| Основная модель
В работе Sachs, J. D. and Warner, A. M. 1995, Natural Resource Abundance and Economic Growth, NBER Working Paper 5398 приводится модель, описывающая средний темп прироста ВВП y(T).
Z – список факторов, влияющих на темп прироста. Заметим, что если коэффициент , то подтверждается гипотеза сходимости.
Гипотеза о сходимости, или конвергенции (convergence hypothesis), состоит в том, что темпы экономического роста более бедных стран в среднем превышают темпы роста в более богатых странах, а по мере накопления богатства и роста доходов экономический рост замедляется.
На сегодняшний день в экономической литературе различают три варианта этой гипотезы:
· Гипотеза об абсолютной сходимости (сходимость имеет место вне зависимости от различий в структурных характеристиках экономики разных стран);
· Гипотеза об условной сходимости (сходимость имеет место лишь внутри групп стран с близкими структурными характеристиками экономики, такими, как уровень развития технологий, степень инвестиционной активности, параметры экономической политики государства);
· Гипотеза о клубной сходимости (сходимость имеет место лишь внутри групп стран, которые не только обладают схожими структурными характеристиками экономики, но и находятся в близких стартовых условиях).
В работе мы не только исследуем сходимость валового регионального продукта, но и изучим влияние коррупции на темп роста региона.
Данные взяты из сборника «Регионы России», а интегральный индекс коррупции (выступает в качестве Z) с сайта Центр антикоррупционных исследований и инициатив «Трансперенси Интернешнл - Р» http://transparency.org.ru/proj_index.asp
Приведем данные:
| Имя переменной
|
log(y(T)/y(0))
|
log(y(0))
|
коррупция
|
| |
|
|
|
| Адыгея
|
0,203407107
|
8,89830288
|
0,49365898
|
| Алтай
|
0,173948271
|
9,01211627
|
0,57662303
|
| Алтайский край
|
0,451696249
|
9,1226337
|
0,22590468
|
| Амурская область
|
0,516847449
|
9,74525709
|
0,19864916
|
| Архангельская область
|
0,840686605
|
9,63816765
|
0,12735726
|
| Астраханская область
|
0,372471779
|
9,37439765
|
0,27220143
|
| Башкортостан
|
-0,107295884
|
9,73752588
|
0,93307516
|
| Белгородская область
|
0,119072157
|
9,43049207
|
0,84101762
|
| Брянская область
|
0,420149953
|
9,00376848
|
0,24221176
|
| Бурятия
|
0,564057665
|
9,36383944
Забиваем Сайты В ТОП КУВАЛДОЙ - Уникальные возможности от SeoHammer
Каждая ссылка анализируется по трем пакетам оценки: SEO, Трафик и SMM.
SeoHammer делает продвижение сайта прозрачным и простым занятием.
Ссылки, вечные ссылки, статьи, упоминания, пресс-релизы - используйте по максимуму потенциал SeoHammer для продвижения вашего сайта.
Что умеет делать SeoHammer
— Продвижение в один клик, интеллектуальный подбор запросов, покупка самых лучших ссылок с высокой степенью качества у лучших бирж ссылок.
— Регулярная проверка качества ссылок по более чем 100 показателям и ежедневный пересчет показателей качества проекта.
— Все известные форматы ссылок: арендные ссылки, вечные ссылки, публикации (упоминания, мнения, отзывы, статьи, пресс-релизы).
— SeoHammer покажет, где рост или падение, а также запросы, на которые нужно обратить внимание.
SeoHammer еще предоставляет технологию Буст, она ускоряет продвижение в десятки раз,
а первые результаты появляются уже в течение первых 7 дней.
Зарегистрироваться и Начать продвижение
|
0,18292741
|
| Владимирская область
|
0,488004776
|
9,28139834
|
0,20979608
|
| Волгоградская область
|
0,246696373
|
9,33670896
|
0,40782355
|
| Вологодская область
|
0,236232799
|
9,90124062
|
0,42567357
|
| Воронежская область
|
0,481458828
|
9,16530073
|
0,21251667
|
| Дагестан
|
0,582839647
|
8,23053496
|
0,17740217
|
| Еврейская автоном. обл.
|
0,98508252
|
9,0238977
|
0,11136516
|
| Ивановская область
|
0,559396963
|
8,86948541
|
0,1843579
|
| Иркутская область
|
0,283037422
|
9,80892534
|
0,35614055
|
| Кабардино-Балкария
|
0,392192135
|
9,02152902
|
0,25889899
|
| Калининградская область
|
0,950503214
|
8,8977674
|
0,11471246
|
| Калмыкия
|
0,570266223
|
8,82963961
|
0,18105936
|
| Калужская область
|
0,696184588
|
9,18168971
|
0,15060191
|
| Камчатская область
|
0,04891652
|
9,90750487
|
0,99342342
|
| Карачаево-Черкес.респ.
|
0,638094256
|
8,7520358
|
0,1630976
|
| Карелия
|
0,418199204
|
9,44360952
|
0,24330249
|
| Кемеровская область
|
0,15408498
|
9,8088314
|
0,65053337
|
| Кировская область
|
0,378572301
|
9,18873086
|
0,26793606
|
| Коми
|
0,390776673
|
10,2943259
|
0,2598084
|
| Костромская область
|
0,259186107
|
9,44632116
|
0,38841501
|
| Краснодарский край
|
0,510091377
|
9,2639675
|
0,20114422
|
| Красноярский край
|
0,271320777
|
9,8768795
|
0,37128063
|
| Курганская область
|
0,473480383
|
9,20061681
|
0,2159368
|
| Курская область
|
0,361964027
|
9,51486325
|
0,27989019
|
| Ленинградская область
|
0,780107421
|
9,42787411
|
0,13598855
|
| Липецкая область
|
0,484878317
|
9,40875906
|
0,21108609
|
| Магаданская область
|
0,712575931
|
9,80055258
|
0,14746168
|
| Мари Эл
|
0,460091346
|
9,01510377
|
0,22194906
|
| Мордовия
|
0,780263262
|
9,26406444
|
0,1359645
|
| Московская область
|
0,386435336
|
9,44060616
|
0,26263986
|
| Мурманская область
|
0,028072612
|
9,92913247
|
3,56247156
|
| Нижегородская область
|
0,529810156
|
9,52620778
|
0,19404496
|
| Новгородская область
|
0,449196064
|
9,43804823
|
0,2271119
|
| Новосибирская область
|
0,537684023
|
9,51143299
|
0,19135968
|
| Омская область
|
0,386497401
|
9,49058632
|
0,26259893
|
| Оренбургская область
|
-0,050835994
|
9,64517672
|
0,23423445
|
| Орловская область
|
0,526938418
|
9,25616902
|
0,19504488
|
| Пензенская область
|
0,468934842
|
8,98787742
|
0,21793859
|
| Пермская область
|
0,178138101
|
9,82992875
|
0,5631436
|
| Приморский край
|
0,384830883
|
9,61453634
|
0,26370271
|
| Псковская область
|
0,707557011
|
9,02808287
|
0,14840694
|
| Ростовская область
|
0,511527425
|
9,1379751
|
0,20060821
|
| Рязанская область
|
0,389021963
|
9,35677867
|
0,26094512
|
| Самарская область
|
0,329970633
|
9,97753876
|
0,30635698
|
| Санкт-Петербург
|
0,709662284
|
9,70857003
|
0,14800872
|
| Саратовская область
|
0,328214477
|
9,34894737
|
0,30796097
|
| Саха
|
0,187846234
|
10,3509845
|
0,53422877
|
| Сахалинская область
|
0,788208493
|
10,1259277
|
0,13475207
|
| Свердловская область
|
0,288885894
|
9,74286974
|
0,34904629
|
| Северная Осетия
|
0,449715595
|
8,78286106
|
0,22685991
|
| Смоленская область
|
0,45777103
|
9,30771186
|
0,22302753
|
| Ставропольский край
|
0,185877727
Сервис онлайн-записи на собственном Telegram-боте
Попробуйте сервис онлайн-записи VisitTime на основе вашего собственного Telegram-бота:
— Разгрузит мастера, специалиста или компанию;
— Позволит гибко управлять расписанием и загрузкой;
— Разошлет оповещения о новых услугах или акциях;
— Позволит принять оплату на карту/кошелек/счет;
— Позволит записываться на групповые и персональные посещения;
— Поможет получить от клиента отзывы о визите к вам;
— Включает в себя сервис чаевых.
Для новых пользователей первый месяц бесплатно.
Зарегистрироваться в сервисе
|
9,41061099
|
0,53984685
|
| Тамбовская область
|
0,693396677
|
9,03404403
|
0,15115156
|
| Татарстан
|
0,15143613
|
9,98844537
|
0,66185876
|
| Тверская область
|
0,422025914
|
9,45540646
|
0,24117253
|
| Томская область
|
-0,032709113
|
10,1841617
|
0,45923487
|
| Тульская область
|
0,352801397
|
9,31858094
|
0,2869736
|
| Тыва
|
0,341949695
|
8,87734274
|
0,29586017
|
| Удмуртия
|
0,362978838
|
9,48746524
|
0,27912794
|
| Ульяновская область
|
0,2658767
|
9,37126259
|
0,37877296
|
| Хабаровский край
|
0,260657018
|
10,0134627
|
0,38625248
|
| Хакасия
|
0,602873791
|
9,40701441
|
0,17190093
|
| Челябинская область
|
0,304423091
|
9,43076809
|
0,33153442
|
| Читинская область
|
0,402848653
|
9,44464698
|
0,25226067
|
| Чувашия
|
0,40713019
|
9,03041761
|
0,24969298
|
| Ярославская область
|
0,55890619
|
9,60728337
|
0,18450996
|
Построим множественную регрессию.
Приведем массив данных










































































Матрица X будет иметь вид:
| 1
|
log(y(0))
|
коррупция
|
| 1
|
8.89830288225121
|
0.493658978257461
|
| 1
|
9.01211627486857
|
0.576623033949576
|
| 1
|
9.12263369956126
|
0.22590467675549
|
| 1
|
9.74525708686871
|
0.198649162439613
|
| 1
|
9.63816764948843
|
0.127357256559093
|
| 1
|
9.37439765232751
|
0.272201433627398
|
| 1
|
9.73752587538383
|
0.933075159857029
|
| 1
|
9.43049206825857
|
0.841017619169564
|
| 1
|
9.00376848353228
|
0.242211760622789
|
| 1
|
9.36383944005952
|
0.182927414994572
|
| 1
|
9.28139833602837
|
0.209796075023412
|
| 1
|
9.33670896432139
|
0.407823552129947
|
| 1
|
9.90124061725529
|
0.425673571878974
|
……… …………………… …………………..
Для регрессии вида 
найдем коэффициенты

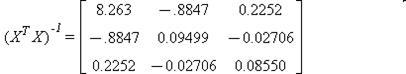
Найдем обратную матрицу 
Дополнительные миноры







Их определители
 
 
 
 
 
Союзная матрица

Союзная транспонированная матрица

Делим каждый элемент на определитель, получаем 

Найдем


Уравнение регрессии имеет вид

Нарисуем график

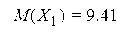
Среднее значение регрессоров и Y



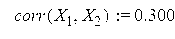
Парные коэффициенты корреляции






Частные коэффициенты корреляции






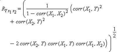
Множественный коэффициент корреляции 

или

Ошибка множественного коэффициента корреляции


Коэффициент детерминации


Скорректированный 


Вывод: Коэффициент при индексе коррупции оказался значимым и отрицательным. Значит, коррупция отрицательно сказывается на темпе роста региона России. Видим и замедление развития регионов, т.к. регионы с большим ВРП развиваются медленнее.
|