| Інноваційна діяльність підприємств: стан, проблеми й ефективність здійснення
Зміст
Вступ
1. Огляд літератури
1.1 Активізація інноваційної діяльності промислових підприємств
Розділ 2. Організаційно-економічна характеристика підприємства
2.1 Концентрація та спеціалізація виробництва
2.2 Забезпеченість та ефективність використання ресурсного потенціалу підприємства
2.2.1 Забезпеченість та ефективність використання активів підприємства
2.3 Забезпеченість та ефективність використання енергетичних потужностей та ресурсів
2.4 Забезпеченість та ефективність використання персоналу
Розділ 3. Економічна ефективність діяльності підприємства
3.1 Операційні витрати та собівартість продукції
3.2 Ефективність використання капітальних інвестицій підприємства
3.3 Фінансовий стан підприємства
Розділ 4. Економічна безпека діяльності підприємства
4.1 Визначення беззбиткового обсягу реалізації продукції та зони економічної безпеки підприємства
Висновок
Список використаної літератури
У сучасних умовах вплив зовнішнього економічного середовища для більшості підприємств має нерідко негативний характер. При цьому зміст та інтенсивність розвитку зовнішнього економічного середовища, як правило, не підлягає безпосередньому регулюванню з боку підприємств.
Після проголошення курсу на розвиток інноваційної економіки, що підтверджено відповідними указами Президента і постановами уряду у рамках виконання цього завдання передбачено не менш як 25% коштів, отриманих від приватизації державного майна, спрямовувати на інноваційне інвестування державних підприємств і окремих господарських товариств.
З теоретичної точки зору, для вирішення питання активізації інноваційної діяльності промислових підприємств на мікрорівні треба створити відповідне економіко-правове середовище, яке б стимулювало товаровиробника впроваджувати науково-технічні розробки й інновації. Отже, треба застосовувати механізми активного державного регулювання.
При реалізації інвестиційно-інноваційних програм абсолютні обсяги фіксованих витрат у зіставленні з базовим варіантом діяльності підприємства зростатимуть. Зауважимо, що в окремих випадках може збільшуватися і питома вага фіксованих витрат у структурі собівартості одиниці продукції.
Забиваем Сайты В ТОП КУВАЛДОЙ - Уникальные возможности от SeoHammer
Каждая ссылка анализируется по трем пакетам оценки: SEO, Трафик и SMM.
SeoHammer делает продвижение сайта прозрачным и простым занятием.
Ссылки, вечные ссылки, статьи, упоминания, пресс-релизы - используйте по максимуму потенциал SeoHammer для продвижения вашего сайта.
Что умеет делать SeoHammer
— Продвижение в один клик, интеллектуальный подбор запросов, покупка самых лучших ссылок с высокой степенью качества у лучших бирж ссылок.
— Регулярная проверка качества ссылок по более чем 100 показателям и ежедневный пересчет показателей качества проекта.
— Все известные форматы ссылок: арендные ссылки, вечные ссылки, публикации (упоминания, мнения, отзывы, статьи, пресс-релизы).
— SeoHammer покажет, где рост или падение, а также запросы, на которые нужно обратить внимание.
SeoHammer еще предоставляет технологию Буст, она ускоряет продвижение в десятки раз,
а первые результаты появляются уже в течение первых 7 дней.
Зарегистрироваться и Начать продвижение
І все-таки система державного управління інноваційною діяльністю ще недосконала і досі перебуває у стадії формування. Функції управління наукою здійснює Міністерство освіти і науки України, наукові й науково-прикладні дослідження проводять установи НАН України та галузеві науково-дослідні й проектні інститути, а впровадженням у виробництво займаються Міністерство промислової політики та галузеві відомства. Діє і корпоративна (або заводська) наука. З метою координації розв'язання проблеми науково-практичного й інноваційного забезпечення економіки була утворена Рада з питань науки та науково-технічної політики, але цей орган виконує дорадчі функції і не має владних повноважень. Єдиним органом, який комплексно вивчає стан розвитку науково-технічної та інноваційної діяльності в Україні, є Державний комітет статистики.
За ринкової орієнтації підприємств мету їх розвитку визначають обсяги продажу продукції та очікуваного прибутку. Досягнення необхідного рівня цих показників значною мірою залежить від якісних характеристик продукції та сучасного рівня цін. За умови гострої конкуренції на ринку товарів слід, на нашу думку, забезпечити суттєве поліпшення якісних характеристик продукції і відносним зниженням цін на неї. При цьому якість продукції і виробничі витрати на її виготовлення визначаються здебільшого технічним рівнем основних виробничих фондів підприємства й прогресивністю застосовуваних технологій. І все ж досі для багатьох підприємств різних форм власності характерні досить високі обсяги витрат на виготовлення продукції і недостатній рівень якості [12].
У більшості випадків це пов'язане із низьким рівнем технічної бази виробництва, потенціал якої практично вичерпаний. У зв'язку з цим зростає актуальність оновлення технічної бази виробництва за рахунок умілої реалізації інвестиційно-інноваційних програм. Правильна організація інвестиційної діяльності дає можливість підприємствам у режимі запобігання виникненню проблем і своєчасного їх розв'язання забезпечувати поліпшення якості продукції, послідовне зменшення витрат на її виготовлення, збільшення обсягів грошових надходжень від операційної діяльності й на цій основі постійно підтримувати необхідний рівень фінансово-економічного стану.
Кандидат економічних наук Яковець Ю.В. зазначає, що інвестиційно-інноваційні програми, ґрунтуючись на загальних принципах циклічного розвитку науково-технічного прогресу [18], визначають об'єктивну потребу зміни поколінь техніки і технологій; розглядають можливі альтернативні варіанти впровадження науково-технічних нововведень; оцінюють вартість необхідного рівня ефективності й термінів їхнього впровадження. Безперервний процес реалізації інвестиційно-інноваційних програм, зрозуміло, передбачає вкладення значних ресурсів і в удосконалення загальної і професійної освіти, проведення фундаментальних і прикладних наукових досліджень, формування нової, досконалішої науково-технічної бази виробництва, впровадження техніко-технологічних нововведень.
Сервис онлайн-записи на собственном Telegram-боте
Попробуйте сервис онлайн-записи VisitTime на основе вашего собственного Telegram-бота:
— Разгрузит мастера, специалиста или компанию;
— Позволит гибко управлять расписанием и загрузкой;
— Разошлет оповещения о новых услугах или акциях;
— Позволит принять оплату на карту/кошелек/счет;
— Позволит записываться на групповые и персональные посещения;
— Поможет получить от клиента отзывы о визите к вам;
— Включает в себя сервис чаевых.
Для новых пользователей первый месяц бесплатно.
Зарегистрироваться в сервисе
Інвестиційно-інноваційні програми - це довготривалі за часом і досить високовартісні заходи економічної діяльності. Рішення щодо їх практичної реалізації стратегічні за змістом і потребують всебічного й детального теоретичного обґрунтування. Результати впровадження інвестиційно-інноваційних програм мають забезпечувати значне підвищення рівня фінансової ефективності функціонування підприємства.
Бінкін Б.А. вважає, що відповідно до закономірностей ефективного розвитку виробничих систем реалізація інвестиційно-інноваційних програм має забезпечувати випереджувальне зростання фінансових результатів порівняно зі збільшенням ресурсів і витрат [3].
Як уже зазначалося, при реалізації інвестиційно-інноваційних програм може зростати технічний рівень виробництва, збільшуватися вартість основних виробничих фондів і відповідно збільшуватися частка витрат у структурі сумарних операційних витрат [5]. При цьому питома вага сумарних операційних витрат у розрахунку на одиницю (1 грн.) продукції має зменшуватися щодо базового рівня діяльності підприємства. У зв'язку з цим при проведенні попередніх, прогнозно-діагностичних оцінок рівня економічної ефективності інвестиційно-інноваційних програм, Твісс зазначив, що можуть бути використані прийоми фінансового аналізу, відомого під назвою "витрати-обсяги-прибуток" [15].
Сутність цього аналізу полягає у розкритті показників порогу рентабельності, запасу фінансової стійкості, маржинального доходу, операційного важеля. Зазначені показники дають змогу обґрунтувати можливі обсяги надходження прибутку залежно від структури операційних витрат і обсягів продажу продукції та розраховуються як аналітичним, так і графічним способами. У межах стандартних прийомів аналізу "витрати-обсяги-прибуток", за визначенням Стоянова Є.С., операційні витрати підприємства групуються на фіксовані й змінні, тобто на такі, що не залежать і залежать від обсягів виробництва та реалізації продукції. До фіксованих належать насамперед витрати, пов'язані з амортизацією основних засобів і менеджментом підприємств. Змінними є витрати на сировину, матеріали, енергоресурси й зарплату виробничому персоналу [14].
При реалізації інвестиційно-інноваційних програм абсолютні обсяги фіксованих витрат у зіставленні з базовим варіантом діяльності підприємства зростатимуть. Зауважимо, що в окремих випадках може збільшуватися і питома вага фіксованих витрат у структурі собівартості одиниці продукції. Частка змінних витрат при цьому має зменшуватися таким чином, щоб сумарні операційні витрати у розрахунку на 1 грн. реалізованої продукції були меншими, ніж у базовому варіанті (до реалізації інвестиційно-інноваційної програми) [12]. Це положення обов'язкове за очікуваних наслідків упровадження технічних нововведень у процесі інвестиційної діяльності підприємства.

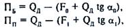
Рис.1. Залежність фінансових результатів від структури витрат.
На рис.1. з урахуванням вищевикладених теоретичних засад наведено залежності окреслених показників діяльності підприємства до і після впровадження інвестиційно-інноваційної програми. Базовий стан діяльності підприємства (до впровадження інвестиційно-інноваційної програми) характеризують показники: QД
- обсяги продажу продукції; F0
- обсяги фіксованих витрат; tg α0
- питома вага змінних витрат у розрахунку на 1 грн. реалізованої продукції; QД
tg α0
- сума змінних витрат; QР
Б
- поріг рентабельності діяльності підприємства; ЗФСБ
- запас фінансової стійкості підприємства. Відповідно після впровадження інвестиційно-інноваційної програми фінансовий стан підприємства характеризують показники: QД
, F1
, tgα1
, QД
tg α1
, QР
Б
, ЗФСБ
.
У наведеному на рисунку варіанті для забезпечення порівняльності результатів аналітичних розрахунків обсяги продажу до і після впровадження інвестиційної програми прийняті на одному рівні. Це може бути високотехнічний варіант інвестицій у виробництво продукції з обмеженим ринком її збуту. Здебільшого реальна господарська практика впровадження технічних нововведень пов'язана зі значним, помітним зростанням обсягів виробництва і реалізації продукції [4].
За таких умов забезпечуються значні грошові надходження і прибутки підприємства як за рахунок збільшення обсягів виробництва і реалізації продукції у фізичних одиницях, так і за рахунок зменшення питомої ваги операційних витрат у розрахунку на 1 грн. реалізованої продукції й поліпшення водночас її якісних характеристик [12].
Відповідно до механізму операційного фінансового аналізу зі зростанням фіксованих витрат поріг рентабельності, як правило, зміщується вправо по осі абсцис. За незмінних обсягів продажу продукції така ситуація може призвести до зменшення запасу фінансової стійкості підприємства, що і показано на рисунку. Маса прибутку від операційної діяльності підприємства у межах прийомів фінансового аналізу "витрати-обсяги-прибуток" визначається так:

де КМД
- коефіцієнт маржинального доходу;

де МД - обсяги маржинального доходу підприємства.
Тобто обсяги операційного прибутку залежать як від розмірів запасу фінансової стійкості підприємства, так і від величини коефіцієнта маржинального доходу, який, у свою чергу, залежить від структури операційних витрат підприємства.
У наведеному на рисунку варіанті обсяги прибутку від операційної діяльності після впровадження інвестиційно-інноваційної програми, за умови зменшення запасу фінансової стійкості підприємства, зросли. Ця ситуація пояснюється тим, що збільшення фіксованих витрат у частині вартості впроваджених нововведень і використання сучасного менеджменту забезпечили гаку інтенсивність зменшення частки змінних витрат, що абсолютні обсяги зменшення змінних витрат перевищили обсяги зростання фіксованих витрат. Виходячи із залежностей, наведених на рисунку, обсяги прибутку від операційної діяльності підприємства до і після впровадження інвестиційно-інноваційної програми можна визначити таким чином:

де ПБ
, ПП
- відповідно обсяги операційного прибутку підприємства до й після впровадження інвестиційно-інноваційної програми.
Напрями й обсяги зміни фінансових результатів діяльності підприємства після впровадження програми можуть бути визначені так:

де ΔП - фінансовий результат (прибуток чи збиток) діяльності підприємства після впровадження інвестиційно-інноваційної програми; tg α0
- tg α1
= ΔЗ - зменшення рівня змінних витрат у розрахунку на 1 грн. реалізованої продукції після впровадження інвестиційно-інноваційної програми; F1
- F0
= ΔF - обсяги зростання фіксованих витрат після впровадження інвестиційно-інноваційної програми.
Як було зазначено раніше, умовою ефективності впровадження інвестиційно-інноваційних програм є випереджувальне зростання фінансових результатів відносно зростання ресурсів і витрат [9]. Таку умову ефективності інвестиційно-інноваційних програм характеризує коефіцієнт випереджувального зростання фінансових результатів, який для розглянутого варіанта програми може бути такий:

де KВ
- коефіцієнт випереджувального зростання фінансових результатів упровадження інвестиційно-інноваційних програм.
Звернемо також увагу на те, що до розгляду відносно практичної реалізації беруться ті з інвестиційно-інноваційних програм, для яких коефіцієнт випередження фінансових результатів більший за одиницю.
Отже, обґрунтування рішень щодо практичного впровадження інвестиційно-інноваційних програм потребує детального аналізу широкого кола показників, зокрема якості технічних нововведень, обсягів капіталовкладень, схем їхнього фінансування й окупності. Визначальним тут є фінансово-економічний аналіз умов впровадження і результатів інвестиційно-інноваційних програм.
Комплексний фінансовий аналіз рівня їхньої ефективності тісно пов'язаний із визначенням звичайного й дисконтованого періоду окупності, чистої теперішньої вартості грошових потоків, рівня звичайної та модифікованої внутрішньої норми прибутку. Серед цих методів важливе місце посідає і прийом фінансового аналізу "витрати-обсяги-прибуток", який на попередніх стадіях дає змогу отримувати прогнозно-діагностичні оцінки можливого рівня фінансової ефективності впровадження інвестиційно-інноваційних програм на підприємствах, що конче потрібно для кращої адаптації суб'єктів господарювання до здорових ринкових відносин [12]. .
В Україні джерелом інвестицій на 80% є власні кошти підприємств. Тільки 11% цих коштів спрямовується на освоєння нової продукції, а решта - на капітальні вкладення. Створений у 1992 році Державний інноваційний фонд мав на меті фінансувати освоєння нової продукції, однак статистика свідчить про вкрай низький рівень державного фінансування (1,9%).
На сьогодні Держіннофонд реорганізовано в Українську державну інноваційну компанію, покликану стимулювати інноваційну діяльність підприємств. Проте фіксований відсоток відрахувань від валового доходу не може сприяти розробкам нової продукції на підприємстві. Такого роду стимулювання повинне мати непрямий характер. Особливо популярні у цьому плані вільні економічні зони (у Харкові - Спеціальний режим інвестиційної діяльності - СРІД). Суть функціонування такої зони полягає у звільненні від низки податків підприємств, що є об'єктами інвестицій. Так прибуток, отриманий у результаті інвестування, перші три роки не оподатковується, що стимулює підприємство реінвестувати цей прибуток у власне виробництво [16].
Аналіз інвестиційних заявок підприємств міста Харкова свідчить про тенденцію вкладення більшої частини отриманих інвестицій (57%) в оновлення основних фондів, що значно збільшує можливості виробництва нової продукції. Умовами прийняття інвестиційного проекту є термін окупності, менший за період реалізації проекту, й внутрішня норма рентабельності, більша за прийняту ставку дисконтування. Вхідним бар'єром у так звану інвестиційну зону є прийнята на рівні 20-25% ставка дисконтування, до якої входять 14-відсотковий рівень банківського відсотка за валютними вкладами, рівень інфляції та ризик-премія. Інвестиційні проекти розроблюються також виходячи з періоду дії більшості пільг - до шести років. Таким чином, підприємства, основним напрямом вкладення інвестицій яких є основні фонди, змушені за шість років забезпечити рентабельність, вищу за середній рівень по галузі, що є досить складним завданням. Співвідношення різних показників діяльності підприємств - учасників СРІД у межах інвестиційних проектів подано в таблиці.
З неї видно, що важливими показниками, які впливають на внутрішню норму рентабельності підприємства у межах інвестиційного проекту, а також протягом терміну окупності проекту, є розмір інвестицій і, відповідно, їхня питома вага у загальній вартості майна підприємства. Лінійна залежність між внутрішньою нормою рентабельності й розміром інвестицій свідчить про те, що розраховані підприємствами показники мають скоріше нормативний характер, ніж відбивають реальні прогнози. Це виходить також із розрахунку внутрішньої норми рентабельності із зростаючим підсумком в інвестиційних заявках підприємств, тобто бажання підприємств завищити свій запас фінансової міцності [16].
Таблиця 1.1. Деякі показники діяльності підприємств - учасників СРІД
| Назва підприємства
|
Обсяг
інвестицій
дол.
США
|
Основні напрями
використання, %
|
Внутрішня норма рентабельності, %
|
Термін окупності, років
|
Питома вага інвестицій в обсязі власного майна підприємства
|
| основні фонди
|
обігові кошти
|
| НВО "Електроважмаш"
|
11490000
|
24,2
|
43,2
|
22
|
7,4
|
2,06
|
| ВАТ "Турбоатом"
|
11466764
|
52
|
35
|
16,75
|
4,8
|
0,081
|
| ВАТ "Завод їм. Фрунзе"
|
3017000
|
81
|
0
|
13,25
|
9,07
|
0,171
|
| ВАТ "Електромашина"
|
3134905
|
28,71
|
22,97
|
40,29
|
4,5
|
0,545
|
| Харківський вагонобудівний завод
|
300000
|
21.1
|
49,13
|
21,25
|
3,2
|
0,169
|
| AT “ХарП”
|
20060000
|
27,5
|
22
|
34,1
|
5,1
|
0,676
|
| фірма "Брокер"
|
2058300
|
88,4
|
11,6
|
47,24
|
1,8
|
3,08
|
| AT “Росс”
|
3000000
|
58,24
|
0
|
25,24
|
5,9
|
15,958
|
| Харківська панчішна фабрика
|
1000000
|
44,8
|
55,2
|
16,7
|
3,4
|
12,62
|
| Підприємство "Агросинтез"
|
1500000
|
93
|
7
|
29,24
|
4,8
|
7,92
|
| ДКП "Харківкомуночиствод"
|
2350000
|
68,1
|
7,4
|
25,24
|
4,9
|
0,15
|
| ВАТ "фабрика театрального реквізиту"
|
501560
|
65
|
30
|
27,8
|
4
|
1,78
|
| Компанія кольорової поліграфії
|
3240000
|
73,2
|
6,65
|
23,24
|
5,33
|
1
|
| Поліграфічне об'єднання "Фоліо-Плюс"
|
900000
|
72,2
|
16
|
45,24
|
3,55
|
17,08
|
На рис.2 також простежується лінійна залежність між питомою вагою інвестицій у вартості підприємства й зростанням терміну окупності. Із рисунка видно, що із зростанням питомої ваги інвестицій у загальній вартості підприємства (тобто із зростанням незабезпечених інвестицій) термін окупності збільшується. З іншого боку, підприємства, інвестиційні кошти яких "розпорошилися" за статтями "Основні фонди" (див. рис.3), "Обігові кошти", "Ремонт і модернізація наявного обладнання", мають значно менший термін окупності проекту й кращі економічні показники. Це свідчить про дефіцит обігових коштів, але аж ніяк не про інвестиції в інновації, оскільки базою інновації, як відомо, є оновлення основних фондів, упровадження прогресивних технологій, наукові розробки.

Рис.2. Залежність терміну окупності проекту від питомої ваги інвестицій у вартості підприємства.

Рис.3. Залежність терміну окупності проектів промислових підприємств від питомої ваги інвестицій, спрямованих в основні фонди.
Така тенденція свідчить про невелике прагнення підприємств вкладати кошти у неліквідні статті активу. Це підтверджує і низький рівень інвестицій у наукові розробки (близько 2% загальних вкладень), що не є ознакою пріоритетного напряму розвитку інноваційного процесу [16]. Для того, щоб фінансовий стан підприємства залишався сталим, уже на стадії зрілості життєвого циклу товару необхідно модернізувати виріб або запропонувати ринку новий товар, тобто проводити інноваційну політику. Тому для підприємств - учасників СРІД необхідно створити спеціальні умови для її реалізації, наприклад, збільшити період дії податкових пільг за нульовою ставкою із 3 до 5 років, а за 50-відсотковою ставкою - до 10 років.
При розробці інвестиційних проектів щодо участі у вільних економічних зонах має бути контроль за правильністю розрахунків і реальністю прогнозів підприємств щодо обсягів продажу на довшу, наприклад десятирічну, перспективу. Такий прогноз має ґрунтуватися на аналізі макроекономічного стану, змін кон'юнктури ринків, маркетингових досліджень, що потребує створення галузевих баз даних [13]. Нормативні показники при розгляді інвестиційних проектів мають бути обчислені адекватно реальним економічним умовам і рівню розпитку галузі.
З точки зору Захаріна С.В. Економічний розвиток країни має супроводжуватися стабільним підвищенням конкурентоспроможності промислової продукції. Основою національної промислової політики повинне стати утвердження України як високотехнологічної держави, промисловість якої здатна випускати найновішу якісну продукцію [8].
Є два шляхи підвищення конкурентоспроможності промислової продукції: зниження ціни і підвищення якості. Цінова складова майже вичерпана: за даними Держкомстату, рентабельність промислового виробництва становить лише 4,8% (зниження триває з 1991 року), 40% підприємств збиткові. Тому товаровиробники зрозуміли, що промислове підприємство може вижити тільки за умов постійного удосконалення технічних, економічних, ергономічних, маркетингових показників виготовлюваної продукції. Вирішити це завдання можна лише через постійне впровадження інноваційних проектів, перехід на траєкторію інноваційного розвитку усієї промисловості.
Інноваційний тип сучасного економічного зростання змінює його основу - рушійною сферою розвитку стає не промислове виробництво, а розробка і технології. Відтепер головне не валовий випуск, а комерційна діяльність із продажу нової продукції (яка зазвичай випускається малими серіями). Інтелектуальна складова стає провідним фактором виробництва.
Станом на початок 2007 року інноваційну діяльність в Україні вели 1,5 тис. підприємств, тому частка інноваційне активних підприємств дуже низька - лише 9% (зокрема, у промисловості - 14,8%). Для порівняння: у 1999 році інновації впроваджували 13,5% підприємств, у 1998-му - 15,1%, у 1997-му - 17,0%, у 1995-му - 22,9%. Воднораз протягом 2007-2008 років зафіксовано певні позитивні тенденції. Зросла чисельність підприємств, що впроваджують засоби автоматизації і механізації. Активніше впроваджуються прогресивні технології (це робить третина інноваційне активних підприємств).
Протягом 2006 року у промисловості використано 1,4 тис. нових технологічних процесів (зростання за рік - 16,6%). На реалізацію технологічних інновацій у 2006 році спрямовано 175,7 млн. грн. (зростання за рік - 66,7%).
Найбільшу частку інновацій упроваджують підприємства авіабудування, медичної, суднобудівної, скляної, електротехнічної промисловості, хімічного, нафтового, сільськогосподарського машинобудування, металургії. Найпоширеніший напрям інноваційної діяльності - оновлення продукції (кількість таких підприємств становить 1,4 тис), у середньому освоюється 20 тис. найменувань нових видів продукції на рік. Проте кількість упроваджених ресурсозберігаючих технологій зросла лише на 1,7% [8].
За даними обстеження, проведеного Держкомстатом, інноваційну діяльність вітчизняних підприємств стримують: відсутність фінансування (на це вказали 86% респондентів), великі витрати (40%), відсутність коштів у замовника (40%), високі кредитні ставки (39%), недосконалість законодавства (32%), труднощі з сировиною і матеріалами (29%), високий економічний ризик (24%), відсутність попиту на продукцію (15%), недостатність інформації про ринки збуту (11%) [17]. На думку Александрової В.П. вплив інноваційної складової на розвиток промисловості невеликий, Спеціальним опитуванням було встановлено, що у 1999 році питома вага продукції, виробленої на основі нових технологій, становила у машинобудуванні 26,5% (при цьому частка приросту прибутку в результаті впровадження інновацій у загальному зростанні прибутку дорівнювала лише 11,3%). Ще гірша ситуація склалася у металургії (відповідно 22% і 8,4%), хімічній промисловості (20% і 8,4%), на підприємствах харчової і легкої промисловості [2].
Багато підприємств і організацій залучено до виконання "Програми виробництва технологічних комплексів машин і обладнання для агропромислового комплексу на 1998-2005 роки" ("НДІферммаш", "УкрНДІпродмаш", "Київсільмаш", "Томак", "Київтрактородеталь", "Київпродмаш", "Харчо-маш", "Укртрактор" та ін). Зокрема, у межах цієї програми київські машинобудівні підприємства виготовили у 2007 році товарної продукції на суму 98,3 млн. грн., а реалізували лише на суму 89,7 млн. грн. Таким чином, приблизно 10% інноваційної продукції залишилися нереалізованими.
Нині в Україні діють чотири технологічних парки - "Напівпровідникові технології і матеріали, оптоелектроніка та сенсорна техніка", "Інститут електрозварювання ім. Є.О. Патона", "Інститут монокристалів" та "Вуглемаш", які функціонують на умовах, визначених Законом України "Про спеціальний режим інвестиційної та інноваційної діяльності технологічних парків". Але нові технологічні парки не створюються.
Міністерством промислової політики сформовано перелік інноваційних проектів, які пропонуються для фінансування на засадах партнерства. До списку увійшло 182 проекти на суму 806,9 млн. грн. Проте протягом 2007 року був профінансований лише один інноваційний проект, запропонований ВАТ "Мотор-Січ", - "Підготовка серійного виробництва двигунів Д-27 для літака АН-70" на суму 4 млн. грн. Отже, потенційні інвестори не ризикують фінансувати інноваційних проектів промислових підприємств.
Економічна політика держави в останні роки була спрямована на підтримання макроекономічної стабільності, в результаті чого вдалося досягти певних позитивних результатів: три роки поспіль фіксується зростання ВВП та обсягів промислового виробництва, пожвавлюється інвестиційна діяльність, збільшуються валютні резерви, підвищується ліквідність банківської системи. Водночас необхідно зрозуміти, що досягнення макроекономічної стабільності - важливе, але не головне завдання (адже це передбачає "консервування" певних тенденцій, у тому числі негативних). Економічний апарат держави має працювати на перспективу - забезпечувати функціонування інноваційної моделі розвитку економіки і промисловості, розробляти гнучкі механізми підтримки інноваційних виробництв, реформувати амортизаційну політику, вживати заходів щодо підвищення рівня самофінансування компаній, активніше інтегруватися у міжнародний інвестиційний ринок тощо. Так, це складно. Але іншого шляху немає.
Україна належить до числа країн із високим науковим потенціалом. Вітчизняні наукові школи відомі унікальними досягненнями у сферах розробки нових матеріалів, дослідженнями в галузі фізики низьких температур, електрозварювання, інформатики і в багатьох інших. Пріоритетом для діяльності органів державної влади сьогодні має стати створення умов, що забезпечують не лише збільшення цього потенціалу, а насамперед його максимальну реалізацію в інтересах суспільства. Але ланцюжок "наука-техніка-виробництво" є фактично розірваним, оскільки технологічний та виробничий потенціал промисловості України вкрай низький. Ми імпортуємо чимало споживчих товарів, які можемо виробляти самостійно, у тому числі на рівні світових стандартів (агропромислова продукція, одяг, взуття, побутові прилади, канцелярські товари тощо). І це при тому, що три чверті інноваційних підприємств, які здійснюють заходи з оновлення продукції, випускають споживчі товари.
Як було зауважено, Абібулаєвим М.С. у журналі “Фінанси України”, проблеми розвитку інноваційного процесу у промисловості спричиняються високим рівнем невизначеності, непередбачуваності й непрогнозованості (або, інакше кажучи, ризикованістю). І це цілком природно. Світовий досвід підтверджує, що навіть у розвинутих країнах ці ризики мінімізуються за допомогою заходів державної підтримки інновацій. Наприклад, загальновідомі інноваційні досягнення французьких концернів "Concorde", "Superphenix", TGV (швидкісні поїзди) стали можливими тільки через активну підтримку уряду [1]. Тим паче така підтримка необхідна в перехідній економіці. Держава зобов'язана стати безпосереднім провідником інноваційного розвитку, замовником і організатором досліджень і розробок на найсучасніших напрямах науково-технічного розвитку.
У нашій державі проголошено курс на розвиток інноваційної економіки, що підтверджено відповідними указами Президента і постановами уряду. У рамках виконання цього завдання передбачено не менш як 25% коштів, отриманих від приватизації державного майна, спрямовувати на інноваційне інвестування державних (у тому числі казенних) підприємств і окремих господарських товариств (де частка держави становить до 50%) [4]. Ці ресурси мають іти на скорочення технологічних витрат виробництва, реалізацію енергозберігаючих технологій, екологічних програм, інноваційне оновлення матеріально-технічної бази підприємств, будівництво нових та реконструкцію діючих виробничих потужностей, підвищення експортного потенціалу і збільшення обсягів реалізації кінцевої продукції, реалізацію проектів, спрямованих на впровадження у виробництво прогресивних науково-технічних розробок і технологій, освоєння випуску наукомістких видів продукції, забезпечення переведення виробництв на випуск продукції за міжнародне визнаними стандартами, розширення науково-дослідних робіт і підвищення наукомісткості виробництва.
До 2005 року буде реалізовано низку державних науково-технічних програм у промисловості. Найприбутковіші з них (за прогнозними даними): "Екологічно чисті технології, машини й устаткування для контролю і захисту навколишнього середовища (приріст прибутку - 3,8 млрд. грн), "Розвиток суднобудування" (приріст прибутку - 3,4 млрд. грн), "Розвиток авіаційної промисловості" (приріст прибутку - 2,2 млрд. грн), "Розвиток автомобілебудування" (приріст прибутку - 1,2 млрд. грн).
І все-таки система державного управління інноваційною діяльністю ще недосконала і досі перебуває у стадії формування. Функції управління наукою здійснює Міністерство освіти і науки України, наукові й науково-прикладні дослідження проводять установи НАН України та галузеві науково-дослідні й проектні інститути, а впровадженням у виробництво займаються Міністерство промислової політики та галузеві відомства [8]. Діє і корпоративна (або заводська) наука. З метою координації розв'язання проблеми науково-практичного й інноваційного забезпечення економіки була утворена Рада з питань науки та науково-технічної політики, але цей орган виконує дорадчі функції і не має владних повноважень. Єдиним органом, який комплексно вивчає стан розвитку науково-технічної та інноваційної діяльності в Україні, є Державний комітет статистики.
З теоретичної точки зору, для вирішення питання активізації інноваційної діяльності промислових підприємств на мікрорівні треба створити відповідне економіко-правове середовище, яке б стимулювало товаровиробника впроваджувати науково-технічні розробки й інновації. Отже, треба застосовувати механізми активного державного регулювання.
Як довів Лапко О.О., інноваційна модель розвитку потребує здійснення витрат на фінансування науки не менш як 1,74% ВВП [10]. В Україні цей показник має бути більшим з огляду на кілька чинників: невисоким рівень виробництва ВВП надушу населення, деформовану структуру економіки і промисловості, вкрай низький рівень фінансування інновацій протягом останніх десяти років тощо. Фактично ж українська наука фінансується на рівні 1% від ВВП, причому з держбюджету надходить лише третина коштів, решта - за рахунок проведення науково-практичних досліджень на замовлення і здійснення госпрозрахункових операцій (у тому числі здавання приміщень в оренду).
На основі вивчення досвіду зарубіжних країн (зокрема Росії, де наука фінансується на рівні 4% ВВП) Крупкою М.І. зроблені пропозиції щодо збільшення фінансування вітчизняної науки та інноваційної діяльності щонайменше у 5 разів, але далі пропозицій справа не йде [11]. Припинив існування Інноваційний фонд, який фінансував приблизно 5% інноваційних проектів. Урядом і досі не створено механізму надання пільг промисловим підприємствам, що впроваджують інновації. Обсяг фінансування технологічних інновацій за рахунок держбюджету скоротився із 118,4 млн. грн. у 1999 році до 7,7 млн. грн. у 2006 році (а цей рік був для економіки найуспішнішим). Частка витрат на впровадження ресурсозберігаючих технологій у структурі фінансування науки і техніки впала з 29% протягом 1994-1996 років до 22% у 2006 році, а частка витрат на перспективні інформаційні технології - відповідно з 22-25% до 12 - 15%, вивільнені кошти перерозподілені на користь охорони навколишнього середовища, дослідження проблем державотворення та інших напрямів. Воднораз за розрахунками науковця Інституту економічного прогнозування НАНУ Данько М.С., у рейтинговій оцінці перспективності основних науково-технічних напрямів перше місце посідають програми з ресурсозбереження, друге - із впровадження інформаційних технологій, а передостаннє і останнє - з охорони навколишнього середовища і здоров'я людини [7]. Отже, можна дійти висновку, що державні фінансові ресурси, які спрямовуються на забезпечення інноваційної діяльності, недостатні.
Настав час реформувати систему моніторингу розвитку інноваційної сфери. Так, статистика враховує показники щодо введення вдію автоматичних та механізованих ліній, обсягу випуску нової продукції, впровадження нових технологій та ін. Тобто, відповідає на запитання "що зроблено?". Настав час відповісти на питання "що це дало?". Інакше кажучи, слід увести у практику розрахунків показники щодо ефективності інноваційної діяльності, збільшення обсягу реалізації (а не випуску) інноваційної продукції, експансії принципово нової продукції на внутрішньому і зовнішньому ринках тощо. Крім того, стан інноваційної сфери й досі оцінюється в основному за параметрами технічного розвитку, майже не беруться до уваги економічні, організаційні та маркетингові показники.
Підприємства колишнього СРСР мають унікальний досвід організації масової інноваційної діяльності, коли за допомогою різних матеріальних і моральних стимулів заохочувався винахідницький та раціоналізаторський рух серед інженерно-технічних працівників промислових підприємств. Щорічний економічний ефект від такої діяльності оцінювався у кілька мільярдів карбованців. Ці напрацювання, до речі, широко використовуються за кордоном - на багатьох потужних підприємствах розвинутих країн діють гуртки якості. Нині така робота у нас майже не ведеться [4].
Активізувати процес впровадження інноваційних проектів має сучасний механізм надання пільг (у тому числі податкових) промисловим підприємствам. Щодо доцільності надання преференцій у сфері інвестиційної та інноваційної діяльності існують різні думки, але закордонний досвід переконує, що преференції є дієвим важелем підтримки такої діяльності. У науковій літературі наводиться багато прикладів ефективної реалізації науково-технічних проектів і програм корпораціями США, Японії, Франції, Німеччини та інших країн. Зокрема, в умовах високого рівня оподаткування і високих процентних ставок промислові підприємства Німеччини активно впроваджують інновації завдяки перерахуванню прибутку у численні власні звільнені від оподаткування резервні фонди.
Із загального обсягу капітальних вкладень, спрямованих на розвиток промисловості, лише 16% іде на фінансування інноваційних і науково-технічних проектів [8]. Підприємства змушені спрямовувати значні кошти на екстенсивний розвиток - підтримання застарілої матеріально-технічної бази, ремонт обладнання, фінансування неефективних систем енергозабезпечення тощо.
Треба активніше створювати (і заохочувати вже створені) технопарки, технологічні інкубатори, інноваційні виробництва передусім у пріоритетних галузях: радіоелектроніці та приладобудуванні, сільськогосподарському машинобудуванні, важкому машинобудуванні, суднобудуванні, літакобудуванні, хімічній промисловості, а також у "споживчих" галузях - легкій, харчовій, меблевій промисловості.
Певну роль у розв'язанні цього питання може відіграти місцева влада. Цікавим є досвід Київської міської державної адміністрації. Зокрема, з ініціативи КМДА реалізується програма "Київська якість", у рамках якої потужні промислові підприємства столиці беруть участь у конкурсі якості технологій, процесу виробництва і кінцевого продукту. Робота підприємств оцінюється на основі висновку експертної комісії, враховуються також фінансовий стан, інвестиційна активність, своєчасність сплати податків, відгуки споживачів. Підприємствам-переможцям гарантується, по-перше, надання податкових пільг, по-друге, подальше рекламно-інформаційне та маркетингове супроводження за рахунок бюджету оргкомітету конкурсу, по-третє, певна організаційно-економічна підтримка під час реалізації продукції на внутрішньому та зовнішньому ринках.
У Києві управління промисловістю забезпечується на основі підтримки випереджаючого розвитку інноваційне орієнтованих підприємств. І ця робота має конкретні результати. Впроваджують інновації підприємства, які ще донедавна не могли вчасно сплатити податків та розрахуватися з працівниками із заробітної плати - "Більшовик", "Будшляхмашина", "Київтрактородеталь", "Ленінська кузня", "Київський суднобудівний судноремонтний завод", "Буревісник", НВО "Славутич", "Авіант", "НТК "Електронприлад", КБ "Луч", "Артем", "Фотон", "Лакма", "Київхімволокно", "Київгума", "Радіовимірювач", "НВП "Сатурн", "Меридіан" та багато інших. Активізується інноваційна діяльність і у недержавному секторі. Тут можна згадати корпорацію "Квазар-Мікро", AT "Оболонь", завод "Росинка", фармацевтичні й телекомунікаційні компанії [8].
Комплексно вирішити питання державного регулювання розвитку інноваційної сфери економіки України допоможе науково-практична конференція "Утвердження інноваційної моделі розвитку економіки України", яка відбудеться у лютому 2009 року за участю Президента України. Мета конференції - обґрунтування стратегії інноваційного розвитку, механізмів та інструментів її реалізації, визначення науково-технічних, технологічних пріоритетів української економіки. Передбачається, що в роботі конференції, візьмуть участь провідні вчені Національної академії наук, вищих освітніх закладів країни, галузевих інститутів та науково-конструкторських установ, народні депутати, керівники міністерств і відомств, голови облдержадміністрацій, представники реального сектору економіки. Проведення цього форуму стане яскравим прикладом позитивного впливу на інноваційну сферу промисловості за допомогою організаційно-економічних важелів державного регулювання.
Концентрація виробництва - усуспільнення підприємства через збільшення його розмірів, зосередження процесів виробництва, робочої сили, засобів виробництва й випуску продукції на все більш великих підприємствах.
Спеціалізація виробництва - розвинута в усіх галузях економіки, суспільна форма організації виробництва, що відображає процес зосередження діяльності підприємства на виготовленні певної продукції або виконанні окремих видів робіт.
За даними таблиці 2.1 ми спробуємо визначити розмір підприємства та динаміку показників за визначений період.
Таблиця 2.1. Розміри підприємства
| №
з/п
|
Показники
|
Одиниці виміру
|
Роки
|
Відхи-лення
(+, -)
|
2009
у %
до
2008
|
| |
|
2008
|
2009
|
|
| 1
|
2
|
3
|
4
|
5
|
6
|
7
|
| 1
|
Обсяг валової продукції (робіт, послуг) в оптових цінах підприємств (без ПДВ і акцизного збору)
|
|
| у порівняних цінах
|
тис. грн
|
6630
|
6594
|
-36
|
99,46
|
| у діючих цінах відповідного року
|
тис. грн
|
6675
|
6714
|
39
|
100,58
|
| 2
|
Виручка від реалізації продукції (робіт, послуг), (без ПДВ та акцизного збору)
|
тис. грн
|
6437
|
6560
|
123
|
101,91
|
| 3
|
Собівартість реалізованої продукції (товарів, робіт, послуг)
|
тис. грн
|
5318
|
5530
|
212
|
103,99
|
| 4
|
Операційні витрати на виробництво продукції, робіт, послуг
|
тис. грн
|
5653
|
5859
|
206
|
103,64
|
| 5
|
Середня чисельність працівників
|
чол.
|
690
|
642
|
-48
|
93,04
|
| 6
|
Розмір активів підприємства
|
тис. грн
|
65500
|
68900
|
3400
|
105, 19
|
| 7
|
Середньорічна вартість основних фондів
|
тис. грн
|
55775
|
55675
|
-100
|
99,82
|
| 8
|
Середньорічна вартість виробничих основних фондів промислового призначення
|
тис. грн
|
45100
|
44550
|
-550
|
98,78
|
| 9
|
Середньорічна вартість основних виробничих фондів і оборотних засобів
|
тис. грн
|
71242
|
72738
|
1496
|
102,10
|
| 10
|
Виробнича площа
|
тис. м2
|
20
|
20
|
0
|
100,00
|
Можна зробити висновок, що підприємство за розміром є великим так як чисельність працівників більш ніж 500. Також можна зробити висновки, що обсяг валової продукції у поточних цінах збільшився у 2009 р. на 39 тис. грн. порівняно з 2008 р. Виручка від реалізації продукції (робіт, послуг) 2009 р. на 123 тис. грн. порівняно з 2008 р. Середня чисельність працівників, яка у 2009 р. зменшилась на 48 працівників порівняно з 2008 р. Незмінною залишилась виробнича площа.
За обсягом продукції підприємства можна визначити його спеціалізацію та зробити висновки, щодо виробленої продукції.
Обсяг та структуру продукції підприємства наведено в таблиці 2.2
Таблиця 2.2. Обсяг та структура продукції підприємства
| №
з/п
|
Вид продукції
|
Роки
|
Відхи-лення
(+, -), тис. грн
|
Відхи-лення (+, -),%
|
| 2008
|
2009
|
| тис. грн
|
струк-тура,%
|
тис. грн
|
струк-тура,%
|
| 1
|
2
|
3
|
4
|
5
|
6
|
7
|
8
|
| 1
|
Вироби КТД-2
|
1151
|
17,24
|
1220
|
18,17
|
69
|
0,93
|
| 2
|
Прилади електровакуумні
|
591
|
8,85
|
621
|
9,25
|
30
|
0,40
|
| 3
|
Прилади оптоелектронні
|
1748
|
26, 19
|
1620
|
24,13
|
-128
|
-2,06
|
| 4
|
Обчислювальна техніка
|
763
|
11,43
|
782
|
11,65
|
19
|
0,22
|
| 5
|
Медична техніка
|
795
|
11,91
|
875
|
13,03
|
80
|
1,12
|
| 6
|
Годинники побутові
|
947
|
14, 19
|
966
|
14,39
|
19
|
0, 20
|
| 7
|
Іграшки та прикраси
|
300
|
4,49
|
250
|
3,72
|
-50
|
-0,77
|
| 8
|
Роботи та послуги
|
380
|
5,69
|
380
|
5,66
|
0
|
-0,03
|
| Усього
|
6675
|
100,00
|
6714
|
100,00
|
Таким чином вартість виробів КТД-2 в загальному обсязі продукції підприємства у 2009 р. збільшилась на 69 тис. грн. порівняно з 2008 р. У 2009 р. збільшення приладів електровакуумних на 30 тис. грн. порівняно з 2008 р. Проте приладів оптоелектронних було виготовлено менше у 2009 р. на 128 тис. грн. ніж у 2008 р. Обчислювальної техніки було виготовлено на 19 тис. грн. більше ніж у 2008. Виробництво медичної техніки за 2009 р. у грошовому виразі збільшилось на 80 тис. грн. порівняно з 2008 р. Також збільшення виготовлення годинників. Зменшення виготовлення іграшок та прикрас, а виробництво робіт та послуг залишилось незмінним. Збільшення всіє продукції в цілому у 2009 р. склало 39 тис. грн. порівняно з 2008 р.
Можна зробити висновок, що спеціалізація підприємства припадає на вироби КТД-2 та медичну техніку, а також меншою мірою на прилади оптоелектронні.
Необоротні активи - активи підприємства, строк корисного використання яких перевищує 12 місяців або операційний цикл, якщо він більше 1 року.
Основні фонди - це засоби праці, які мають вартість і функціонують у виробництві тривалий час у своїй незмінній споживній формі, а їхня вартість переноситься конкретною працею на вартість продукції, що виробляється, частинами в міру спрацювання.
Амортизація основних фондів -
це процес перенесення авансованої вартості всіх видів засобів праці на вартість продукції з метою її повного відшкодування.
Метод рівномірної (лінійної) амортизації передбачає
перенесення балансової вартості основних фондів на собівартість продукції, що виробляється (послуг, що надаються), протягом нормативного строку служби засобів праці за однаковими нормами амортизаційних відрахувань. Згідно з чинним законодавством України щорічні норми амортизаційних відрахувань за першою, другою і третьою групами основних фондів становлять відповідно 5, 25 і 15%.
Норми амортизаційних відрахувань за методом подвійно-залишкової амортизації
встановлюються через подвоєння норм, обчислених за методом рівномірної амортизації, але не щодо балансової, а щодо залишкової вартості основних фондів. Підприємства можуть самостійно приймати рішення про застосування прискореної амортизації основних фондів,
віднесених за укрупненою класифікацією до третьої групи і придбаних після травня 1997 року, тобто після набуття чинності Законом України "Про оподаткування прибутку підприємств". При цьому мають використовуватися такі норми прискореної амортизації відповідно до року експлуатації засобів праці: перший - 15%; другий - 30%; третій - 20%; четвертий - 15%; п'ятий - 10%; шостий і сьомий - 5%.
Тепер можна переходити до визначення величини динаміки та структури нематеріальних активів за вивчаємий період. Наявність та структура нематеріальних активів зображена в табл.2.3.
Таблиця 2.3. Наявність та структура нематеріальних активів
| №
з/п
|
Групи нематеріальних активів
|
Роки
|
Відхилення (+, -), тис. грн..
|
Відхилення (+, -),%
|
| 2008
|
2009
|
| тис. грн
|
структура,%
|
тис. грн
|
структура,%
|
| 1
|
2
|
3
|
4
|
5
|
6
|
7
|
8
|
| 1
|
Права користування
природними ресурсами
|
| 2
|
Права користування
майном
|
| 3
|
Права на знаки
для товарів і послуг
|
280
|
33,41
|
291
|
36,79
|
11
|
3,38
|
| 4
|
Права на об’єкти
промислової власності
|
| 5
|
Авторські та суміжні
з ними права
|
230
|
27,45
|
180
|
22,76
|
-50
|
-4,69
|
| 6
|
Гудвіл
|
| 7
|
Інші нематеріальні
активи
|
328
|
39,14
|
320
|
40,46
|
-8
|
1,31
|
| Разом
|
838
|
100,00
|
791
|
100,00
|
-47
|
У 2009 р. права на знаки для товарів і послуг збільшились на 11 тис. грн. порівняно з 2008 р. Авторські та суміжні з ними права у 2009 р. зменшились на 50 тис. грн. порівняно з 2008 р. Інші нематеріальні активи зменшились на 8 тис. грн. Необхідно зробити висновки, щодо наявності та структури основних засобів на підприємстві за вивчаємий період.
Наявність та структура основних засобів наведена в табл.2.4
Таблиця 2.4. Наявність та структура основних засобів
| №
з/п
|
Групи основних засобів
|
Роки
|
Відхилення (+, -), тис. грн
|
Відхилення (+, -),%
|
| 2008
|
2009
|
| тис. грн
|
структура,%
|
тис. грн
|
структура,%
|
| 1
|
2
|
3
|
4
|
5
|
6
|
7
|
8
|
| 1
|
Земельні ділянки
|
| 2
|
Капітальні витрати на поліпшення земель
|
| 3
|
Будинки, споруди та передавальні пристрої
|
14900
|
26,61
|
15050
|
27,09
|
150
|
0,49
|
| 4
|
Машини та обладнання
|
21500
|
38,39
|
21300
|
38,34
|
-200
|
-0,05
|
| 5
|
Транспортні засоби
|
4340
|
7,75
|
4460
|
8,03
|
120
|
0,28
|
| 6
|
Інструменти, прилади, інвентар
|
2560
|
4,57
|
2580
|
4,64
|
20
|
0,07
|
| 7
|
Робоча і продуктивна худоба
|
| 8
|
Багаторічні насадження
|
| 9
|
Інші основні засоби
|
6700
|
11,96
|
6510
|
11,72
|
-190
|
-0,25
|
| 10
|
Бібліотечні фонди
|
| 11
|
Малоцінні необоротні матеріальні активи
|
6000
|
10,71
|
5650
|
10,17
|
-350
|
-0,54
|
| 12
|
Тимчасові споруди
|
| 13
|
Природні ресурси
|
| 14
|
Інвентарна тара
|
| 15
|
Предмети прокату
|
| 16
|
Інші необоротні матеріальні активи
|
| Разом
|
56000
|
100,00
|
55550
|
100,00
|
-450
|
Таким чином зростання такого виду основних засобів, як будинки, споруди та передавальні пристрої у 2009 р. склало на 150 тис. грн. більше порівняно з 2008 р., машини та обладнання зменшились, а транспортні засоби та інструменти, прилади, інвентар зросли на 200, 120 та 20 тис. грн. відповідно. Було помічене зменшення інших основних засобів на 190 тис. грн. у 2009 р. порівняно з 2008 р., а також зменшення малоцінних необоротних матеріальних активів у 2009 р. на 350 тис. грн. порівняно з 2008 р.
Далі необхідно визначити показники розміру, руху та стану основних фондів (табл. 2.5) та зробити висновки щодо рівня та тенденції зміни цих показників за період, що вивчається.
Таблиця 2.5. Показники розміру, руху і стану основних фондів
| №
з/п
|
Показники
|
Одиниці
виміру
|
Роки
|
Відхилення (+, -)
|
2009
у % до
2008
|
| |
|
2008
|
2009
|
| 1
|
2
|
3
|
4
|
5
|
6
|
7
|
| 1
|
Залишок на початок року
|
тис. грн
|
44500
|
44650
|
150
|
100,34
|
| 2
|
Надійшло протягом року
|
тис. грн
|
950
|
880
|
-70
|
92,63
|
| 3
|
Вибуло протягом року
|
тис. грн
|
800
|
740
|
-60
|
92,50
|
| 4
|
Залишок на кінець року
|
тис. грн
|
44650
|
44790
|
140
|
100,31
|
| 5
|
Сума зносу:
|
| |
а) на початок року
|
тис. грн
|
24900
|
25400
|
500
|
102,01
|
| |
б) на кінець року
|
тис. грн
|
25400
|
24520
|
-880
|
96,54
|
| 6
|
Коефіцієнти:
|
| |
а) росту основних фондів (4/1)
|
1,003
|
1,003
|
-0,0002
|
99,98
|
| |
б) номінального обороту { (5б - 5а) / [ (1+4) * 0.5] }
|
0,003
|
-0,005
|
-0,008
|
-175,43
|
| |
в) реального обороту {3/[ (1+4) * 0.5] }
|
0,004
|
0,004
|
0,000
|
92, 20
|
| 7
|
Показники:
|
| |
а) відновлення фондів (2/4 * 100)
|
%
|
2,13
|
1,96
|
-0,16
|
92,34
|
| |
б) вибуття (3/1 * 100)
|
%
|
1,80
|
1,66
|
-0,14
|
92, 19
|
| |
в) зносу:
|
| |
- на початок року [ (5а / 1) * 100]
|
%
|
55,96
|
56,89
|
0,93
|
101,67
|
| |
- на кінець року [ (5б / 4) * 100]
|
%
|
56,89
|
54,74
|
-2,14
|
96,23
|
| |
г) придатності:
|
| |
- на початок року { [ (1 - 5а) / 1] * 100}
|
%
|
44,04
|
43,11
|
-0,93
|
97,88
|
| |
- на кінець року { [ (4 - 5б) / 4] * 100}
|
%
|
43,11
|
45,26
|
2,14
|
104,97
|
Таким чином залишок основних фондів на початок періоду 2009 р. склав 44650 тис. грн., що на 150 тис. грн. більше, ніж у 2008 р. Надходження протягом 2009 року основних фондів зменшилось на 70 тис. грн. в порівнянні з 2008 р. Вибуття основних фондів протягом 2009 р. зменшилось на 60 тис. грн. порівняно з 2008 р.
Таблиця 2.6. Показники забезпеченості та ефективності використання основних фондів
| №
з/п
|
Показники
|
Одиниці виміру
|
Роки
|
Відхилення (+, -)
|
2009
у% до
2008
|
| 2008
|
2009
|
| 1
|
2
|
3
|
4
|
5
|
6
|
7
|
| 1
|
Середньорічна вартість основних
виробничих фондів
|
тис. грн
|
71242
|
72738
|
1496
|
102,10
|
| 2
|
Виробнича площа
|
тис. м2
|
20
|
20
|
0
|
100,00
|
| 3
|
Середньооблікова чисельність
промислово-виробничого персоналу
|
чол.
|
650
|
610
|
-40
|
93,85
|
| 4
|
Валова продукція (у діючих оптових цінах)
|
тис. грн
|
6675
|
6714
|
39
|
100,58
|
| 5
|
Чистий прибуток
|
тис. грн
|
812,7
|
851,2
|
38,5
|
104,74
|
| 6
|
Фондозабезпеченість (1/2)
|
грн/м2
|
3562,1
|
3636,9
|
74,8
|
102,10
|
| 7
|
Фондоозброєність (1/3)
|
тис. грн/ чол
|
109,60
|
119,24
|
9,64
|
108,79
|
| 8
|
Фондовіддача (4/1)
|
грн / грн
|
0,094
|
0,092
|
-0,001
|
98,52
|
| 9
|
Фондомісткість (1/4)
|
грн / грн
|
10,673
|
10,834
|
0,161
|
101,51
|
| 10
|
Фондорентабельність (5/1) *100
|
%
|
1,141
|
1,170
|
0,029
|
102,58
|
Виходячи з розрахунків таблиці видно, що середньорічна вартість основних виробничих фондів збільшилась у 2009 р. на 2,10% порівняно з 2008 р. Виробнича площа зосталася незмінною. Середньооблікова чисельність промислово - виробничого персоналу у 2009 р. зменшилась на 40 чоловік порівняно з 2008 р. Показник валової продукції збільшився на 39 тис. грн. у 2009 р. у порівнянні з 2008 р. Чистий прибуток збільшився у 2009 р. на 38,5 тис. грн. порівняно з 2008 р.
Після характеристики забезпеченості та ефективності використання необоротних активів необхідно перейти до такої ж оцінки оборотних активів.
Оборотні активи
- активи підприємства, які призначені для реалізації або споживання на протязі року чи операційного циклу.
Оборотні фонди підприємств за їх значенням у процесі відновлення розділяються на чотири групи: виробничі запаси; незавершене виробництво; готова продукція на складі та відвантажена; грошові кошти, які знаходяться в касі та на розрахунковому рахунку.
Тепер необхідно визначити величину та структуру оборотних активів на основі даних конкретного підприємства і зробити висновки щодо тенденцій їх зміни за вивчає мий період (табл.2.7)
Таблиця 2.7. Величина та структура оборотних активів підприємства
| №
з/п
|
Групи оборотних активів
|
Роки
|
Відхилення (+, -), тис. грн
|
Відхилення (+, -),%
|
| 2008
|
2009
|
| тис. грн
|
структура, %
|
тис. грн
|
структура, %
|
| 1
|
2
|
3
|
4
|
5
|
6
|
7
|
8
|
| І. ОБОРОТНІ ВИРОБНИЧІ ЗАСОБИ
|
21629
|
70,82
|
23144
|
63,69
|
1515
|
-7,13
|
| 1
|
Запаси
|
20124
|
65,89
|
20962
|
57,68
|
838
|
-8,21
|
| в т. ч.: виробничі запаси
|
20124
|
65,89
|
20962
|
57,68
|
838
|
-8,21
|
| тварини на вирощуванні та відгодівлі
|
| малоцінні і швидкозношувані предмети
|
| 2
|
Незавершене виробництво
|
1403
|
4,59
|
2048
|
5,64
|
645
|
1,04
|
| 3
|
Витрати майбутніх періодів
|
102
|
0,33
|
134
|
0,37
|
32
|
0,03
|
| ІІ. ФОНДИ ОБІГУ
|
8912
|
29,18
|
13195
|
36,31
|
4283
|
7,13
|
| 1
|
Готова продукція
|
1042
|
3,41
|
1961
|
5,40
|
919
|
1,98
|
| 2
|
Товари
|
948
|
3,10
|
1287
|
3,54
|
339
|
0,44
|
| 3
|
Векселі одержані
|
1141
|
3,74
|
1530
|
4,21
|
389
|
0,47
|
| 4
|
Дебіторська заборгованість за товари,
роботи, послуги
|
4380
|
14,34
|
5930
|
16,32
|
1550
|
1,98
|
| 5
|
Інша поточна дебіторська заборгованість
|
1083
|
3,55
|
1940
|
5,34
|
857
|
1,79
|
| 6
|
Грошові кошти та їх еквіваленти
|
167
|
0,55
|
453
|
1,25
|
286
|
0,70
|
| 7
|
Інші поточні фінансові інвестиції
|
151
|
0,49
|
94
|
0,26
|
-57
|
-0,24
|
| Разом
|
30541
|
100,00
|
36339
|
100,00
|
5798
|
Таким чином оборотні виробничі засоби у 2009 р. збільшились на 1515 тис. грн. у порівнянні з 2008 р. Фонди обігу підприємства збільшились на 4283 тис. грн. у 2009 р. у порівнянні з 2008 р. в т. ч.: збільшилась готова продукція, збільшились товари, дебіторська заборгованість за товари, роботи та послуги теж збільшилась.
Далі необхідно виконати розрахунки ефективності використання оборотних засобів та оцінити рівень та зміни показників (табл.2.8)
Таблиця 2.8. Показники ефективності використання оборотних засобів
| №
з/п
|
Показники
|
Одиниці виміру
|
Роки
|
Відхилення (+, -)
|
2009
у% до
2008
|
| 2008
|
2009
|
| 1
|
Матеріальні оборотні
засоби - всього
|
тис. грн
|
20124
|
20962
|
838
|
104,16
|
| у т. ч.: -
виробничі запаси;
|
- // -
|
20124
|
20962
|
838
|
104,16
|
| - тварини на вирощуванні й відгодівлі;
|
- // -
|
| - незавершене виробництво;
|
- // -
|
1403
|
2048
|
645
|
145,97
|
| - готова продукція;
|
- // -
|
1042
|
1961
|
919
|
188, 20
|
| - товари
|
- // -
|
948
|
1287
|
339
|
135,76
|
| 2
|
Виручка від реалізації продукції
|
тис. грн
|
6437
|
6560
|
123
|
101,91
|
| 3
|
Матеріальні витрати
|
тис. грн
|
2273
|
2047
|
-226
|
90,06
|
| 4
|
Чистий прибуток
|
тис. грн
|
812,7
|
851,2
|
38,5
|
104,74
|
| 5
|
Коефіцієнт оборотності
оборотних засобів (2/1)
|
0,32
|
0,31
|
-0,0069
|
97,84
|
| 6
|
Коефіцієнт закріплення (1/2)
|
3,13
|
3, 20
|
0,069
|
102,21
|
| 7
|
Тривалість обороту (365/5)
|
днів
|
1141,10
|
1166,33
|
25,23
|
102,21
|
| 8
|
Матеріаловіддача (2/3)
|
грн
|
2,83
|
3, 20
|
0,37
|
113,16
|
Виходячи з розрахунків, помітно, що матеріальні оборотні засоби (всього) збільшились у 2009 р. на 838 тис. грн. у порівнянні з 2008 р. Збільшилась і виручка від реалізації продукції підприємства у 2009 р. на 123 тис. грн. порівняно з 2008 р. Матеріальні витрати зменшились у 2009 р. на 226 тис. грн. у порівнянні з 2008 р. Чистий прибуток у 2009 р. збільшився на 38,5 тис. грн. порівняно з 2008 р.
Забезпеченість підприємства енергетичними потужностями та ресурсами на належному рівні дає змогу підприємству використовувати її в необхідних йому кількостях для процесу виробництва продукції безперервно та розвитку підприємства в цілому. Енергетичні потужності підприємства повинні бути саме на належному рівні для оптимального використання ресурсного потенціалу підприємства, тому що перевищення або заниження оптимального рівня енергозабезпечення може призвести до негативних наслідків.
Визначимо показники забезпеченості та ефективності використання енергетичних потужностей та ресурсів підприємства та зробимо відповідні висновки (табл. 2.9).
Таблиця 2.9. Забезпеченість та ефективність використання енергетичних потужностей та ресурсів
| №
з/п
|
Показники
|
Одиниці виміру
|
Роки
|
Відхилення
(+, -)
|
2009
у% до
2008
|
| 2008
|
2009
|
| 1
|
2
|
3
|
4
|
5
|
6
|
7
|
| 1
|
Енергетичні потужності
|
тис. кВт
|
21840
|
18720
|
-3120
|
85,71
|
| 2
|
Спожито електроенергії
|
тис. кВт. - год
|
12240
|
12160
|
-80
|
99,35
|
| 3
|
Виробнича площа
|
тис. м2
|
20
|
20
|
0
|
100,00
|
| 4
|
Середньооблікова чисельність
промислово-виробничого персоналу
|
чол
|
650
|
610
|
-40
|
93,85
|
| 5
|
Валова продукція
(у діючих оптових цінах)
|
тис. грн
|
6675
|
6714
|
39
|
100,58
|
| 6
|
Енергозабезпеченість (1/3)
|
кВт/м2
|
1092
|
936
|
-156
|
85,71
|
| 7
|
Енергоозброєність (1/4)
|
кВт/ чол
|
33,60
|
30,69
|
-2,91
|
91,33
|
| 8
|
Електроозброєність (2/4)
|
кВт. - год/чол
|
18,83
|
19,93
|
1,10
|
105,86
|
| 9
|
Енергоємкість (1/5)
|
кВт/грн
|
3,27
|
2,79
|
-0,48
|
85,22
|
| 10
|
Електроємкість (2/5)
|
кВт. - год / грн
|
1,83
|
1,81
|
-0,02
|
98,77
|
Таким чином енергетичні потужності підприємства у 2009 р. зменшились на 610 тис. кВт у порівнянні до 2008 р. при тому, що кількість спожитої електроенергії зменшилась у 2009 р. на 115 тис. кВт. - год. порівняно з 2008 р. Зменшилась чисельність промислово-виробничого персоналу на 70 чоловік. Збільшилась валова продукція підприємства у 2009 р. у порівнянні до 2008 р. на 574 тис. грн.
Персонал підприємства
- сукупність постійних робітників, що отримали необхідну професійну підготовку та мають досвід практичної діяльності. Персонал підприємства має кількісну, структурну та якісну характеристики.
Порахуємо структуру персоналу та її зміну за вивчає мий період (табл.2.10) і зробимо відповідні висновки.
Таблиця 2.10. Показники кількісної та структурної характеристики персоналу
| №
з/п
|
Категорії робітників
|
Роки
|
Відхилення (+, -), чол..
|
Відхилення (+, -),%
|
| 2008
|
2009
|
| чол.
|
структура, %
|
чол.
|
структура, %
|
| 1
|
2
|
3
|
4
|
5
|
6
|
7
|
8
|
| 1
|
Чисельність
промислово-виробничого
персоналу
|
650
|
94, 20
|
610
|
95,02
|
-40
|
0,81
|
| в т. ч.: робітники
|
475
|
68,84
|
436
|
67,91
|
-39
|
-0,93
|
| з них: основні
|
370
|
53,62
|
360
|
56,07
|
-10
|
2,45
|
| допоміжні
|
105
|
15,22
|
76
|
11,84
|
-29
|
-3,38
|
| спеціалісти
|
120
|
17,39
|
121
|
18,85
|
1
|
1,46
|
| службовці
|
40
|
5,80
|
38
|
5,92
|
-2
|
0,12
|
| молодший обслуговуючий
персонал
|
10
|
1,45
|
10
|
1,56
|
0
|
0,11
|
| пожежно-сторожова охорона
|
5
|
0,72
|
5
|
0,78
|
0
|
0,05
|
| 2
|
Робітники ЖКГ
|
8
|
1,16
|
7
|
1,09
|
-1
|
-0,07
|
| 3
|
Робітники торгівлі
та громадського
харчування
|
5
|
0,72
|
5
|
0,78
|
0
|
0,05
|
| 4
|
Робітники, які зайняті
капітальним ремонтом
|
11
|
1,59
|
13
|
2,02
|
2
|
0,43
|
| 5
|
Інші робітники
|
16
|
2,32
|
7
|
1,09
|
-9
|
-1,23
|
| 6
|
Разом
|
690
|
100,00
|
642
|
100,00
|
-48
|
Виходячи з розрахунків таблиці видно, що чисельність промислово - виробничого персоналу підприємства у 2009 р. зменшилась на 40 чоловік у порівнянні до 2008 р. Збільшилась чисельність спеціалістів, а службовців навпаки - зменшилась, чисельність пожежно - сторожової охорони лишилась незмінною. Зменшилась чисельність робітників ЖКГ у 2009 р. у порівнянні до 2008 р. на 1 чоловіка.
Наступним етапом визначають показники руху та ефективності використання персоналу й роблять відповідні висновки (табл.2.11).
Таблиця 2.11. Показники руху та ефективності використання персоналу
| №
з/п
|
Показники
|
Одиниці виміру
|
Роки
|
Відхилення
(+, -)
|
2009
у% до
2008
|
| 2008
|
2009
|
| 1
|
2
|
3
|
4
|
5
|
6
|
7
|
| 1
|
Середньооблікова
чисельність працівників
|
чол.
|
690
|
642
|
-48
|
93,04
|
| 2
|
Робітники, які
пропрацювали весь рік
|
чол.
|
592
|
621
|
29
|
104,90
|
| 3
|
Прийнято на роботу
|
чол.
|
25
|
8
|
-17
|
32,00
|
| 4
|
Кількість робітників,
звільнених протягом року –
всього у т. ч. з причин:
|
чол.
|
73
|
13
|
-60
|
17,81
|
| а) призову до армії, вибуття
на навчання, виходу
на пенсію та з інших
причин, передбачених законом;
|
чол.
|
17
|
6
|
-11
|
35,29
|
| б) з власного бажання;
|
чол.
|
48
|
4
|
-44
|
8,33
|
| в) звільнення за порушення
трудової дисципліни
|
чол.
|
8
|
3
|
-5
|
37,50
|
| 5
|
Фактичний фонд робочого часу
|
тис. люд. - год
|
1020
|
954
|
-66
|
93,53
|
| 6
|
Потенціальний фонд робочого часу
|
тис. люд. - год
|
1352
|
1258
|
-94
|
93,05
|
| 7
|
Валова продукція
(у діючих оптових цінах)
|
тис. грн
|
6675
|
6714
|
39
|
100,58
|
| 8
|
Рівень плинності персоналу
[ (4б+4в) /1] *100
|
%
|
8,12
|
1,09
|
-7,03
|
13,43
|
| 9
|
Рівень загального обороту
[ (3+4) /1] *100
|
%
|
14, 20
|
3,27
|
-10,93
|
23,03
|
| 10
|
Рівень обороту з приймання
(3/1) *100
|
%
|
3,62
|
1,25
|
-2,38
|
34,39
|
| 11
|
Рівень обороту зі звільнення
(4/1) *100
|
%
|
10,58
|
2,02
|
-8,55
|
19,14
|
| 12
|
Коефіцієнт стабільності
(2/1) *100
|
85,80
|
96,73
|
10,93
|
112,74
|
| 13
|
Коефіцієнт використання
персоналу (5/6)
|
0,75
|
0,76
|
0,00
|
100,52
|
| 14
|
Трудова активність 5/1
|
люд. - год
|
1,48
|
1,49
|
0,01
|
100,52
|
| 15
|
Продуктивність праці:
|
| |
- виробіток (7/1)
|
грн/ чол
|
9,67
|
10,46
|
0,78
|
108,10
|
| |
- трудомісткість (5/7)
|
люд. - год/ грн
|
0,15
|
0,14
|
-0,01
|
92,99
|
Таким чином чисельність працівників, що працювали весь рік збільшилась у 2009 р. на 29 чоловік у порівнянні з 2008 р. У 2009 р. було прийнято на підприємство на 17 чоловік менше, ніж у 2008 р. Фактичний фонд робочого часу зменшився на 66 а потенційний теж зменшився на 94 тис. люд. - год. Валова продукція збільшилась на 39 тис. грн.
Р
озділ 3. Економічна ефективність діяльності підприємства
Операційні витрати - витрати, які пов’язані з основним видом діяльності підприємства, а також іншими видами діяльності, які не є інвестиційними або фінансовими.
Собівартість - всі поточні витрати, які необхідні для здійснення простого процесу відтворювання.
Управління витратами
- це процес цілеспрямованого формування витрат щодо їхніх видів, місць та носіїв за постійного контролю рівня витрат і стимулювання їхнього зниження.
Виявлення й використання чинників економії ресурсів, зниження витрат є обов'язком кожного працівника підприємства, передусім спеціалістів і керівників усіх рівнів. Згідно з певними організаційно-технічними рішеннями та умовами розробляються норми витрат усіх видів ресурсів: сировини, основних і допоміжних матеріалів, енергії, трудових ресурсів тощо.
Установлені норми витрат
- це граничні витрати окремих видів ресурсів за даних організаційно-технічних умов виробництва. Вони є важливим чинником забезпечення режиму жорсткої економії і відповідно конкурентоспроможності підприємства. У процесі планування встановлюються граничні (допустимі) загальні витрати в підрозділах і в цілому по підприємству (кошториси) та на одиницю продукції.
Порівняння фактичних витрат з плановими (нормативними) дає змогу в процесі аналізу оцінювати роботу підрозділів з використання ресурсів, з'ясовувати причини відхилень фактичних витрат від планових і відповідно стимулювати працівників підприємства до їхнього зниження.
Розрахуємо абсолютне та відносне відхилення величини загальної собівартості реалізованої продукції за вивчає мий період (табл.3.1) та визначити, собівартість одиниці якої продукції зросла, а якої зменшилась і за рахунок чого зросла загальна собівартість.
Таблиця 3.1. Динаміка собівартості реалізованої продукції
| №
з/п
|
Вид продукції
|
Кількість, шт
|
Собівартість продукції, грн
|
Відхилення собівартості – всього (+, -), грн
|
2009
у% до
2008
|
| 2008
|
2009
|
всього
|
одиниці
|
| 2008
|
2009
|
2008
|
2009
|
| 1
|
2
|
3
|
4
|
5
|
6
|
7
|
8
|
9
|
10
|
| 1
|
Вироби КТД-2
|
110
|
116
|
1097
|
1069
|
9,97
|
9,22
|
-28
|
97,45
|
| 2
|
Прилади електровакуумні
|
220
|
230
|
560
|
590
|
2,55
|
2,57
|
30
|
105,36
|
| 3
|
Прилади оптоелектронні
|
800
|
900
|
1020
|
1302
|
1,28
|
1,45
|
282
|
127,65
|
| 4
|
Обчислювальна техніка
|
6400
|
6520
|
708
|
648
|
0,11
|
0,10
|
-60
|
91,53
|
| 5
|
Медична техніка
|
320
|
350
|
700
|
760
|
2, 19
|
2,17
|
60
|
108,57
|
| 6
|
Годинники побутові
|
34000
|
34500
|
803
|
783
|
0,02
|
0,02
|
-20
|
97,51
|
| 7
|
Іграшки та прикраси
|
66000
|
66000
|
275
|
214
|
0,0042
|
0,0032
|
-61
|
77,82
|
| 8
|
Роботи та послуги
|
155
|
164
|
9
|
105,81
|
| Разом
|
Отже, виходячи з розрахунків таблиці видно, що собівартість виробів КТД-2 у 2009 р. зменшилась на 28 грн. порівняно з 2008 р. Собівартість приладів електровакуумних у 2009 р. у порівнянні до 2008 р. збільшилась на 30 грн. Собівартість оптоелектронних приладів у 2009 р. склала на 282 грн більше, ніж у 2008 р. Собівартість обчислювальної техніки, годинників, іграшок та прикрас зменшились у 2009 р. у порівнянні з 2008 р. Збільшилась кількість медичної техніки та робіт і послуг.
Вивчимо динаміку величини та структури операційних витрат підприємства за допомогою таблиці 3.2
Таблиця 3.2. Динаміка операційних витрат
| №
з/п
|
Елементи витрат
|
Роки
|
Відхилення (+, -), тис. грн
|
Відхилення (+, -),%
|
| 2008
|
2009
|
| тис. грн
|
структура, %
|
тис. грн
|
структура, %
|
| 1
|
2
|
3
|
4
|
5
|
6
|
7
|
8
|
| 1
|
Матеріальні витрати
|
2273
|
40,21
|
2047
|
34,94
|
-226
|
-5,27
|
| 2
|
Витрати на оплату праці
|
1509
|
26,69
|
1832
|
31,27
|
323
|
4,57
|
| 3
|
Відрахування на
соціальні заходи
|
558
|
9,87
|
678
|
11,57
|
120
|
1,70
|
| 4
|
Амортизація
|
678
|
11,99
|
701
|
11,96
|
23
|
-0,03
|
| 5
|
Інші операційні витрати
|
635
|
11,23
|
601
|
10,26
|
-34
|
-0,98
|
| Разом
|
5653
|
100,00
|
5859
|
100,00
|
206
|
З розрахунків видно, що матеріальні витрати зменшились на 226 тис. грн., витрати на оплату праці, відрахування на соціальні заходи та амортизація збільшились у 2009 р. у порівнянні з 2008 р. Інші операційні витрати зменшились на 34 тис. грн. Разом всі операційні витрати зросли на 206 тис. грн.
Інвестиції (капітальні вкладення) - сукупність витрат матеріальних, трудових та грошових ресурсів, що спрямовані на розширене відтворення основних фондів всіх галузей народного господарства.
Інвестиції - відносно новий термін для нашої економіки. В рамках централізованої планової системи використовувався термін “валові капітальні вклади”, під яким розумілись всі витрати на відтворення основних фондів, включаючи витрати на їх ремонт.
Тепер визначимо динаміку величини та структури капітальних інвестицій на підприємстві за період, що вивчається (табл.3.3).
Таблиця 3.3. Динаміка капітальних інвестицій
| №
з/п
|
Вид інвестиції
|
Роки
|
Відхилення (+, -), тис. грн
|
Відхилення (+, -),%
|
| 2008
|
2009
|
| тис. грн
|
структура, %
|
тис. грн
|
структура, %
|
| 1
|
2
|
3
|
4
|
5
|
6
|
7
|
8
|
| 1
|
Капітальне будівництво
|
| 2
|
Придбання (виготовлення)
основних засобів
|
950
|
87,64
|
1000
|
90,50
|
50
|
2,86
|
3
|
Придбання (виготовлення)
інших необоротних матеріальних активів
|
| 4
|
Придбання (створення) нематеріальних активів
|
134
|
12,36
|
105
|
9,50
|
-29
|
-2,86
|
| 5
|
Формування основного стада
|
| 6
|
Інші
|
| Разом
|
1084
|
100,00
|
1105
|
100,00
|
21
|
Отже, з розрахунків таблиці видно, що придбання (виготовлення) основних засобів у 2009 р. збільшилось на 50 тис. грн., а у відносному значенні це зменшення склало 2,86%. Придбання (створення) нематеріальних активів на підприємстві у 2009 р. на 29 тис. грн. менше у порівнянні з 2008 р. Загальна величина капітальних інвестицій на підприємстві у 2009 р. збільшилась на 21 тис. грн. порівняно з 2008 р.
Зробимо розрахунки загальної (абсолютної) ефективності реальних (капітальних) інвестицій і відповідні висновки (табл.3.4)
Таблиця 3.4. Ефективність капітальних інвестицій
| №
з/п
|
Показники
|
Одиниці виміру
|
Роки
|
Відхилення (+, -)
|
2009
у% до
2008
|
| 2008
|
2009
|
| 1
|
2
|
3
|
4
|
5
|
6
|
7
|
| 1
|
Капітальні інвестиції
|
тис. грн
|
1084
|
1105
|
21
|
101,94
|
| 2
|
Прибуток від операційної діяльності
|
тис. грн
|
1095
|
1154
|
59
|
105,39
|
| 3
|
Коефіцієнт ефективності
капітальних інвестицій (2/1)
|
1,01
|
1,04
|
0,03
|
103,39
|
| 4
|
Строк окупності капітальних
інвестицій (1/2)
|
років
|
0,99
|
0,96
|
-0,03
|
96,73
|
Виходячи з розрахунків таблиці ми бачимо збільшення капітальних інвестицій та прибутку від операційної діяльності на підприємстві у 2009 р. відповідно на 21 та 59 тис. грн. у порівнянні з 2008 р., коефіцієнт ефективності капітальних інвестицій збільшився у 2009 р. порівняно з 2008 р. на 3,39%. Зменшився строк окупності капітальних інвестицій у 2009 р. порівняно з 2008 р. на 3,27%.
Фінансові результати та рентабельність діяльності підприємства
Фінансові результати формуються в відповідності до видів діяльності підприємства. Виділяють звичайну та надзвичайну діяльності підприємства. По кожному виду розраховується дохід (виручка), витрати та фінансові результати (прибуток чи збиток).
Таким чином, на рівні підприємства виділяють слідуючи види фінансових результатів:
валовий прибуток;
прибуток або збиток від операційної діяльності;
прибуток або збиток від фінансової діяльності;
прибуток або збиток від звичайної діяльності;
прибуток або збиток від інвестиційної діяльності;
чистий прибуток або збиток.
Визначимо фінансові результати і рентабельність від реалізації продукції та визначимо величини їх зміни за період, що вивчається (табл.3.5., 3.6).
Таблиця 3.5. Фінансові результати від реалізації продукції
| №
з/п
|
Вид продукції
|
Виручка,
тис. грн
|
Собівартість реалізованої продукції, тис. грн
|
Прибуток (+),
збиток (-), тис. грн
|
Відхилення прибутку всього
(+, -), грн
|
2009
у% до
2008
|
| 2008
|
2009
|
2008
|
2009
|
2008
|
2009
|
| 1
|
2
|
3
|
4
|
5
|
6
|
7
|
8
|
9
|
10
|
| 1
|
Вироби КТД-2
|
1110
|
1190
|
1097
|
1069
|
13
|
121
|
108
|
930,77
|
| 2
|
Прилади електровакуумні
|
570
|
610
|
560
|
590
|
10
|
20
|
10
|
200,00
|
| 3
|
Прилади оптоелектронні
|
1685
|
1570
|
1020
|
1302
|
665
|
268
|
-397
|
40,30
|
| 4
|
Обчислювальна техніка
|
734
|
770
|
708
|
648
|
26
|
122
|
96
|
469,23
|
| 5
|
Медична техніка
|
767
|
855
|
700
|
760
|
67
|
95
|
28
|
141,79
|
| 6
|
Годинники побутові
|
905
|
930
|
803
|
783
|
102
|
147
|
45
|
144,12
|
| 7
|
Іграшки та прикраси
|
286
|
255
|
275
|
214
|
11
|
41
|
30
|
372,73
|
| 8
|
Роботи та послуги
|
380
|
380
|
155
|
164
|
225
|
216
|
-9
|
96,00
|
| Разом
|
6437
|
6560
|
5318
|
5530
|
1119
|
1030
|
-89
|
92,05
|
Таким чином, виручка та собівартість виробів КТД-2 у 2009 р. збільшилась порівняно з 2008 р. Прибуток у 2009 р. збільшився на 930,77% у порівнянні з 2008 р. Прибуток від продажу приладів електровакуумних у 2009 р. збільшився на 10 тис. грн. порівняно з 2008 р. Прибуток від продажу приладів оптоелектронних у 2009 р. зменшився на 397 тис. грн. у порівнянні з 2008 р. У 2009 р. прибуток від продажу обчислювальної техніки, медичної техніки, годинників, іграшок та прикрас збільшились у порівнянні з 2008 р. У 2009 р зменшення прибутку від продажу робіт та послуг у порівнянні з 2008 р. на 89 грн.
Таблиця 3.6. Рентабельність реалізованої продукції
| №
з/п
|
Вид продукції
|
Собівартість реалізованої продукції, тис. грн
|
Прибуток (+), збиток (-), тис. грн
|
Рентабель-ність,%
|
Відхи-лення (+, -),
% -их пунктів
|
| 2008
|
2009
|
2008
|
2009
|
2008
|
2009
|
| 1
|
2
|
3
|
4
|
5
|
6
|
7
|
8
|
9
|
| 1
|
Вироби КТД - 2
|
1097
|
1069
|
13
|
121
|
1, 19
|
11,32
|
10,13
|
| 2
|
Прилади електровакуумні
|
560
|
590
|
10
|
20
|
1,79
|
3,39
|
1,60
|
| 3
|
Прилади оптоелектронні
|
1020
|
1302
|
665
|
268
|
65, 20
|
20,58
|
-44,61
|
| 4
|
Обчислювальна техніка
|
708
|
648
|
26
|
122
|
3,67
|
18,83
|
15,15
|
| 5
|
Медична техніка
|
700
|
760
|
67
|
95
|
9,57
|
12,50
|
2,93
|
| 6
|
Годинники побутові
|
803
|
783
|
102
|
147
|
12,70
|
18,77
|
6,07
|
| 7
|
Іграшки та прикраси
|
275
|
214
|
11
|
41
|
4,00
|
19,16
|
15,16
|
| 8
|
Роботи та послуги
|
155
|
164
|
225
|
216
|
145,16
|
131,71
|
-13,45
|
| Разом
|
5318
|
5530
|
1119
|
1030
|
21,04
|
18,63
|
-2,42
|
Рентабельність виробництва виробів КТД - 2 збільшилась на 10,13% у 2009 р. у порівнянні з 2008 р. Рентабельність приладів електровакуумних збільшилась у 2009 р. на 1,60% порівняно з 2008 р. Прилади оптоелектронні зменшили рентабельність на 44,61%, обчислювальна техніка збільшила рентабельність від її реалізації у 2009 р на 15,5% у порівнянні з 2008 р. Медична техніка, годинники, іграшки та прикраси збільшили свою рентабельність від реалізації у 2009 р. відповідно на 2,93, 6,07, 15,16% порівняно з 2008 р. Зменшилась рентабельність від реалізації надання робіт та послуг на підприємстві у 2009 р. на 13,45% у порівнянні до 2008 р. Зменшилась і загальна рентабельність від реалізації продукції підприємства у 2009 на 2,42% порівняно з 2008 р.
Розрахуємо абсолютні та відносні показники зміни фінансових результатів і рентабельності від усіх видів діяльності підприємства за період, що вивчається (табл.3.7).
Таблиця 3.7. Фінансові результати від усіх видів діяльності підприємства
| №
з/п
|
Показники
|
Одиниці виміру
|
Роки
|
Відхи-лення
(+, -)
|
2009
у% до
2008
|
| 2008
|
2009
|
| 1
|
2
|
3
|
4
|
5
|
6
|
7
|
| 1
|
Валовий прибуток
|
тис. грн
|
1119
|
1030
|
-89
|
92,05
|
| 2
|
Прибуток від операційної діяльності
|
тис. грн
|
1095
|
1154
|
59
|
105,39
|
| 3
|
Прибуток від звичайної діяльності
|
тис. грн
|
1161
|
1216
|
55
|
104,74
|
| 4
|
Чистий прибуток
|
тис. грн
|
812,7
|
851,2
|
38,5
|
104,74
|
Отже, валовий прибуток у 2009 р. зменшився на 89 тис. грн. у порівнянні з 2008 р. Прибуток від операційної діяльності збільшився у 2009 р. у порівнянні з 2008 на 59 тис. грн. також збільшення і прибутків від звичайної діяльності та чистого прибутку у 2009 р. відповідно на 55 та 38,5 тис. грн. в порівнянні з 2008 р.
Розрахуємо показники рентабельності діяльності підприємства та визначимо рівень та причини їх зміни за період, що вивчається (табл.3.8) та зробимо відповідні висновки.
Таблиця 3.8. Динаміка показників рентабельності діяльності підприємства
| №
з/п
|
Показники
|
Оди-ниці виміру
|
Роки
|
Відхи-лення
(+, -)
|
2009
у% до
2008
|
| 2008
|
2009
|
| 1
|
2
|
3
|
4
|
5
|
6
|
7
|
| 1
|
Валовий прибуток
|
тис. грн
|
1119
|
1030
|
-89
|
92,05
|
| 2
|
Собівартість реалізованої продукції (робіт, послуг)
|
тис. грн
|
5318
|
5530
|
212
|
103,99
|
| 3
|
Виручка від реалізації продукції (робіт, послуг)
|
тис. грн
|
6437
|
6560
|
123
|
101,91
|
| 4
|
Прибуток від операційної діяльності
|
тис. грн
|
1095
|
1154
|
59
|
105,39
|
| 5
|
Операційні витрати на виробництво продукції, робіт, послуг
|
тис. грн
|
5653
|
5859
|
206
|
103,64
|
| 6
|
Чистий прибуток
|
тис. грн
|
812,7
|
851,2
|
38,5
|
104,74
|
| 7
|
Середньорічна вартість балансових активів підприємства
|
тис. грн
|
71242
|
72738
|
1496
|
102,10
|
| 8.
|
Рентабельність реалізованої продукції (1/2)
|
%
|
0,210
|
0,186
|
-0,024
|
88,52
|
| 9.
|
Рентабельність продаж (1/3)
|
%
|
0,174
|
0,157
|
-0,017
|
90,32
|
| 10
|
Рентабельність операційної діяльності (4/5)
|
%
|
0, 194
|
0, 197
|
0,003
|
101,68
|
| 11
|
Рентабельність підприємства (6/7)
|
%
|
0,011
|
0,012
|
0,000
|
102,58
|
За результатами розрахунків валовий прибуток зменшився на 89 тис. грн. Собівартість реалізованої продукції збільшилась на 212 тис. грн., також збільшилась і виручка від реалізації продукції на 123 тис. грн. Збільшення прибутку від операційної діяльності та операційних витрат на виробництво продукції відбулося відповідно на 59 тис. грн., та 206 тис. грн. Чистий прибуток зріс на 38.5 тис. грн.
Для оцінки фінансово - економічного стану підприємства необхідна відповідна інформаційна база. Такою можуть бути звіт про фінансові результати діяльності і баланс. Спрощена форма балансу є такою:
Для оцінки фінансового стану підприємства використовують показники фінансової стійкості та платоспроможності.
Фінансова стійкість підприємства
- можливість підприємства своєчасно поповнювати запаси, вести розрахунки та платежі за рахунок власних коштів.
Вона визначається за допомогою слідуючи коефіцієнтів: коефіцієнт фінансової незалежності, коефіцієнт фінансової стабільності, коефіцієнт маневреності власними коштами, коефіцієнт забезпеченості власних оборотних коштів.
Платоспроможність
- можливість підприємства своєчасно погашати всіма наявними коштами першочергові зобов’язання.
Визначаються за допомогою слідуючи коефіцієнтів: коефіцієнт загальної ліквідності, коефіцієнт поточної ліквідності, коефіцієнт абсолютної ліквідності.
Розрахуємо показники фінансової стійкості та платоспроможності і їх зміни за період, що вивчається, за допомогою таблиці 3.9. на підставі форми 1. “Баланс".
Таблиця 3.9. Динаміка показників фінансової стану
| №
з/п
|
Показники
|
Оптимальні значення
|
Роки
|
2009
у% до
2008
|
| 2008
|
2009
|
| 1
|
2
|
3
|
4
|
5
|
6
|
| 1
|
Показники фінансової стійкості:
|
| |
коефіцієнт фінансової незалежності
[ (к.380+к.430) /к.640]
|
>0,5
|
0,48
|
0,48
|
98,78
|
| |
коефіцієнт фінансової стабільності
[ (к.380+к.430) / (к.480+к.620+к.630)]
|
>1
|
0,93
|
0,91
|
97,67
|
| |
коефіцієнт маневреності власними коштами
[ (к.260 - к.620) / к.380]
|
0,4-0,6
|
0,06
|
0,17
|
268,99
|
| |
коефіцієнт забезпеченості власними
обіговими коштами [ (к.260 - к.620) / к.260]
|
>0,1
|
0,06
|
0,15
|
248,13
|
| 2
|
Показники платоспроможності:
|
| |
коефіцієнт загальної ліквідності [к.260/к620]
|
2,0-2,5
|
1,06
|
1,18
|
110,54
|
| |
коефіцієнт поточної ліквідності
[к.160+к.170+…+к.240) / к.620]
|
0,7-0,8
|
0,18
|
0,25
|
142,96
|
| |
коефіцієнт абсолютної ліквідності
[к.220+…+к.240) / к.620]
|
0,2-0,25
|
0,010
|
0,018
|
171,45
|
Виходячи з розрахунків таблиці видно зменшення коефіцієнтів фінансової незалежності, фінансової стабільності у 2009 р. у порівнянні з 2008 р. Є значне збільшення коефіцієнтів маневреності власними коштами, забезпеченості власними обіговими коштами у 2009 р. у порівнянні з 2008 р. Збільшились також показники платоспроможності. Щодо всіх коефіцієнтів, то більшість з них знаходяться на нижчому рівні, ніж оптимальний, що негативно відображається на фінансовому стані підприємства.
Р
озділ 4. Економічна безпека діяльності підприємства
Економічна безпека фірми (підприємства, організації) -
це такий стан корпоративних ресурсів (ресурсів капіталу, персоналу, інформації і технології, техніки та устаткування, прав) і підприємницьких можливостей, за якого гарантується найбільш ефективне їхнє використання для стабільного функціонування та динамічного науково-технічного й соціального розвитку, запобігання внутрішнім і зовнішнім негативним впливам (загрозам).
Необхідність постійного дотримання економічної безпеки зумовлюється об'єктивно наявним для кожного суб'єкта господарювання завданням забезпечення стабільності функціонування та досягнення головних цілей своєї діяльності. Рівень економічної безпеки фірми залежить від того, наскільки ефективно її керівництво і спеціалісти (менеджери) будуть спроможні уникнути можливих загроз і ліквідувати шкідливі наслідки окремих негативних складових зовнішнього і внутрішнього середовища.
Джерелами негативних впливів на економічну безпеку можуть бути:
1) свідомі чи несвідомі дії окремих посадових осіб і суб'єктів господарювання (органів державної влади, міжнародних організацій, підприємств (організацій) - конкурентів;
2) збіг об'єктивних обставин (стан фінансової кон'юнктури на ринках даного підприємства, наукові відкриття та технологічні розробки, форс-мажорні обставини тощо). Залежно від суб'єктної обумовленості негативні впливи на економічну безпеку можуть мати об'єктивний і суб'єктивний характер. Об'єктивними вважаються такі негативні впливи, які виникають не з волі конкретного підприємства або його окремих працівників. Суб'єктивні впливи мають місце внаслідок неефективної роботи підприємства в цілому або окремих його працівників (передовсім керівників і функціональних менеджерів). Головна мета економічної безпеки підприємства полягає в тім, щоб гарантувати його стабільне та максимально ефективне функціонування тепер і високий потенціал розвитку в майбутньому. До основних функціональних цілей економічної безпеки належать:
забезпечення високої фінансової ефективності роботи, фінансової стійкості та незалежності підприємства (організації);
забезпечення технологічної незалежності та досягнення високої конкурентоспроможності технічного потенціалу того чи того суб'єкта господарювання;
досягнення високої ефективності менеджменту, оптимальної та ефективної організаційної структури управління підприємством (організацією);
досягнення високого рівня кваліфікації персоналу та його інтелектуального потенціалу;
мінімізація руйнівного впливу результатів виробничо-господарської діяльності на стан навколишнього середовища;
якісна правова захищеність усіх аспектів діяльності підприємства (організації);
забезпечення захисту інформаційного поля, комерційної таємниці і досягнення необхідного рівня інформаційного забезпечення роботи всіх підрозділів підприємства та відділів організації;
ефективна організація безпеки персоналу підприємства, його капіталу та майна, а також комерційних інтересів.
Головна та функціональні цілі зумовлюють формування необхідних структуроутворюючих елементів і загальної схеми організації економічної безпеки.
Загальна схема процесу організації економічної безпеки включає такі дії (заходи), що здійснюються послідовно або одночасно:
1) формування необхідних корпоративних ресурсів (капіталу, персоналу, прав, інформації, технології та устаткування);
2) загальностратегічне прогнозування та планування економічної безпеки за функціональними складовими;
3) стратегічне планування фінансово-господарської діяльності підприємства (організації);
4) загальнотактичне планування економічної безпеки за функціональними складовими;
5) тактичне планування фінансово-господарської діяльності підприємства (організації);
6) оперативне управління фінансово-господарською діяльністю підприємства (організації);
7) здійснення функціонального аналізу рівня економічної безпеки;
8) загальна оцінка досягнутого рівня економічної безпеки. Тільки за здійснення в необхідному обсязі зазначених дій (заходів) можна буде досягти належного рівня економічної безпеки підприємства.
Економічна наука розробила, а господарська практика випробувала загальну методологію оцінки рівня економічної безпеки підприємства (організації). Його пропонується оцінювати на підставі визначення сукупного критерію через зважування й підсумовування окремих функціональних критеріїв, які обчислюються із допомогою порівняння можливої величини шкоди підприємству та ефективності заходів щодо запобігання цій шкоді.
Результати функціонального аналізу оформляються у вигляді спеціальної таблиці-карти. Заповнюючи таку таблицю-карту, негативні явища, що впливають одразу на кілька складових економічної безпеки, ураховують окремо для кожної з них, натомість вартість заходів, які повторюються стосовно різних функціональних складових, ураховується в бюджеті підприємства (організації) лише один раз.
Оцінка ефективності діяльності відповідних структурних підрозділів підприємства (організації) з використанням даних про витрати на запобігання можливим негативним впливам на економічну безпеку та про розміри відверненої і заподіяної шкоди дає об'єктивну (підкріплену економічними розрахунками) панораму результативності діяльності всіх структурних підрозділів (відділів, цехів) з цього питання. Конкретна оцінка ефективності роботи структурних підрозділів того чи того суб'єкта господарювання щодо економічної безпеки здійснюється з використанням таких показників:
1) витрати на здійснення заходу;
2) розмір відверненої шкоди;
3) розмір заподіяної шкоди;
4) ефективність здійсненого заходу (як різниця відверненої та заподіяної шкоди, поділеної на витрати на здійснення заходу).
Особливості розробки принципів економічної безпеки підприємства за окремими функціональними складовими.
Серед функціональних складових належного рівня економічної безпеки фінансова складова вважається провідною й вирішальною, оскільки за ринкових умов господарювання фінанси є "двигуном" будь-якої економічної системи.
Спочатку оцінюються загрози економічній безпеці, що мають політико-правовий характер і включають:
внутрішні негативні дії (неефективне фінансове планування та управління активами; малоефективна ринкова стратегія; помилкова цінова й кадрова політика);
зовнішні негативні дії (спекулятивні операції на ринку цінних паперів; цінова та інші форми конкуренції; лобіювання конкурентами недостатньо продуманих рішень органів влади);
форс-мажорні обставини (стихійне лихо, страйки, військові конфлікти) та обставини, наближені до форс-мажорних (несприятливі законодавчі акти, ембарго, блокада, зміна курсу валют тощо).
У процесі оцінки поточного рівня забезпечення фінансової складової економічної безпеки підлягають аналізу:
фінансова звітність і результати роботи підприємства (організації) - платоспроможність, фінансова незалежність, структура й використання капіталу та прибутку;
конкурентний стан підприємства (організації) на ринку - частка ринку, якою володіє суб'єкт господарювання; рівень застосовуваних технологій і менеджменту;
ринок цінних паперів підприємства (організації) - оператори та інвестори цінних паперів, курс акцій і лістинг.
Важливою передумовою охорони фінансової складової економічної безпеки є планування (включаючи й бюджетне) комплексу необхідних заходів та оперативна реалізація запланованих дій у процесі здійснення тим чи іншим суб’єктом господарювання фінансово-економічної діяльності.
Належний рівень економічної безпеки у великій мірі залежить від складу кадрів, їхнього інтелекту та професіоналізму.
Охорона інтелектуальної та кадрової складових економічної безпеки охоплює взаємозв'язані і водночас самостійні напрями діяльності того чи того суб'єкта господарювання:
перший - зорієнтовано на роботу з персоналом фірми на підвищення ефективності діяльності всіх категорій персоналу;
другий - націлено на збереження й розвиток інтелектуального потенціалу, тобто сукупності прав на інтелектуальну власність або на п використання (у тім числі патентів і ліцензій), та на поповнення знань І професійного досвіду працівників підприємства (організації).
На першій стадії процесу охорони цієї складової економічної безпеки здійснюється оцінка загроз негативних дій і можливої шкоди від таких дій. З-поміж основних негативних впливів на економічну безпеку підприємства виокремлюють недостатню кваліфікацію працівників тих чи тих структурних підрозділів, їхнє небажання або нездатність приносити максимальну користь своїй фірмі. Це може бути зумовлене низьким рівнем управління персоналом, браком коштів на оплату праці окремих категорій персоналу підприємства (організації) чи нераціональним їх витрачанням.
Процес планування та управління персоналом, спрямований на охорону належного рівня економічної безпеки, має охоплювати організацію системи підбору, найму, навчання й мотивації праці необхідних працівників, включаючи матеріальні та моральні стимули, престижність професії, волю до творчості, забезпечення соціальними благами.
Важливою ланкою встановлення нормального рівня економічної безпеки є оцінка ефективності заходів, яка здійснюється через зіставлення загальної величини витрат на запобіжні заходи і втрат, яких могло б зазнати підприємство.
Загальний процес охорони політико-правової складової економічної безпеки здійснюється за типовою схемою, яка охоплює такі елементи (дії) організаційно-економічного спрямування:
1) аналіз загроз негативних впливів;
2) оцінка поточного рівня забезпечення;
3) планування комплексу заходів, спрямованих на підвищення цього рівня;
4) здійснення ресурсного планування;
5) планування роботи відповідних функціональних підрозділів підприємства (організації);
6) оперативна реалізація запропонованого комплексу заходів щодо організації належного рівня безпеки.
Передовсім детально аналізують загрози внутрішніх і зовнішніх негативних впливів на політико-правову складову економічної безпеки та причини їхнього виникнення.
Основними причинами виникнення внутрішніх негативних впливів можуть бути:
а) низька кваліфікація працівників юридичної служби відповідного суб'єкта господарювання та помилки у підборі персоналу цієї служби;
б) недостатнє фінансування юридичного забезпечення підприємницької або іншої діяльності;
в) небажання чи нездатність підприємства (організації) активно впливати на зовнішнє політико-правове середовище його (її) діяльності.
Останнє, як правило, виявляється в слабкому правовому опрацюванні договірних відносин даного суб'єкта господарювання з іншими, невмінні захищати інтереси підприємства (організації) в конфліктних ситуаціях, неефективному плануванні юридичного забезпечення бізнесової діяльності.
Причини виникнення зовнішніх негативних впливів здебільшого мають подвійний характер:
1) політичний;
2) законодавчо-правовий.
До першої групи причин можна віднести:
а) зіткнення інтересів суспільних груп (верств) населення з економічних, національних, релігійних та інших мотивів;
б) військові конфлікти (дії);
в) економічна й політична блокада, ембарго;
г) фінансові та політичні кризи світового (міжнародного) характеру.
У другій групі причин зазвичай виокремлюють:
а) здійснення власних політичних та інших цілей партіями (суспільними рухами), що перебувають при владі;
б) зміна положень чинного законодавства з питань власності, господарського й трудового права, оподаткування тощо.
Оцінка реального стану політико-правової безпеки підприємства (організації) провадиться за кількома напрямками:
1) рівень організації та якості робіт щодо охорони цієї складової загального рівня економічної безпеки;
2) бюджетно-ресурсне забезпечення робіт;
3) ефективність діяльності відповідних підрозділів суб'єктів господарювання.
Належні служби підприємства (організації) виконують певні функції, які в сукупності характеризують процес створення та захисту інформаційної складової економічної безпеки. До таких належать:
1) збирання всіх видів інформації, що має відношення до діяльності того чи того суб'єкта господарювання (інформації щодо всіх видів ринків; інформації, що характеризує політичні події й тенденції макроекономічного розвитку світової та національної економік; корисну науково-технічну інформацію);
2) аналіз одержуваної інформації з обов'язковим дотриманням загальноприйнятих принципів (систематизації, безперервності надходження, усебічного характеру аналітичних процесів) і методів (локальних із специфічних проблем, загальнокорпоративних) організації робіт;
3) прогнозування тенденцій розвитку науково-технологічних, економічних і політичних процесів на підприємстві (в організації), в країні та у світі стосовно конкретної сфери бізнесу (діяльності), а також показників, яких необхідно досягти суб'єкту господарювання (наприклад, фінансові прогнози, прогнози об'єктів виробництва й технологічного розвитку);
4) оцінка рівня економічної безпеки за всіма складовими та в цілому, розробка рекомендацій для підвищення цього рівня на конкретному суб'єкті господарювання;
5) інші види діяльності з розробки інформаційної складової економічної безпеки (зв'язок із громадськістю, формування сприятливого іміджу фірми, захист конфіденційної інформації).
На підприємство (в організацію) постійно надходять потоки інформації, що розрізняються за джерелами їхнього формування (виникнення). Заведено виокремлювати:
відкриту офіційну інформацію;
вірогідну нетаємну інформацію, одержану через неформальні контакти працівників фірми з носіями такої інформації;
конфіденційну інформацію, одержану способом несанкціонованого доступу до неї.
У підсумку сукупність негативних дій щодо силової складової економічної безпеки можна стисло сформулювати так:
1) фізичні та моральні впливи особистого спрямування (спрямовані проти конкретної особистості);
2) негативні дії, спрямовані на завдання шкоди майну, включаючи загрози зменшення активів підприємства (організації) і втрати ним (нею) фінансової незалежності;
3) негативний вплив на інформаційне середовище суб'єкта господарювання (так званий промисловий шпіонаж).
На всіх великих і середніх підприємствах (в організаціях) звичайно створюються автономні служби безпеки, а безпека функціонування невеликих фірм може забезпечуватися територіальними (районними або міськими) службами, що в них фірма наймає одного чи кількох охоронців.
Такі служби охорони, як правило, створюються при місцевих органах внутрішніх справ або при державній службі безпеки.
Служба безпеки будь-якої фірми постійно виконує певний комплекс завдань. Головними з них для будь-якої фірми є такі:
1) охорона виробничо-господарської діяльності та захист відомостей, що вважаються комерційною таємницею даної фірми (підприємства, організації);
2) організація роботи з правового та інженерно-технічного захисту комерційних таємниць фірми;
3) запобігання необґрунтованому допуску й доступу до відомостей та робіт, які становлять комерційну таємницю;
4) організація спеціального діловодства, яке унеможливлює несанкціоноване одержання відомостей, віднесених до комерційної таємниці відповідної фірми;
5) виявлення та локалізація можливих каналів витоку конфіденційної інформації в процесі звичайної діяльності та за екстремальних ситуацій;
6) організація режиму безпеки за здійснення всіх видів діяльності, включаючи зустрічі, переговори й наради в рамках ділового співробітництва фірми з іншими партнерами;
7) забезпечення охорони приміщень, устаткування, офісів, продукції та технічних засобів, необхідних для виробничої або іншої діяльності;
8) організація особистої безпеки керівництва та провідних менеджерів і спеціалістів фірми;
9) оцінка маркетингових ситуацій та неправомірних дій конкурентів і зловмисників.
Зрозуміло, що перелік конкретних завдань стосовно організації системи безпеки фірми залежно від специфіки її діяльності може бути більшим або меншим, але він завжди має бути достатнім та обґрунтованим.
Сукупність конкретних завдань, що стоять перед службою безпеки фірми, зумовлює певний набір виконуваних нею функцій.
У нормативних документах, які визначають організацію діяльності служб безпеки фірм, виокремлюються конкретні об'єкти, що підлягають захисту від потенційних загроз і протиправних посягань. Беручи загалом, до них належать:
персонал
(керівні працівники; персонал, який володіє інформацією, що становить комерційну таємницю фірми);
матеріальні засоби праці та фінансові кошти
(приміщення, споруди, устаткування, транспорт; валюта, коштовні речі, фінансові документи);
інформаційні ресурси з обмеженим доступом;
засоби та системи комп'ютеризації діяльності фірми (підприємства, організації);
технічні засоби та системи охорони й захисту матеріальних та інформаційних ресурсів.
Служба безпеки фірми завжди має бути готовою до подолання критичної (кризової) ситуації, що може постати через зіткнення інтересів бізнесу та злочинного світу.
Для управління безпекою багато які фірми створюють так звані кризові групи, до складу яких входять керівник фірми, юрист, фінансист і керівник служби безпеки. Головна мета діяльності кризової групи - протидіяти зовнішнім загрозам для безпеки фірми. Визначимо беззбитковий обсяг реалізації продукції, а також зону економічної безпеки в базовому та звітному періодах діяльності підприємства (табл.4.1).
Таблиця 4.1. Визначення беззбиткового обсягу реалізації продукції, а також зони економічної безпеки
| №
з/п
|
Показники
|
Одиниці виміру
|
Роки
|
Відхи-лення
(+, -)
|
2009
у% до
2008
|
| 2008
|
2009
|
| 1
|
2
|
3
|
4
|
5
|
6
|
7
|
| 1
|
Виручка від реалізації
продукції
|
тис. грн.
|
6437
|
6560
|
123
|
101,91
|
| 2
|
Операційні витрати на виробництво
продукції, робіт, послуг
|
тис. грн
|
5653
|
5859
|
206
|
103,64
|
| |
у т. ч.: а) постійні
витрати (25%)
|
тис. грн
|
1413,25
|
1464,75
|
51,5
|
103,64
|
| |
б) змінні витрати (75%)
|
тис. грн
|
4239,75
|
4394,25
|
154,5
|
103,64
|
| 3
|
Беззбитковий обсяг
реалізації
[2а / (1 - 2б)] * 1
|
тис. грн
|
4140,22
|
4436,69
|
296,47
|
107,16
|
| 4
|
Зона економічної безпеки
[ (1 - 3) / 3] * 100
|
%
|
55,47
|
47,86
|
-7,62
|
86,27
|
З розрахунків таблиці видно, виручка від реалізації у 2009 році збільшилась на 123 тис. грн. порівняно з 2008 роком, також спостерігається збільшення операційних витрат на 206 тис. грн. Беззбитковий обсяг реалізації зріс на 7,16%, проте показник зони економічної безпеки зменшився у порівнянні з 2008 роком.
Отже, з урахуванням викладеного, з метою покращення інноваційної діяльності підприємств необхідно:
розробити і запровадити механізм надання суттєвих пільг промисловим підприємствам, що впроваджують інновації і реалізують інноваційну продукцію (встановлення податкових канікул, фінансування частини науково-прикладних досліджень за рахунок бюджету, державне замовлення інноваційної продукції тощо);
створити відомчі інноваційні фонди, які формуються за рахунок бюджетних коштів, внесків підприємств і спонсорів;
поширити практику прямого державного фінансування інноваційних інвестицій у межах реалізації програм модернізації промисловості (створення державних інноваційних підприємств, підтримка розвитку технопарків та ін), причому фінансувати треба тільки ті інвестиції, ефективність яких можна спрогнозувати, оцінити і проконтролювати;
поширити практику надання інноваційним підприємствам середньострокових кредитів зі знижкою кредитної ставки (з одночасним відшкодуванням банкам різниці ціни за користування кредитом за рахунок держбюджету);
підвищити рівень фінансування фундаментальної та прикладної науки до загальноприйнятих розмірів, ужити додаткових заходів щодо залучення молоді до наукової роботи (шляхом пільгового житлового кредитування, встановлення підвищених стипендій, збільшення оплати праці молодих учених та ін);
реформувати систему управління науково-технічною та інноваційною діяльністю (передусім усунувши дублювання в діяльності державних установ та створивши єдиний моніторинговий орган із певними владними повноваженнями), удосконалити економіко-правові відносини щодо охорони прав промислової власності, розробити і запровадити методики оцінки інтелектуальної власності, забезпечити підвищення кваліфікації державних службовців із питань організації інноваційної діяльності;
усунути можливість неоднозначного трактування вимог нормативно-правових актів щодо регулювання інвестиційної та інноваційної діяльності, вжити заходів із підвищення публічності й гласності (зокрема, за допомогою громадських обговорень і слухань) у сфері управління інноваційним розвитком;
було б доцільно створити державне агентство, яке б на засадах партнерства разом із підприємницькими структурами та комерційними банками фінансувало частину інноваційного проекту, який реалізується у пріоритетних галузях (у цьому разі ризик і прибуток розподіляються відповідно до суми вкладених сторонами коштів);
розширити застосування організаційно-економічних форм стимулювання інноваційної діяльності (проведення виставок і конференцій, розширення наукових досліджень цієї проблематики, інформування через ЗМІ тощо).
У роботі було вивчене промислове підприємство ВАТ завод „Електрон”. В ході аналізу було виявлено, що середньорічна вартість основних виробничих фондів збільшилась у 2009 р. більш ніж на 2% порівняно з 2008 р. при незмінній виробничій площі. Також позитивним є той факт, що чистий прибуток збільшився у 2009 р. на 38,5 тис. грн. порівняно з 2008 р., це сталося за рахунок збільшення виробництва продукції. З аналізу видно, що діяльність підприємства в основному направлено на виробництво оптоелектронних приладів, виробництво яких за рік збільшилось більш ніж на 10%. Також було помічено збільшення прибутку від операційної діяльності, котрий збільшився майже на 6% протягом року. Рентабельність продукції в цілому зменшилась більш ніж на 2%. Показники ефективності діяльності менші за оптимальні, але на допустимі величини і саме тому вони забезпечують нормальне функціонування підприємства в цілому.
1. Абібуллаєв М.С. Фінансування інноваційної діяльності // Фінанси України. № 3, 2007.
2. Александрова В.П. Економічні аспекти державного програмування інновацій // Вісник Інституту економічного програмування. № 1, 2008.
3. Бинкин Б.А., Черняк В.И. Эффективность управления: наука и практика. - М., 1982.
4. Бойчук І.М., Харів П.С., Хопчан М.І. Економіка підприємств. - Львів, 1999.
5. Бочаров В.В. Корпоративне финансы. - СПб., 2007.
6. Гуляєва Н.М. Стратегічне моделювання інвестиційної діяльності підприємства // Фінанси України. № 8, 1998.
7. Данько М.С. Визначення науково-технологічних пріоритетів як складова політики економічного зростання // Вісник інституту економічного прогнозування. № 1, 2008.
8. Захарін С.В. Активізація інноваційної діяльності промислових підприємств // Фінанси України. № 1, 2009.
9. Зубовський В. Економіка підприємства. - К., 1999.
10. Лапко О.О. Розвиток системи управління науково-інноваційною сферою в Україні // Економіка і прогнозування. №1, 2008.
11. Крупка М.І. Фінансові інструменти державного регулювання та підтримки інноваційної сфери // Фінанси України. № 4, 2007.
12. Пазинич В.І. Оцінка фінансової ефективності впровадження інноваційних програм на підприємстві // Фінанси України. № 6, 2008.
13. Примак Т. Економіка підприємства. - К., 1999.
14. Стоянова Е.С. Финансовый менеджмент: теорія и практика. - М., 1996.
15. Твисс Б. Управление научно-техническими нововведениями. - М., 1989.
16. Тимохін О.М., Бровко К.М. Стимулювання інноваційного процесу на підприємствах // Фінанси України. № 10, 2008.
17. Шахмарова Е.Д. Фінансова оцінка інноваційних проектів // Фінанси України. № 6, 2008.
18. Яковец Ю.В. Ускорение научно-технического прогресса: теория и экономический механизм. - М., 1988.
|