения поднимается вверх и устанавливается на уровне P0E2Eo.
Такое "поведение" цен и кривой совокупного предложения объясняется ценовой инертностью затрат на производство продукции. Предприниматель заключает договора на поставку сырья, аренду помещений и оборудования, оплату рабочей силы по определенным ценам, которые он не может изменить произвольно в сторону уменьшения. Поэтому даже при снизившемся совокупном спросе он вынужден предлагать свою продукцию по тем ценам, которые установились первоначально, и, чтобы не оказаться в убытке, резко снижает объем производства.
Таким образом, анализ простой модели совокупного спроса и совокупного предложения AD-AS показывает, что законы рыночного равновесия действуют и на уровне национальной экономики в целом. Вместе с тем она служит полезной схемой для объяснения основных сил, действующих в экономике, и их последствий. Модель проводит различие между двумя ее сторонами: спросом и предложением. В процессе же их взаимодействия схема AD-AS на первый план выдвигает две главные переменные — объем производства и уровень цен.
В результате, данная модель подводит к мысли о необходимости или нежелательности государственного вмешательства в экономику. В споры о таком вмешательстве вовлечены как те экономисты, кто доказывает, что действия правительства могут ускорить достижение полной занятости и стабильности цен, так и те, кто утверждает, что правительство может только ухудшить положение дел в экономике и сделать ее еще менее стабильной, чем она была бы в противоположном случае.
В экономическом анализе термин "инвестиции" означает использование сбережений для создания новых производственных мощностей и других физических (реальных) активов.
В состав инвестиций входят все затраты на приобретение машин и оборудования, осуществление строительно-монтажных работ, изменение запасов. Вложение средств в ценные бумаги, такие, как акции и облигации, называется финансовыми или портфельными инвестициями. В отличие от физических инвестиций, которые создают новые активы и тем самым увеличивают производственные мощности страны, финансовые инвестиции только перераспределяют права собственности на существующие активы от одного субъекта к другому. Именно поэтому экономисты связывают инвестиции с вложением капитала в приобретение физических активов и запасов. Важно и то, что осуществление инвестиций непосредственно связано с товарным рынком, тогда как купля-продажа ценных бумаг — с фондовым рынком.
Поскольку инвестиции — один из компонентов совокупных расходов, то по сравнению со сбережениями они влияют на объем эффективного спроса прямо противоположным образом: если сбережения сокращают спрос, то инвестиции его увеличивают.
Инвестиции представляют собой обратную функцию от процентной ставки: I = f(i). Эта убывающая функция представлена на рис. 6.

Рис. 6 – График функции инвестиций
Увеличение или уменьшение инвестиций ведет к росту или падению производства, занятости и доходов. Эти закономерности наблюдаются не только применительно к инвестициям, но и в связи с любыми другими видами расходов, в том числе государственными расходами и чистым экспортом.
При рассмотрении совокупного спроса особую роль отводится государственным расходам G. Именно они в модели закрытой экономики в состоянии обеспечить "эффективный спрос" для достижения полной занятости. В связи с частными инвестициями и государственными расходами рассматривается и проблема мультипликатора.
В переводе на русский язык мультипликатор означает "множитель" (multiplication — умножение; multiplier — множитель, коэффициент). Кейнсианский мультипликатор показывает, как влияет прирост инвестиций (государственных и частных) на прирост выпуска и доходов.
На рис. 7 показано, как изменения в частных и государственных инвестициях влияют на величину равновесного объема выпуска и уровня дохода.

Рис. 7 Графическая интерпретация эффекта мультипликатора
Приросты дохода dY1 и dY2 оказываются более значительными, чем вызвавшие их изменения в частных инвестициях dI1 и государственных расходах G, которые обозначены как dI2. Это и есть графическая иллюстрация эффекта мультипликатора. В обычном виде этот эффект можно представить следующим образом:
dY = k*dI (1)
где dY - прирост дохода;
dI - прирост инвестиций;
k - мультипликатор.
Таким образом, мультипликатор представляет собой число, показывающее, во сколько раз необходимо увеличить первоначальный прирост инвестиций, чтобы рассчитать вызванный этим прирост национального дохода. Другими словами, мультипликатор — это отношение изменения равновесного уровня национального дохода к вызвавшему его исходному изменению уровня расходов.
Допустим, что в экономике инвестиции возросли на 10 млрд. руб. Если благодаря этому совокупный (национальный) доход страны увеличится на 30 млрд. руб., то в такой экономике мультипликатор равен 3. Если же вызванное дополнительными инвестициями увеличение дохода составило бы 50 млрд. руб., то мультипликатор был бы равен 5.
Очевидно, что прирост инвестиций в развитие производственной базы общества не может в коротком периоде обернуться быстрой отдачей в виде увеличения выпуска готовой продукции. В чем же причина мультипликационного эффекта?
Дж. Кейнс связывал мультипликационный эффект вовсе не с отдачей от инвестиций в виде производства дополнительной продукции или услуг. Он полагал, что увеличение покупок инвестиционных товаров означает увеличение доходов тех экономических агентов, у которых эти товары приобретены. Имеются в виду фирмы, производящие станки, машины, оборудование, компьютеры, стройматериалы и т. п. Увеличение дохода работников этих фирм в соответствии с кейнсианской функцией потребления вызывает расширение их потребления на основе собственной предельной склонности к потреблению. Рост потребления в свою очередь способствует дальнейшему возрастанию эффективного спроса и национального дохода. Это, по существу, повышает покупательную способность в экономике, а следовательно, и общий объем спроса. Возросшая покупательная способность в конечном счете приводит к тому, что фирмы могут больше продавать, для чего им требуется расширять наем рабочей силы и закупку других факторов производства, после чего покупательная способность еще больше растет. Возросшая покупательная способность является новым источником дополнительного потребления и инвестиций, которые порождают еще большую покупательную способность, и т. д.
Таким образом, цепная реакция доходообразования, увеличения расходов и расширения производства захватывает все более отдаленные друг от друга отрасли. Возникает своего рода эффект кругов по воде. Причем, чем шире становится этот процесс, тем эффект возмущения становится менее интенсивным. Затухание объясняется тем, что не весь полученный на каждом этапе доход тратится на новое потребление, т. е. становится снова чьим-то доходом. На каждом новом этапе часть полученного дохода сберегается и тем самым исключается из дальнейшего доходообразования. А это значит, что сила эффекта мультипликатора зависит от того, сколько дохода поступит на каждую следующую стадию, т. е. от предельной склонности к потреблению МРС участников последовательности событий.
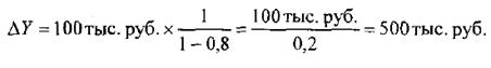
Чтобы оценить величину эффекта мультипликатора, обратимся к условному примеру, который поможет понять, почему мультипликатор всегда больше единицы. Допустим, что на имеющиеся средства 100 тыс. руб. некий предприниматель решил соорудить небольшой кирпичный завод. Благодаря осуществлению данного инвестиционного проекта участвующие в строительстве работники получат 100 тыс. руб. дополнительного дохода. Что же произойдет дальше? Если каждый человек в экономике характеризуется предельной склонностью к потреблению 0,8, то 80 тыс. руб. они потратят на покупку новых товаров и услуг. Именно на эту сумму у продавцов сократятся товарные запасы. Реакцией производителей на сокращение запасов будет увеличение объема производства на 80 тыс. руб., вслед за чем 0,8 этой суммы получившие ее другие работники потратят на свое потребление (64 тыс. руб.). Этот процесс будет непрерывно продолжаться таким образом, что на каждой следующей стадии расходы составят 80% от расходов, совершенных на предыдущей стадии.
Эта бесконечная цепь вторичных расходов вызвана лишь тем, что наш предприниматель осуществил первоначальные инвестиции в размере 100 тыс. руб. Однако, хотя теоретически эта цепь и не имеет конца, нетрудно заметить, что на практике она стремится к конечной величине, которая поддается арифметическому расчету:
100 тыс. руб. дохода – 100 тыс. х 0,8 (потребление)
80 тыс. руб. дохода – 80 тыс. х 0,8 (потребление)
64 тыс. руб. дохода – 64 тыс. х 0,8 (потребление)
Сумма увеличивающего дохода составит:
100 тыс. + 80 тыс. + 64 тыс. + ... = 100 тыс. (1 + 0,8 + 0,82
+ 0,83
+ ...).
Предел суммы геометрической прогрессии будет выглядеть следующим образом:
В этом уравнении 100 тыс. руб. — прирост инвестиций dI, а знаменатель дроби (1-0,8) – величина, равная (1-MPC).

Таким образом, расчет показывает, что если МРС = 0,8, то мультипликатор равен 5. Он включает единицу первоначальных инвестиций и четыре единицы дополнительных (вторичных) потребительских расходов. Тот же самый результат можно получить, , , если воспользоваться концепцией предельной склонности к сбережению MPS. Если МРС = 0,8, то MPS = 0,2:
Общая формула мультипликатора имеет следующий вид:
(2)
Из данной формулы следует, что, чем больше предельная склонность к потреблению (меньше предельная склонность к сбережению), тем больше мультипликатор. А это значит, что тем больший будет итоговый прирост национального дохода за счет прироста инвестиций.
Еще раз отметим, что мультипликационный эффект могут вызывать любые автономные затраты, а не только частные инвестиции. Речь идет об изменении величин автономного потребления, государственных закупок, экспорта.
Само проявление мультипликационного эффекта предполагает наличие определенных условий. Он наблюдается прежде всего в экономике, находящейся в состоянии глубокого кризиса, с большой безработицей и недоиспользованием производственных мощностей. Увеличение расходов с помощью мультипликатора обеспечивает более полное использование уже имеющихся в обществе ресурсов. Сам по себе мультипликатор не обладает свойством умножения факторов производства. Если бы экономика находилась в состоянии полной занятости, то рост расходов выразился бы в повышении цен и инфляции, поскольку имело бы место превышение совокупного спроса над совокупным предложением.
Особенность эффекта мультипликатора заключается в том, что это «механизм с двумя лезвиями»: он может усиливать как рост национального дохода, так и его сокращение.
Как дестабилизирующий фактор мультипликатор тем сильнее, чем больше величина MPS, и наоборот. Чтобы понять эту зависимость, рассмотрим необычное явление, получившее название парадокс бережливости [6, с. 175]. Суть его, как показал Дж. Кейнс, заключается в том, что стремление людей сберегать будет опережать стремление предпринимателей инвестировать, в результате чего произойдет сокращение прироста национального дохода.
Данное явление будет наблюдаться, во-первых, вследствие того, что с ростом накопления капитала снижается предельная эффективность его функционирования, так как все больше сужается круг альтернативных возможностей высокоприбыльных капиталовложений; во-вторых, оттого, что с ростом доходов увеличивается доля сбережений, поскольку S =f(Y). Исключением является ситуация инфляционного перегрева экономики на уровне потенциального выпуска Y*. В данном случае увеличение сбережений общественно желательно, так как уменьшает совокупный спрос и способствует обузданию инфляции, а значит, росту благосостояния.
Цепочка связей в экономике выглядит следующим образом: автономные расходы вследствие действия мультипликатора приводят к приросту национального дохода, а значит, к увеличению сбережений. Образовавшиеся сбережения в условиях оживления деловой активности служат источником дополнительных инвестиций, которые принято называть производными или индуцированными, поскольку они зависят от возросшего дохода. Производные инвестиции, в свою очередь, вместе с первоначальными, т. е. автономными, инвестициями усиливают экономический рост и ускоряют его.
Таким образом, «парадокс бережливости» показывает, что все попытки увеличить сбережения ведут к снижению инвестиций и производства, сокращению доходов и, следовательно, уменьшению сбережений. Объем производства будет сокращаться до тех пор, пока доход не упадет настолько, что желаемый объем сбережений уравняется с желаемой величиной инвестиций. Однако увеличение сбережений означает сокращение потребления. Соответственно уменьшаются доходы производителей, ибо расходы одних экономических субъектов— это доходы других. Если кому-то удалось сберечь больше, то только потому, что кто-то другой был вынужден взять в долг или расстаться со своими сбережениями. Попытки значительной части населения сократить потребление (ради увеличения сбережений) приведут к сокращению национального дохода.
В современной экономической науке существует два теоретических подхода к характеристике равновесия между совокупным спросом и совокупным предложением. Первый был изложен представителями классической политической экономии в первой половине XIX в. и развит их последователями — экономистами-неоклассиками во второй половине XIX первых десятилетиях XX в. Второй подход был выдвинут Дж. Кейнсом и его последователями в начале г. В данной главе нам предстоит выяснить характерные черты классической модели макроэкономического равновесия и показать, какую ценность для оптимальной организации экономики она представляет в настоящее время.
Прежде чем приступить к рассмотрению этого вопроса, необходимо уточнить само понятие классической школы. Термин "экономисты-классики" ввел в научный оборот К. Маркс, имея в виду главным образом английских экономистов А. Смита и Д. Рикардо. Однако позже западные ученые стали трактовать этот термин гораздо шире, включив в состав представителей "классической школы" французского экономиста Ж.-Б. Сэя, а также английских экономистов — последователей А. Смита и Д. Рикардо, Т. Мальтуса, Н. Сениора, Дж. Ст. Милля, А. Маршалла, Ф. Эджуорта, А. Пигу.
Экономическая теория, в которой использовались подходы, методы и инструменты маржиналистского анализа (концепции предельной полезности и предельной производительности), в дальнейшем получила название неоклассической. Создателями неоклассической теории считают Дж. Кларка, А. Маршалла, Ф. Эджуорта, И. Фишера, В. Парето, Л. Вальраса, К. Викселя, А. Пигу. Многие современные авторы тем не менее для упрощения объединяют эти две школы, исходя из их идейной близости в принципиальных вопросах экономического анализа: микроэкономическом подходе к описанию экономики, а также предположении, что существуют рыночные силы, стремящиеся к поддержанию полной занятости экономических ресурсов.
Приступая к рассмотрению макроэкономической модели классической школы, нужно иметь в виду, что исходным ее постулатом является положение о том, что производство определяет расходы. В наиболее простом виде это положение выражается в принципе, сформулированном Ж.-Б. Сэем: Продукты обмениваются на продукты. Этот принцип явно или неявно присутствовал в теориях почти всех экономистов классического направления. В дальнейшем он с легкой руки Дж. Кейнса получил название закона рынков Сэя.
Классики признавали, что иногда чрезвычайные обстоятельства, такие, как войны, политические перевороты, засухи, крахи на фондовой бирже и т. д., могут отклонить экономику от состояния полной занятости. Однако когда это происходит, рынок автоматически корректирует экономику: резкое сокращение производства и занятости приводит к снижению цен, заработной платы и процентных ставок, которые впоследствии влекут за собой увеличение потребительских расходов, рост занятости и расширение инвестиций. Избыток на любом из рынков — товаров, рабочей силы, инвестиционных ресурсов — вскоре исчезает, и в экономике устанавливается равновесие при полной занятости.
Однако при первой же попытке более углубленного анализа макроэкономических взаимосвязей обнаруживается серьезная уязвимость закона Ж.-Б. Сэя. В самом деле, если исходить из того, что обмен в экономике осуществляется не по формуле Товар - Товар, а с использованием денег: Товар — Деньги - Товар, то процесс купли-продажи распадается на два самостоятельных акта: продажу (Т-Д) и покупку (Д-Т). В этом случае никто не может гарантировать, что полученные продавцами денежные доходы будут тут же истрачены на приобретение соответствующих товаров, ожидающих реализации. Если какая-то часть денег не будет расходоваться на покупки, а станет сберегаться, то в экономике образуются товарные запасы, которые в конечном счете приведут к сокращению производства и установлению равновесия при неполной занятости.
Однако в классической модели общего экономического равновесия такой сценарий не предусматривался, поскольку ее авторы исходили из того, что деньги являются лишь инструментом обмена и хозяйствующие субъекты не стремятся обладать деньгами самими по себе. Ведь в их теории еще со времен А. Смита деньги в противоположность товарам не рассматривались в качестве богатства. Им отводилась лишь роль измерителя стоимости всех экономических благ и посредника при обмене одного блага на другое. Если хозяйствующие субъекты продают товары или услуги за деньги, то затем немедленно используют эти деньги для покупки других товаров и услуг. Они держат деньги только для обеспечения сделок, но не для того, чтобы использовать их как инструмент сохранения богатства. А это значит, что в классической макроэкономической модели равновесие складывается только на трех рынках: труда, капитала и благ. На этих рынках встречаются два макроэкономических субъекта: домашние хозяйства и предприниматели.
В результате такого подхода макроэкономика предстает в качестве двух независимых друг от друга секторов: реального и денежного. В этом суть классической дихотомии — системы функционирования двух параллельных рынков: одного — реального, второго — денежного, которые нейтральны по отношению друг к другу.
РЕАЛЬНЫЙ СЕКТОР — это совокупность рынков, на которых продаются и покупаются рабочая сила, инвестиционные ресурсы (машины, оборудование, сырье, материалы), а также потребительские товары и услуги. По мнению классиков, на рынке труда всегда достигается устойчивое равновесие за счет гибкости ставки денежной заработной платы w. Так, в случае превышения предложения труда над спросом на него происходит снижение ставки заработной платы до такого уровня, при котором домашние хозяйства полностью реализуют свои планы по продаже рабочей силы, а предприниматели — по ее покупке.
В отличие от Ж.-Б. Сэя, не учитывавшего возможность сбережения денег, его последователи вынуждены были признать эту функцию за деньгами. А. Маршалл, в частности, отмечал, что, "хотя люди обладают возможностью покупать, они могут и не пользоваться ею". Однако это признание вовсе не означало отрицания закона Сэя. Напротив, экономисты-неоклассики пришли к выводу, что закон Сэя будет выполняться и в этом случае, но лишь при условии, что сбережения будут использоваться в виде инвестиций (S = I). Это позволило им установить, что на рынке капитала выравнивание спроса и предложения происходит за счет гибкости процентной ставки i. Если объем сбережений (предложения капитала) отстает от объема планируемых инвестиций (спрос на дополнительный капитал), процентная ставка повышается, вследствие чего спрос на инвестиции уменьшается, а предложение сбережений увеличивается. В результате на рынке капитала при определенной равновесной процентной ставке установится равновесие.
Далее классики полагали, что достижение равновесия на рынках труда и капитала приведет в соответствии с законом Вальраса к тому, что и на рынке благ также установится равновесие. Суть в том, что, с одной стороны, доходы, полученные домашними хозяйствами от производства, будут распределены между рынком благ, где они приобретают потребительские товары и услуги, и рынком капитала, на котором будет предложена не потребленная ими часть дохода — сбережения. С другой стороны, произведенную продукцию, равную сумме всех факторных доходов домашних хозяйств, предприниматели продают на рынке благ домашним хозяйствам, удовлетворяя их потребительский спрос, и себе, удовлетворяя свой инвестиционный спрос: Y= С + I. Приравнивая доходы и расходы получаем равенство Если объем сбережений равен объему инвестиций, то на рынке потребительских товаров и услуг будет достигнуто равновесие.
Условия общего экономического равновесия в реальном секторе представляет в классической модели система трех уравнений:
Равновесное значение занятости: Ls
(w)=Ld
(w)
Равновесный доход: Y(L,K)=Yd
Равновесие на рынке капитала: S(i) =I(i)
Эта система позволяет определить равновесные значения занятости L*, ставки реальной заработной платы w*, процентной ставки i*, национального дохода Y*. При определении этих значений количество денег не играет никакой роли.
ДЕНЕЖНЫЙ СЕКТОР представлен рынком денег, на котором уравновешивается спрос на деньги с их предложением. Как уже отмечалось, деньги нужны хозяйствующим субъектам для осуществления рыночных сделок. Если количество денег в экономике возрастет, домашние хозяйства постараются обменять дополнительные деньги на товары и услуги и на ценные бумаги. Увеличение спроса на рынке ценных бумаг приведет к снижению процентной ставки, из-за чего уменьшится предложение труда, поскольку домашние хозяйства увеличат спрос на свободное время. В результате снизятся равновесный уровень занятости и объем выпуска, что приведет в конечном счете к росту общего уровня цен в экономике. Этот рост будет продолжаться до тех пор, пока количество денег на руках у хозяйствующих субъектов не установится на прежнем уровне. Вскоре после этого процентная ставка вернется к исходному значению, восстанавливая существовавшее ранее макроэкономическое равновесие при полной занятости.
Таким образом, в простейшей форме классическая модель подразумевает, что объем производства является функцией занятости ресурсов и технологии производства Y=f(L,K) Это значит, что деньги не имеют влияния на реальное производство, обладают свойством нейтральности по отношению к реальному сектору экономики. Они оказывают воздействие лишь на номинальные переменные — цены, процентные ставки, денежную заработную плату. Взаимодействуя с другом, денежный и товарный рынки приходят в соответствующее равновесие, которое поддерживается через автоматические стабилизаторы. Это дало основание экономистам-классикам, а затем и неоклассикам сделать вывод о нецелесообразности вмешательства государства в работу рыночного механизма с целью воздействовать на развитие экономической конъюнктуры.
Во второй половине XIX в. классическая экономическая теория была развита и усовершенствована представителями нескольких школ неоклассического направления. Обычно выделяют три школы: австрийскую (К. Менгер, Е. Бем-Баверк, Ф. Визер), лозаннскую (Л. Вальрас, В. Парето), англо-американскую (А. Маршалл, Дж. Кларк).
Представители австрийской школы ввели в экономический анализ субъективно-психологический подход, сыгравший огромную роль в дальнейшем развитии экономической теории, в том числе в разработке моделей макроэкономического равновесия.
Основное направление анализа лозаннской школы — исследование общего равновесия, которое охватывает все рынки и в рамках которого определяются все цены на товары и факторы производства, все объемы производства товаров и предложение факторов производства. Наиболее видный представитель этой школы Л. Вальрас, которого И. Шумпетер назвал "величайшим из всех экономистов", сформулировал закон, получивший его имя (закон Вальраса), согласно которому если при данных п рынках п - 1 рынков находятся в состоянии равновесия, то и последний рынок должен находиться в равновесии, поскольку не может существовать излишек спроса или предложения на товары (включая деньги).
Англо-американская школа состоит из двух самостоятельных школ. Наиболее значительной является, безусловно, английская школа, представленная А. Маршаллом. Фундаментальная идея работ А. Маршалла состоит в том, что спрос и предложение определяют равновесные рыночные цены. А. Маршалл дал критику и классической, и австрийской школ, утверждая, что обе они страдают односторонним взглядом на формирование цены. Он показал, что и полезность, которой первостепенное значение придавали австрийские экономисты, и издержки производства, находившиеся в центре внимания классической теории цены, играют важную роль в механизме рыночного ценообразования. В его модели цена товара определяется силами спроса и предложения, действующими как "два лезвия ножниц". За спросом стоит предельная полезность, определяющая цену спроса покупателей, а за предложением — предельные усилия и потери, определяющие цену предложения продавцов. При анализе издержек А. Маршалл разделял издержки производства" и издержки производства". Вторые он определял как антиполезность (тягость) труда и потери или ожидания, связанные с получением капитала.
А. Маршалл впервые ввел в экономическую науку понятие эластичности спроса для описания чувствительности спроса на товар к изменениям цены. Его заслугой было также выделение принципиально различных периодов времени, в течение которых действуют силы, стремящиеся установить равновесие: а) мгновенного (рыночного), 6) краткосрочного, в) долгосрочного, г) "очень длительного". Использование фактора времени в экономическом анализе имело и имеет принципиально важное значение для последующих поколений экономистов, исследовавших проблемы макроэкономического равновесия. Наконец, А. Маршалл четко сформулировал неоклассический принцип организации хозяйственной жизни: экономика должна развиваться вне политических влияний, вне государственного вмешательства. В дальнейшем его ученик Дж. Кейнс выступил с критикой этого принципа и показал его несостоятельность в новых исторических условиях.
Американская школа представлена в истории экономических учений прежде всего Дж. Кларком, которого иногда называют американским маржиналистом за самостоятельно разработанную теорию предельной производительности факторов и использование ее при исследовании распределения богатства в обществе. Согласно концепции Дж. Кларка, распределение общественного дохода регулируется "естественным законом", дающим представителям каждой из социальных групп в соответствии с "принципом справедливости". Годовой доход общества разделяется на три крупные доли: общую сумму заработной платы, общую сумму процентов, совокупную прибыль. Соответственно это доходы труда, доходы капитала и доходы организатора производства (предпринимателя).
В целом неоклассическую экономическую теорию характеризует использование предельного анализа для изучения ценообразования на товары, услуги и факторы производства на конкурентных рынках. Она подчеркивает, что рыночные цены товаров и факторов производства связаны с их редкостью. В частности, неоклассики исследовали возможность существования такого набора рыночных цен, который гарантировал бы равенство спроса и предложения на всех рынках. Центральной в неоклассической теории является идея находящейся в равновесии экономики совершенной конкуренции, которая была разработана в основном Л. Вальрасом. Отличительной чертой неоклассической теории является также микроэкономический подход к описанию экономики.
С конца 50-х гг. XX в. неоклассическая экономическая теория начинает приобретать современные формы. Первой из них стал монетаризм — система взглядов группы профессоров Чикагского университета во главе с М. Фридменом, в соответствии с которой объем национального продукта и уровень цен изменяются в зависимости от изменения предложения денег. Главной проблемой, волновавшей экономистов и политиков в тот период, была уже не безработица и обеспечение полной занятости, а усиливающаяся инфляция.
В 1970-е гг. в США возникло новое направление классической теории экономика предложения. Основными представителями данного направления являются A. Лаффер, P. Риган и М. Фелдстайн. Их работы вписываются в рамки идейных течений либерализма, в которых в противоположность кейнсианству не только отрицается необходимость активной роли государства в стабилизации макроэкономики, но и отдается явное предпочтение предложению как фактору экономического роста. С этой целью их рекомендации обычно сводятся к мерам по сокращению налогов и увеличению конкуренции на товарных рынках и рынках труда.
Как видим, основные идеи классической школы не стали исторической реликвией и широко используются в современных экономических исследованиях. Вместе с тем они подвергались и подвергаются серьезной критике, поскольку основываются на гипотезах, имеющих вполне очевидные пределы.
Во-первых, как показывает реальная действительность, восстановление равновесия при полном использовании ресурсов, осуществляемое с помощью механизма цен, не является ни автоматическим, ни мгновенным. Свободная мобильность факторов производства во многом сдерживается структурой современной экономики, контролем над рынками благ и производственных ресурсов со стороны монопольных и олигополистических компаний. В этих условиях регулирующая функция цен и их роль как инструмента ориентирования, стимулирования и выбора ставятся под большой вопрос.
Во-вторых, эффективность и надежность регулирующей роли системы цен могут быть слишком низкими и даже приближаться к нулю из-за неверных оценок спроса фирмами, особенно в секторах, где преобладают долгосрочные инвестиции. Таким образом, рыночный механизм оказывается слишком уязвимым способом координации поведения экономических субъектов перед лицом неопределенного будущего.
В-третьих, адаптация совокупного предложения, совокупного спроса и полного использования ресурсов, осуществляемая посредством механизма цен, связана с существованием совершенной конкуренции — идеального состояния, которого в реальной жизни по существу нет.
В-четвертых, система цен представляет собой отличный двигатель долгосрочного экономического роста, однако на коротких отрезках времени заработная плата, процентные ставки и товарные цены становятся малоподвижными, а значит, негодными для выполнения регулирующей макроэкономической роли
ГЛАВА 6. КЕЙНСИАНСКАЯ МОДЕЛЬ МАКРОЭКОНОМИЧЕСКОГО РАВНОВЕСИЯ
Первым и наиболее серьезным испытанием классической теории макроэкономического равновесия стал мировой экономический кризис 1929 1933 гг., называемый обычно в исторической литературе Великой депрессией. Он поразил прежде всего развитые страны, экономика которых на протяжении четырех долгих лет была охвачена катастрофической безработицей, спадом производства, сокращением деловой активности. В США, например, за этот период ВНП сократился более чем на 30%, безработица выросла с 3 до 25% и вплоть до 1940 г. держалась в среднем на уровне 19%. Чистые инвестиции с 1931 по 1935 г. были отрицательными.
Какое-то время правительства западных стран практически бездействовали, полагаясь на заверения сторонников традиционной экономической теории в том, что рыночная система сама придет в равновесие за счет внутренних резервов устойчивости. Однако национальные экономики стран, охваченных кризисом, продолжали функционировать при низком уровне занятости, не подавая сколько-нибудь существенных признаков оживления. Длительное падение цен (индекс потребительских цен в США за период с 1929 по 1933 г. снизился на 25%) так и не привело к ликвидации избыточного предложения товаров, так как спрос падал еще быстрее. Таким образом, Великая депрессия опровергла классическое положение об определении спроса на товары их предложением и привела к появлению другого вывода — о том, что расходы определяют производство и что свободная рыночная экономика в силу внутренне присущих ей законов воспроизводит нехватку совокупного спроса по сравнению с совокупным предложением.
Первым человеком, сумевшим яснее других рассмотреть и описать новый облик экономики, выявить закономерности ее функционирования и предложить рецепты для вывода ее из кризиса, стал английский экономист Дж. Кейнс – самая яркая и значимая фигура в истории экономической мысли XX в. Его знаменитая книга "Общая теория занятости, процента и денег", вышедшая в 1936 г., произвела подлинный переворот в экономическом мышлении.
Дж. Кейнс не только четко выделил круг специфических макроэкономических проблем, заложил основы методологии и методики их анализа, сформулировал принципы активной экономической политики государства, но и показал, что исследования экономического поведения могут измеряться и проверяться, а значит, носить эконометрический характер.
Один из фундаментальных выводов, к которым пришел Дж. Кейнс в ходе анализа, заключался в том, что рыночный механизм сам по себе не в состоянии установить равновесие на уровне полной занятости. С точки зрения Дж. Кейнса общее равновесие не является Парето-оптимальным так как может достигаться и в кризисном состоянии экономики, при значительной безработице. Более того, производство на уровне потенциальных возможностей для нерегулируемой рыночной экономики скорее исключение, чем правило.
Расхождения во взглядах Дж. Кейнса и его предшественников в оценке эффективности функционирования рыночного механизма – следствие использования разных методологий экономического анализа. Методология кейнсианской теории отличается от классической следующими особенностями:
а) агрегатным подходом к экономическому анализу;
б) акцентом на несовершенства в действии рыночного механизма (власть монополий, административное установление цен, осуществление сделок на основе долгосрочных договоров, неопределенность будущего);
в) рассмотрением экономической конъюнктуры, создаваемой рыночным механизмом, в коротком, а не в длительном (как у классиков) периоде;
г) особым вниманием роли денег в экономической системе.
Кейнсианская функция совокупного спроса определяется как сумма планируемых домашними хозяйствами и фирмами расходов на товары, услуги и факторы производства для каждого из уровней совокупного дохода страны.
Данное определение существенно отличается от того, которое было дано в первой главе данного исследования. Там совокупный спрос был представлен в виде кривой, показывающей, какой объем национального производства домашние хозяйства и фирмы готовы купить при различных уровнях цен. Такая трактовка базируется на классическом понимании экономики, в которой господствует гибкое ценообразование и уровень цен может принимать любые значения. Кейнсианская же модель описывает экономику в краткосрочном периоде, для которого характерны жесткие цены, и поэтому здесь совокупный спрос интерпретируется по-иному.
Из сказанного следует, что при описании механизма взаимодействия спроса и предложения в кейнсианской модели традиционный график AD-AS, в котором по вертикальной оси откладывался уровень цен, а по горизонтальной объем национального производства, использоваться не может.
Жесткость цен в экономике означает, что уравновешивание спроса и предложения происходит не за счет изменения уровня цен, а за счет того, что объемы продаж и изменение величины запасов дают фирмам информацию о том, что и сколько хотят иметь покупатели. Модель AD-AS, таким образом, может только обозначить равновесный объем производства, но не может показать, как это равновесие достигается. Поэтому для описания равновесия в экономике с жесткими ценами необходимо построить график, отражающий зависимость величины спроса и предложения от объема национального дохода. Такой график носит название "кейнсианский крест" и представляет собой интерпретацию модели совокупного спроса – совокупного предложения в условиях жесткого ценообразования (рис.8).

Рис. 8 – Определение равновесного объема выпуска
На рис. 8 по горизонтальной оси отражается национальный доход Y, совпадающий по величине с объемом национального выпуска, а по вертикальной — объем совокупного спроса.
Поскольку совокупный спрос равняется сумме спроса на потребительские и инвестиционные товары, то в графическом изображении он может быть представлен суммированием графиков потребления и инвестиций при каждом уровне дохода.
Совокупное предложение на графике отразить значительно проще: объем национального дохода равен величине национального продукта, который, в свою очередь, составляет весь объем предложения в экономике. Это значит, что кривая совокупного предложения начинается с нуля и направлена по прямой вверх под углом 45°, т. е. по биссектрисе. Следовательно, если национальный доход равен 1000 единиц, то и совокупное предложение должно быть равно 1000 единиц.
Если совместить обе кривые на одном графике, то можно найти точку, в которой объем совокупного спроса равен объему совокупного предложения. На рис. 8 равновесный выпуск представлен точкой Е, в которой уровень доходов равен совокупным расходам. В этой точке национальный выпуск составляет 1000 единиц, что соответствует такому же уровню доходов. В свою очередь, при уровне доходов единиц спрос на товары и услуги также составляет 1000 единиц, о чем свидетельствует линия AD, представляющая на графике пока лишь потребительские расходы С.
Таким образом, в точке Е количество предлагаемых товаров равно величине спроса на них при существующем уровне цен. Данная точка характеризует равновесие в кейнсианской модели, под которым понимается такое состояние в экономике, когда в ней отсутствуют тенденции к дальнейшим изменениям. Это значит, что национальная экономика будет находиться в равновесии только в том случае, если совокупный спрос будет равен произведенному национальному доходу (совокупному предложению).
При любом другом уровне выпуска, отличном от объем производства не совпадает с величиной совокупного спроса. Например, если объем производства составит 500 единиц, то величина совокупного спроса будет превосходить этот объем, т. е. будет наблюдаться избыток совокупного спроса (AD > AS). Подобная картина будет характерна для любого уровня выпуска ниже 1000 единиц.
В данном случае будет наблюдаться явление, которому Дж. Кейнс дал название разрыв инфляции. Слово "разрыв" в этом термине означает, что если фактический объем производства не совпадает с равновесным объемом, то в такой экономике образуется разрыв между спросом и предложением.
Иная картина будет наблюдаться, если фактический объем производства окажется выше равновесного. В этом случае в экономике будет иметь место избыток предложения товаров и услуг над совокупным спросом (AS>AD). В частности, при выпуске 1500 единиц совокупный спрос составит 1250 единиц. Данное явление Дж. Кейнс назвал разрывом безработицы.
Как экономика приходит к состоянию равновесия в случае его нарушения? В классической модели таким инструментом является механизм гибких цен. В кейнсианской модели объем производства управляется спросом. В случае превышения совокупного спроса над совокупным предложением (AD>AS) фирмы увеличат занятость и уровень производства до существующего уровня спроса. В обратной ситуации (когда AS> AD) произойдет сокращение объемов выпуска продукции до уровня имеющегося совокупного спроса.
Таким образом, анализ "кейнсианского креста" показывает, что общее равновесие в экономике, устанавливаемое описанным способом, вовсе не обязательно соответствует такому уровню национального дохода, который позволяет обеспечить полную занятость. Равновесный объем национального дохода в кейнсианской модели определяется склонностью людей к потреблению, сбережению и инвестированию. При низкой склонности к потреблению и инвестированию равновесный объем производства может оказаться ниже потенциального (достигаемого при полном использовании ресурсов).
Недостаток такого состояния в том, что у экономики нет каких-либо движущих сил, способных вывести ее на уровень полной занятости. В частности, у фирм нет никаких стимулов загружать простаивающие производственные мощности и нанимать безработных, чтобы расширить производство, поскольку они будут не в состоянии продать произведенный объем продукции. При жестком уровне цен расширение выпуска будет упираться в дефицит совокупного спроса.
Таким образом, суть кейнсианского анализа состоит в том, что экономика, предоставленная сама себе и функционирующая по принципу "невидимой руки", весьма вероятно, может попасть в ситуацию либо инфляции, либо безработицы. Оказавшись в таком положении, она не в состоянии своими силами прийти в равновесие, поскольку в хозяйственной системе с жесткими ценами отсутствует внутренний механизм, обеспечивающий автоматическое уравновешивание совокупного спроса и совокупного предложения на уровне полной занятости. Во времена классиков такой механизм существовал, это была система гибких цен, прежде всего гибкой заработной платы. Если в экономике возникала безработица, заработная плата понижалась и спрос на труд повышался до тех пор, пока все желающие работать не находили себе соответствующие рабочие места. Однако к 1930 гг. на рынке труда существенно возросли роль и влияние профсоюзов, которые сумели значительно ограничить возможности предпринимателей в понижении цены труда. Поэтому экономика этого периода, придя в состояние равновесия при неполной занятости, может находиться в нем сколь угодно долго, не обнаруживая ни малейшей тенденции вовлечь в производство неиспользованные ресурсы, в первую очередь свободную рабочую силу. Неполная занятость приобретает устойчивый характер.
Великая депрессия 1929-1933 гг. явилась убедительным свидетельством правильности теоретических выводов Дж. Кейнса. Все надежды на способность конкурентной экономической системы справиться с глобальным кризисом, поразившим все высокоразвитые страны, оказались тщетными. Экономика продолжала функционировать при низком уровне занятости, не подавая никаких признаков к оживлению. Вывести ее из затяжной стагнации могло, по мнению Дж. Кейнса, лишь государство. Только увеличение государственных расходов способно компенсировать нехватку совокупного спроса, образовавшуюся в результате низких потребительских расходов и отсутствия стимулов к инвестированию у частных фирм, и обеспечить экономическое равновесие при полной занятости ресурсов.
Таким образом, в ходе исследования было установлено, что совокупный спрос характеризует желание и возможность населения, фирм, государства и заграницы приобрести определенный объем товаров и услуг при сложившемся уровне цен. Совокупный спрос в отличие от рыночного спроса является более сложной категорией и в масштабах общества складывается из четырех основных компонентов: спрос на товары и услуги, инвестиционный спрос фирм, государственные закупки, чистый экспорт.
Совокупное предложение является второй важной составляющей единого рынка и представляет собой величину реально производимого продукта всеми производителями в экономической системе при определенном уровне цен.
Пересечение кривых совокупного предложения и совокупного спроса AS и AD определяет равновесный объем выпуска и уровень цен в экономике.
На рост или падение производства, занятости и доходов значительное влияние оказывают инвестиции, которые представляют собой использование сбережений для создания новых производственных мощностей и других физических (реальных) активов.
Были исследованы два теоретических подхода к характеристике равновесия между совокупным спросом и совокупным предложением: классический и кейнсианский. Исходными постулатами макроэкономической модели классической школы являются положение о том, что производство определяет расходы (закон рынков Сэя), принципы классической дихотомии и саморегулирования рынка.
Основой кейнсианского подхода являлось утверждение о том, что рыночный механизм сам по себе не в состоянии установить равновесие на уровне полной занятости. Для описания макроэкономического равновесия Дж. Кейнсом была разработана модель в жестких ценах, которая получила названия «крест Кейнса».
1. Агапова Т. А. Макроэкономика для преподавателей: Учеб. -метод. пособие . - М.: Дело и сервис, 2003. – 560 с.
2. Агапова Т. А. Макроэкономика. - Москва: Дело и сервис, 2004. - 447 с.
3. Базылев Н. И. Макроэкономика: учебное пособие для экономических специальностей. - Москва: Инфра- М, 2004. – 188с.
4. Бондарь А.В. Макроэкономика: учебное пособие. – Минск: БГЭУ, 2007. – 415 с.
5. Войтов А. Г. Экономика: Учеб. фундам. теории экономики: Общ. курс. М.: Дашков и К, 2004. – 598 с.
6. Ивашковский С.Н. Макроэкономика. - Москва: Дело, 2002. – 473 с.
7. Иохин В.Я. Экономическая теория: Учебник: Для вузов по специальности "Финансы и кредит". - М.: Юристъ, 2004. - 861 с.
8. Кажуро Н. Я. Макроэкономическая нестабильность: экономические циклы, инфляция, безработица. - Минск: ФУАинформ, 2004. - 207 с.
9. Кравцова Г.И. Деньги, кредит, банки: учебник для высших учебных заведений. – Минск, 2003. - 576 с.
10. Курс экономической теории. Общие основы экономической теории, микроэкономика, макроэкономика, переходная экономика: Учеб. пособ. / Под. ред. д.э.н., проф. А.В. Сидоровича; МГУ им. М.В. Ломоносова. – 2-е изд., перераб. и доп. – М., 2001.
11. Макконнелл К.Р. Экономикс: Принципы, проблемы и политика: В 2 т.: Пер. с англ. Т.2 / К.Р. Макконнелл, С. Л. Брю. - М.: Туран, 1996. - 400 с.
12. Макроэкономика: Учебн. Пособие / под общ. Ред. Э. Л. Лутохиной. – Мн.: ОДО «Равноденствие», 2004. – 296 с.
13. Мамедов О.Ю. Современная экономика. - М.: Феникс., 1996. – 567 с.
14. Мэнкью Н.Грегори. Принципы экономикс: Пер. с англ. - СПб. и др.: Питер: Питер принт, 2003. - 623 с.
15. Сакс Дж., Ларрен, Ф. Макроэкономика: глобальный подход. М., 1996. С. 566.
16. Самуэльсон П., Нордхаус, У. Экономика. 15-е изд. М., 1997. – 595 с.
17. Селищев А.С. Макроэкономика 3-е издание. Открытая экономика, причины экономического роста, динамика рынков. - М.: 2005. – 380 с.
18. Спиридонов И. А. Мировая экономика: учебное пособие по специальности "Финансы и кредит". - Москва: Инфра-М, 2006. – 271 с.
19. Тарасевич Л. С. Макроэкономика: Учеб. для вузов по экон. специальностям. - М.: Юрайт-издат, 2003. - 652 с.
20. Хаберлер Г. Процветание и депрессия. М., I960. – 560 с.
21. Халевинская Е.Д. Мировая экономика и международные экономические отношения: учебник: для высших учебных. - Москва: Экономистъ, 2004. - 303 с.
|