| Академія педагогічних наук України
Центральний інститут післядипломної педагогічної освіти
РЕФЕРАТ
з дисципліни «Статистика»
на тему:
«Застосування неперервних випадкових величин в економіці»
Виконав студент
Кравченко Олександр Олександрович
Чернігів 2008 р.
Зміст
Випадкові змінні
Оцінка ризику в ціноутворенні
Оцінка ризику в ціноутворенні на продукцію великовантажного автомобілебудування
Література
Випадкові змінні
Поняття випадкової величини є одним з основних понять теорії ймовірностей.
Розподіл ймовірностей можна задати різними способами. Але істотним при цьому є лише те, що потрібно виконувати три вимоги — аксіоми Колмогорова:
1) кожній елементарній події (кожній точці фазового простору) ставиться у відповідність невід'ємне число;
2) сума чисел, поставлених у відповідність усім елементарним подіям (усім точкам фазового простору), дорівнює одиниці;
3) кожній складній події (кожній частині фазового простору) ставиться у відповідність сума чисел, поставлених у відповідність усім сприятливим даній складній події елементарним подіям (усім точкам цієї частини фазового простору).
Кожна функція, що володіє першою властивістю, називається мірою; та, що володіє другою властивістю — нормованою функцією; третьою — адитивною функцією. Функція, що задана на множині елементарних подій і володіє усіма трьома властивостями, називається розподілом ймовірностей.
Означення 1. Випадковою величиною називається сукупність випадкових подій із заданим розподілом їх ймовірностей.
Якщо подіями є певні числа, то йде мова про випадкову змінну. Отже, випадкова змінна приймає значення з області її значень із певними фіксованими ймовірностями, які в сукупності утворюють розподіл ймовірностей. У цьому випадку окремі події із повної сукупності подій, породжених реалізацією певної сукупності умов, позначаємо числами.
Наприклад, число викликів, що надходять на телефонну станцію протягом певного проміжку часу, приймає ті чи інші цілі невід'ємні значення, залежно від випадкових обставин, і тому є випадковою змінною. Випадковою змінною є і швидкість руху якоїсь конкретної молекули газу, тому що вона залежить від зіткнень з іншими молекулами, і які, практично, неможливо передбачити через їх велику кількість. Такими ж змінними є: зріст, об'єм грудної клітки, розмір ступні, вага людини тощо, як біологічного виду; кількість бактерій конкретної популяції в одиниці об'єму в певному місці; сила струму, напруга в електромережі, рівень радіації, температура, тиск повітря, хмарність тощо.
Забиваем Сайты В ТОП КУВАЛДОЙ - Уникальные возможности от SeoHammer
Каждая ссылка анализируется по трем пакетам оценки: SEO, Трафик и SMM.
SeoHammer делает продвижение сайта прозрачным и простым занятием.
Ссылки, вечные ссылки, статьи, упоминания, пресс-релизы - используйте по максимуму потенциал SeoHammer для продвижения вашего сайта.
Что умеет делать SeoHammer
— Продвижение в один клик, интеллектуальный подбор запросов, покупка самых лучших ссылок с высокой степенью качества у лучших бирж ссылок.
— Регулярная проверка качества ссылок по более чем 100 показателям и ежедневный пересчет показателей качества проекта.
— Все известные форматы ссылок: арендные ссылки, вечные ссылки, публикации (упоминания, мнения, отзывы, статьи, пресс-релизы).
— SeoHammer покажет, где рост или падение, а также запросы, на которые нужно обратить внимание.
SeoHammer еще предоставляет технологию Буст, она ускоряет продвижение в десятки раз,
а первые результаты появляются уже в течение первых 7 дней.
Зарегистрироваться и Начать продвижение
Випадкові величини надалі будемо позначати прописними грецькими літерами або великими латинськими літерами з індексами, або без них; конкретні значення — відповідними малими латинськими літерами і, як правило, з індексами.
Сукупність усіх значень (область значень) випадкової змінної, упорядкованих за зростанням їх величини, називають спектром цієї змінної. Якщо спектр випадкової змінної складається лише з ізольованих точок, то його називають дискретним; якщо ж він є множиною потужності континуум і не містить ізольованих точок, то такий спектр називають неперервним.
Очевидно, що до досліду не можемо об'єктивно сказати, яке конкретно значення прийме випадкова змінна у вказаний нами момент часу. Можемо лише говорити про тенденцію появи тих чи інших її значень. Для опису таких специфічних змінних величин використовуються відповідні всеохоплюючі, інтегральні характеристики, однією із яких є так звана функція розподілу випадкової змінної, яку часто називають кумулятою.
Якщо випадкову змінну
вважати точкою на числовій осі, то розміщення цієї точки на прямій залежить від випадку.
Означення 2. Ймовірність того, що випадкова змінна набуває значення не більше ніж х, називається функцією розподілу, кумулятою цієї випадкової змінної у точці х і позначається Р(х).
Отже,

Варто звернути увагу на те, що кумулята є функцією, заданою на промені, тобто є функцією множини
(-∞; х) Вона повністю описує відповідний ймовірнісний простір. Тому її часто ще називають законом розподілу ймовірностей
випадкової змінної 4, або просто законом її розподілу. Функція розподілу випадкової змінної змінюється у точках її спектру.
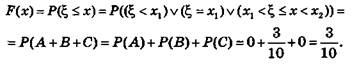
Приклад 1. Побудувати функцію розподілу числа вийнятих білих кульок з урни, в якій є 2 білі і 3 чорні однакові у всіх інших відношеннях кульки, якщо з урни навмання беремо 2 кульки.
Якщо — кількість вийнятих у цьому експерименті білих кульок, то є випадковою змінною, яка набуває значення відповідно з ймовірностями Отже, розподіл ймовірностей випадкової змінної можемо задати такою таблицею:
З формули (1) випливає, що в усіх точках відрізка функція розподілу цієї випадкової змінної, як ймовірність неможливої події, набуває значення рівне нулю. Нехай тепер Подію позначимо через А;
подію а подію Очевидно, події А, В, С
попарно несумісні. Тому в цьому випадку:
Сервис онлайн-записи на собственном Telegram-боте
Попробуйте сервис онлайн-записи VisitTime на основе вашего собственного Telegram-бота:
— Разгрузит мастера, специалиста или компанию;
— Позволит гибко управлять расписанием и загрузкой;
— Разошлет оповещения о новых услугах или акциях;
— Позволит принять оплату на карту/кошелек/счет;
— Позволит записываться на групповые и персональные посещения;
— Поможет получить от клиента отзывы о визите к вам;
— Включает в себя сервис чаевых.
Для новых пользователей первый месяц бесплатно.
Зарегистрироваться в сервисе

Оцінка ризику в ціноутворенні
Ця частина реферату присвячена важливому питанню системи маркетингу вантажних автомобілів - проблемі обліку ризику в ціноутворенні на продукцію великовантажного автомобілебудування. Зачіпаються сутність, основні чинники виникнення ризику в процесі встановлення ціни виробника на ринку вантажної техніки, розкривається підхід до його оцінки і аналізу за допомогою інструментів математичної статистики і теорії вірогідності: зокрема, розроблена методика практичного застосування математичного очікування і середньоквадратичного відхилення варіацій показників ціни як безперервної нормально розподіленої випадкової величини як основні параметри кількісної оцінки цінового ризику. В ув'язненні роботи наведений приклад практичної оцінки рівня ризику і його впливу на фінансові показники ринкової діяльності реального виробника вантажної автомобільної техніки на Україні - холдингової компанії "АвтоКрАЗ".
Оцінка ризику в ціноутворенні на продукцію великовантажного автомобілебудування
В умовах насиченості в товарних лініях (асортиментних групах) конкуруючих виробників машин, схожих по своїх споживацьких якостях, особливу значущість в питанні конкурентоспроможності вантажних автомобілів на ринку придбаває чинник їх ціни як елемента політики стимулювання збуту продукції підприємства. Причому для виробника необхідно врахувати, що в цілях максимізації кількості продажів йому доведеться будувати достатньо гнучку цінову політику, орієнтовану на задоволення індивідуальних потреб замовника (потенційного покупця) автомобіля. У зв'язку з цим важливо наперед врахувати, спрогнозувати можливі варіанти відхилень фактичних значень цін реалізації машин від їх первинних, планових показників, заявлених в прайс-позиціях підприємства, і їх вплив на основні фінансові показники суб'єкта ринкових відносин. Безумовно, розмір таких відхилень повинен обусловлюватись економічною доцільністю і відповідати кінцевій меті будь-якої маркетингової стратегії максимально повне задоволення потреб і потреб замовника і забезпечення отримання за рахунок цього прибули як підсумкового індикатора доцільності існування підприємства в ринкових умовах. Звідси виробнику автотехніки украй важливо не тільки грамотно сформувати свою цінову стратегію з обґрунтованими з погляду маркетингової ефективності рівнями цінових параметрів пропонованої продукції, але і визначити ступінь цінового ризику, пов'язаний з можливим виникненням збитків в результаті можливого відхилення значень фактичної ціни продажів від її планового показника для даного сегменту ринку. Найдієвішим інструментом обліку, аналізу і прогнозування варіацій (коливань, відхилень) цін і їх впливу на результати ПХД підприємства є підхід, що розглядає дані відхилення як ризик і оцінюючий його в термінах і категоріях менеджменту ризику. Розглянемо цей підхід стосовно ціноутворення на продукцію автомобілебудування.
Економічно обгрунтований процес встановлення ціни на вантажну техніку, що випускається, виходячи з собівартості її виробництва і стану ринкової кон'юнктури є найважливішою умовою побудови ефективної діяльності підприємства-виробника на ринку. Разом з тим ціноутворення складає один з найзначущіших компонентів підприємницького ризику. Так, відхилення фактичного рівня ціни на реалізовувану продукцію від планового всього на 1 % веде до втрат не менше 1 % доходу від продажів, а при еластичності ринкового попиту такі втрати можуть скласти 2-3 %; при рентабельності продукції 10-12 % відхилення в ціні, рівне 1 %, може дати втрату 5-10 % прибули.
Коливання рівнів цін на продукцію великовантажного автомобілебудування можуть обусловлюватись рядом чинників, які в цілому можна згрупувати:
1) макроекономічні чинники:
o стадія в розвитку економічного циклу країни;
o рівень інфляції;
o дія на ринкову кон'юнктуру в державі суспільно-політичних і соціальних явищ і процесів;
2) внутрігалузеві чинники:
o стан і тенденції розвитку кон'юнктури ринку вантажних автомобілів;
o існування вторинного ринку нової вантажної автомобільної техніки, що виникає за рахунок бартерної системи платежів, а також ринку уживаної і конверсійної техніки, примушуючих завод-виготівник знижувати ціни на свою продукцію;
o дія на рівень ціни підприємства вже в процесі роботи з ринком цінової політики конкурентів;
o стимулювання за рахунок зниження цін ділерів і кінцевих споживачів: знижки від розміру партії автомобілів, що закупляються; необхідність зниження ціни в процесі складання договору купівлі-продажу між продавцем і покупцем, коли відхилення фактичного рівня ціни від планового розглядається як обов'язкова умова висновку операції (''Ми закупимо автомобілі виробництва вашого підприємства, а не аналогічну техніку конкуруючого виготівника, але з умовою надання знижки у розмірі N%'', - типова ''просьба'' потенційного замовника в даній ситуації).
3) мікроекономічні чинники:
o необхідність підвищення цін через прорахунки в прогнозній оцінці відповідності цінового рівня продукції фактичним об'ємам витрат виробництва, коли відбувається зростання питомих постійних витрат унаслідок недостатнього об'єму реалізації продукції і неможливості покриття суми постійних витрат підприємства при колишньому рівні ціни (в подібній ситуації підвищення ціни виправдано при нееластичному попиті: наприклад, при реалізації унікальних по своїх споживацьких якостях колісних тягачів МЗКТ - єдиного спеціалізованого підприємства-виробника подібної техніки, активно просуваючого на ринки СНД і далекого зарубіжжя свою продукцію під мазкою "VOLAT").
В підприємницькій діяльності важливо кількісно визначити ризик, щоб порівняти альтернативні варіанти ціноутворення і вибрати самий оптимальний з них. А оскільки ризик - це вірогідність виникнення збитків в результаті нездійснення події, передбаченої прогнозом, і, отже, поняття вірогідності, то він може бути зміряний інструментами теорії вірогідності і математичної статистики.
Ринкова ціна по своїй природі є випадковою величиною - змінною, яка може прийняти те або інше значення в результаті ряду подій, що повторюються (в нашому випадку - фактична ціна реалізації автомобілів конкретному споживачу).
Теорія математичної статистики розрізняє два типи випадкових величин:
1. дискретна - ізольовані значення досліджуваного параметра, які можна наперед перерахувати; дискретні величини відокремлені один від одного проміжками, де немає інших можливих значень відповідного параметра; дискретна величина задається переліком всіх її можливих значень з відповідною вірогідністю, що характеризує закон розподілу дискретної величини;
2. безперервна - випадкова величина, яка може прийняти будь-яке значення з кінцевого або нескінченного інтервалу; безперервні величини не відокремлені один від одного і заповнюють деякий інтервал, причому одне значення випадкової величини не можна відділити від іншого проміжком, що не містить можливого значення цієї ж випадкової величини.
З останнього приведеного визначення стає очевидним, що ціна як економічна категорія є безперервною випадковою величиною.
З курсу математичної статистики відомо, що перерахувати можливі значення безперервної випадкової величини і їх вірогідності з побудовою ряду розподілу (як у дискретної величини) неможливо, оскільки безліч її значень нескінченно і відноситься до деякого заданого інтервалу (в ціноутворенні - це межа максимальної знижки з базової ціни і безпосередньо рівень базової ціни або прогнозне значення можливого її збільшення). Тому при описі характеру поведінки безперервної випадкової величини використовують не ряд розподілу, а його функцію. Остання і дозволяє судити про ступінь ризику.
До поширених видів розподілу випадкової величини відносять:
· рівномірне;
· нормальне;
· показове.
Стосовно аналізу ризику в ціноутворенні для задачі опису розподілу випадкових значень цін найкращим чином підходить саме нормальний розподіл, оскільки на варіювання цін в ринковій економіці впливає велика кількість чинників, а нормальний розподіл якраз і дозволяє врахувати їх дію на значення аналізованої випадкової величини.
Безперервна випадкова величина має нормальний розподіл, якщо її диференціальна функція розподілу (густина розподілу вірогідності) має наступний вигляд:

Графічно нормальна функція розподілу представлена на рис.№ 1 у вигляді так званої "кривої Гауса".

Малюнок №1. Крива нормального розподілу
Праву частину кривої Гауса щодо центру її симетрії F можна розглядати як криву ризику. В цьому випадку вісь абсцис - це розмір втрат, а вісь ординат (F) - вірогідність втрат. Тоді інтервал ' буде зоною допустимого ризику, інтервал 2d ' - зоною критичного ризику, а інтервал 3d ' - зоною катастрофічного ризику.
Для вирішення багатьох практичних задач визначення рівня ризику при безперервній нормально розподіленій випадковій величині достатньо вказати окремі числові параметри, що дозволяють в зручній, компактній формі охарактеризувати найважливіші риси розподілу. Стосовно проблеми оцінки ризику в ціноутворенні особливу значущість придбавають такі числові характеристики випадкової величини, як математичне очікування, середньоквадратичне відхилення і коефіцієнт варіації.
1.Математическое очікування
Особливістю розподілу випадкової величини є наявність в ньому деякого центру, навкруги якого групується решта її значень. Для характеристики такої особливості служить математичне очікування - центр розподілу або середнє значення випадкової величини. Його економічне значення стосовно оцінки ризику в ціноутворенні полягає в тому, що це свого роду стрижня, в околиці якого будуть з найбільшою вірогідністю варіювати значення ціни як безперервної випадкової величини.
З курсу математичної статистики відомо, що математичне очікування нормально розподіленої випадкової величини можна представити у вигляді:
(1.1)
Практичне застосування даної формули при оцінці ризику в ціноутворенні вимагає її спрощення. Не утрудняючи читача відомими [1,3], але громіздкими перетвореннями одержуємо:
(1.2)
де А - нижня межа цінового інтервалу;
B - верхня межа цінового інтервалу.
Таким чином, математичне очікування безперервної нормально розподіленої випадкової величини (значення варіацій цін) буде рівне параметру -а- у формулі (1.1) або напівсумі числових параметрів меж інтервалу [А;B].
2.Среднее квадратичне відхилення.
Дисперсія як міра розсіювання випадкової величини володіє істотним недоліком - характеризує ознаку в іншій розмірності (унаслідок присутності квадрата різниці Х - МХ), тому для відповідності параметрів Х, МХ використовують - середнє квадратичне відхилення:
(1.3)
де: А - нижня межа цінового інтервалу;
B - верхня межа цінового інтервалу.
Правомірність такого способу розрахунку середньоквадратичного відхилення витікає з рис.№ 1: саме у встановленому (виходячи з міркувань професійного характеру) ціновому інтервалі [
А;B] буде зосереджена основна кількість значень ціни як випадкової
величини, а саме 68,27% її варіацій (см.рис.№ 1). А цей інтервал рівний
, звідки і маємо
3. Коефіцієнт варіації випадкової величини
Це виражене у відсотках відношення середньоквадратичного відхилення до математичного очікування випадкової величини:
(1.4)
Коефіцієнт варіації при нормальному розподілі вірогідності характеризує відсоток відхилень від очікуваного значення величини, тобто це і є ступінь цінового ризику.
Практичне значення перерахованих характеристик перш за все в тому, що вони дозволяють осмислено підійти до кількісної оцінки ризику.
На закінчення, проілюструємо застосування вищеописаних інструментів на прикладі рішення задачі визначення ступеня цінового ризику.
Перед відділом маркетингу холдингової компанії ''АвтоКрАЗ'' стоїть задача визначення впливу можливого відхилення фактичної ціни реалізації автомобіля підвищеної прохідності КрАЗ-6322 від її запланованого рівня на розмір прогнозованого доходу від діяльності компанії на даному сегменті ринку. При цьому є наступна інформація:
o вказана в прайсі компанії ціна на автомобіль - 158500 грн.
o розмір допуску можливих відхилень від початкової ціни - 3% (при цьому мається на увазі, що розмір допуску обгрунтований з погляду економічної ефективності);
o прогнозний об'єм продажів компанії на сегменті автомобілів підвищеної прохідності складає в натуральному виразі 1000 шт.
Рішення поставленої задачі доцільно розбити на декілька етапів.
Перш за все, необхідно задати інтервал можливого варіювання цінових рівнів: [153745;158500].
Потім виходячи з розгляду ціни як безперервної нормально розподіленої випадкової величини визначаємо її числові параметри:
o математичне очікування: MX=(153745+158500)/2=156122,5 грн.
o середньоквадратичне відхилення: d =156915-155330=2377,5 грн.
Звідси розраховуємо коефіцієнт варіації:
VX=(2377,5/156122,5)*100%=1,52%.
Таким чином, ступінь ризику для компанії при роботі на сегменті автомобілів підвищеної прохідності складає 1,52%. За даними табл.№ 1 отриманий кількісний вираз ступеня ризику відноситься до категорії мінімальній.
Таблиця №1.
Емпірична шкала рівня ризику
| Ступінь риизику,%
|
Градації ризику
|
| 0-10
|
мінімальний
|
| 10-30
|
малий
|
| 30-40
|
середній
|
| 40-60
|
високий
|
| 60-80
|
максимальний
|
| 80-100
|
критичний
|
Маючи свій в розпорядженні показник ступеня ризику, можна оцінити його вплив на фінансові результати діяльності ХК ''АвтоКрАЗ'': якщо компанія вийде на прогнозований показник частки ринку, то планові об'єми її доходу складуть 1000*158500=158 500 000 грн.; проте, враховуючи ступінь ризику, плановий дохід повинен бути скоректований на її величину у бік зменшення. Таким чином, прогнозний об'єм доходу підприємства складе, найімовірніше, 156 000 000 грн.
Отже, показник ступеня цінового ризику грає вельми значущу роль в процесі господарювання підприємства в умовах ринкової економіки, оскільки дозволяє коректувати розміри основних фінансових показників з урахуванням чинника коливається ринкової кон'юнктури, що дає можливість більш обгрунтовано прогнозувати результати виробничо-господарської діяльності підприємства на плановий період (зокрема, більш точно оцінити рівень прибутковості з витікаючою можливістю і реальністю виконання підприємством-виробником своїх фінансових зобов'язань перед кредиторами, акціонерами і т.д.).
Литература
1. Гмурман В.Е. Теория вероятностей и математическая статистика. Учебное пособие для вузов. Изд.7-е, стер.- М.: Высш. шк., 1999. - 479 с.
2. Гранатуров В.М. Экономический риск: сущность, методы измерения, пути снижения: Учебное пособие М.: Дело и Сервис, 1999. - 112 с.
3. Калинина В.Н., Панкин В.Ф. Математическая статистика: учебник для техникумов. Изд. 2-е, стер.- М.: Высш. шк., 1998.- 336 с.
4. Смирнов Н.В., Дунин-Барковский И.В. Курс теории вероятностей и математической статистики. Учебное пособие для втузов. Изд.3-е, стер.- М.: Наука, 1969. - 512 с.
5. Устенко О.А. Теория экономического риска: Монография.- К.: МАУП, 1997. - 164 с.
6. Чернов В.А. Анализ коммерческого риска. / Под ред. М.И.Баканова. - М.: Финансы и статистика, 1998. - 128 с.
7. Штефанич Д.А. Управління підприємницьким ризиком. - Тернопіль: Економічна думка, 1999.-224 с.
|