| Содержание
Введение
1. Основы информационных процессов
1.1 Информационные процессы в экономике
1.2 Метод управления проектами
2. Практическая часть
Выводы
Заключение
Список литературы
Эффективное управление предприятием в современных условиях невозможно без использования компьютерных технологий. Правильный выбор программного продукта и фирмы-разработчика - это первый и определяющий этап автоматизации бухгалтерского учета. В настоящее время проблема выбора информационной системы (ИС) из специфической задачи превращается в стандартную процедуру. Актуальность темы обусловлена тем, что при внедрении новых информационных технологий повышается статус фирмы в глазах клиентов, создается образ организации, не только предлагающей модный ассортимент продукции соответствующий сезонным колебаниям, но и идущей вместе с техническим прогрессом.
Цель работы - разработать проект строительства организации в установленные и сокращенные сроки.
Для достижения цели необходимо решить следующие задачи:
Разработать проект выполнения строительных работ в установленные сроки,
Разработать проект выполнения работ по сокращенному варианту строительства объекта,
Определить возможные внутренние резервы финансирования и поиск оптимальных путей их использования,
Найти оптимальные пути вложения свободных средств.
Информационная система - взаимосвязанная совокупность средств, методов и персонала, используемых для хранения, обработки и выдачи информации в интересах достижения поставленной цели. Автоматизированной информационной системой (АИС) называется комплекс, включающий вычислительное и коммуникационное оборудование, программное обеспечение, лингвистические средства, информационные ресурсы, а также персонал обеспечивающий поддержку динамической информационной модели предметной области для удовлетворения информационных потребностей пользователей. [4, с. 49] Непременным условием повышения эффективности управленческого труда является оптимальная информационная технология, обладающая гибкостью, мобильностью и адаптивностью к внешним воздействиям. Информационная технология предполагает умение грамотно работать с информацией и вычислительной техникой. [7, с. 3]
Информационная технология - сочетание процедур, реализующих функции сбора, получения, накопления, хранения, обработки, анализа и передачи информации в организационной структуре с использованием средств вычислительной техники, или, иными словами, совокупность процессов циркуляции и переработки информации и описание этих процессов.
На выбор того или иного способа обработки данных в ЭИС влияет очень большое количество факторов, связанных как с самим объектом управления, так и управляющей системой. Количество возможных вариантов построения технологического процесса обработки данных оказывается довольно значительным. Поэтому с целью облегчения изучения и проектирования этих процессов целесообразно выделять некоторые классы процессов. Информационная технология базируется и зависит от технического, программного, информационного, методического и организационного обеспечения. [8, с. 5]
Забиваем Сайты В ТОП КУВАЛДОЙ - Уникальные возможности от SeoHammer
Каждая ссылка анализируется по трем пакетам оценки: SEO, Трафик и SMM.
SeoHammer делает продвижение сайта прозрачным и простым занятием.
Ссылки, вечные ссылки, статьи, упоминания, пресс-релизы - используйте по максимуму потенциал SeoHammer для продвижения вашего сайта.
Что умеет делать SeoHammer
— Продвижение в один клик, интеллектуальный подбор запросов, покупка самых лучших ссылок с высокой степенью качества у лучших бирж ссылок.
— Регулярная проверка качества ссылок по более чем 100 показателям и ежедневный пересчет показателей качества проекта.
— Все известные форматы ссылок: арендные ссылки, вечные ссылки, публикации (упоминания, мнения, отзывы, статьи, пресс-релизы).
— SeoHammer покажет, где рост или падение, а также запросы, на которые нужно обратить внимание.
SeoHammer еще предоставляет технологию Буст, она ускоряет продвижение в десятки раз,
а первые результаты появляются уже в течение первых 7 дней.
Зарегистрироваться и Начать продвижение
Техническое обеспечение - это персональный компьютер, оргтехника, линии связи, оборудование сетей. Вид информационной технологии, зависящий от технической оснащенности (ручной, автоматизированный, удаленный) влияет на сбор, обработку и передачу информации. Развитие вычислительной техники не стоит на месте. Становясь более мощными, персональные компьютеры одновременно становятся менее дорогими и, следовательно, доступными для широкого круга пользователей. Компьютеры оснащаются встроенными коммуникационными возможностями. Скоростными модемами, большими объемами памяти, сканерами, устройствами распознавания голоса и рукописного текста.
Организационное и методическое обеспечение представляют собой комплекс мероприятий, направленных на функционирование компьютера и программного обеспечения для получения искомого результата. [9, с.15]
Основными свойствами информационной технологии являются: целесообразность, наличие компонентов и структуры, взаимодействие с внешней средой, целостность, развитие во времени. Функциональные компоненты - это конкретное содержание процессов циркуляции и переработки информации. Структура информационной технологии - это внутренняя организация, представляющая собой взаимосвязи образующих ее компонентов, объединенных в две большие группы: опорную технологию и базу знаний. [3, с. 209]
Цели метода управления проектами:
определить цели проекта и провести его обоснование; выявить структуру проекта (подцели, основные этапы работы, которые предстоит выполнить);
определить необходимые объемы и источники финансирования;
подобрать исполнителей - в частности через процедуры торгов и конкурсов; подготовить и заключить контракты;
определить сроки выполнения проекта, составить график его реализации, рассчитать необходимые ресурсы;
рассчитать смету и бюджет проекта, планировать и учитывать риски;
обеспечить контроль за ходом выполнения проекта).
Методы управления проектами включают такие, как: сетевое планирование и управление, календарное планирование, логистику, стандартное планирование, структурное планирование, ресурсное планирование, имитационное моделирование на ЭВМ и другие.
Сервис онлайн-записи на собственном Telegram-боте
Попробуйте сервис онлайн-записи VisitTime на основе вашего собственного Telegram-бота:
— Разгрузит мастера, специалиста или компанию;
— Позволит гибко управлять расписанием и загрузкой;
— Разошлет оповещения о новых услугах или акциях;
— Позволит принять оплату на карту/кошелек/счет;
— Позволит записываться на групповые и персональные посещения;
— Поможет получить от клиента отзывы о визите к вам;
— Включает в себя сервис чаевых.
Для новых пользователей первый месяц бесплатно.
Зарегистрироваться в сервисе
Oracle Database 10g - СУБД, ориентированная на применение в корпоративных сетях распределенной обработки данных (Enterprise Grid), - позволяет сократить расходы на информационные технологии благодаря автоматизации управления, использованию недорогих модульных компонентов и кластеризации серверов в целях эффективного использования ресурсов. Архитектура Oracle Database 10g рассчитана на работу с огромными объемами данных и обширными коллективами пользователей; она демонстрирует непревзойденные возможности обеспечения высокой готовности, производительности, масштабируемости, безопасности и самоуправляемости. [11, с.1]
В настоящее время в отечественной практике организации проектирования экономических информационных систем существует два подхода:
проектирование ведется силами программистов, входящие в состав подразделений самого предприятия;
разработкой проекта занимается специализированная фирма, имеющая опыт работы в создании, продаже и сопровождении программных продуктов в конкретной предметной области (банковских автоматизированных систем, автоматизированных систем страхования, автоматизации работ валютной, фондовой или торговой бирж и т.д.).
Причины, толкающие предприятия и банки разрабатывать свои АИС собственными силами следующие:
низкая стоимость таких разработок (по сравнению с покупными продуктами);
собственная разработка максимальная отражает бизнес - процессы данного предприятия или банка, сложившиеся технологии управления;
более коротки сроки создания программ;
возможность быстрого изменения системы, с изменением правил игры на рынке. [10, с.156]
Метод критического пути включает четыре этапа:
Определение целей и ограничений проекта. Их разработка связана с продолжительностью, стоимостью и качеством реализации проекта; наличием рабочей силы и оборудования; и др.
Продолжительность операций. На этом этапе определяется длительность работ и операций, входящих в проект.
Сетевой график работ. На этом этапе производится анализ очередности операций, их последовательность, определяются операции, которые могут выполняться параллельно. Порядок проведения операций определяется техническими причинами, либо с учетом эффективности, качества, либо с учетом требований техники безопасности.
Календарный сетевой график. Он составляется на основе расчетов и оценок продолжительности операций проекта.
В этом методе критический путь проекта - это самый продолжительный по времени последовательный путь выполнения операций проекта. [1, с.67]
Отсутствуют работы Е и М, срок выполнения работы С - 4
Для построения сетевого графика проекта строительства производственного объекта и определения продолжительности выполнения работ воспользуемся данными таблицы 1. [2, с.10]
Таблица 1. Исходные данные
| № п/п
|
Работа
|
Предшествующие работы
|
Продолжительность работы в месяц (сi
)
|
| 1
|
A
|
-
|
3
|
| 2
|
B
|
-
|
4
|
| 3
|
C
|
-
|
1
|
| 4
|
D
|
A
|
3
|
| 5
|
F
|
B
|
3
|
| 6
|
G
|
B
|
4
|
| 7
|
H
|
B
|
3
|
| 8
|
I
|
C
|
4
|
| 9
|
J
|
E,F
|
2
|
| 10
|
K
|
D,J
|
3
|
| 11
|
L
|
H, I
|
4
|
| 12
|
N
|
K,G,L
|
3
|
| 13
|
O
|
D,J
|
4
|
| 14
|
P
|
O,N
|
3
|
| 15
|
Q
|
P,M
|
2
|
На основании этих данных построим схемы расходования средств по наиболее ранним срокам начала и окончания работ и наиболее поздним срокам начала и окончания работ, на основании которых для каждой работы определим резервы времени, позволяющие перенести начало выполнения работ без увеличения длительности всего проекта финансирования и возможности их использования. [5, с.3]
Для планирования затрат составляем графики расходования средств. Для осуществления контроля за расходованием используем метод критического пути СРМ. Одной из целей данного метода является то, что затраты на реализуемый проект соответствовали бы принятой смете. Составление сметы на реализацию проекта обычно предполагает выявление всех затрат на проект, а затем разработку или прогнозирование распределения этих затрат во времени в ходе выполнения проекта.
Наиболее ранние и наиболее поздние сроки выполнения работ, а также резерв времени для каждой из работ рассчитаем по таблице 2. Наиболее ранние сроки формализуем формулой:
ESi
= max {EFj
}
Наиболее поздние сроки формализуем формулой:
LFi
= min {LSj
}
Таблица 2. Наиболее ранние и наиболее поздние сроки выполнения работ, резерв времени для каждой из работ
| № п/п
|
После-дующие работы
|
Предшест-вующие работы
|
Продолжительность работы в месяц (ti
)
|
Ci
|
ESi
|
EFj
|
LSj
|
LFi
|
Ri
|
Ci/ti
|
| 1
|
A
|
-
|
3
|
3.2
|
0
|
3
|
2
|
5
|
2
|
1.1
|
| 2
|
B
|
-
|
2
|
1.9
|
0
|
2
|
2
|
4
|
2
|
1.0
|
| 3
|
C
|
-
|
1
|
3.5
|
0
|
1
|
0
|
1
|
0
|
3.5
|
| 4
|
D
|
A
|
3
|
2.8
|
3
|
6
|
4
|
7
|
1
|
0.9
|
| 5
|
F
|
B
|
3
|
4
|
2
|
5
|
4
|
7
|
2
|
1.3
|
| 5
|
G
|
B
|
4
|
4.8
|
2
|
6
|
8
|
12
|
6
|
1.2
|
| 6
|
H
|
B
|
3
|
2.5
|
2
|
5
|
5
|
8
|
3
|
0.8
|
| 7
|
I
|
C
|
4
|
6.2
|
1
|
5
|
4
|
8
|
3
|
1.6
|
| 8
|
J
|
F
|
2
|
2
|
5
|
7
|
7
|
9
|
2
|
1.0
|
| 9
|
K
|
J
|
3
|
35
|
7
|
10
|
9
|
12
|
2
|
11.7
|
| 10
|
L
|
H, I
|
4
|
5
|
8
|
12
|
8
|
12
|
0
|
1.3
|
| 12
|
N
|
K,G,L
|
3
|
4.3
|
12
|
15
|
12
|
15
|
0
|
1.4
|
| 13
|
O
|
J
|
4
|
4.9
|
7
|
11
|
7
|
11
|
0
|
1.2
|
| 14
|
P
|
O,N
|
3
|
1.9
|
15
|
18
|
15
|
18
|
0
|
0.6
|
| 15
|
Q
|
P,M
|
2
|
2.5
|
18
|
20
|
18
|
20
|
0
|
1.3
|
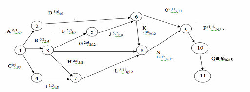
Как видно из сетевого графа (таблица 1) и из таблицы 2. критический путь для данного проекта проходит через работы C,
L, N, O, P, Q, а продолжительность проекта в целом Т = 20 месяцев.
По сетевому графику построим график Ганта, который является наглядным изображением имеющегося наличия резерва времени для каждой из работ проекта. Совершаемая работа изображается горизонтальным отрезком с длиной, соответствующем времени выполнения работы в установленном масштабе. [6, с.4]

Рисунок 3. Сетевой график проекта строительства производственного объекта.
Диаграмма Ганта для разрабатываемого проекта представлена на рисунке 4. Исходными данными для её построения служил сетевой график (рисунок 3). Критический путь представлен горизонтальной прямой, включающей работы C, L, N, O, P, Q, суммарная протяженность выполнения которых равна 20 месяцам.

Рисунок 4. Диаграмма Ганта.
После этого распишем сметные затраты на каждый месяц Σ1
и сметные затраты на данный момент времени Σ2
для наиболее ранних (таблица 5) и наиболее поздних (таблица 6) сроков начала и завершения каждого вида работ, а также построим график области возможных смет на проект (рисунок 4)
Таблица 5.
Сметные затраты для графика с наиболее ранними сроками начала работ (млн. руб)
| Работа
|
1
|
2
|
3
|
4
|
5
|
6
|
7
|
8
|
9
|
10
|
11
|
12
|
13
|
14
|
15
|
16
|
17
|
18
|
19
|
20
|
| A
|
1.1
|
1.1
|
1.1
|
| B
|
1.0
|
1.0
|
| C
|
0.9
|
0.9
|
0.9
|
0.9
|
| D
|
1.0
|
1.0
|
1.0
|
1.0
|
| F
|
1.3
|
1.3
|
1.3
|
1.3
|
| G
|
1.2
|
1.2
|
1.2
|
1.2
|
| H
|
0,8
|
0.8
|
0.8
|
| I
|
1.6
|
1.6
|
1.6
|
1.6
|
| J
|
1.0
|
1.0
|
| K
|
1.2
|
1.2
|
1.2
|
| L
|
1.3
|
1.3
|
1.3
|
1.3
|
| N
|
1.4
|
1.4
|
1.4
|
| O
|
1.2
|
1.2
|
1.2
|
1.2
|
| P
|
0.6
|
0.6
|
0.6
|
| Q
|
1.2
|
1.2
|
| Σ1 за 1 месяц
|
3.0
|
4.6
|
6.1
|
6.8
|
5.9
|
4.5
|
2.0
|
2.4
|
3.7
|
3.7
|
2.5
|
1.3
|
1.4
|
1.4
|
1.4
|
0.6
|
0.6
|
0.6
|
1.2
|
1.2
|
| Σ2 на данный период
|
3.0
|
7.6
|
13.7
|
20.5
|
26.4
|
30.9
|
32.9
|
35.3
|
39.0
|
42.7
|
45.2
|
46.5
|
47.9
|
49.3
|
50.7
|
51.3
|
51.9
|
52.5
|
53.7
|
54.9
|
Таблица 6.
Сметные затраты для графика с наиболее поздними сроками начала работ (млн. руб)
| Работа
|
1
|
2
|
3
|
4
|
5
|
6
|
7
|
8
|
9
|
10
|
11
|
12
|
13
|
14
|
15
|
16
|
17
|
18
|
19
|
20
|
| A
|
1.1
|
1.1
|
1.1
|
| B
|
1.0
|
1.0
|
| C
|
0.9
|
0.9
|
0.9
|
0.9
|
| D
|
1.0
|
1.0
|
1.0
|
1.0
|
| F
|
1.3
|
1.3
|
1.3
|
1.3
|
| G
|
1.2
|
1.2
|
1.2
|
1.2
|
| H
|
0,8
|
0.8
|
0.8
|
| I
|
1.6
|
1.6
|
1.6
|
1.6
|
| J
|
1.0
|
1.0
|
| K
|
1.2
|
1.2
|
1.2
|
| L
|
1.3
|
1.3
|
1.3
|
1.3
|
| N
|
1.4
|
1.4
|
1.4
|
| O
|
1.2
|
1.2
|
1.2
|
1.2
|
| P
|
0.6
|
0.6
|
0.6
|
| Q
|
1.2
|
1.2
|
| Σ1 за 1 месяц
|
0.9
|
0.9
|
3.0
|
0.9
|
2.9
|
3.9
|
4.7
|
1.2
|
2.5
|
3.7
|
2.5
|
1.3
|
1.4
|
1.4
|
1.4
|
0.6
|
0.6
|
0.6
|
1.2
|
1.2
|
| Σ2 на данный период
|
3.0
|
3.9
|
6.9
|
7.8
|
10.7
|
14.6
|
19.3
|
20.5
|
23.0
|
26.7
|
29.2
|
30.5
|
31.9
|
33.3
|
34.7
|
35.3
|
35.9
|
36.5
|
37.7
|
38.9
|

Рисунок 4. График расходования средств
Предварительные результаты удовлетворили заказчика.
Определим внутренние резервы финансирования проекта (таблица 7) путем нахождения разницы между суммарными месячными затратами по наиболее ранним и наиболее поздним срокам начал и завершения работ. Положительная разность вкладывается под проценты в банк, отрицательная - снимается для финансирования текущих работ.
Таблица 7.
Внутренние резервы финансирования
| Месяцы
|
| 1
|
2
|
3
|
4
|
5
|
6
|
7
|
8
|
9
|
10
|
11
|
12
|
13
|
14
|
15
|
16
|
17
|
18
|
19
|
20
|
| ранние сроки
|
5.6
|
2.1
|
4.7
|
4.5
|
4.5
|
3.1
|
1
|
2.4
|
4.7
|
4.7
|
3.5
|
2.3
|
2.4
|
1.4
|
1.4
|
0.6
|
0.6
|
0.6
|
1.2
|
1.2
|
| поздние сроки
|
3.5
|
0
|
2.1
|
2.1
|
3.6
|
3.1
|
3.1
|
4.6
|
4.7
|
4.9
|
4.9
|
3.7
|
1.4
|
1.4
|
2.4
|
1.6
|
1.6
|
1.6
|
2.2
|
1.2
|
| разница ∆
|
2.1
|
2.1
|
2.6
|
2.4
|
0.9
|
0
|
-2.1
|
-2.2
|
0
|
-0.2
|
-1.4
|
-1.4
|
1
|
0
|
-1
|
-1
|
-1
|
-1
|
-1
|
0
|
Для решения задачи сокращения продолжительности выполнения проекта в целом при оптимальном привлечении минимального объема дополнительных ресурсов воспользуемся моделью линейного программирования. Текущее сокращение конкретной работы не может быть больше, чем максимально возможное её сокращение. Необходимо рассчитать на какой срок возможно сокращение, какая сумма дополнительных затрат потребуется и какую прибыль получит комбинат (таблица 8)
Таблица 8.
Срок сокращения, сумма дополнительных затрат
| № п/п
|
Работа
|
ti
|
ti
'
|
Ci
|
Ci
'
|
Mi
|
∆Ci
|
Ki
|
| 1
|
2
|
3
|
4
|
5
|
6
|
7
|
8
|
| 1
|
A
|
3
|
2
|
3.2
|
5.8
|
1
|
2.6
|
2.6
|
| 2
|
B
|
2
|
2
|
1.9
|
1.9
|
0
|
0
|
0
|
| 3
|
C
|
1
|
1
|
3.5
|
3.5
|
0
|
0
|
0
|
| 4
|
D
|
4
|
3
|
4.1
|
6.4
|
1
|
2.3
|
2.3
|
| 5
|
F
|
3
|
2
|
4
|
7.2
|
1
|
3.2
|
3.2
|
| 6
|
G
|
4
|
3
|
4.8
|
7.8
|
1
|
3
|
3
|
| 7
|
H
|
3
|
2
|
2.5
|
4.7
|
1
|
2.2
|
2.2
|
| 8
|
I
|
4
|
3
|
6.2
|
9.9
|
1
|
3.7
|
3.7
|
| 9
|
J
|
2
|
2
|
2
|
2
|
0
|
0
|
0
|
| 10
|
K
|
3
|
2
|
3.5
|
5.9
|
1
|
2.4
|
2.4
|
| 11
|
L
|
4
|
3
|
5
|
8.2
|
1
|
3.2
|
3.2
|
| 12
|
N
|
3
|
2
|
4.3
|
7.1
|
1
|
2.8
|
2.8
|
| 13
|
O
|
4
|
3
|
4.9
|
8.5
|
1
|
3.6
|
3.6
|
| 14
|
P
|
3
|
2
|
1.9
|
3.4
|
1
|
1.5
|
1.5
|
| 15
|
Q
|
2
|
2
|
2.5
|
2.5
|
0
|
0
|
0
|
Так как сократить проект можно только за счет сокращения продолжительности работ на критическом пути, то максимальное сокращение равно: MC
+ ML
+ MN
+ MO
+ MP
+ MQ
= 0 + 1 + 1 + 1 + 1 + 0 = 4 месяца. Таким образом проект можно сократить на 4 месяца. Значит, необходимо рассчитать все параметры для четырех вариантов: сокращение проекта на 1, 2, 3, 4 месяца.
Для определения дополнительных затрат на основании представленных данных составим модель линейного программирования:
2,6у1
+0у2
+0у3
+2,3у4
+3,2у5
+2,2у6
+3,7у7
+0у8
+2,4у9
+3,2у10
+1,8у11
+2,8у12
+3,6у13
+1,5у14
+0у15
→ min
Ограничения на ресурс времени, выражения 1 - 16, составляются в соответствии с сетевым графиком и данными, представленными в таблице 8. Выражения с 18 по 34 составлены с использованием таблицы 8.
х1
=0
х2
- х3
+ у1
≥ 3
х3
-х1
+у2
≥ 2
х4
- х1
+ у3
≥ 1
х5
- х2
+ у4
≥ 3
х6 - х5 + у8 ≥ 2
х7
- х3
+ у6
≥ 3
х7
- х4
+ у7
≥ 4
х8
- х6
+ у9
≥ 3
х8
- х3
+ у5
≥ 4
х8
- х7
+ у10
≥ 4
х9
- х6
+ у13
≥ 4
х9
- х8
+ у12
≥ 3
х10
- х9
+ у14
≥ 3
х10
- х7
+ у11
≥ 5
х11
- х10
+ у15
≥ 2
х11
≤ Т’
у1
≤ 1
у2
≤ 0
у3
≤ 0
у4
≤ 1
у5
≤ 1
у6
≤ 1
у7
≤ 1
у8
≤ 0
у9
≤ 1
у10
≤ 1
у11
≤ 2
у12
≤ 1
у13
≤ 1
у14
≤ 1
у15
≤ 0
В результате решения задачи линейного программирования по разработанной программе получены дополнительные затраты, связанные с сокращением времени выполнения проекта на определенное количество месяцев: на 1 месяц - 1,4 млн. руб.; на 2 месяца - 4,1 млн. руб.; на 3 месяца - 7,4 млн. руб.; на 4 месяца - 11,2 млн. руб. При этом премия, выделяемая строительному комбинату составит:
St
=1
= (4 + 0,02 * 21) * 1 = 4,42
St
=2
= 4,42 + (3 + 0,05 * 1) * (2 - 1) = 7,47
St
=3
= 7,47 + 2 * (3 - 2) = 9,47
St
=4
= 7,47 + 2* (4 - 2) = 11,47,
а прибыль комбината при сокращении сроков строительства на определенное количество месяцев составит:
Пр1
= 4,42 - 1,4 = 3,02;
Пр2
= 7,47 - 4,1 = 3,37;
Пр3
= 9,47 - 7,4 = 2,07;
Пр4
= 11,47 - 11,2 = 0,27.
Построим график дополнительных затрат, необходимых для осуществления проекта при сокращенном сроке строительства объекта и дополнительном финансировании, которое готов произвести заказчик (рисунок 5)

Рисунок 5. Зависимость премии и дополнительных расходов от количества сокращенных месяцев
На рисунке 5. ряд 1 - кривая дополнительного финансирования, которое готов осуществить заказчик при сокращении сроков строительства; ряд 2 - кривая дополнительных затрат, которые необходимы для осуществления проекта при сокращенном сроке строительства.
Следовательно, для строительного комбината будет наиболее выгодно сократить время выполнения проекта на 2 месяца, поскольку за это сокращение он получит наибольшую дополнительную прибыль в размере 3, 37 млн. руб., что существенно больше дополнительной прибыли за сокращение на 1 месяц - 3,02 млн. руб., сокращения на 3 месяца - 2,07 млн. руб. и сокращения на 4 месяца - 0,27 млн. руб.
Пользуясь расчетами, полученными с помощью модуля линейного программирования, установлено, что при сокращении продолжительности с 20 до 18 месяцев, следует сократить длительность выполнения работ N и P, лежащих на критическом пути, каждую на 1 месяц. Исходные данные для сокращенного варианта проекта строительства объекта, с учетом сокращения сроков выполнения работ N и P каждой на 1 месяц и увеличением затрат на их выполнение, представлены в таблице 9.
Таблица 9.
| № п/п
|
Последующие работы
|
Предшествующие работы
|
Продолжительность работы в месяц (ti
)
|
Ci
|
ESi
|
EFj
|
LSj
|
LFi
|
Ri
|
Ci/ti
|
| 1
|
A
|
-
|
3
|
3.2
|
0
|
3
|
2
|
5
|
2
|
1.1
|
| 2
|
B
|
-
|
2
|
1.9
|
0
|
2
|
2
|
4
|
2
|
1.0
|
| 3
|
C
|
-
|
1
|
3.5
|
0
|
1
|
0
|
1
|
0
|
3.5
|
| 4
|
D
|
A
|
3
|
2.8
|
3
|
6
|
4
|
7
|
1
|
0.9
|
| 5
|
F
|
B
|
3
|
4
|
2
|
5
|
4
|
7
|
2
|
1.3
|
| 5
|
G
|
B
|
4
|
4.8
|
2
|
6
|
8
|
12
|
6
|
1.2
|
| 6
|
H
|
B
|
3
|
2.5
|
2
|
5
|
5
|
8
|
3
|
0.8
|
| 7
|
I
|
C
|
4
|
6.2
|
1
|
5
|
4
|
8
|
3
|
1.6
|
| 8
|
J
|
E
|
2
|
2
|
5
|
7
|
7
|
9
|
2
|
1.0
|
| 9
|
K
|
J
|
3
|
35
|
7
|
10
|
9
|
12
|
2
|
11.7
|
| 10
|
L
|
H, I
|
4
|
5
|
8
|
12
|
8
|
12
|
0
|
1.3
|
| 12
|
N
|
K,G,L
|
2
|
4.3
|
12
|
15
|
12
|
15
|
0
|
2.2
|
| 13
|
O
|
J
|
4
|
4.9
|
7
|
11
|
7
|
11
|
0
|
1.2
|
| 14
|
P
|
O,N
|
2
|
1.9
|
15
|
18
|
15
|
18
|
0
|
1.0
|
| 15
|
Q
|
P,M
|
2
|
2.5
|
18
|
20
|
18
|
20
|
0
|
1.3
|
На основе данных таблицы 9. построим сетевой график проекта строительства производственного объекта (рисунок 6).

Рисунок 6. Сетевой график проекта строительства производственного объекта

Рисунок 7. Диаграмма Ганта
Как видно из графа, положение критического пути не изменилось. Он по - прежнему включает те же работы: C, L, N, O, P, Q, но его длительность сократилась до 18 месяцев.
Практически не изменилась диаграмма Ганта (рисунок 7) за исключением длительности выполнения работ N и Р.
Определим удельные затраты по каждому виду работ и сформируем исходные данные для составления графиков расходования средств по новому варианту проекта строительства (таблица 10. и таблица 11)
Таблица 10.
Сметные затраты для графика с наиболее ранними сроками начала работ (млн. руб)
| Работа
|
1
|
2
|
3
|
4
|
5
|
6
|
7
|
8
|
9
|
10
|
11
|
12
|
13
|
14
|
15
|
16
|
17
|
18
|
| A
|
1.1
|
1.1
|
1.1
|
| B
|
1.0
|
1.0
|
| C
|
0.9
|
0.9
|
0.9
|
0.9
|
| D
|
1.0
|
1.0
|
1.0
|
1.0
|
| F
|
1.3
|
1.3
|
1.3
|
1.3
|
| G
|
1.2
|
1.2
|
1.2
|
1.2
|
| H
|
0,8
|
0.8
|
0.8
|
| I
|
1.6
|
1.6
|
1.6
|
1.6
|
| J
|
1.0
|
1.0
|
| K
|
1.2
|
1.2
|
1.2
|
| L
|
1.3
|
1.3
|
1.3
|
1.3
|
| N
|
2.2
|
2.2
|
| O
|
1.2
|
1.2
|
1.2
|
1.2
|
| P
|
1.0
|
1.0
|
1.0
|
| Q
|
1.2
|
1.2
|
| Σ1 за 1 месяц
|
3.0
|
4.6
|
6.1
|
6.8
|
5.9
|
4.5
|
2.0
|
2.4
|
3.7
|
3.7
|
2.5
|
1.3
|
2.2
|
2.2
|
0.0
|
1.0
|
2.2
|
2.2
|
| Σ2 на данный период
|
3.0
|
7.6
|
13.7
|
20.5
|
26.4
|
30.9
|
32.9
|
35.3
|
39.0
|
42.7
|
45.2
|
46.5
|
48.7
|
50.9
|
50.9
|
51.9
|
54.1
|
56.3
|
Таблица 11.
Сметные затраты для графика с наиболее поздними сроками начала работ (млн. руб)
| Работа
|
1
|
2
|
3
|
4
|
5
|
6
|
7
|
8
|
9
|
10
|
11
|
12
|
13
|
14
|
15
|
16
|
17
|
18
|
| A
|
1.1
|
1.1
|
1.1
|
| B
|
1.0
|
1.0
|
| C
|
0.9
|
0.9
|
0.9
|
0.9
|
| D
|
1.0
|
1.0
|
1.0
|
1.0
|
| F
|
1.3
|
1.3
|
1.3
|
1.3
|
| G
|
1.2
|
1.2
|
1.2
|
1.2
|
| H
|
0.8
|
0.8
|
0.8
|
| I
|
1.6
|
1.6
|
1.6
|
1.6
|
| J
|
1.0
|
1.0
|
| K
|
1.2
|
1.2
|
1.2
|
| L
|
1.3
|
1.3
|
1.3
|
1.3
|
| N
|
2.2
|
2.2
|
| O
|
1.2
|
1.2
|
1.2
|
1.2
|
| P
|
1.0
|
1.0
|
1.0
|
| Q
|
1.2
|
1.2
|
| Σ1 за 1 месяц
|
0.9
|
0.9
|
3.0
|
3.0
|
2.9
|
4.7
|
4.7
|
6.9
|
5.7
|
4.9
|
4.9
|
3.7
|
2.2
|
2.2
|
0.0
|
1.0
|
2.2
|
2.2
|
| Σ2 на данный период
|
3.0
|
3.9
|
6.9
|
9.9
|
12.8
|
17.5
|
22.2
|
29.1
|
34.8
|
39.7
|
44.6
|
48.3
|
50.5
|
52.7
|
52.7
|
53.7
|
55.9
|
58.1
|
Таблица 12.
Внутренние резервы финансирования
| Месяцы
|
| 1.0
|
2.0
|
3.0
|
4.0
|
5.0
|
6.0
|
7.0
|
8.0
|
9.0
|
10.0
|
11.0
|
12.0
|
13.0
|
14.0
|
15.0
|
16.0
|
17.0
|
18.0
|
| ранние сроки
|
3.0
|
4.6
|
6.1
|
6.8
|
5.9
|
4.5
|
2.0
|
2.4
|
3.7
|
3.7
|
2.5
|
1.3
|
2.2
|
2.2
|
0.0
|
1.0
|
2.2
|
2.2
|
| поздние сроки
|
0.9
|
0.9
|
3.0
|
3.0
|
2.9
|
4.7
|
4.7
|
6.9
|
5.7
|
4.9
|
4.9
|
3.7
|
2.2
|
2.2
|
0.0
|
1.0
|
2.2
|
2.2
|
| разница ∆
|
2.1
|
3.7
|
3.1
|
3.8
|
3.0
|
-0.2
|
-2.7
|
-4.5
|
-2.0
|
-1.2
|
-2.4
|
-2.4
|
0.0
|
0.0
|
0.0
|
0.0
|
0.0
|
0.0
|
Сравнивая исходный вариант строительства объекта с сокращенным вариантом, отмети удорожание строительных работ с 56, 3 до 58,19 млн. руб. соответственно.
На основе результатов, представленных в таблицах 10 и 11, поострим графики расходования средств (рисунок 8) и определим внутренние резервы финансирования проекта (таблица 12).
Рисунок 8. График расходования средств с сокращенным сроком выполнения проекта
Из графиков расходования средств следует, что с 1 - го по 6 - ой месяцы образуются временно нереализованные финансы, которые можно вкладывать в банк под проценты. Начиная с 7 - ого месяца, необходимо поочередно снимать соответствующие суммы, чтобы профинансировать отложенные работы. Это позволяет получить дополнительную прибыль при включении механизма финансового менеджмента.
Банковские проценты:
Вложение средств на 1 месяц - 1,5%;
Вложение средств на 1 месяц - 3,5%;
Вложение средств на 1 месяц - 6%;
Вложение средств на 1 месяц - 11%.
Наиболее выгодным сроком является трехмесячный срок.
После расчета данных получаем, что при установленном сроке в 20 месяцев сумма прибыли равна 2,23 млн. руб., при сокращенном до 18 месяцев - 1,8 млн. руб. Таким образом, общая сумма при исполнении сокращенного варианта с вложением резервов финансирования в банк равна 3,37 + 1,8 = 5,57 млн. руб.
Проект содержит 15 работ и 11 событий.
Для исходного задания расчеты позволили определить критический путь: C, L, N, O, P, Q и продолжительность проекта, равную 20 месяцам.
Общие затраты на строительство объекта в установленные сроки 56,7 млн. руб.
Прибыль от вложения резервов финансирования в банк при сроке строительства 20 месяцев составит 2,23 млн. руб.
Решение полученной, связанной с минимизацией затрат на сокращение срока выполнения проекта, позволило получить оптимальный срок сокращения, равный 2 месяцам. Продолжительность выполнения работ при этом составила 18 месяцев.
Общие затраты на строительство объекта в сокращенные сроки составило 58,19 млн. руб.
Прибыль строительной организации за сокращение срока строительства составила 3,34 млн. руб.
Прибыль от вложения резервов финансирования в банк при сроке строительства 18 месяцев составляет 1,8 млн. руб.
Общая прибыль с учетом премиальных оказалась равной 5,57 млн. руб.
В результате выполнения проекта принято решение:
Предложить заказчику принять проект строительства объекта с сокращенным сроком, равным 18 месяцем.
Руководители многих российских предприятий имеют слабое представление о современных компьютерных интегрированных системах и предпочитают содержать большой штат собственных программистов, которые разрабатывают индивидуальные программы для решения стандартных управленческих задач.
Процедура принятия решения о выборе наиболее эффективной компьютерной системы управления нова для большинства отечественных руководителей, а ее последствия во многом будут оказывать значительное влияние на предприятие в течение нескольких лет.Т. к. применение интегрированной ИС, которая отвечала бы требованиям предприятия (масштабу, специфике бизнеса и т.д.), позволила бы руководителю минимизировать издержки и повысить оперативность управления предприятием в целом.
Современная экономическая ситуация в России обусловливает основные предпосылки интенсификации процесса компьютеризации в сфере микроэкономики: развитие товарных и финансовых рынков; становление рынка информационно-технической продукции; распространение персональных компьютеров и сетей; демократизация общества; рост конкуренции и регулирующей роли гocyдарства; возникновение объективной потребности в достоверной информации на всех уровнях управления, а значит, и платежеспособного спроса на нее.
1. Аронович А.Б. Информационный поиск в АСУ. - М.: Издательство "Наука", 1975. - 174 с.
2. Аронович А.Б., Афанасьев М.Ю., Суворов Б П. Сборник задач по исследованию операций. - М.: Издательство Московского университета, 1997. - 256 с.
3. Афанасьев М.Ю. Суворов Б. П, исследование операций в экономике: Учебное пособие. -М.: Экономический факультет МГУ, ТЕИС, 2002. - 312 с.
4. Исследование операций в экономике: Учебное пособие для вузов/ Н.Ш. Кремер, Б.А. Путко, Н.М. Тришин, М.Н. Фридман; Под ред. проф.Н.Ш. Кремер. - М.: Банки и биржи, ЮНИТИ, 1997. - 407 с.
5. Исследование операций и АСУ. Республиканский междуведомственный научный сборник. Выпуск 29. - Киев: 1987. - 111 с.
6. Лубенец Ю.В. Исследование операций в экономике и управлении. Часть 1. Задачи линейного программирования. Учебное пособие. - Липецк: Издательство ЛЭГИ, 2000. - 52 с.
7. Лубенец Ю.В. Исследование операций в экономике и управлении. Часть 2. Сетевое планирование. Динамическое программирование. Учебное пособие. - Липецк: Издательство ЛЭГИ, 2000. - 64 с.
8. Лубенец Ю.В. Исследование операций в экономике и управлении. Часть 3. Динамическое программирование. Модели управления запасами. Учебное пособие. - Липецк: Издательство ЛЭГИ, 2000. - 52 с.
9. Филина Н.А. Математические методы исследования в экономике. / Под ред. д. т. н. проф. Н.Т. Катанаева. - М.: МИИР, 2006. - 48 с.
10. Цисарь И.Ф., Нейман В.Г. компьютерное моделирование экономики. - М.: "Диалог - МИФИ", 2002. - 304 с.
11. http://www.oracle.com Сайт корпорации Oracle
|