Економічна ефективність капіталовкладень
Міністерство освіти і науки України
Харківська національна академія міського господарства
Кафедра менеджменту і маркетингу
у міському господарстві
Контрольна робота
“ Економічна ефективність капіталовкладень”
з курсу “Економіка виробництва”
Варіант №15
Харків - 2008
Зміст
Вступ
1.Методи оцінки ефективності капіталовкладень
2.Показники економічної ефективності
3.Оцінка ефективності впровадження нового котла
Список літератури
Вступ
Відповідно до Закону України «Про інвестиційну діяльність» інвестиції
розглядаються як вкладення капіталу (майнових і інтелектуальних цінностей) в об'єкти підприємницької та інших видів діяльності з метою його подальшого збільшення, отримання соціального ефекту та ін. Вкладання у відтворення основних фондів (будинків, споруд, передаточних пристроїв, устаткування, обладнання) називаються капітальними вкладеннями..
Джерелом приросту капіталу і головним мотивом інвестування є одержуваний прибуток (економія).
Загальним критерієм ефективності капіталовкладень є рівень одержуваного прибутку на вкладений капітал. Під прибутковістю розуміють не просто приріст капіталу, а такий темп його приросту, який повністю компенсує зміну купівельної спроможності грошей (інфляцію) протягом усього періоду експлуатації об'єкта інвестування, забезпечує мінімальний рівень прибутковості і покриває ризик інвестора, пов'язаний зі здійсненням проекту, враховує ставку позичкового проценту, виплату дивідендів і т.п.
1. Методи оцінки ефективності капіталовкладень
Існують два основних методи оцінки ефективності :
· прості (статичні);
· динамічні (методи дисконтування).
До статичних методів
оцінки ефективності відносять розрахунок звичайного строку окупності капіталовкладень і простої норми прибутку.
1. Звичайний термін окупності
(Ток), років – це розрахунковий період відшкодування капіталовкладень (інвестицій) за рахунок прибутку
, (1)
де ИС – капітальні вкладення;
Пр – прибуток від експлуатаційної діяльності.
2. Проста норма прибутку ( рентабельність капіталу)
. (2)
Показує ту частину капіталовкладень, що повертається інвестору у вигляді прибутку за один інтервал планування.
Динамічні методи оцінки ефективності
більш точні і знаходять широке розповсюдження у світовій практиці. Вони засновані на методах дисконтування і базуються на цілому ряді принципів.
Забиваем Сайты В ТОП КУВАЛДОЙ - Уникальные возможности от SeoHammer
Каждая ссылка анализируется по трем пакетам оценки: SEO, Трафик и SMM.
SeoHammer делает продвижение сайта прозрачным и простым занятием.
Ссылки, вечные ссылки, статьи, упоминания, пресс-релизы - используйте по максимуму потенциал SeoHammer для продвижения вашего сайта.
Что умеет делать SeoHammer
— Продвижение в один клик, интеллектуальный подбор запросов, покупка самых лучших ссылок с высокой степенью качества у лучших бирж ссылок.
— Регулярная проверка качества ссылок по более чем 100 показателям и ежедневный пересчет показателей качества проекта.
— Все известные форматы ссылок: арендные ссылки, вечные ссылки, публикации (упоминания, мнения, отзывы, статьи, пресс-релизы).
— SeoHammer покажет, где рост или падение, а также запросы, на которые нужно обратить внимание.
SeoHammer еще предоставляет технологию Буст, она ускоряет продвижение в десятки раз,
а первые результаты появляются уже в течение первых 7 дней.
Зарегистрироваться и Начать продвижение
1. Оцінка відшкодування інвестиційного капіталу
за рахунок чистого грошового потоку (
надходжень у вигляді сум чистого доходу або прибутку, економії собівартості), а також суми амортизаційних відрахувань.
2. Дисконтування
(приведення до теперішньої вартості) як інвестиційного капіталу, так і сум грошового потоку.
3. Вибір диференційованої ставки
відсотка (дисконтної ставки) у процесі дисконтування грошового потоку.
4. В
аріація значень використовуваної ставки процента
для дисконтування залежно від цілей оцінки.
За ставку процента для дисконтування, можна прийняти: середню депозитну або кредитну ставку, ставку позичкового процента; індивідуальну норму прибутковості (рентабельності) капіталовкладень з урахуванням рівня інфляції, рівня ризику і ліквідності; альтернативну норму прибутковості капіталовкладень або поточної експлуатаційної діяльності.
Процес оцінки ефективності капіталовкладень має три етапи.
Перший етап – розрахунок обсягу капіталовкладень
і суми майбутніх грошових надходжень (потоків);
Другий етап
-дисконтування.
Очікувані грошові надходження зводяться до теперішньої вартості шляхом множення на ставку дисконту.
Третій етап – оцінка ефективності.
Порівнюючи теперішню вартість дисконтованих очікуваних грошових надходжень і витрат, оцінюють ефективність капіталовкладень. Якщо дисконтована вартість надходжень (притоків) вище, ніж витрати (відтоки), то проект приймають до реалізації - у противному випадку відхиляють.
2. Показники економічної ефективності
1.
Чистий дисконтований доход (ЧДД)
- це різниця між приведеною до сучасного моменту (тобто до теперішньої вартості) шляхом дисконтування сумою надходжень від реалізації проекту і сумою капіталовкладень та інших дисконтованих витрат, що виникають у ході реалізації проекту за весь період його експлуатації:
, (3)
 де S ДДt *Кд
- сума дисконтованого грошового потоку (чистого доходу в теперішній вартості) за весь період експлуатації проекту (або за період до початку нових вкладень у проект);
SИС + Рп -
сума капіталовкладень на реалізацію проекту (варіанта ) та інших витрат, пов'язаних з реалізацією проекту .
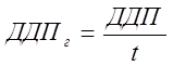
Грошовий потік t- го року (ДПt)
ДПt = Прt + Аt.
(4)
Тут Прt – чистий доход (прибуток) від експлуатації об'єкта, або економія собівартості t – го року;
Аt – річна сума амортизаційних відрахувань на основні фонди (амортизація по капіталовкладеннях);
Дисконтований грошовий потік t – го року
Сервис онлайн-записи на собственном Telegram-боте
Попробуйте сервис онлайн-записи VisitTime на основе вашего собственного Telegram-бота:
— Разгрузит мастера, специалиста или компанию;
— Позволит гибко управлять расписанием и загрузкой;
— Разошлет оповещения о новых услугах или акциях;
— Позволит принять оплату на карту/кошелек/счет;
— Позволит записываться на групповые и персональные посещения;
— Поможет получить от клиента отзывы о визите к вам;
— Включает в себя сервис чаевых.
Для новых пользователей первый месяц бесплатно.
Зарегистрироваться в сервисе
ДДПt = ДПt * Кдt . (5)
Дисконтний множник
грошового потоку t – го року (Кдt)
 ,
(6)
де Ек – дисконтна ставка процента, що задається інвестором самостійно залежно від умов інвестування;
t – період експлуатації проекту ( термін служби основних фондів), період від початку інвестування до нових вкладень у проект і т.п.
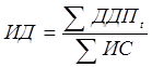
2. Індекс доходності (прибутковості), ИД
-
це співвідношення суми чистої приведеної вартості доходів за період життя проекту (дисконтованого чистого грошового потоку SДДПt
) та обсягу капіталовкладень SИС:
; (7)
Індекс доходності (прибутковості) показує відносну доходність (прибутковість) проекту, або дисконтовану вартість чистого грошового потоку (грошових надходжень) від проекту в розрахунку на одну одиницю капіталовкладень.
3. Період окупності (ПО)
- співвідношення суми капіталовкладень та середньої річної суми дисконтованого чистого грошового потоку:

,
(8) де ДДПг
– середня за рік сума дисконтованого чистого грошового потоку:
.
(9)
Тут t –
строк експлуатації об'єкта.
На відміну від показника «строк окупності капіталовкладень»період окупності базується не на прибутку, а на теперішній вартості чистого грошового потоку та дисконтованих капіталовкладеннях.
4.Внутрішня норма прибутковості (рентабельності) ВНД
визначається дисконтною ставкою за якою майбутня чиста вартість грошового потоку від капіталовкладень буде приведена до теперішньої вартості:
ЧДД=S ( ДДП / (1+ВНД)t
) – ИС = 0 . (10)
Характеризує рівень прибутковості проекту. ВНД є тією межею, нижче якої проект дає негативну загальну прибутковість.
Формула інтерполяції ставки дисконту:
ВНД = Ек1
+ ЧДД1
(Ек2 – Ек1) / (ЧДД1
- ЧДД2
). (11)
Кожен інвестор самостійно встановлює критеріальный показник ВНД, так звану «граничну ставку внутрішньої норми прибутковості» залежно від критеріїв, якими керуються експерти ( макроекономічної ситуації, рівня ризиків, вартості капіталу, співвідношення позиченого і власного капіталу та ін.).
Проект є привабливим, якщо ВНД перевищує базу порівняння (вартість капіталу, ставку по довгострокових банківських активах у даній галузі, максимальну ставку по кредитах і т.п.). Внутрішня норма рентабельності визначає максимальну ставку плати за джерела фінансування, при якій він залишається беззбитковим.
3. Оцінка ефективності впровадження котлів
Необхідність впровадження котлів з топкою киплячого шару викликана різким подорожчанням теплової енергії, паливного газу і фізичним зносом водогрійних котлів, встановлених на промислових майданчиках компресорних станцій (КС), великих промислових споживачів тепла і системах опалення житлового фонду, що збільшує плату за тепло.
Відповідно до завдання як базовий варіант прийнятий котел ВК-22, виробництва м. Івано-Франківська і розглядається варіант котла КВОГКШ виробництва НВФ «Газінженерінг-Сервіс» (м. Харків).
Характеристика устаткування.
Водогрійні котли ВК-22 і КВОГКШ призначені для опалення і гарячого водопостачання житлово-виробничих та ін. будинків.
Котел ВК-22 має високу продуктивність, простий в обслуговуванні, безпечний, економічний. Специфічною особливістю його є малий обсяг води в міжтрубному просторі, за рахунок чого досягається інтенсифікація теплопередачі , розміщення паливних пристроїв і здійснення спалювання палива (природного газу) у низькотемпературному шарі «киплячого» інертного матеріалу, дозволяє забезпечити стійке спалювання газу в діапазоні температур 700-900 ºС, практично виключити хімічний недопал газу й у 2-3 рази зменшити вихід оксидів сірки й азоту. Спалювання газу в киплячому шарі (КШ) дозволяє збільшити кількість переданої теплоти в 1,5-2,5 рази проти гладкої, що одержує теплоту «прямо» (не з КШ).
Використання ефекту КШ дозволяє збільшити теплову ефективність котлів (економія паливного газу до 30 %, власний ККД котла - до 95 %) і знизити металоємкість за рахунок організації інтенсивного теплообміну між середовищем, що гріє, і тим, що нагрівае.
Таблиця 3.1
| Показники
|
Одиниця виміру
|
ВК-22
|
КВОГКС
|
| 1
|
2
|
3
|
4
|
| Теплова потужність М
|
МВт
|
1,0
|
1,0
|
| Витрати газу В
|
м3
/год
|
120,0
|
105
|
| Число годин роботи за рік t
|
год/рік
|
7000
|
7360
|
| Строк служби Т
|
років
|
5
|
5
|
| Металоємкість Ме
|
тонн
|
2,4
|
2,0
|
| Ціна паливного газу Ц
|
грн./1000 м3
|
170
|
171
|
| ККД
|
%
|
90
|
93
|
| Вартість устаткування К н
|
тис.грн.
|
35,350
|
47
|
Капітальні вкладення
прийняті за ринковими цінами на устаткування.
Експлуатаційні витрати
включають витрати на паливо, амортизацію, поточний і капітальний ремонти. Статті витрат, що не змінюються по варіантах проекту, в розрахунках порівняльної ефективності не враховані.
Розрахунок економічного ефекту
.
1.Економія
витрати паливного газу (Э т г),тис.грн.
, (12)
де Вб. – витрата палива базовим котлом, Вб. = 120 м3
/год;
Вн. – витрата палива новим котлом, Вн. = 105 м3
/год.
м3
/год
За рік ; (13)
де – число годин роботи за рік, t = 7360 годин.
м3
/рік.
Економія
за рахунок скорочення витрат на паливний газ, тис.грн.:
, (14)
де 171 – ціна за 1000 м3
газу без ПДВ і ренти, грн.,
або (що те саме)
витрати
на паливний газ, тис.грн.
; (15)
;
.
Економія паливного газу,
Э т г, тис.грн.
Э т г = 151,0272 – 132,14 =18,878 .
2. Економія
за рахунок зниження амортизаційних відрахувань, тис.грн.
Э а =А б – А н . (16)
Амортизаційні
відрахування (15% від вартості устаткування) ,тис.грн.
;
.
Економія
за рахунок зниження амортизаційних відрахувань, тис.грн.
Эа = 8,295 – 7,05 = 1,245.
3. Загальна економія
на ремонтах (Э р), тис.грн.
Ер = Э к р + Э т р . (17)
Витрати
на капітальний ремонт (15% від вартості устаткування)
Зкр
б
= 55,3*0,16=8,848 тис.грн.
Зкр
н
= 47*0,16= 7,520тис.грн.
Економія
за рахунок зниження витрат на капітальний ремонт , тис.грн.
Э к р =8,848-7,520=1,328
Витрати
на поточний ремонт (5% від вартості устаткування), тис.грн.
Зтр
б
=55,3*0,04=2,212;

Економія
за рахунок зниження витрат на поточний ремонт , тис.грн
Э т р = 2,212-1,88=0,332
Загальна економія
на ремонтах (Э р ), тис. грн.
Э р = Эк р + Э т р = 1,328+0,332=1,660
4.Загальна економія
(прибуток) від упровадження котла КВОГКС (Эобщ):
Э общ = Э т г + Э а + Э р = 18,878 +1,245 + 1,66 = 21,783 тис. грн.
5. Звичайний строк окупності капіталовкладень (Т ок ), років
Т ок = К н / Э общ = 47/ 21,783 = 2,158 .
Висновки.
Варіант впровадження котла з топкою киплячого шару типу КВОГКШ ефективніше порівняно з котлом ВК-22. Капіталовкладення мають строк окупності 2,158 роки, а економічний ефект становить 21,783 тис.грн.
Динамічна система оцінки ефективності використовує такі показники:
ДП – грошового потоку;
ДДП – дисконтованого грошового потоку;
ЧДД – чистого дисконтованого доходу;
ИД – індексу доходності (прибутковості);
ПО – період окупності;
ВНД – внутрішньої норми доходності (прибутковості);
К д t
– дисконтного множника;
Е кt – ставки дисконту.
Вихідні дані прийняті із статичної системи розрахунків.
Інвестиції ІЗ = 47 тис.грн. Строк служби котла t = 5 років. Норма амортизації 15%. Дисконтна ставка Е к = 20%.
1. Чистий дисконтований доход (ЧДД)
Грошові потоки утворяться за рахунок економії і амортизації:
ГП = Езаг
+ А = 22,1 + 4,6 = 26,7 тис.грн.
Таблиця 3.2 -
Розрахунок дійсної вартості грошових потоків , тис. грн.
ЧДД = ДГП – ІЗ = 86,109 – 47 = 39,19
2. Індекс доходності (прибутковості), ІД
ІД = ДГП / ІЗ = 86,109/47 = 1,8
Висновок
.
ІД більше 1.Проект може бути прийнятий до реалізації.
3. Період окупності ( ПО), років
ПО = ІЗ \ ДГП ср;
ДГП ср = S ДГП / t = 86,109/ 5 = 14,35
ПО = 47 /14,35 = 3,27 роки.
4. Внутрішня норма доходності або прибутковості (ВНД), %
Треба знайти такий розмір дисконтної ставки, за якою теперішня (дисконтована) вартість грошового потоку ДГП = 86,109 тис.грн. за строк експлуатації котла 5 років буде приведена до суми інвестицій 47 тис. грн. По другій інтерпретації: необхідно знайти такий розмір дисконтної ставки Ек, при якій чистий дисконтований доход (ЧДД) дорівнюватиме нулю.
 Таблиця 3.3
- Розрахунок внутрішньої норми доходності (прибутковості)
Спочатку приймаємо ВНД =50% і знаходимо значення дисконтного множника (Кдt) для кожного року (табл.1 Додатку А).
Множенням грошового потоку (ГП) на дисконтний множник (Кдt) знаходимо дисконтований грошовий потік (ДГП). Відрахувавши з (ДГП) суму інвестицій (ІЗ), одержимо чистий дисконтований доход (ЧДД).
При позитивному результаті ЧДД ставку відсотка Ек збільшуємо до55% і знаходимо нові значення дисконтного множника (Кдt). Обчислення повторюємо до одержання негативного значення ЧДД.
У нашому прикладі чистий дисконтований доход набуває від позитивного негативне значення від + 0,16 (при Ек= 54%) до – 0,51 (при Ек=55%).
Отже, шукана внутрішня норма доходності (прибутковості) знаходиться в межах від 54 до 55%.За формулою інтерполяції (11) знаходимо ВНД= 54.67%. Висновки.
Впровадження котла з топкою киплячого шару КВОГКШ є ефективним. Він окупається за 3.27 роки, забезпечуючи повернення капіталовкладень і прибутковість проекту.
Техніко-економічні показники проекту
1. Теплова потужність, МВт 1,0
2. Витрата газу, м 3
/ год 105.0
3. Металоємкість, т 2,0
4. ККД, % 93,0
5. Строк служби , років 5,0
6. Ціна паливного газу, грн/тн 171.0
7. Капітальні вкладення, тис.грн. 47.0
8. Економія загальна , тис.грн. 21.783
9. Грошовий потік - « - 26,7
10. Чистий дисконтований доход - « - 39.19
11. Індекс прибутковості 1,8
12. Період окупності, років 3,27
13. Внутрішня норма прибутковості , % 54,67
Список літератури
1. Бирман Г., Шмидт С.Экономический анализ инвестиционных проектов: Пер.с англ.Под ред.Л.П.Белых.-М.:«Банки и биржи» ЮНИТИ,1997.-631 с.
2. Бромвич М. Анализ экономической эффективности капиталовложений: Пер. с англ.-М.: ИНФРА,1996.-432 с.
3. Крупка Я.Д., Литвин Б.М. Інвестиційний бізнес-план.-К.,1977.
4. Норкотт Д. Принятие инвестиционных решений :Пер. с англ. Под ред. А.Н. Шохина.-М.: « Банки и кредит”ЮНИТИ, 1997.-247с.
5. Пелихов Э.Ф., Довгаль Г.В. Конкурентоспособность фирмы и продукци и эффективность инновационо-инвестиционной деятельности : Уч. пособие. - ХГИ «НУА».-Харьков,2000.-46 с.
6. Федоренко В.Г.Інвестиційний менеджмент: Навч. посібник.-К.: МАУП,1999.-181 с.
7. Вітлінський В.В., Наконечний С.И. Ризик у менеджменті .- К. : Тов. “Борисфен –М “,1996.-336 с.
8. Инновационный менеджмент: Учебник для вузов./ С.Д. Ильенкова, Л.М. Гохберг, С.Ю. Ягудин и др. Под ред. С.Д. Ильенковой.-М.: «Банки и биржи” ЮНИТИ,1997.-327 с.
9. Основы инновационного менеджмента. Теория и практика.Учеб. пособ./ Под ред. П.Н. Завлина и др.- М.:ОАО НВТ «Экономика», 2000.-475 с.
10. Пересада А.А.Основи інвестиціоної діяльності.-К. Либра,1996.-344 с.
11. Яковлев А.И. Соціально-экономічна эфективність нововведень за умов ринку : Навч. посіб.-К.: ІСДО,1994.-228 с.
|