Содержание
Введение
1. Общие сведения о предприятии
1.1 Краткая природно-климатическая характеристика района расположения предприятия
1.2 Краткая характеристика основных технологических процессов
1.3 Количественная характеристика выбросов и обоснование ее полноты и достоверности
1.4 Источники загрязнения выделяющих веществ
1.4.1 Расчет промышленных выбросов в атмосферу
2. Основные понятия и определения процесса пылеулавливания и физико-химические свойства пыли
2.1 Классификация пылеуловителей
2.2 Санитарные требования к очистке выбрасываемых в атмосферу и воздуха от пыли
3. Гравитационные и инерционные методы сухой очистки газов и воздуха от пыли
4 Безопасность и экологичность проекта
4.1 Анализ опасных и вредных производственных факторов
4.2 Мероприятия по обеспечению электробезопасности производства
4.3 Освещение
4.5 Вентиляция
5. Интегрированная оценка проекта по критериям безопасности и экологичности
5.1 Расчет производственного освещения
6. Экономическое обоснование дипломного проекта
6.1 Определение экономической эффективности мероприятия по модернизации вентиляционной системы
6.1.1 Определение объема капитальных вложений по базовому варианту
6.1.2 Определение объема инвестиций в капитальные вложения по проектируемому варианту
6.1.3 Определение эксплуатационных издержек по базовому и проектируемому вариантам
6.1.4 Определение приведенных затрат по базовому и проектируемому вариантам
6.2 Определение экономической эффективности по установке рукавного фильтра в подготовительном отделении
6.2.1 Определение капитальных вложений
6.2.2 Определение эксплуатационных затрат
6.2.3 Определение приведенных затрат
Заключение
Список литературы
Введение
Характерной особенностью настоящего времени является интенсификация и глобализация воздействия человека на окружающую среду, что сопровождается небывалым ростом негативных последствий. Главным стал вопрос безопасности человека в техносфере и защита природной среды от ее негативного влияния.
Первопричиной многих негативных процессов в природе и обществе явилась антропогенная деятельность, не сумевшая создать техносферу необходимого качества как по отношению к человеку, так и по отношению к природе. В ХХ веке на Земле возникли зоны повышенного загрязнения биосферы, что привело к частичной, а в ряде случаев и к полной региональной деградации. Этому способствовали
Забиваем Сайты В ТОП КУВАЛДОЙ - Уникальные возможности от SeoHammer
Каждая ссылка анализируется по трем пакетам оценки: SEO, Трафик и SMM.
SeoHammer делает продвижение сайта прозрачным и простым занятием.
Ссылки, вечные ссылки, статьи, упоминания, пресс-релизы - используйте по максимуму потенциал SeoHammer для продвижения вашего сайта.
Что умеет делать SeoHammer
— Продвижение в один клик, интеллектуальный подбор запросов, покупка самых лучших ссылок с высокой степенью качества у лучших бирж ссылок.
— Регулярная проверка качества ссылок по более чем 100 показателям и ежедневный пересчет показателей качества проекта.
— Все известные форматы ссылок: арендные ссылки, вечные ссылки, публикации (упоминания, мнения, отзывы, статьи, пресс-релизы).
— SeoHammer покажет, где рост или падение, а также запросы, на которые нужно обратить внимание.
SeoHammer еще предоставляет технологию Буст, она ускоряет продвижение в десятки раз,
а первые результаты появляются уже в течение первых 7 дней.
Зарегистрироваться и Начать продвижение
- высокие темпы роста численности населения Земли (демографический взрыв) и его урбанизация;
- рост потребления и концентрации энергетических ресурсов;
- интенсивное развитие промышленности и сельского хозяйства;
- рост затрат на военные цели и ряд других процессов.
Достижения в медицине, повышение комфортности деятельности и быта во многом способствовали увеличению продолжительности жизни человека и как следствие росту населения.
Одновременно с демографическим взрывом идет процесс урбанизации населения планеты, который непрерывно ухудшает условия жизни в регионах, неизбежно уничтожает в них природную среду. Для крупнейших городов и промышленных центров характерен высокий уровень загрязнения компонент среды обитания. Так, атмосферный воздух городов содержит значительно большие концентрации токсичных примесей по сравнению с воздухом сельской местности.
Увеличение численности населения Земли и военные нужды стимулируют рост промышленного производства энергетических и сырьевых ресурсов.
Потребление материальных и энергетических ресурсов имеет боле высокие темпы роста, чем прирост населения, так как постоянно увеличивается их среднее потребление на душу населения. Так в США 7% населения используют 1/3 мирового производства электроэнергии (по статистическим данным 1970 года).
Оценивая экологические последствия развития энергетики, следует иметь в виду, что во многих странах это достигается за счет использования тепловых электростанций (ТЭС), сжигающих уголь, мазут или природный газ. Выбросы ТЭС наиболее губительны для биосферы.
Во второй половине ХХ века каждые 12 лет удваивается промышленное производство ведущих стран мира, что удваивает выбросы загрязнений в биосферу.
Опыт эксплуатации технологического оборудования различных отраслей промышленности показывает, что, несмотря на применение инженерно-экологических систем, призванных обеспечить качество воздушной среды производственных помещений на уровне санитарно-гигиенических нормативов, концентрации загрязняющих веществ в воздухе рабочих зон зачастую превышают ПДКр.з..
Основные причины: нарушение технологических режимов, несвоевременный и некачественный ремонт оборудования (эксплуатационные недостатки) – 20%; 38% - несовершенство технологических процессов и оборудования (технологические недостатки); 42% - не всегда оптимальный выбор проектных решений элементов инженерно-экологических систем, обеспечивающих улавливание загрязнений непосредственно от технологического оборудования (инженерно-экологические недостатки).
Сервис онлайн-записи на собственном Telegram-боте
Попробуйте сервис онлайн-записи VisitTime на основе вашего собственного Telegram-бота:
— Разгрузит мастера, специалиста или компанию;
— Позволит гибко управлять расписанием и загрузкой;
— Разошлет оповещения о новых услугах или акциях;
— Позволит принять оплату на карту/кошелек/счет;
— Позволит записываться на групповые и персональные посещения;
— Поможет получить от клиента отзывы о визите к вам;
— Включает в себя сервис чаевых.
Для новых пользователей первый месяц бесплатно.
Зарегистрироваться в сервисе
Устранение причин, относящихся к двум последним группам, позволит существенно снизить концентрацию загрязняющих веществ в воздухе рабочих зон и приблизить их к требованиям санитарно-гигиенических нормативов. Причем технологические мероприятия по снижению загрязнения воздуха рабочих зон позволяют уменьшить интенсивность выделения загрязняющих веществ на источниках их образования, что повышает эффективность работы инженерно-экологических систем. Последнее свидетельствует о тесной взаимосвязи технологических и инженерно-экологических мероприятий и необходимости комплексного подхода к решению проблемы прогноза и повышения эффективности работы устройств по снижению загрязнения воздуха рабочих зон различных отраслей промышленности.
В связи с этим не менее важно доведение полученных научных методик прогноза эффективности работы технических решений по улавливанию загрязняющих веществ до уровня, пригодного для проведения инженерных расчетов.
1. Общие сведения о предприятии
Наименование предприятия ЗАО «Сантарм».
Создание ЗАО «Сантарм» зарегистрировано Администрацией города Ростова-на-Дону с выдачей свидетельства за № 195 серия АО-КР 1997 года.
В учредительных документах заявлена деятельность по выпуску санитарно-технической арматуры.
Режим работы предприятия.
Односменный – трехсменный, общая численность рабочих составляет 746 человек.
Общая площадь предприятия.
- промплощадка № 1 – 1,380 га, в том числе 0,00 га под газоны, тротуарные дорожки, проезжая часть – 0,200 га
- промплощадка № 2 – 1,850 га, в том числе 0,020 га под газоны, тротуарные дорожки, проезжая часть – 0,200 га
- промплощадка № 3 – 3,600 га, в том числе 0,200 га под газоны, тротуарные дорожки, проезжая часть – 0,800 га
1.1 Краткая природно-климатическая характеристика района расположения предприятия
В настоящем разделе приведена метеорологическая характеристика состояния атмосферного воздуха в районе размещения предприятия.
По метеоусловиям, способствующим концентрации вредных примесей в приземном слое атмосферы, район размещения предприятия относится к третьей зоне – повышенного потенциала загрязнения воздуха.
Метеорологические характеристики коэффициенты, определяющие условия рассеивания загрязняющих веществ в атмосфере приняты согласно справке, выданной Ростовским областным центром по гидрометеорологии и мониторингу ОС, ля г. Ростова-на-Дону.
Метеорологические характеристики коэффициенты, определяющие условия рассеивания загрязняющих веществ в атмосфере.
Таблица 1
| Наименование Характеристик |
Величина |
| 1. Коэффициент, зависящий от стратификации атмосферы, А |
200 |
| 2. Коэффициент рельефа местности |
1 |
| 3. Средняя максимальная температура наружного воздуха наиболее жаркого месяца года, Т, С |
29,1 |
| 4. Средняя температура наружного воздуха наиболее холодного(для котельных работающих по отопительному графику), Т, С |
-6,3
|
5. Среднегодовая роза ветров, %
Север
Северо-восток
Восток
Юго-восток
Юг
Юго-запад
Запад
Юго-запад
Запад
Северо-запад
Штиль
|
7
12
34
9
3
10
18
10
18
7
12
|
6. Скорость ветра, повторяемость, превышение которой составляет 5%, м/с.
Для открытой местности
Для закрытой местности
|
13
7
|
По данным Ростовского центра гидрометеорологии и наблюдению за природной средой фоновые концентрации загрязняющих веществ в районе предприятия составляют:
Двуокись серы – 0,02
Взвешенные вещества – 0,9
Окись углерода – 3,0
Двуокись азота – 0,13
Сероводород – 0,0014
Фенол – 0,012
Аммиак – 0,12
Фоновые концентрации, рассчитанные в среднем по городу Ростова-на-Дону с учетом вклада всех действующих предприятий в загрязнение воздушного бассейна города.
1.2 Краткая характеристика основных технологических процессов
ЗАО «Сантарм» является высокоспециализированным предприятием по выпуску санитарно-технических изделий: кранов-смесителей, водоразборных кранов, палатенцесушители, лабораторной арматуры и т. д.
Основной производственный процесс состоит из ряда техноло-гических операций, происходящих в следующих подразделениях:
- Цех цветного литья;
- Участок термопластавтоматов;
-Участок полиэтиленовых шлангов;
- Инструментальный участок;
- Заготовительный участок;
- Шлифовальный участок;
- Участок гальванопокрытий;
- Участок сборки;
- Механический цех;
-Деревообрабатывающий участок.
Основной продукцией цеха цветного литья являются латунные отливки деталей сантехарматуры. В цех цветного литья поступает чушковая латунь. Для ее плавки используется 13 индукционных печей заводского изготовления мощностью 75-80 кВт, объемом плавильных камер до 250-320 кг жидкого металла.
Отливка заготовок деталей сантехарматуры производится в пресформах под давлением 600-800 атм. на 13-ти машинах цветного литья модели 711Б08. Температура жидкого металла доводится до 920 ℃
.
Отлитые заготовки проходят механическую обработку на участке заточки на заточных станках, оборудованных вытяжной вентиляцией, с пылеулавливающими установками (циклон ЦН-15).
В результате деятельности цеха цветного литья на предприятии образуются следующие промотходы:
- шлаки, содержащие латунь;
- пыль, содержащая металлические примеси.
На участке термопластавтоматов производятся детали из пластмассы методом литья под давлением на термопластавтоматах марки ТП-125, ТП-250, Д-3152, ДТ-3281, Д-3330 при tє =
180-220 ℃
и шланги с трубками методом экструзии на линиях сливных труб. В процессе производства, согласно технологического регламента образуются промышленные отходы – литники пластмасс. Отходы пластмасс дробят на измельчителях пластмасс марки ИРП-300 для дальнейшего использования в качестве сырья, смешивая с гранулами исходного сырья.
В инструментальном цехе изготавливают оснастку и инструмент.
Заготовки корпусных деталей, смесителей и другое из цеха цветного литья поступают в механический цех на участок агрегатных станков «ХА» для механической обработки.
В процессе механической обработки металла и сварочных работ образуются отходы черного металла. Для холодной обработки металла используются токарные, фрезерные, сверлильные станки и другие виды механического оборудования. Образовавшиеся отходы черного и цветного металла помещаются в специальную тару для сбора и временного хранения, которые находятся непосредственно в цехах. В них поступают также отходы электродов. По мере накопления отходов черных металлов передаются на утилизацию во «Вторчермет» г. Батайска, цветные металлы во «Втоцветмет» г. Батайска.
На территории механического цеха находится участок виброшлифовки, где производится шлифовка всевозможных деталей, гаек и т. д. мокрым песком и гайком (байкамет). При этом образуется такой отход, как пастообразный абразив.
После механической обработки часть деталей поступает на дальнейшую обработку и гальваническое покрытие.
В гальваническом цехе детали смесителей и другие сантехатматуры поступают на участок шлифовки и полировки.
Шлифовка производится на полуавтоматической линии «Силлем» и вручную на станках ЭВ853 с применением абразивной линии ГОСТ12.439-79.
Образующиеся промышленные отходы:
- отходы абразивной ленты, которые в связи с отсутствием технологии по переработке, вывозятся на полигон ТБО.
- абразивная пыль с включением цветных металлов, сдается во «Втормат» г. Батайск.
- отработанные войлочные круги, в связи с отсутствием технологии по переработке, вывозятся на полигон ТБО.
После механической подготовки поверхности, детали поступают на участок гальванопокрытий, где проходит процесс обезжиривания при tє=
60-80℃
в растворах Na3PO3, NA2CO3 с концентрацией 50-70 г/л процесс активации при
tє =
15 - 30℃
в растворе соляной кислоты.
Никелирование деталей производится в электролитах на основе сернокислого никеля.
Хромирование деталей производится в ваннах хромирования в электролитах состава Cr3H2SO4 .
Окончательное декоративное покрытие – хромирование при
tє =
45 - 50℃
в растворе Cr3O3,100-150 г/л.
Межоперационная промывка осуществляется в проточной питьевой воде. Все операции производятся в автоматическом режиме.
В гальваническом цехе образуется отход – жидкий шлам, содержащий Cr четырехвалентный и состоящий из хромового электролита, с повышенным содержанием меди, цинка, железа.
Промывные сточные воды нейтрализуются в очистных сооружениях, проходят через электрокоагуляторы, с последующим сбросом в городскую канализацию.
После прохождения всей технологической цепочки детали поступают на участок сборки, где происходит сборка и упаковка готовой продукции.
При выполнении работ по ремонту оборудования на механическом оборудовании техническом обслуживании автотранспорта образуется промышленный отход – ветошь промасленная.
Промасленная ветошь собирается в оборудованном месте для дальнейшей передачи ООО «Таравторсырье» г. Батайск.
В столярном отделении выполняются следующие операции – пиление, строгание и механическое соединение. В результате деревообрабатывающих работ образуются отходы древесины в виде кусковых отходов и стружки. Отходы древесины по мере накопления передаются Ростовскому Республиканскому ипподрому или населению.
При выполнении ремонтных работ основных средств, осуществляется окраска изделий пневматическим методом на открытых площадках. Образующиеся при выполнении окрасочных работ отходы краски помещаются в металлическую емкость и хранятся на территории предприятия. Работы по окрашиванию изделий баз использования гидрофильтров снижает объем образования отходов краски т.к. большая часть краски выбрасывается в воздух или распыляется на расположенные предметы.
Предприятие имеет собственные котельные, укомплектованные котлоагрегатами, работающие на природном газе.
Производственный процесс выработки тепла со сжиганием природного газа в камерной топке котла не является отходообразующим. При ремонте котельного оборудования и отопительных систем образуется нетоксичный лом черны металлов, образующиеся на предприятии и также вывозятся во «Вторчермет».
1.3 Количественная характеристика выбросов и обоснование ее полноты и достоверности
Инвентаризация источников выбросов загрязняющих веществ в атмосферу выполнена с целью выявления источников загрязнения атмосферного воздуха, определение качественного и количественного состава выбросов для дальнейшей оценки уровня загрязнения атмосферы.
До начала инвентаризации были выявлены подготовительные работы по выявлению и устранению дефектов вентиляционных систем, по ознакомлению с технологическим оборудованием и технологическими процессами, при которых в атмосферу выделяются загрязняющие вещества.
По сбору исходных данных о составе и количестве основного и вспомогательного сырья, топлива и материалов, применяемых в процессе производства их расходе, а также времени и режимах работы технологического оборудования.
При определении качественного состава выбросов выявлены все загрязняющие вещества, образующиеся в технологическом процессе с учетом возможных химических превращений.
Состояние оборудования и технологических коммуникаций удовлетворительно. Возможность аварийных и залповых выбросов загрязняющих веществ по характеру технологических процессов исключено. В период проведения инвентаризации собранны сведения о работе автотранспорта предприятия (в среднем за один день).
Работы проводились в соответствии с требованиями руководящих документов. Параметры газовоздушной смеси определились в соответствии.
Качественный и количественный состав выбросов определяется:
- из источников №№-1001,2001,3001,6001 расчетно-аналитическим методом;
- из источников №№-2001-2010,2012-2017,3002-3015,3017,3019-3020 инструментально-аналитическим методом.
Инструментально-аналитический контроль источников выбросов выполнен лабораторией ЗАО «Сантарм».
Количественные характеристики выбросов получены:
- максимальные г/с – исходя из фактической производительности технологического оборудования с учетом возможности его одновременной работы.
- среднее т/год – исходя из общего расхода используемого сырья и материалов с учетом времени работы соответствующего технологического оборудования.
По результатам инвентаризации на предприятии имеется 24 организо-ванных и 6 не организованных источников загрязнения атмосферы, 16 источников оборудованы установками очистки газа. Очистка ГВС осуществляется от пыли.
Остальные источники выбрасывают в атмосферу неочищенный воздух.
Эффективность очистки УОГ в пределах средних эксплуатационных значений.
1.4 Источники загрязнения выделяющих веществ
ПДВ – АТМОСФЕРА v3. 02 ООО «Экосфера»
Ростов-на-Дону, ЗАО «Сантарм»
Таблица 2
| Наименование производства номер цеха, участка и т.д. |
Номер источника загрязнения атмосферы |
Номер источника выделения |
Наименование источника выделения загрязняющих веществ |
Время работы источника выделения, час В сут. |
Время работы источника выделения, час За год |
Наименование загрязняющего вещества |
Код загрязняющего вещества |
Кол-во загрязняющего вещества |
| Площадка 3(2-ялиния 62) котельная |
3001 |
01 |
Котлоагрегат ДКВР 4/13 |
24.0 |
4344 |
Азот диоксида Азота оксид Ангидрит сернистый (серы диоксид) Углерода оксид |
0301
0304
0330
0337
|
3.7392896
0.9348224
0.4674748
14.6066
|
Шлифовальный
участок
|
3002 |
01 |
Станки шлифовально-полировальные – 5шт. |
8,0 |
1936 |
Пыль неорганическая, содержащая двуокись кремния в % ниже 20
(доломит и др.)
|
2909 |
1.6016 |
| 3003 |
01 |
Станки шлифовально-полировальные – 4шт. |
8,0 |
1936 |
Пыль неорганическая, содержащая двуокись кремния в % ниже 20 (доломит и др.) |
2909 |
2.8012 |
| 3004 |
01 |
Станки шлифовально-полировальные – 5шт |
8,0 1936 |
3,0 726 |
Пыль неорганическая, содержащая двуокись кремния в % ниже 20 (доломит и др.) |
2909 |
1.2729 |
| 3005 |
01 |
Автоматическая линия «Силлем» |
8,0 1936 |
3.0 726 |
Пыль неорганическая, содержащая двуокись кремния в % ниже 20 (доломит и др.) |
2909 |
0.6528 |
| 3006 |
01 |
Станки шлифовально-полировальные – 3шт |
Пыль неорганическая, содержащая двуокись кремния в % ниже 20 (доломит и др.) |
2909 |
0.7165 |
| 3007 |
01 |
Шлифовальный агрегат |
Пыль неорганическая, содержащая двуокись кремния в % ниже 20 (доломит и др.) |
2909 |
0.3905 |
| 3008 |
01 |
Ванна химического обезжиривания – 2 шт. |
14.00 |
3388 |
Натрия гидроокись (натр. едкий, сода каустическая) |
0150 |
0.011 |
| 3009 |
01 |
Ванна хромирования - 2 шт. |
14,0 |
3388 |
Хром шестивалентный (в пересчете на трехокись хрома) |
0203 |
0.0049 |
| 3010 |
01 |
Ванна электрохимического обезжиривания – 2 шт. |
14,0 |
3388 |
Натрия гидроокись (натрий едкий, Сода каустическая) |
0150 |
0.011 |
| 3011 |
01 |
Ванна никелирования – 2 шт. |
14.00 |
3388 |
Никеля растворимые соли(в пересчете на никель) |
0165 |
0.0005 |
| 3012 |
01 |
Ванна никелирования |
14.00 |
3388 |
Никеля растворимые соли(в пересчете на никель) |
0165 |
0.0006 |
| 3013 |
01 |
Ванна снятия покрытия – 2 шт. |
14.00 |
3388 |
Кислота серная по молекуле H2SO4 |
0322 |
0.0026 |
| 3014 |
01 |
Станки заточные – 4 шт. |
4.0 |
968 |
Пыль неорганическая, содержащая двуокись кремния в % ниже 20 (доломит и др.) |
2909 |
0.1337 |
| Гальванический участок |
3015 |
01 |
Ванны химического обезжиривания |
8.0 |
1936 |
Натрия гидроокись (натрий едкий, сода каустическая) |
0105 |
0.0028 |
| Заточный участок |
3017 |
01 |
Заточный станок |
3,0
3,0
|
726
726
|
Пыль неорганическая, содержащая двуокись кремния в % ниже 20 (доломит и др.) |
2909 |
0.1133 |
| Участок травления брака |
3018 |
01 |
Сварочный пост |
3.0 |
780 |
Железо оксид(в пересчете на железо) |
0123 |
0.01557 |
| Марганец и его соединения (в пересчете на диоксид маар-ганца) |
0143 |
0.001625 |
| Хрома трехвалентные соединения(в пересчете на хром ) |
0228 |
0.000205 |
| Инструментальный участок |
3019 |
01 |
Станки шлифовально-полировальные – 4 шт. |
8,0 |
1936 |
Пыль неорганическая, содержащая двуокись кремния в % ниже 20 (доломит и др.) |
2909 |
1.065 |
| 3020 |
01 |
Станки шлифовально-полировальные – 4 шт. |
8.0 |
1936 |
Пыль неорганическая, содержащая двуокись кремния в % ниже 20 (доломит и др.) |
2909 |
1.9495 |
| Монтажный участок |
6001 |
01 |
Открытая стоянка автомобильного транспорта |
0.7 |
191 |
Азота диоксид
Сажа
Ангидрит сернистый (серы диоксид)
Углерода оксид
Формальдегид
Углеводороды предельные
C12 – С19 (растворит. РПК – 265П и др.) в пересчете на суммарный орг. углерод
|
0301 |
0.00713
0.0003044
0.000665
0.0263
0.0000594
0.0064
|
| Шлифовальный участок |
| Гараж |
Перечень загрязняющих веществ, выбрасываемых в атмосферу ПДВ – АТМОСФЕРА v3/02 ООО «Экосфера» Ростов-на-Дону, ЗАО «Сантарм»
Таблица 3
| Код загрязняющего вещества |
Наименование вещества |
ПДК максимальноразовая, мг/м і |
ПДК средне –суточная,3мг/м |
ОБУВ Ориентир. Безопасн. УВ, мг/м і |
Класс опасности |
Выброс вещества г/с |
Выброс вещества т/од |
Значение КОВ (М/ПДК)**а |
Категория опасности вещества |
| 0165 |
Никеля растворимые соли (в пересчете на никель) |
0.002 |
0.0002 |
1 |
0.00009 |
0.0011 |
18.1391 |
3 |
| 0304 |
Азота оксид |
0.4 |
0.06 |
3 |
0.059777 |
0.9348224 |
15.5804 |
3 |
| 2909 |
Пыль неорга-ническая, содержащая двуокись крем-ния в % ниже 20(доломит и др.) |
0.5 |
0.15 |
3 |
0.2113337 |
1.2471087 |
8.3141 |
3 |
| 0337 |
Углерода оксид |
5.0 |
3.0 |
4 |
0.972515 |
14.6329 |
4.1628 |
3 |
| 0150 |
Натрия гидро-окись (натрий едкий, сода каустическая) |
0.01 |
0.00184 |
0.0248 |
2.2647 |
3 |
| 0143 |
Марганец и его соединения (в пересчете на диоксид марганца) |
0.01 |
0.001 |
2 |
0.005046 |
0.001625 |
1.8798 |
3 |
| 0123 |
Железа оксид (в пересчете на железо) |
0.04 |
3 |
0.04253 |
0.01557 |
0.3893 |
3 |
| 0228 |
Хрома трехва-лентные соединения |
0.01 |
0.00038 |
0.000205 |
0.0302 |
3 |
| 0203 |
Хром шестива-лентный (в пересчете на трехокись хрома) |
0.0015 |
0.0015 |
1 |
0.0000096 |
0.0001176 |
0.0132 |
3 |
| 1325 |
Формальдегид |
0.035 |
0.003 |
2 |
0.0000867 |
0.0000594 |
0.0061 |
3 |
| 0328 |
Сажа |
0.15 |
0.05 |
3 |
0.000441 |
0.0003044 |
0.0061 |
3 |
| 2754 |
Углеводороды предельные С12-С19(растворит. РПК-265 и др.)в пересчете на суммарный орг. Углерод |
1.0 |
4 |
0.00385 |
0.00264 |
0.0048 |
3 |
| Вещества, обладающие эффектом суммарного вредного воздействия |
| 0301 |
Азота диоксид |
0.085 |
0.04 |
2 |
0.24947 |
3.76441 |
365.614 |
3 |
| 0330 |
Ангидрит сернистый (серы диоксид) |
0.5 |
0.005 |
3 |
0.03085 |
0.46813 |
9.3628 |
3 |
| 0322 |
Кислота серная по молекуле H2SO4 |
0.3 |
0.1 |
2 |
0.0005 |
0.0026 |
0.0087 |
3 |
| Всего |
1.57875 |
21.07842 |
425.7765 |
| Суммарный коэффициент опасности: Категория опасности: |
4.25776 4Е+24 |
Характеристика источников загрязнения атмосферы
ПДВ – АТМОСФЕРА v3. 02 ООО «Экосфера»
Ростов-на-Дону, ЗАО «Сантарм»
Таблица 4
| Номер источника загрязнения |
Параметры источника загрязнения |
Параметры газо-воздушной Смеси на выходе источника загрязнения |
Код загрязняющего вещества |
Количество загрязняющих веществ, выбрасываемых в атмосферу |
Координаты источника загрязнения, м |
| Высота, м |
Диаметр размер сечения устья, м |
Скорость, м/с |
Объемный расход, мі/с |
Температура, ℃ |
Точечные источники 1-го конца линейного источника |
2-го конца линейного источника |
| Максим. г/с |
Суммарное, т/год |
XI |
YI |
XI |
YI |
| 3001 |
36.0 |
0.63 |
11.97 |
3.73 |
120.0 |
0301 0304 0330 0337 |
0.2391078 0.059777 0.0298925 0.934015 |
3.7392896 0.9348224 0.4574748 14.6066 |
| 3002 |
12.5 |
0.5х0.5 |
15.79 |
3.1 |
29.0 |
2909 |
0.0269397 |
0.01877676 |
| 3003 |
12.5 |
0.5х0.5 |
9.07 |
1.78 |
29.0 |
2909 |
0.0389843 |
0.2717164 |
| 3004 |
12.5 |
0.5х0.5 |
10.13 |
1.99 |
29.0 |
2909 |
0.0177122 |
0.1234713 |
| 3005 |
12.5 |
0.5 |
18.54 |
3.64 |
29.0 |
2909 |
0.0327631 |
0.0855158 |
| 3006 |
12.5 |
0.4 |
9.87 |
1.24 |
29.0 |
2909 |
0.0114108 |
0.795315 |
| 3007 |
12.5 |
0.32 |
19.4 |
1.56 |
29.0 |
2909 |
0.0110704 |
0.028897 |
| 3008 |
13.0 |
0.56х 0.56 |
13.03 |
3.21 |
29.0 |
0105 |
0.0009 |
0.011 |
| 3009 |
13.0 |
0.5х 0.56 |
15.92 |
3.92 |
29.0 |
0203 |
0.0000096 |
0.0001176 |
| 3010 |
13.0 |
0.5х 0.56 |
11.29 |
2.78 |
29.0 |
0150 |
0.0009 |
0.011 |
| 3011 |
13.0 |
0.5х 0.56 |
12.67 |
3.12 |
29.0 |
0165 |
0.00004 |
0.0005 |
| 3012 |
13.0 |
0.54 |
16.59 |
3.8 |
29.0 |
0165 |
0.00005 |
0.0006 |
| 3013 |
12.5 |
0.54 |
10.57 |
2.42 |
29.0 |
0322 |
0.0005 |
0.0026 |
| 3014 |
12.0 |
0.25 |
11.41 |
0.56 |
29.0 |
2909 |
0.0039728 |
0.0139048 |
| 3015 |
12.5 |
0.45 |
13.39 |
2.13 |
29.0 |
0150 |
0.00004 |
0.0028 |
| 3017 |
12.0 |
0.27 |
13.8 |
0.79 |
29.0 |
2909 |
0.0048174 |
0.0125763 |
| 3018 |
11.0 |
0.7х0.7 |
2.42 |
0.93 |
29.0 |
0123 0143 0228 |
0.04253 0.005046 0.00038 |
0.01557 0.001625 0.000205 |
| 3019 |
7.8 |
0.6 |
10.93 |
3.09 |
29.0 |
2909 |
0.0284208 |
0.019809 |
| 3020 |
9.0 |
0.3х0.3 |
27.87 |
1.97 |
29.0 |
2909 |
0.0352422 |
0.0254637 |
| 6001 |
5.0 |
29.0 |
0301 0328 0330 0337 1325 2754 |
0.01037 0.000441 0.000963 0.0385 0.0000867 0.00385 |
0.00713 0.0003044 0.000665 0.0263 0.0000594 0.00264 |
2000 |
2000 |
20 |
20 |
1.4.1 Расчет промышленных выбросов в атмосферу
Расчет промышленных выбросов при механической обработке металлов.
При обработке металлов без охлаждения наибольшим пылевыделением сопровождаются процессы абразивной обработки металлов: зачистка, полирование, шлифование и др. образующая при этом пыль на 30-40% по массе представляет материал абразивного круга и на 60-70% - материал обрабатываемого изделия. Интенсивность пылевыделения при этих видах обработки связана, в первую очередь, с величиной абразивного инструмента и некоторых технологических параметров резания. При обработке войлочными и матерчатыми кругами образуется войлочная (шерстяная) или текстильная (хлопковая) пыль с примесью полирующих материалов, например, пасты ГОИ.
В ряде процессов механической обработки металлов и их сплавов применяют смазывающие охлаждающие жидкости, в зависимости от физико-химических свойств основной фазы они подразделяются на водные, маслянистые и специальные.
Применение смазывающей охлаждающей жидкости сопровождается образованием тонкодисперсного масляного аэрозоля и продуктов его термического разложения.
Количество выделяющегося аэрозоля зависит от многих факторов: формы и размеров изделия, режимов резания, расходов и способов подачи смазывающей охлаждающей жидкости. Экспериментально установлена зависимость количества выделений масляного аэрозоля от энергетических затрат на резание металла. Удельные показатели выделений в этом случае определяются как масса загрязняющего вещества, выделяемая на единицу мощности оборудования (на 1 кВт мощности привода станка).
Применение смазывающей охлаждающей жидкости снижает выделение пыли до минимальных значений, однако в процессах шлифования изделий количество выделяющейся совместно с аэрозолями смазывающей охлаждающей жидкости металлоабразивной пыли остается значительным.
В соответствии со СНиП 2.04.05-92*(1) все источники пылевыделений, как правило, должны быть оборудованы местной вытяжной вентиляцией и пылеочистными установками. Это обеспечивает достижение ПДК в воздухе рабочей зоны с условием, что вредности не проходят через зону дыхания работающих.
Заточный участок ИЗА 1
Исходные данные. Источниками выделения загрязняющих веществ являются три станка с диаметрами абразивного круга 100, 250 и 400мм соответственно. Все три источника выбросов объединены в одну систему местной вытяжной вентиляции и выбрасывают загрязненный воздух в атмосферу через трубу источника загрязнения атмосферы ИЗА 1 с помощью вентагрегата В1. Перед выбросом в атмосферу воздух очищается в пылегазоочистном аппарате – циклоне с обратным конусом типа ЦОК со степенью очистки Е=0,85. Время работы источников выделения ИВ 1, 2 и 3 соответственно равно Т=400; 700; 250 ч/год.
Расчет. В связи с тем, что общеобменная вытяжная система вентиляции отсутствует, считаем Кмо = 1.
1. Массовые выделения абразивной (код 2930) и металлической пыли (код 0123).
Талица 5
| Номер источника Выделения |
Источник выделения |
Массовое выделение загрязняющих веществ |
| Заточные станки с диаметром Круга (мм) |
Мє№(г/с) 2930 |
Мє№(г/с) 0123 |
| ИВ 1 |
100 |
0,004 |
0,006 |
| ИВ 2 |
250 |
0,011 |
0,016 |
| ИВ 3 |
400 |
0,019 |
0,029 |
2. Так как имеется три источника выделения загрязняющих веществ с различными характеристиками каждого вида по 1 единице n=1, то для ИВ 1:
М є№
= 0,004∙
1∙
1= 0,004 г/с,
М є№
= 0,006∙
1∙
1= 0,006 г/с.
Так же определяются выделения от ИВ 2 и ИВ 3. В данном примере для каждого загрязняющего вещества Мє№ = Мє.
3. Определяем суммарные выделения от ИВ 1, 2, 3 до очистки по каждому загрязняющему веществу:
Мє = 0,004+0,011+0,019 = 0,0034 г/с,
Мє = 0,006+0,016+0,029 = 0,0051 г/с.
4. Массовые выбросы в атмосферу с учетом очистки:
М = 0,034∙
(1- 0,85) = 0,0051 г/с,
М = 0,051∙
(1- 0,85) = 0,00765 г/с.
5. Валовые выделения загрязняющих веществ до очистки по каждому источнику выбросов:
ИВ 1: Вє = 0,0036∙
400∙
0,004 = 0,00576 т/год,
Вє = 0,0036∙
400∙
0,006 = 0,00864 т/год;
ИВ 2: Вє = 0,0036∙
700∙
0,0011 = 0,077 т/год,
Вє = 0,0036∙
700∙
0,0016 = 0,0403 т/год;
ИВ 3: Вє = 0,0036∙
250∙
0,019= 0,0171 т/год,
Вє = 0,0036∙
250∙
0,029 = 0,0261 т/год.
6. Суммарные валовые выделения загрязняющих веществ по ИВ 1, 2, 3:
Вє = 0,00576+0,0277+0,0171 = 0,0506 т/год,
Вє = 0,00864+0,0403+0,0261 = 0,0750 т/год.
7. Валовые выбросы в атмосферу с учетом очистки в ЦОК:
В = 0,0506∙
(1 - 0,85) = 0,00759 т/год,
В = 0,0750∙
(1 - 0,85) = 0,0113 т/год.
Результат. Выбросы по ИЗА 1 составляют:
Таблица 6
| Выделяющееся загрязняющее вещество |
Мє (г/с) |
Вє (т/год) |
М (г/с) |
В (т/год) |
| Абразивная пыль |
0,034 |
0, 0506 |
0,0051 |
0,00759 |
| Металлическая пыль |
0,051 |
0,075 |
0,00765 |
0,0113 |
Примечание. Если принять дополнительное условие, что работают одновременно два заточных станка из трех, то суммарные массовые выделения загрязняющих веществ составят в худшем случае:
Мє = 0,011+0,019 = 0,003 г/с,
Мє = 0,016+0,029 = 0,045 г/с,
а выбросы в атмосферу после очистки
М = 0,03∙
(1 - 0,85) = 0,0045 г/с,
М =0,045∙
(1 - 0,85)=0,00675 г/с.
Валовые выбросы до и после очистки остаются такими же.
Шлифовальный участок ИЗА 5, 6, 7
Исходные данные: на участке имеется 7 станков подключенных к местной вытяжной вентиляции с выбросом воздуха в атмосферу через источник загрязнения ИЗА 5. Перед выбросом воздух очищается от пыли в пылегазоочистном аппарате – циклоне типа ЦЛП со степенью очистки 90%. Коэффициент эффективности местных отсосов Кмо=0,95. Неуловленные местными отсосами загрязняющие вещества удаляются из помещения двумя крышными вентиляторами одинаковой производительности – ИЗА 6, 7. Время работы всех станков Т=2100 ч/год. Обрабатываемый материал – сталь.
Расчет. 1. Массовые выделения Мє№ абразивной (код 2930) и металлической (код 0123) пыли от ИВ 1 – 7. Так как ИВ 1 – 5 с охлаждением, вводим коэффициент 0,1 (10% от сухой обработки).
Таблица 7
| Номер источника выделения, количество |
Источник выделения |
Массовое выделение загрязняющих веществ (г/с) |
| Мє№ 2930 |
Мє№ 0123 |
m’2868 |
| ИВ 1, 2, 3 (n=3) |
Круглошлифовальный станок с диаметром круга 400 мм, с охлаждением эмульсией (эмульсол 3%), N=7 кВт |
0,02∙0,1 |
0,03∙0,1 |
0,05 |
| ИВ 4, 5 (n=2) |
Плоскошлифовальный станок с диаметром круга 250 мм , с охлаждением эмульсией (эмульсол 3%), N=10 кВт |
0,016∙0,1 |
0,026∙0,1 |
0,05 |
| ИВ 6, 7 (n=2) |
Внутришлифовальный станок с диаметром круга 20…50 мм без охлаждения, N=6 кВт |
-5
0,005∙10
|
-5
0,008∙10
|
2. Определяем массовые выделения загрязняющих веществ по группам источников выделений с одинаковыми характеристиками ИЗА 5:
ИВ 1 – 3: Мє = 0,002∙
3∙
0,95 = 0,0057 г/с,
Мє = 0,003∙
3∙
0,95 = 0,00855г/с,
Мє = ( 0,05∙
10 ∙
7) ∙
3∙
0,95 = 0,998 ∙
10 г/с;
ИВ 4, 5: Мє = 0,0016∙
2∙
0,95 = 0,00304 г/с,
Мє = 0,0026∙
2∙
0,95 = 0,00494 г/с,
М = (0,05∙
10 ∙
10) ∙
2∙
0,95=0,95∙
10 г/с;
ИВ 6,7: Мє = 0,005∙
2∙
0,95 = 0,0095 г/с,
Мє = 0,008∙
2∙
0,95 = 0,0152 г/с.
3. Определяем массовые выделения по ИЗА 5 для всех источников выделения:
Мє = 0,0057+0,00304+0,0095 = 0,0182 г/с,
Мє = 0,00855+0,00494+0,0152 = 0,0287 г/с,
Мє = 0,998+10 +0,95∙
10 = 1,95∙
10 г/с.
4. Определяем валовые выбросы по ИЗА 5 с учетом очистки:
М = 0,0182∙
(1-0,9) = 0,00182 г/с,
М = 0,0287∙
(1-0,9) = 0,00287 г/с.
М = Мє = 1 ,95∙
10 г/с.(эмульсол в циклоне не очищается).
5. Определяем валовые выделения по ИЗА 5 для всех источников выделения:
Вє = 0,0036∙
2100∙
0,0182 = 0,0138 т/год,
Вє = 0,0036∙
2100∙
0,0287 = 0,217 т/год,
Вє = 0,0036∙
2100∙
1,95∙
10 = 0,000147 т/год.
6. Определяем валовые выделения по ИЗА 5 с учетом очистки:
В =0,0138∙
(1-0,9)=0,00138 т/год,
В = 0,0217∙
(1-0,9) = 0,00217 т/год,
В = Вє = 0,000147 т/год.
7. Определяем массовые выделения по группам источников выделения, неуловленные местными отсосами и поступающие в ИЗА 6, 7. Так как пылегазоочистные аппараты на них неустановленны, то Мє = М
ИВ 1 – 3: М = 0,002∙
3∙
(1-0,95) = 0,0003 г/с,
М =0 ,003∙
3∙
(1-0,95) = 0,00045 г/с,
М = (0,05∙
10 ∙
7) ∙
3∙
(1-0,95) = 0,0525∙
10 г/с;
ИВ 4, 5: М = 0,0016∙
2∙
(1-0,95) = 0,00016 г/с,
М = 0,0026∙
2∙
(1-0,95) = 0,0006 г/с,
М = ( 0,05∙
10 ∙
10) ∙
2∙
(1-0,95) = 0,05∙
10 г/с;
ИВ 6, 7: М = 0,005∙
2∙
(1-0,95) = 0,0005 г/с,
М = 0,008∙
2∙
(1-0,95) = 0,0008 г/с.
8. Определяем суммарные массовые выбросы от всех источников выделения в ИЗА 6, 7:
Ʃ М = 0,0003+0,00016+0,0005 = 0,00096 г/с,
Ʃ М =0,00045+0,00026+0,0008=0,005 г/с,
Ʃ М = 0,0525∙
10 +0,05∙
10 = 0,103 ∙
10 г/с.
9.Опредекляем массовые выбросы по каждому ИЗА 6,7:
М = Ʃ М / 2 = 0,00096 / 2 = 0,00048 г/с,
М = Ʃ М / 2 = 0,00151 / 2= 0,000755 г/с,
М = Ʃ М / 2 = 0,103 ∙
10 / 2 = 0,0515 ∙
10 г/с.
10. . Определяем валовые выделения (выбросы) по каждому ИЗА 6, 7:
Вє =В =0,0036 ∙
2100 ∙
0,00048=0,00363 т/год,
Вє =В =0,0036 ∙
2100 ∙
0,000755=0,00571 т/год,
Вє =В =0,0036 ∙
2100 ∙
0,515 ∙
10 =0,389 ∙
10 т/год.
Результат. Выбросы по ИЗА 5, 6, 7 равны:
Таблица 8
| Номер источника загрязнения атмосферы |
Вид выброса |
Выделяющееся загрязняющее вещество |
| Пыль абразивная |
Пыль металлическая |
эмульсол |
| ИЗА 5 |
М є (г/с) |
0,0182 |
0,0287 |
-5 1,95 ∙
10 |
| В є (т/год) |
0,138 |
0,217 |
0,000147 |
| М (г/с) |
0,00182 |
0,00287 |
-5 1,95 ∙
10 |
| В (т/год) |
0,0138 |
0,0217 |
0,000147 |
| ИЗА 6 |
М є , М(г/с) |
0,00048 |
0,000755 |
-5
0,05155 ∙
10
|
| В є, В(т/год) |
0,00363 |
0,00571 |
-5
0,389 ∙
10
|
| ИЗА 7 |
Выбросы такие же как в ИЗА 6 |
Расчеты загрязнения атмосферного воздуха от выбросов на предприятии
Рассчитываем безразмерный параметр n при 0.3 < Vм < 2;
n =3 - √
(Vм - 0.3) Ч
(4.36- Vм) = 3 - √
(1.44 – 0.3) Ч
(4.36-1.44) =1.2
| Vм, 2/3 1/3 1/3 (м *град / с ) |
n |
| 1.44 |
1.2 |
| 0.49 |
2.14 |
| 0.49 |
2.14 |
| 0.49 |
2.14 |
| 0.49 |
2.14 |
| 0.42 |
2.31 |
| 0.36 |
2.51 |
| 0.52 |
2.08 |
| 0.52 |
2.08 |
| 0.52 |
2.08 |
где Vм – безразмерный параметр;
Вычислим параметр F;
f
= 10
і
Ч
W
0
Ч
Д
= 10
і
Ч
13.5
Ч
0.63
= 0.07
НІ
Ч
∆
Т 36І ∙
93
Таблица 9
| Д, м |
Н, м |
∆Т, ℃ |
f |
| 0.63 |
36 |
93 |
0.07 |
| 0.5 |
12.5 |
2 |
21.6 |
| 0.5 |
12.5 |
2 |
21.6 |
| 0.5 |
12.5 |
2 |
21.6 |
| 0.5 |
12.5 |
2 |
21.6 |
| 0.4 |
12.5 |
2 |
17.3 |
| 0.32 |
12.5 |
2 |
13.8 |
| 0.56 |
13 |
2 |
22.4 |
| 0.56 |
13 |
2 |
22.4 |
| 0.56 |
13 |
2 |
22.4 |
где W0 – средняя скорость газовоздушной смеси из устья источника, м/с;
Д – диаметр устья источника выброса, м;
Н – высота источника выброса над уровнем земли, м;
∆
Т – разность температур газовоздушной смеси и воздуха наиболее жаркого месяца:
Тr(1)= 120℃
, Т r(2/10)=29℃
, Твоздуха – 27℃
;
Рассчитываем безразмерную величину m;
m = 1
= 1
= 1.3
0.67 +0.1Ч
√
f
+0.34Ч
√
f
0.67+0.1Ч
√
0.07+0.34Ч
√
0.007
f
|
m |
| 0.07 |
1.3 |
| 21.6 |
0.4 |
| 21.6 |
0.4 |
| 21.6 |
0.4 |
| 21.6 |
0.4 |
| 17.3 |
0.4 |
| 13.8 |
0.4 |
| 22.4 |
0.4 |
| 22.4 |
0.4 |
| 22.4 |
0.4 |
где f – безразмерный параметр;
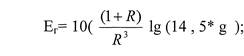
Определяем максимальную приземную концентрацию при неблагоприятных метеорологических условиях на расстоянии Хм: (мг/м і )
См = А Ч
М Ч
F
Ч
m
Ч
n
= 200 Ч
3.3792896 Ч
1 Ч
1.3 Ч
1.2
= 0.123
Н І Ч
і
√
V1Ч∆
T 36ІЧі√
4.21Ч
93
Таблица 10
| М,т/год |
m |
n |
Н, м |
V1, мі /с |
∆Т, ℃ |
См, мг/мі |
3.3792896
0.9348824
0.4574748
14.6066
|
1.3 |
1.2 |
36 |
4.21 |
93 |
0.123
0.031
0.015
0.48
|
| 0.18777676 |
0.4 |
2.14 |
12.5 |
2.65 |
2 |
0.12 |
| 0.2717164 |
0.4 |
2.14 |
12.5 |
2.65 |
2 |
0.17 |
| 0.1234713 |
0.4 |
2.14 |
12.5 |
2.65 |
2 |
0.078 |
| 0.0855158 |
0.4 |
2.14 |
12.5 |
2.65 |
2 |
0.054 |
| 0.0795315 |
0.4 |
2.31 |
12.5 |
1.7 |
2 |
0.062 |
| 0.08897 |
м |
2.51 |
12.5 |
1.1 |
2 |
0.028 |
| 0.011 |
2.08 |
36 |
3.31 |
2 |
0.006 |
| 0.0001176 |
2.08 |
13 |
3.31 |
2 |
0.000062 |
| 0.0011 |
2.08 |
13 |
3.31 |
2 |
0.006 |
где А – коэффициент зависящий от температуры стратификации, определяющий условия рассеивания вредных веществ в атмосферном воздухе. Для Ростовской области
А=200с⅔*мг*град⅓/г;
М – мощность вредного вещества, выбрасываемого в атмосферу, т/год;
F – коэффициент, учитывающий скорость оседания вредных веществ в атмосферном воздухе (для газов и мелкодисперсных аэрозолей F=1);
m,n – коэффициенты, учитывающие условия выхода газовоздушной смеси из устья источника выброса;
Н – высота источника выброса над уровнем земли, м;
V1 - оббьем газовоздушной смеси, мі/
с;
∆
Т – разность температур газовоздушной смеси воздуха наиболее жаркого месяца:
Тr(1)=120 ℃
,Тr(2/10)=29℃
,Твоздуха=27℃
;
Значение опасной скорости ветра Uм(м/с) на уровне флюгера(10м от уровня земли), при которой имеет место наибольшее значение приземной концентрации вредных веществ в атмосферном воздухе (См);
при Vм < 0.5 Uм = 0.5
при 0.5 < V м <2 Uм = Vм
Таблица 11
| Vм, (м⅔*мг*град⅓/с⅓)
|
Uм, м/с
|
| 1.44 |
1.44 |
| 0.49 |
0.49 |
| 0.49 |
0.49 |
| 0.49 |
0.49 |
| 0.49 |
0.49 |
| 0.42 |
0.5 |
| 0.36 |
0.5 |
| 0.52 |
0.52 |
| 0.52 |
0.52 |
| 0.52 |
0.52 |
Таблица 12
| Направление ветра |
U, м/с |
Uм , м/с |
U/Uм |
| В |
4.42 |
1.44
0.49
0.5
0.52
|
3.1
9
8.84
8.5
|
| СВ |
1.56 |
1.44
0.49
0.5
0.52
|
1.08
3.2
3.12
3
|
| С |
0.91 |
1.44
0.49
0.5
0.52
|
0.63
1.8
1.82
1.75
|
| СЗ |
0.91 |
1.44
0.49
0.5
0.52
|
0.63
1.8
1.82
1.75
|
| ЮЗ |
1.3 |
1.44
0.49
0.5
0.52
|
0.9
2.6
2.6
2.5
|
| Ю |
0.39 |
1.44
0.49
0.5
0.52
|
0.27
0.79
0.78
0.75
|
| ЮВ |
1.17 |
1.44
0.49
0.5
0.52
|
0.8
2.4
2.3
2.25
|
| З |
2.34 |
1.44
0.49
0.5
0.52
|
1.6
4.8
4.7
4.5
|
где U – скорость ветра: (м/с);
Uм – значение «опасной» скорости ветра: (м/с);
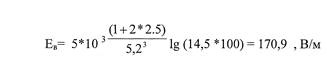
Вычислим максимальную приземную концентрацию при неблагоприятных метеорологических условиях и скорости ветра;
Сми = rЧ
См = 0.66Ч
0.123 = 0.081
| r
|
См, мг/м
і
|
Сми,мг/м
і
|
0.66
0.18
0.18
0.19
|
0.123
0.031
0.015
0.48
|
0.081
0.005
0.003
0.091
|
4.32
0.63
0.65
0.69
|
0.12 |
0.5
0.076
0.078
0.083
|
0.75
2.01
1.95
2.2
|
0.17 |
0.13
0.34
0.33
0.37
|
0.75
2.1
1.95
2.2
|
0.078 |
0.058
0.16
0.15
0.17
|
0.97
0.87
0.87
0.94
|
0.054 |
0.05
0.047
0.047
0.051
|
0.27
0.91
0.91
0.88
|
0.062 |
0.017
0.056
0.056
0.047
|
0.92
1.01
1.09
1.14
|
0.028 |
0.026
0.02
0.03
0.032
|
3.16
0.37
0.38
0.39
|
0.006 |
0.019
0.002
0.002
0.002
|
где r – безразмрная величина;
См – максимальная приземная концентрация, мг/мі
Определим безразмерную величину d;
d = 4.95 Ч
Vм Ч
(1+ 0.28 Ч і√
f) = 4.95 Ч
1.44 Ч
(1+ 0.28 Ч і√
0.07) = 7.95
Таблица 14
| Vм, (м⅔*град⅓/с⅓) |
f |
d |
| 1.44 |
0.07 |
7.95 |
| 0.49 |
21.6 |
4.32 |
| 0.49 |
21.6 |
4.32 |
| 0.49 |
21.6 |
4.32 |
| 0.49 |
21.6 |
4.32 |
| 0.42 |
17.3 |
3.58 |
| 0.36 |
13.8 |
2.98 |
| 0.52 |
22.4 |
4.6 |
| 0.52 |
22.4 |
4.6 |
| 0.52 |
22.4 |
4.6 |
где Vм – безразмерный параметр;
f – безразмерный параметр;
Найдем расстояние, на котором концентрация максимальная;
Хм = dЧ
Н = 7.95Ч
36 = 286.2
Таблица 15
| d |
Н, м |
Хм, м |
| 7.95 |
36 |
286.2 |
| 4.32 |
12.5 |
54 |
| 4.32 |
12.5 |
54 |
| 4.32 |
12.5 |
54 |
| 4.32 |
12.5 |
54 |
| 3.58 |
12.5 |
44.75 |
| 2.98 |
12.5 |
37.25 |
| 4.6 |
13 |
59.8 |
| 4.6 |
13 |
59.8 |
| 4.6 |
13 |
59.8 |
где d- безразмерная величина;
Н – высота источника выброса над уровнем земли, м;
Определим отношение;
Х
= 20
= 0.069
Хм 286.2
Таблица16
| Х,м |
Хм, м |
Х/Хм |
| 286.2 |
0.069 |
| 54 |
0.37 |
| 54 |
0.37 |
| 54 |
0.37 |
| 54 |
0.37 |
| 44.75 |
0.45 |
| 37.25 |
0.54 |
| 59.8 |
0.33 |
| 59.8 |
0.33 |
| 59.8 |
0.33 |
где Х – расстояние по горизонтали от центра фонаря до расчетной точки = 20м;
Хм – расстояние, на котором концентрация максимальная;
Определим концентрацию на расстоянии Х от центра аэрационного фонаря при скорости ветра U и его направлении поперек фонаря;
С = S1 Ч
См = 0.026 Ч
0.123 = 0.0032
Таблица 17
| S1 |
См, мг/м і |
С, мг/м і |
| 0.026 |
0.123
0.031
0.015
0.48
|
0.0032
0.00081
0.0004
0.012
|
| 0.49 |
0.12 |
0.059 |
| 0.49 |
0.17 |
0.085 |
| 0.49 |
0.078 |
0.038 |
| 0.49 |
0.054 |
0.026 |
| 2.05 |
0.062 |
0.13 |
| 0.72 |
0.028 |
0.02 |
| 0.41 |
0.006 |
0.0025 |
где S1 – безразмерную величину определяемая при «опасной» скорости ветра Uм;
См – максимальная приземная концентрация;
Найдем безразмерную величину pU/Uм >1
P = 0.32 Ч
(U/Uм) + 0.68 = 0.32 Ч
3.1 + 0.68 = 1.67
при 0.25 < U/Uм < 1
p = 8.43Ч
( 1 - U/Uм) + 1 = 8.43 Ч
(1-0.63) + 1 = 1.06
Таблица 18
| U/
Uм
|
p
|
3.1
9
8.84
8.5
|
0.67
3.6
3.5
3.4
|
1.08
3.2
3.12
3
|
1.02
1.7
1.7
1.64
|
0.63
1.8
1.82
1.75
|
1.06
1.2
1.3
1.2
|
0.63
1.8
1.82
1.75
|
1.06
1.2
1.3
1.2
|
0.9
2.6
2.6
2.5
|
1
1.5
1.5
1.48
|
0.27
0.79
0.78
0.75
|
2.75
1
1
1
|
0.8
2.4
2.3
2.25
|
1
1.45
1.42
1.4
|
1.6
4.8
4.7
4.5
|
1.2
2.2
2.2
2.1
|
Рассчитываем расстояние от источника выброса, на котором при скорости ветра U и не благоприятных метеорологических условиях концентрация достигает максимального значения, м;
Хми = pЧ
Хм = 0.67 Ч
286.2 = 191.7
Таблица 19
| р |
Хм, м |
Хми,м |
0.67
3.6
3.5
3.4
|
286.2 |
191.7
1030.3
1001.7
937.1
|
1.02
1.7
1.7
1.64
|
54
|
55.1
91.8
91.8
89.1
|
1.06
1.2
1.3
1.2
|
54 |
57.2
64.8
70.2
64.8
|
1.06
1.2
1.3
1.2
|
54 |
57.2
64.8
70.2
64.8
|
1
1.5
1.5
1.48
|
54 |
54
81
81
79.9
|
2.75
1
1
1
|
44.75 |
123
44.75
44.75
44.75
|
1
1.45
1.42
1.4
|
37.25 |
37.25
54
52.9
52.1
|
1.2
2.2
2.2
2.1
|
59.8 |
71.8
131.6
131.6
125.6
|
где Хм – расстояние, на котором концентрация максимальная;
р – безразмерная величина;
Вывод по проведенному расчету: См, Сми > ПДК выбрасываемых газов приведенных в таблице. Параметры зон с максимальной концентрацией: Хм =37.25 ч 286.2, и Хми = 52.1ч 1030.3 м. Следовательно, при проектировании размещения объектов на территории предприятия их нужно располагать на расстоянии, превышающем данные. Для уменьшения приземных концентраций загрязняющих веществ нужно применить очистку выбросов.
2. Основные понятия и определения процесса пылеулавливания и физико-химические свойства пыли
Понятия и определения
Пыль представляет собой дисперсную систему с газообразной дисперсионной средой и твердой дисперсной фазой, состоящей из частиц от квазимолекулярного до макроскопического размеров, обладающих свойством находится во взвешенном состоянии более или менее продолжительное время.
Аэрозоли также представляют собой дисперсные системы с газообразной (воздушной) дисперсной средой и твердой или жидкой дисперсной фазой. Скорость оседания частиц аэрозоля очень мала, и они могут, неопределенно долгое время находится во взвешенном состоянии. Наиболее тонкие частицы аэрозоля по размерам приближаются к наиболее крупным молекулам, а наиболее крупные достигают 1 мкм.
Под термином пыль подразумевается не аэродисперсная система, а только ее твердая фаза, т. е. твердые частицы.
Уловленные частицы аэрозоля, представляющие собой очень тонкий порошок, согласно терминологии коллоидной химии иногда называют аэрогелем. Его частицы чаще всего являются продуктами конденсации, но в ряде случаев могут образовываться при тонком измельчении твердых материалов.
Пыли аэрозоли и порошки обычно полидисперсны, т. е. частицы их дисперсной фазы имеют неодинаковый размер. В природе и технике монодисперсные пыли, и аэрозоли встречаются крайне редко. Лишь у не многочисленных порошков состав приближается к монодисперсному. В технике монодисперсные порошки изготавливают в очень небольших количествах для специальных целей, в частности для градуировки приборов дисперсного анализа.
Масса частиц, содержащаяся в единице объема газа или воздуха, называется концентрацией пыли, пылесодержанием или запыленностью и обозначается С. Число частиц n в единице объема газа или воздуха представляет собой концентрацию пыли по числу частиц и обозначается Сn.
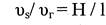
Седиметационной скоростью vs называется постоянная скорость оседания частиц, которую она приобретает в спокойной среде под влиянием силы тяжести. Она зависит от размера, формы, плотности вещества частицы, а так же от плотности и вязкости среды.
Скорость витания (парения) частицы представляют собой скорость вертикально восходящего потока, численно равную седиментационной скорости.
Размер частицы д, определяющий ее крупность, может быть охарактеризован длиной стороны частицы, размерами ее проекции, шириной ячейки сита. Диаметр точно характеризует размер только шарообразных частиц.
Эквивалентный диаметр дэ применяется для характеристики размера частиц, отличающихся по своей форме от шара. Существуют следующие понятия эквивалентного диаметра: диаметр шара, оббьем которого равен объему частицы; диаметр круга, площадь которого равна проекции частицы , определяемой путем микроскопирования.
Седиментационный диаметр дsчастицы равен диаметру шара, скорость оседания и плотность которого соответственно равны скорости оседания и плотности частицы любой формы. Когда анализ пыли производится седиментометрическим или инерционным методами, под диаметром частиц всегда подразумевается и их седиментационный диаметр.
2.1 Классификация пылеуловителей
По назначению устройства для очистки газа (воздуха) от пыли подразделяются на пылеуловители и воздушные фильтры. Первые служат для санитарной очистки газов и воздуха перед их выбросом в атмосферу и для технологической очистки с целью улавливания и возврата ценных пылевидных продуктов или полуфабрикатов, а второе - для очистки приточного воздуха, подаваемого вентиляционного установками в производные и общественные здания.
В соответствии с терминологией газовой техники АН СССР (132), пылеуловители делятся на две категории: аппараты без применения жидкости и с ее применением. Такое деление принято и в ГОСТ 12.2.043-80 «Оборудование пылеулавливающее. Классификация».
Сухие пылеуловители по сущности происходящих в них физических явлений делятся на гравитационные, инерционные, фильтрационные и электрические.
По некоторым особенностям принципа их действия или основному конструкционному признаку группы пылеуловителей делятся на подгруппы и далее, в зависимости от специфики конструктивного оформления, на типы аппаратов.
Гравитационные пылеуловители представляют собой пылеосадочные камеры, в которых выпадение частиц из газового потока происходит под действием силы тяжести. Существует два типа таких камер: полые и полочные. Полки в камерах устанавливают с целью осаждения более тонких частиц или чтобы иметь возможность увеличить скорость и, соответственно, расход газа в сечении камеры без снижения степени очистки.
В инерционных пылеуловителях выделение частиц из газового потока происходит под действием сил инерции, возникающих вследствие изменения направления или скорости движения газа. Они делятся на три подгруппы: жалюзийные (пластинчатые или конические), волокнистые (рукавные, панельные, ячейковые), зернистые (насыпные, жесткие), сетчатые (ячейковые, барабанные).
Электрофильтры действуют на основе сообщения частицам в поле коронного разряда электрического заряда с последующим их осаждением на осадительных электродах. Электрофильтры делятся на две группы: однозонные и двухзонные с осадительными электродами пластинчатыми и трубчатыми, подвижными и неподвижными.
Пылеулавливающие средства с применением жидкостиможно объединить в три группы: инерционные, фильтрационные и электрические.
В группу инерционных мокрых пылеуловителей входят циклоны с водяной плёнкой. Ротационные, скрубберы и ударные аппараты.
К циклонам с водяной плёнкой относятся циклоны типа ЦВП, центробежные скрубберы ВТИ, скоростные промыватели СИОТ. К ротационным - вентиляторные мокрые пылеуловители ВМП - ЛИОТ, ТбИОТ и НИИ углеобогащения, а также различного типа дезинтеграторы.
К подгруппе скрубберов следует отнести различной формы камеры с форсунками, полые, либо заполненные слоями насадки из кусков неправильной формы или реек, дисков, колец, либо с лопастями и другими деталями и конструкциями правильной геометрической формы. Кроме того, в эту подгруппу входят скрубберы с трубой Вентури, известные в технической литературе также под названием турбулентных промывателей, коагуляционных мокрых пылеуловителей и эжекторных скрубберов.
В подгруппу ударных инерционных мокрых аппаратоввходит простейший пылеуловитель, типа полой башни или ямы, в нижней части которых налита вода. Запыленный газ, выходящий из вертикально расположенного патрубка, ударяется о зеркало воды. В эту подгруппу входят различного типа аппараты с импеллерами (направляющими лопастями) и самооборотом орошаемой воды: ротоклон Гипротяжмаша, пылеуловители типа ПМВК ВЦНИИОТ и ПВМ ЦНИИП промзданий.
К группе мокрых фильтрационных аппаратов, предназначенных для очистки пылевых выбросов, относятся различные пенные пылеуловители. В эту группу входят ценные пылеуловители с переливной и провальной решет-кой (ПГС и ПГМ ЛТИ), струйно-пенные НИГМИ, ударно-пенные, циклоно-пенные и пеновихревые аппараты. К этой же группе можно отнести барботажные пылеуловителибез решетки и с подачей запыленного воздуха под утопленную в воде решетку.
Мокрые электрофильтрыклассифицируются так же, как и сухие, и отличаются от последних только применением воды в виде стекающей плёнки на осадительных электродах. При отделении жидкой дисперсной фазы (например, тумана) уловленная жидкость стекает по электродам без применения воды.
2.2 Санитарные требования к очистке выбрасываемых в атмосферу и воздуха от пыли
ПДК для производственных помещений установлены Минздравом, исходя из условия, что при ежедневной работе в пределах 8 часов в течение всего рабочего стажа такая концентрация не может вызвать у работающих заболеваний или отклонений в состоянии здоровья, обнаруживаемых современными методами исследования, непосредственно в процессе работы или в отдаленные сроки.
Величина ПДК для населенных мест в 10 и более раз ниже, чем для производственных помещений. В качестве ПДК для приземного слоя атмосферы над территориями предприятий принято считать 30% от ПДК для производственных помещений.
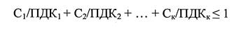
При совместном присутствии в воздухе нескольких веществ, обладающих суммацией действия, сумма их относительных концентраций (С/ПДК) не должна превышать единицы.

Для оценки степени запылённости воздушной среды в ряде случаев проводят определение количества пыли, оседающей на единицу площади в течение часа или суток. Для производственных помещений между концентрацией пыли в воздухе С (в мг/м3
) и количеством оседающей пыли Со (в мг/(м2
ч)) существует следующая ориентировочная зависимость:
С0
=ЮС
Очистка и рассеивание в атмосфере выбросов технологических и вентиляционных установок должны обеспечивать снижение содержания вредных примесей, в том числе пыли, до значений ПДК в приземном слое атмосферы населённых мест и до 30% от ПДК воздуха производственных помещений в воздушной среде, окружающей здания, расположенные на территории предприятий.
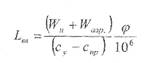
Вентиляционный воздух, выбрасываемый в атмосферу, согласно §4.58 СНиП II-33-75, разрешается не очищать, если концентрация в нем пыли С не превышает следующих значений: при расходе воздуха L > 15,0 тыс. м3
/ч
С=100К
при L < 15,0 тыс. м3
/ч
C = (160-4L)K
Здесь К - коэффициент, зависящий от ПДК пыли в воздухе производственных помещений:

Рассеивание вредных выбросов в атмосферном воздухе
Снижение концентрации вредных примесей в промышленных выбросах методами их очистки до значений ПДК, установленных Минздравом СССР для воздуха населенных мест, зачастую не представляется возможным. Поэтому после достижения максимально возможной или экономически целесообразной очистки выбросов дальнейшее снижение концентраций вредных примесей достигается методом их рассеивания в атмосфере.
Для создания методов расчета процессов рассеивания и разработки необходимых инженерных решений по снижению уровня загрязнения атмосферного воздуха. Был проведен большой комплекс научных исследований.
На способ расчета загрязнений воздуха промплощадок влияет так же характеристики источников загрязнения (низкие и высокие, линейные и точечные, внутренние и внешние, периодического и непрерывного действия, изотермические и нагретые).
Расчетные формулы для вычисления концентрации вредных примесей в воздухе около отдельно стоящих узких и широких зданий и в межкорпусном пространстве зависят от сочетаний различных вариантов и взаимного расположения виде источников.
В сложной и многообразной проблеме расчета рассеивания загрязнений имеется еще ряд нерешенных задач. К ним относятся создание метода расчета загрязнения атмосферы при одновременном выделении вредных веществ высокими и низкими стационарными и эпизодическими выбросами и ряд других задач. Исследования в этой области продолжаются.
Дисперсный состав пыли. Распределение и плотность распределения частиц пыли по их размерам.
В комплексе физико-химических свойств пыли ее дисперсный состав является одной из наиболее важных характеристик. Не зная степени дисперсности промышленных пылей, нельзя объективно оценить степень очистки в действующих пылеочистных устройствах и прогнозировать ее для проектируемых установок. Методы расчета эффективности многих пылеуловителей основаны на использовании данных о дисперсном составе пыли и функции фракционной степени очистки. В свою очередь, фракционные степени очистки газа от пыли, в каком - либо аппарате можно определить только на основе достаточно достоверных анализов дисперсного состава исходной, уловленной или вынесенной пыли.
Функция, которая при любом фиксированном д равна отношению массы частиц, диаметр которых меньше (больше) д, к общей массе всех частиц пыли, выраженному в процентах, называется функцией распределения по проходу D(д) или по остаткуR д).
На рис. 1 - а, б, в, г представлены кривые функции распределения, построенные по данным содержания в кварцевой пыли частиц с размерами больше и меньше д:
а - на обычной координатной сетке с равномерными шкалами;
б - на логарифмически вероятностной координатной сетке;
в - на координатной сетке Ромашова;
г-на двойной логарифмической сетке.

Рис. 1
На рис. 2 изображена гистограмма, построенная на основе данных дисперсного состава кварцевой пыли. Площадь каждого прямоугольника должна быть равна содержанию данной фракции в %. По оси ординат откладывают разность между наибольшим и наименьшим размером частиц данной фракции. Общая площадь всех прямоугольников составляет 100 %.

Рис.2
3. Гравитационные и инерционные методы сухой очистки газов и воздуха от пыли
Гравитационные пылеуловители.
В гравитационных пылеуловителях выделения взвешенных частиц из газообразной среды происходит главным образом под действием силы тяжести.
Размеры полых пылеосадочных камер на рис. определяют, исходя из заданного расхода газа L и минимального седиментационного диаметра частиц пыли дS
, которые вместе с более крупными частицами должны выпасть из потока. Соотношение длинны 1 и высоты Н камеры находят из соотношения скорости газа vs
:



Рис.3
Ширину камеры b определяют, исходя из принятых в расчете скорости газа vs
, высота камеры Н и заданного расхода газа L:



Для вычисления скорости оседания (витания) vs
по заданному диаметру частицы дS
и наоборот - диаметра дS
по заданной величине vs
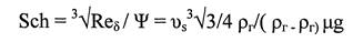
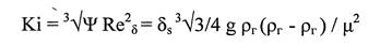
H.C. Сыркин предложил использовать критерии Шиллера Sch и Кирпичева Ki
Чем меньше скорость газа и высота камеры, и больше её длина, тем меньшую скорость оседания можно получить, т.е. тем меньшего размера частицы пыли можно выделить из запыленного потока.
Резкое снижение высоты оседания дают так называемые полочные камеры. Для удобства сбора пыли полки делают наклонными; по оси камеры расположен шнек для выгрузки осевшей пыли. Для более эффективного удаления пыли с наклонных полок применяют вибраторы или другие встряхивающие устройства периодического действия, а для горизонтальных можно применить механизм, периодически наклоняющий их к центру бункера.

Рис. 4
где - полочная пылесборочная камера;
1- направляющие лопасти;
2- полки;
3- шнек;
4- пылевой затвор;
5- бункер.
При конструировании пылеосадочной камеры весьма важно обеспечить равномерный подвод запыленного газа. Для этой цели устанавливают газораспределительные решетки или применяют диффузоры с рассечками, располагая их под углом 10 - 12 ° друг к другу.
Недостатками пылеосадочных камер по сравнению с другими пылеулавливающими устройствами являются их большой объем и малая эффективность, а преимуществами - малое гидравлическое сопротивление, простота и надежность конструкции и возможность удалять из газового потока фракции крупных частиц, обладающих повышенной абразивностью. Благодаря этому целесообразно использовать их в качестве первой ступени очистки перед более эффективными пылеуловителями.
Инерционные пылеуловители.
К простейшим инерционным пылеулавливающим средствам можно отнести небольшие по сравнению с пылеосадочными камерами ёмкости, в которых скорость запыленного потока, подводимого сверху или сбоку, изменяется по величине и направлению. Изменение направления скорости потока достигается, в частности, благодаря установке одной или нескольких перегородок. Эффективность этих устройств не поддается расчету, а экспериментальные данные весьма ограничены. Учитывая сравнительно небольшое сопротивление (1-4 гПа) этих устройств, их целесообразно устанавливать для улавливания наиболее крупных частиц с повышенными абразивными свойствами.
Жалюзийные пылеуловители
Принцип действия жалюзийных пылеуловителей основан на резком (около 150) изменения узких струек газового потока, проходящих через зазоры между лопастями жалюзи, и отражении ударяющихся о поверхности лопастей частиц пыли в направлении щели (отверстия), через которую удаляется часть газового потока, обогащенного пылью.

Рис. 5 - Движение частиц пыли в жалюзийном пылеуловителе.
Конические инерционные пылеуловители (ИПы) собраны из большого числа конических колец, закрепленных в каркасе с просветами между кольцами принимается 15-25 м/с.
Небольшая часть воздуха вместе с концентрированной пылью отводится из отверстия наименьшего кольца в вершине конуса и поступает в циклончик, рассчитанный на 5-7 % от общего расхода установки. В случае установки ИПа на всасывающей стороне вентилятора для надежной работы циклончика следует устанавливать вспомогательный вентилятор.
Основными достоинствами ИПов является малое гидравлическое сопротивление и значительно меньшие по сравнению с любыми другими пылеуловителями габариты. К недостаткам этого пылеуловителя следует отнести малую надежность в условиях недостаточно квалифицированной эксплуатации. Малейшая негерметичность бункера под циклончиком приводит к резкому, а иногда и к полному нарушению процесса пылеула-вливания. Воздухопровод, соединяющий ИП с циклончиком, не должен иметь поворотов, так как из-за большой концентрации пыли он подвержен быстрому износу. Циклончик по тем же соображениям целесообразно делать литым или обкладывать изнутри листовой резиной.
Пластинчатые жалюзийные золоуловители, предназначены для очистки дымовых газов от летучей золы.

Рис. 6- Пластинчатые золоуловители ВТИ с одной (а) и с двумя (б) отсосными щелями
По данным ВТИ, фракционная степень очистки в жалюзийном золоуловителе в случае отсоса через циклон 10 % основного объема при сопротивлении жалюзи 4-5 гПа и плотности частиц рт
= 2000 кг/З
м составляет:
д, мкм ήф, % д, мкм ήф, % д, мкм ήф, %
5 25 20 75 40 94,8
10 47 25 86,5 50 96,5
15 63 30 91,3 60 97,7
При увеличении отсоса воздуха через циклон с 10 до 20 % степень фракционного выноса (100- ήф) уменьшается на 2 - 2,5 %, а при уменьшении скорости прохода воздуха и падении перепада давления в жалюзи до 2 - 2,5 гПа увеличивается на 2 - 2,5 %.
Жалюзийные пылеуловители можно рекомендовать в качестве первой ступени очистки с целью предотвращения абразивного износа следующей ступени.
Одиночные возвратнопоточные циклоны.
Принцип действия циклона основан на выделении частиц пыли из газового потока под воздействием центробежных сил, возникающих вследствие вращения потока в корпусе аппарата.
Наибольшее распространение в технике получили циклоны с изменением основного направления потока газа, называемые возвратнопоточными.
Вследствие интенсивного вращения газа в корпусе циклона статическое давление понижается от его периферии к центру. Такая же картина наблюдается и в пылесборном бункере. Отсюда следует, что герметичность бункера должна быть полностью обеспечена не только при установке циклона на всасывающей, но и на нагнетающей стороне вентилятора. Несоблюдение этого условия приводит к резкому снижению пылеотделения в циклоне идаже к полному его нарушению.
Своеобразный смерч, образующийся в циклоне, пятой опирается о дно пылесборного бункера. При этом в центре смерча винтообразное движение газа направленно вверх. Нарушение вращательного движения газа в бункере неизбежно приводит к заметному снижению степени очистки.

Рис.7 - Движение запыленного и очищенного газа в возвратнопоточном циклоне.
Следует так же иметь в виду, что нарушение вращающегося потока в выхлопной трубе циклона приводит к снижению интенсивности его вращения в центральной зоне корпуса, поэтому вставка на входе в выхлопную трубу выпрямителей воздушного потока в виде звездочки или сот существенно снижает степень очистки. Так, в коническом циклоне диаметром 400 мм при входной скорости воздуха 10-15,3 м/с степень очистки на угольной пыли с д50 =
50 мкм без звездочки была 90,2 - 91,7 % , а со звездочкой снизилась до 85,2 - 87,7.
Групповые циклоны.
С увеличением диаметра циклона при постоянной тангенциальной скорости потока центробежная сила, воздействующая на пылевые частицы, уменьшается, и эффективность пылеулавливания снижается. Кроме того, установка одного высокопроизводительного циклона вызывает затруднения при его размещении вследствие его большой высоты. В связи с этим в технике пылеулавливания широкое применение нашли групповые и батарейные циклоны.
В групповых компоновках применяются циклоны ЦН-15, а по типовым нормалям циклоны ЦН-11. Их устанавливают попарно с общим числом циклонов 2-8 или вокруг вертикального подводящего газохода по 10 - 14 штук.

Рис.9- Круговая (а) и попарная (б) компоновка циклонов ЦН.
Степень очистки в группе циклонов принимается равной степени очистки в одиночном циклоне, входящим в эту же группу, хотя экспериментально это и не доказано. Есть некоторые основания предполагать, что она несколько ниже степени очистки, достигаемой в одиночном циклоне.
Батарейные циклоны
Батарейные циклоны, называемые также мультициклонами, состоят из нескольких десятков и даже сотен параллельно включенных циклончиков. В отечественных конструкциях в одном аппарате насчитывается до 792 циклонных элементов при расходе газа до 650000 м3
/ч.
Циклоны БЦ - 2 могут быть использованы в технологических установках на любой неволокнистой и неслипающейся пыли.
Пылеуловители батарейные циклонные ПБЦ предназначены для очистки технологических газов и воздуха сушильных установок. Они могут также быть использованы в системах аспирации углеобогатительных фабрик и на предприятиях химической промышленности, аппараты типа ПБЦ в зависимости от типоразмера имеют от 24 до 96 сварных циклонных элементов с диаметром корпуса 250 мм и с полуулиточным входом газа.
В настоящее время наиболее эффективными батарейными циклонами являются аппараты с частичной рециркуляцией газа БЦРП.
В последнем десятилетии начали применяться аппараты БЦУ треста «Энергоуголь» с улиточными элементами, обеспечивающие более высокую эффективность, чем батарейные циклоны с закручивающими устройствами типа «розетка» и «винт».
Прямоточные циклоны.
Циклоны, в которых вращающийся поток газа не изменяет направления своего основного движения по оси аппарата, называются прямо-точными. Вследствие их малой по сравнению с возвратно - поточными циклонами эффективности и меньшими гидравлическими потерями они находят применение в качестве первой ступени очистки перед более эффективными пылеуловителями - тканевыми или электрофильтрами.
Разновидность прямоточных циклонов представляют появившиеся варианты вихревого циклона. Эффективность конструкции вихревых циклонов достаточно высока и приближается к степени очистки достигаемой в электрофильтрах.

Рис. 10- вихревой циклон; 1 - диафрагма; 2 - патрубок; 3 -тангенциальное сопло; 4 -цилиндрический корпус аппарата; 5 -розетка или винт; 6 - входной патрубок; 7 - нижняя часть корпуса аппарата.
Ротационные аппараты.
К последней подгруппе инерционных пылеуловителей относятся ротационные аппараты, в которых сепарация пыли происходит вследствие вращения ротора. Эти аппараты следует разделять на два типа. Один из них имеет ротор в виде вентиляторного колеса особой конструкции, который отбрасывает частицы пыли к периферии и одновременно заставляет их двигаться в радиальном направлении к кольцевой щели пылесборной улитки и далее через циклонный элемент или непосредственно в бункер. В качестве примера таких аппаратов можно привести кориолисовый пылеотделитель. По эффективности ПВК на грубой кварцевой пыли (д50 = 34 мкм) равна 77 %. Для сравнения укажем, что простой циклон ЦН-11 обеспечивает степень очистки от такой пыли более 90 %. Поэтому рекомендовать эти аппараты для улавливания пыли не представляется возможным.
Аппараты второго типа имеют ротор с отверстиями, через которые запыленный газ просасывается в радиальном направлении к оси ротора. Частицы пыли вследствие действия центробежной и кориолисовой сил не могут пройти через отверстия ротора в центральную зону аппарата, отбрасываются на периферию и оседают в пылесборном бункере. Недостатками этих аппаратов являются их энергоемкость и высокие окружные скорости ротора, которые необходимы для отделения частиц мельче 10 мкм.
К ротационным аппаратам условно можно отнести вентилятор - пылеуловитель с очисткой газов в спиральной коробке, предназначенный для сухой очистки воздуха от пыли с д > 15 мкм. Его также называют дымосос - золоуловитель, так как он находит применение для очистки отходящих газов малых котельных.

Рис. 11 - Вентилятор-пылеуловитель. 1 - вал; 2 - рабочее колесо; 3 -дымосос;4 - радиальное направляющее устройство; 5 - спиральный пылеуловитель; 6 - крыльчатки; 7 и 11 - входной патрубок; 8 - выходной патрубок; 9 - выносной циклон; 10 - бункер; 12 - односторонний клапан;
4 Безопасность и экологичность проекта
4.1 Анализ опасных и вредных производственных факторов
Фундаментальной целью данного раздела является обеспечение благоприятных условий жизни и хозяйственной деятельности человека путем строго выполнения соответствующих нормативных требований при:
- проектировании новой техники, технологии и видов продукции; создании, транспортировке, монтаже и вводе в эксплуатацию новых видов (образцов, экземпляров) промышленного оборудования, их реконструкции, модернизации, консервации, демонтаже и утилизации;
- эксплуатации действующих производственных систем;
- выпуске продукции как для непосредственного потребления, так и для нужд промышленной сферы;
- комплексной оценки эффективности того или ионного вида промышленного производства для выработки оптимальных управленческих стратегий.
Поскольку эффективное обеспечение БЖД требует одновременного решения трех проблем
- обеспечение надлежащих условий труда на рабочих местах;
- снижение негативного влияние производства, на окружающую среду до нормативных уровней;
- придание производственному процессу достаточной устойчивости по отношению к чрезвычайным ситуациям мирного и военного времени, то данный раздел проекта состоит из следующих подразделов:
4.2 Мероприятия по обеспечению электробезопасности производства
По степени опасности поражение электротоком механо – сборочный относится к помещениям особо опасным, т.к. характеризуется наличием нескольких условий создающих особую опасность, где длительное время содержаться агрессивные пары, газы, жидкости. Обеспечение недоступности токоведущих частей путем использования изоляции, ограждений, расположений указанных элементов на высоте, в корпусах и в станинах оборудования; применение малых напряжений (не выше 42 В).
Использование изоляции токоведущих частей: рабочей «двойной» и усиленной.
Характер воздействия постоянного и переменного токов на организм человека.
Таблица 20
| I, мА |
Переменный (50 Гц) |
Постоянный |
| 0,5-1,5 |
Ощутимый. Легкое дрожание пальцев. |
Ощущений нет. 1 |
| 2-3 |
Сильное дрожание пальцев. |
Ощущений нет. |
| 5-7 |
Судороги в руках. |
Ощутимый ток. Легкое дрожание пальцев. |
| 8-10 |
Не отпускающий ток. Руки с трудом отрываются от поверхности, при этом сильная боль. |
Усиление нагрева рук. |
| 20-25 |
Паралич мышечной системы (невозможно оторвать руки). |
Незначительное сокращение мышц РУК. |
| 50-80 |
Паралич дыхания. |
При 50мА неотпускающий ток. 1 |
| 50-80 |
Паралич дыхания. |
При 50мА неотпускающий ток. |
| 90-100 |
Паралич сердца. |
Паралич дыхания. |
| 100 |
Фибрилляция (разновременное, хаотическое сокращение сердечной мышцы) |
300 мА фибрилляция. 1 |
4.3 Освещение
Основная задача освещение на производстве - создание наилучших условий для видения. Эту задачу, возможно, решить только осветительной системой отвечающей следующим требованиям:
1. Освещенность на рабочем месте должна отвечать требованиям норм гигиены. Увеличение освещенности рабочей поверхности улучшает видимость объектов, увеличивает скорость различения деталей, что способствует росту производительности труда.
2. Необходимо обеспечивать достаточно равномерное распределение яркости на рабочей поверхности, а также в пределах окружающего пространства. Для этой цели может использоваться комбинированная система освещения.
3. На рабочей поверхности не должно быть резких теней, которые создают неравномерное распределение яркостей в поле зрения, искажают размеры и форму объектов различения. Особенно вредны движущиеся тени, способствующие увеличению травматизма.
4. В поле зрения недопустима прямая и отраженная блескость поверхностей. Блескость — повышенная яркость светящихся поверхностей, вызывающая ослепленность. Ограничение прямой блескости возможно при уменьшении яркости источников света и увеличение высоты подвеса светильников.
5. Величина освещенности должна быть постоянной во времени, Это достигается стабилизацией питающего напряжения, жестким креплением светильников, применением специальных схем включения газоразрядных ламп.
6. Необходимо выбрать определенный спектральный состав света, что особенно важно для обеспечения правильной цветопередачи, а в отдельных случаях - для усиления цветового контраста.
7. Необходимо сводить до минимума тепловыделения, излучаемый шум, электро- и пожара опасность осветительной установки. Она должна быть удобной, простой и надежной в эксплуатации.
При освещении производственных помещений используют естественное, искусственное и совмещенное освещение. К производственному освещению предъявляются требования:
- освещенность на рабочем месте должна соответствовать характеру зрительной работы;
- необходимо обеспечить достаточно равномерное освещение на рабочей поверхности, а так же в пределах окружающего пространства;
- на рабочем месте должны отсутствовать резкие тени;
- в поле зрения должна отсутствовать прямая и отраженная блескость. Устанавливаем нормы освещенности и значения коэффициента естественной освещенности производственного процесса по СНиП 23-05-95.
Освещенность при искусственном комбинированном освещении - 2000 лк, общем - 500 лк.
Кео в % при освещении естественном верхнем и боковом - 7%, боковом -2%, совмещенном верхнем и боковом - 4,2%, боковом - 1,2%. Допускаемые нормированные значения КЕО для производственных помещений.
| Разряд зрительных работ |
Наименьшее нормированное значение КЕО, 1п
, % при совмещённом освещении |
| При верхнем или комбинированном освещении |
при боковом освещении |
| I |
3 |
1,2 |
| П |
2,5 |
1 |
| III |
2 |
0,7 |
| IV |
1,5 |
0,5 |
| УиУП |
1 |
0,3 |
| VI |
0,7 |
0,2 |
4.5 Вентиляция
Важнейшее значение для нормальной жизнедеятельности человека имеет наличие чистого воздуха, необходимого химического состава и имеющего оптимальные температуру, влажность и скорость движения.
В производственных помещениях при работе станков, машин, оборудования, от технологического процесса и нахождения работающих людей могут выделяться избыточное количество тепла и влаги, а также загрязняющих воздух газов, паров, пыли.
Одним из вредных веществ, часто находящимся в воздухе машиностроительных цехов является пыль, представляющая собой мельчайшие частицы.
В механических цехах процессы обточки, шлифовки, полировки сопровождаются пылевыделением, интенсивность которого зависит от вида обрабатываемого металла, используемого абразивного или другого инструмента, сухого или влажного метода обработки, наличия и конструкции пылеотсасывающих устройств.
Пыль, способная некоторое время находиться в воздухе во взвешенном состоянии, называется аэрозоль, в отличие от осевшей пыли, называемой аэрогель. В механосборочных цехах широко выполняются сварочные процессы, а также гальванические и малярные операции. При сварке обычно образуется сварочная аэрозоль сложного состава. Пыль оказывает вредное действие главным образом на дыхательные пути и легкие. В зависимости от ее состава и вида может оказывать также неблагоприятные воздействия на кожу и глаза. Классифицируют по токсичности и дисперсности. К ядовитой или токсичной относятся свинцовая, марганцевая, хромовая и др. Эта пыль, попадая в организм или оседая на коже, может вызвать острое или хроническое отравление.
По дисперсности (степень измельченности) различают пыль: крупно дисперсную - частицами размером более 10 мкм; среднедисперсную -частицами размером от 10 до 5 мкм, мелкодисперсную и дым с частицами размером мене 5 мкм. Мелкодисперсная пыль представляет для организма наибольшую опасность.
На машиностроительных заводах широко применяют пластмассы. Пластмассы, содержащие нитроакриловую кислоту, фенол, дифенил и другие вредные вещества, при механической обработке резанием, сверлением, штамповкой и другими способами выделяют ядовитые пары, газы и пыль.
Вредные вещества (пары, газы, пыль), находящиеся в воздухе производственных помещений, через дыхательные пути, пищевой тракт могут попасть в организм человека и при определенных условиях вызвать острые и хронические отравления.
Запыленность и загазованность воздуха рабочей зоны производственных помещений в пределах допустимых концентрацией не оказывает неблагоприятного влияния на организм и самочувствие человека ни прямым, ни косвенным путем даже при длительном воздействии.
За содержанием вредных веществ в воздухе рабочей зоны устанавливается контроль:
- содержание вредных веществ в воздухе не должно превышать предельно допустимых концентраций (ПДК);
- мероприятия по обеспечению безопасности труда, при контакте с вредными веществами обязательно должны предусматривать применение средств индивидуальной защиты, а также специальную подготовку и инструктаж обслуживающего персонала.
Во всех случаях в воздухе, поступающем внутрь зданий и сооружений через приемные отверстия систем вентиляции и через проемы для естественной приточной вентиляции, содержание вредных веществ не должно превышать 30% ПДК, установленных для рабочей зоны производственных помещений.
Требуемое состояние воздуха рабочей зоны может быть обеспечено выполнением определенных мероприятий:
1. Механизация и автоматизация производственных процессов, дистанционное управление ими.
2. Применение технологических процессов и оборудования, исключающих образование вредных веществ или попадания их в рабочую зону.
3. Большое значение для оздоровления воздушной среды имеет надежная герметизация оборудования, в котором находятся вредные вещества.
4. Защита от источников тепловых излучений.
5. Устройство вентиляции и отопления.
6. Применение средств индивидуальной защиты.
Задачей вентиляции является обеспечение чистоты воздуха и заданных метеорологических условий в производственных помещениях. Достигается она удалением загрязненного или нагретого воздуха из помещения и подачей в него свежего, воздуха.
Вентиляция должна обеспечивать условия, отвечающие требованиям технологического процесса, сохранения оборудования и строительных конструкций здания.
Устройство вентиляции в производственных и вспомогательных помещениях промышленных предприятий является обязательным.
По способу перемещения воздуха вентиляция подразделяется на естественную и механическую. Возможно их сочетание - смешанная вентиляция.
Естественная вентиляция подразделяется на аэрацию и проветривание.
Механическая вентиляция в зависимости от направления воздушных потоков бывает вытяжной (отсасывающей), приточной (нагнетательной) и приточно-вытяжной.
По характеру охвата помещения различают обще обменную и местную (локализующую) вентиляцию, возможно также сочетание этих двух видов вентиляции.
По времени действия - постоянно действующую и аварийную.
Система вентиляции должна обеспечивать нормальный состав воздуха в производственных помещениях и быть рациональной при возможно меньших затратах на ее устройство и эксплуатацию.
Твердые отходы (кроме металла) вывозятся и захоронятся на полигонах, сжигаются, складируются и хранятся на территории предприятия до появления новой технологии их переработки.
Для защиты среды от шума и пыли применяют экраны, кожухи, зеленые насаждения между источниками шума.
Санитарно-защитная зона-территория между границей промышленной площадки, складов строительных материалов и усилительной застройки с учетом перспективы расширения промышленного предприятия.
Она предназначена:
1. Для обеспечения требуемых гигиенических норм ПДК, содержания загрязняющих веществ в предельном слое атмосферы с целью уменьшения отрицательного влияния предприятий транспортных коммуникаций, линий электропередач и других вредных факторов.
2. Для организации дополнительных земельных площадей с целью фильтрации загрязнителя атмосферного воздуха и благоприятного влияния на климат. Все промышленные предприятия делят на пять классов опасности. В зависимости от класса опасности устанавливается нормативно-санитарная зона. Регламентируется СанПин 2.2.1/2 1159.00, для: 1 класса опасности 2000 метров, 2 класса - 1000 метров, 3 класса - 500 метров, 4 класса - 300 метров, 5класса -100 метров.
Для установления санитарно-защитной зоны надо знать направление ветров в зависимости от чего производится нормировка санитарно-защитной зоны. В нашем случае пятый класс опасности, ширина санитарно- защитной зоны составляет 100 метров.
Правильно выбранная система вентиляции должна очищать помещение от пыли, газов и паров, выделяющихся при производственных процессах. Поэтому необходимо определить места возможных выделений указанных вредностей и оборудовать их местными отсосами. Следует иметь в виду, что ограничиваться лишь устройством местной вытяжной вентиляции нельзя, наличие обще обменной вентиляции обязательно.
Мероприятия по снижению запыленности и загазованности воздуха в рабочей зоне по ГОСТ 12.1.005-88 "Воздух рабочей зоны".
Параметры, обуславливающие тепловой баланс системы "человек - рабочая зона":
Температура воздуха 18-25С
Влажность воздуха 40-60%
Скорость движения воздуха: зимой 0,2-0,5 м/с, летом 0,1-0,2 м/с
Мероприятия по нормализации воздушной среды при разработке и организации техпроцессов следует исключить из них операции и работы, сопровождаемые поступлением холодного и теплого воздуха, выделением в воздух влаги, вредных паров газов аэрозолей и др.
Мероприятия по снижению шума и вибрации по ГОСТ 12.1.003-76 и ГОСТ 12.1.012-78. Допустимый уровень шума 85 дБ.
Допустимое значение вибрации: общей 63 Гц локальной 125 Гц.
Основными методами уменьшения вибрации являются: отстройка от режима резонанса, виброгашение.
Основные методы борьбы с шумом: изменение направления источника шума, акустическая обработка помещения различными методами.
5. Интегрированная оценка проекта по критериям безопасности и экологичности
Критерием безопасности и экологичности производственных процессов считается их соответствие технологической документации, определяющий количественный и качественный состав образующихся промышленных отходов и их влияние на общее состояние окружающей среды.
При работе завода «КПО» и других предприятий, появляются отходы от производства продукции. При утилизации отходов различают механическое, биологическое, химическое или физическое воздействие на окружающую среду.
Все процессы являются отходообразующими и соответствующими технологической документации.
В наше время на первый план выступает разумное взаимодействие человека и среды его обитания.
Существуют пассивные и активные методы охраны окружающей среды:
К числу пассивных относятся методы, использование которых связано с непосредственным воздействием на источник загрязнения. Эти методы носят защитный характер. Сюда входит рациональное размещение источников загрязнений, локализация загрязнений и очистка выбросов в атмосферу.
Минимизировать вредные отходы можно заменой тех. процесса на более прогрессивный тех. процесс, при котором токсичные отходы, полностью или в большей степени заменяются нетоксичными.
Повысить экологичность производства можно заменой не утилизируемых отходов утилизируемыми.
Из выявленных сорока двух видов промышленных отходов двадцать четыре вида нетоксичных и восемнадцать видов токсичных различными массами. Частично или полностью утилизации на собственном предприятии подвергаются шестнадцать видов отходов. Количество и качество токсичных отходов, и соблюдение санитарно-гигиенических требований при размещении на территории предприятия всех видов отходов исключает отрицательное воздействие на окружающую среду.
Расчет вентиляции:
Для определения производительности вентилятора найдем количество воздуха, необходимого для обеспечения чистоты воздуха рабочей зоны и требуемой санитарно-гигиеническими нормами температуры.
1. Количество воздуха (J) определяем с учетом избытка явного тепла

где Q -. избыточные тепловыделения, ккал
с - теплоемкость сухого воздуха, ккал/кг
р - плотность при точного воздуха р = 1,2 кг/м
tвыт, tпр - температура удаляемого из помещения воздуха и при тонного воздуха
2. Qизбыт.= Qчел.+ Qоборуд., ккал
3. Qчел. - тепловыделения человека, выполняющего работу средней тяжести (IIа, IIб) при температуре окружающей среды 25° на одного человека Qчел.= 70 ккал,
В цеху па участке механической обработки установлены десять станков, работает 10 человек
Qчел.=70*10 = 700 ккал.
4.Тепловыделения от нагретых поверхностей оборудования
Qоборуд J*F(tнп-tуд.)
J = 8,1+ 0,45*(60-25= 9,67 Вт/м2
гдеF - площадь теплоотдающей поверхности
(0.0061 м2
) для10 станков
F= 0,0061 * 10=
0,061 м2
tнп=60℃
,tуд=25℃
Qоборуд=9,67 * 0,061(60-25)= 20,6 кВт
Qоборуд10 =20,6 * 10=206 кВт
5. ƩQизбыт=206 + 700 = 906 кВт
6. Jизб.тепл. = 906 *3600 =226,5 мі/ч
0,24 *1,2(25-20) *10і
7. Вредные вещества, выделяемые при шлифовании поверхностей: пыль металлическая, абразивная и аэрозоли от СОЖ
Wn=1.05 кг/ч - количество выделяемой пыли от 9 станков
Wаэр.
=300 г/ч - аэрозоли СОЖ
8. Потребное количество воздуха для разбавления воздуха вредными веществами

где ц - коэффициент неравномерности распределения вредных веществ ц= 2,0
су – концентрация вредных веществ вудаляемом воздухе
спр – в приточном мг/м і

9. Общее количество потребного воздуха
L = 1993 + 1436 = 3429 мі/ч
L = 3,5 тыс. мі/ч при p = 440 Па
Для установки вентиляции принимаем вентилятор осевой радиальный ЦН1470 n = 15 I /с (900 об/мин) и КПДвент = 0,8
5.1 Расчет производственного освещения
Расчет искусственного освещения при использовании светильников с люминесцентными лампами.
1 Помещение участок металлических станков.
Размеры помещения: длина 12 м , ширина – 8 м, высота – 4 м.Потолок и стены побелены, мало загрязнены. Напряжение сети 220 В. Расчет производится методом использования светового потока. Принимаем систему общего освещения, так как она создает благоприятное распределение яркости в поле зрения. Для освещения участка металлических станков выбираем ПBJI светильники в пылезащитном исполнении. В качестве источников света используются люминесцентные лампы типа ЛБ. При высоте помещение Н = 4м и и высоте расчетной над полом hр = 0,9м определяем величину света светильника:
hc = (H - hp) *0,2м
где Н высота помещения, hp - высота расчётной поверхности.
Hp = (4-0,9) * 0,2 = 0,62 м
2 Высота расположения светильника над освещаемой поверхностью (расчетная величина подвеса):
h = H- hс--hp, м
h = 0,62-0,9 =2,48 м.
3 Определяем расстояние между светильниками L:
L = л * h, м
где л - параметрический коэффициент, равный 1,0.
L = 1,0 *2,48 = 2,5 м.
4 Определяем расстояние oт стены до ближайшего светильника /:
I = 0,3 * L, м
I = 0.3*2.5 = 0,75 м.
5 Требуемое число светильников по длине Na
и по ширине Nb
помещения определяется по формулам:


где А - длина помещения, В - ширина помещения.


6 Общее число светильников:
N = Na
*Nb
, шт
N=5*3 = 15 шт.
Таким образом, принимаем всего 15 светильников по две лампы ЛБ в каждом, Nл =30 шт.

7 Определяем индекс помещения:

8 Определяем коэффициент использования светового потока ƞ. Коэффициенты отражения потолка, стен и рабочих поверхностей:
Рп = 70%, Рс=50%, Рр = 10%, ƞ = 56% при i=2.
Для помещений общественных и жилых зданий принимаем коэффициент запаса при освещении люминесцентными лампами Кз = 1,5.
9 Подставим полученные значения в формулу и определим рас чётное значение светового потока для создания нормированной освещённости на рабочих местах.

где Ен - освещённость на рабочем месте, равная 200 лк, для работ средней точности, III разряд по СНиП 23-05-95, Кз - коэффициент, S - площадь помещения (S=A*B= 12*8=96м), Z - коэффициент неравномерности освещения (Z=1,1), ƞ -коэффициент использования светового потока, Nл - число ламп в светильниках.

Исходя их этого, выбираем лампу ЛБ мощностью 30 Вт и Фл=2100лм.
10 Производим проверочный расчёт освещённости по формуле:


11 Общая мощность осветительной установки:
Po=Kn*P*Nл ,Вт,
где Кп - коэффициент, учитывающий потери пускорегулирующей аппаратуры (Кп = 1,25), Р - мощность лампы (Р=30 Вт).
Ро = 1,25*30*30 = 1125 Вт=1,1 кВт.
Таким образом, для общего равномерного освещения помещения площадью 96 м2
необходимо установить 30 светильников ПВЛ (по две лампы ЛБ в каждом, мощность лампы 30 Вт), общая мощность осветительной установки 1,1 кВт.
Оценка устойчивости энергетического оборудования механосборочного цеха от воздействия электромагнитных излучений при чрезвычайных ситуациях (ЧС)
Исходные данные:
-мощность энергетического оборудования - 100 к Вт;
-удаление от вероятного центра аварии - 5,2 км ;
-длина промышленного кабеля - 40 м;
-коэффициент экранирования промышленного кабеля - 3;
-длина вертикального ответвления проводки к электродвигателю
-1,0м ;
-допустимые колебания напряжения сети ±15%;
-рабочее напряжение -380 В.
1. Рассчитываем ожидаемые на объекте минимальные значения вертикальной Ев
и горизонтальной Ег
составляющих напряженности электрического поля :

R - расстояние от центра взрыва, м; g-мощность взрыва, кВт



2. Определяем максимальные ожидаемые напряжения наводок в системе электропитания в горизонтальных Ur
и вертикальных UB
линиях

где I - длина проводника, м ; ƞ - коэффициент экранирования линии;
Ur = 0,34 *1 =4,5 В;
Uв = 170,9 *1 =57,0 В;
3 определяем допустимое напряжение наводок в системе питания станков и двигателя
Uд =380 + 380 * 15=57,0 В
4 полученные значения вносим в таблицу и анализируем результаты оценки
Таблица 21
| Элемент |
Допустимое напряжение
Uд , В
|
Напряженность электрических полей, в/м |
Наводимые напряжения в токопроводящих
элементах В
|
Результат воздействия |
| Система питания эл. двигателя |
Ев |
Еr |
Uв |
Ur |
| 522,5 |
170,9 |
0,34 |
57 |
4,5 |
Не выйдет из строя |
ВЫВОД: Энергетическое оборудование механического участка устойчиво к воздействию электромагнитных излучений (ЭМИ), так как невидимое напряжение в системе питания электродвигателей меньше допустимого, т.е. 57 < 522,5.
6. Экономическое обоснование дипломного проекта
В данном разделе дипломного проекта определим экономическую эффективность от практической реализации одного мероприятия. Суть мероприятия заключается в модернизации вентиляционной системы. Объект исследования – подготовительный отделение предприятия «Сантарм».
Экономическая эффективность предлагаемых мероприятий зависит от ряда факторов:
1. Объема дополнительных капитальных вложений;
2. Объема эксплуатационных затрат;
3. Объема приведенных затрат как суммы эксплуатационных издержек и капиталовложений, приходящихся на один год эксплуатации аппаратных средств.
Таким образом, общий алгоритм экономического обоснования можно представить в виде следующих этапов:
1. Определение объема капитальных вложений по базовому и проектируемому вариантам (после проведения мероприятий по модернизации). По установке циклона рассчитываем только по проектируемому варианту.
2. Определение эксплуатационных издержек по базовому и проектируемому вариантам;
3. Определение приведенных затрат по базовому и проектированному вариантам.
Расчет произведем отдельно по каждому из рассматриваемых мероприятий.
6.1 Определение экономической эффективности мероприятия по модернизации вентиляционной системы
6.1.1 Определение объема капитальных вложений по базовому варианту
Остаточная балансовая стоимость оборудования (Кб1
) определяется по следующей формуле:
Кб1
= Кп
- И
где - первоначальная балансовая стоимость вентиляционной системы (руб.)
И – величина начисленного износа (с учетом того, что система эксплуатируется три года).
Кб1
= 250000 – 105000 = 145000 руб.
Стоимость производственного здания, занимаемого оборудованием (Кзд) определяется (с учетом рыночных цен) по формуле:
где - стоимость 1 производственных помещений;
Pi
– площадь, занимаемая оборудованием и выносными устройствами по планировке, ;
h – высота производственного помещения, м;
Si
– количество оборудования i -го типа.
Кзд
= 240 · 9 · 10 = 21600 руб. (учитывается только дополнительная площадь)
Затраты по НИР и подготовке производства определим как Книр1
=25000 руб.
Итого инвестиций в капитальное вложения по базовому варианту ( )

= 145000 + 21600 + 25000 = 191600 руб.
6.1.2 Определение объема инвестиций в капитальные вложения по проектируемому варианту
, руб.
где - затраты по модернизации, руб.;
- дополнительная стоимость производственного здания занимаемого оборудованием, руб.

где - стоимость дополнительного оборудования (циклон и крепежные приспособления), руб.
- стоимость установки и наладки оборудования, руб.
к – коэффициент, учитывающий дополнительные затраты, связанные с модернизацией (амортизация инструмента, зарплата рабочих, расход электроэнергии);
- остаточная стоимость выбывающей из эксплуатации оборудования, руб.
Зм
= (135000 + 2300) · 1,2 = 164760 руб.
Дополнительные затраты по НИР и подготовке производства примем в размере 9000 руб.
Итого капитальные вложения по проектируемому варианту:
145000 + 164760 + 9000 = 318760 руб.
Объем дополнительных капитальных вложений определим по формуле:
Д К = К2
– К1
Д К = 318760 – 191600 = 127160 руб.
6.1.3 Определение эксплуатационных издержек по базовому и проектируемому вариантам
Эксплуатационные издержки будут включать в себя: заработную плату персонала по обслуживанию вентиляционной системы, отчисления на социальные нужды персонала, затраты на содержание и ремонт оборудования (системы вентиляции), затраты по амортизации оборудования, затраты на электроэнергию, прочие эксплуатационные затраты.
Расчет заработной платы рабочих (Зо
).
Заработная плата за фактически отработанное время (Зфо
)
, руб. (6.3)
Где Fд
– годовой действительный фонд времени работы рабочего (1450 час);
Kb – средний коэффициент, учитывающий затраты времени рабочих по обслуживанию системы;
Сr
- часовая тарифная стоимость рабочего первого разряда (21 руб.);
Сko
- средний тарифный коэффициент (2,8);
Sp
- количество рабочих обслуживающих систему.

Основная заработная плата (Зоо
)
, (6.4)
Где Кру
- коэффициент, учитывающий режим работы и условия труда;
Кпо
- коэффициент премиального вознаграждения.

Дополнительная заработная плата (Здо
)
, (6.5)
Где Кдоп
– коэффициент дополнительной зарплаты.

, руб. (6.6)

Так как по вариантам численность персонала и разряды рабочих не изменились то Зо1
= З02
Отчисления на социальные нужды (единый социальный налог).
, руб. (6.7)
Где Котч
– ставка единого социального налога – 26%.

Затраты по амортизации оборудования.
, руб. (6.8)
Где На
- норма амортизации.

Затраты на содержание и ремонт оборудования (Зср
).
, руб. (6.9)
Где Кср
- коэффициент, определяющий долю затрат на содержание и ремонт оборудования.

Расход силовой электроэнергии, необходимый для работы электродвигателя.
, руб. (6.10)
где SОБ
i
– общее количество оборудования;
Мi
– мощность двигателей по единице оборудования;
Ксп
– коэффициент спроса (0,9);
Ц – цена 1 кВт электроэнергии (3,2);
Fд
– годовой действительный фонд времени работы оборудования (2000 час).

Прочие эксплуатационные издержки (Зэп
).
, руб. (6.13)
Где Кпроч
– коэффициент прочих эксплуатационных расходов по отношению к заработной плате рабочих.

Итого эксплуатационных издержек (Иэ
):
, руб. (6.14)
Иэ
i
= 37241,12 + 9682,69 + 17400 + 8700 + 53400 + 3990 = 130413,81 руб.
Иэ2
= 37241,12 + 9682,69 + 37171,2 + 18585,6 + 87600 + 3990 = 194270,61руб.
Определим удельные эксплуатационные издержки (Иуд
):
, руб.
Где Vоч
– объем очищаемого воздуха в год, м3
.

6.1.4 Определение приведенных затрат по базовому и проектируемому вариантам
Объем приведенных затрат можно рассчитать по следующей формуле:
, руб. (6.17)
Где Кэ
– коэффициент экономической эффективности капиталовложений (для экологических мероприятий 0,08);
Кi
- капиталовложения по вариантам, руб.

Приведенные затраты по проектируемому варианту превысили приведенные затраты по базовому варианту, однако затраты по проектируемому варианту не превышают объем затрат по аналогичным мероприятиям связанным с модернизацией вентиляционных систем и следовательно могут быть признаны сравнительно экономически эффективными.
6.2 Определение экономической эффективности по установке рукавного фильтра в подготовительном отделении
Расчет производится только по проектируемому варианту.
6.2.1 Определение капитальных вложений
Капитальные вложения по проектируемому варианту (К2
) - одновременные затраты, связанные с приобретением и вводом рукавного фильтра в эксплуатацию.

где Кс2
= 130000 руб.– балансовая стоимость рукавного фильтра, руб.;
Кздi
– стоимость площади здания, занимаемой оборудованием, руб.;
Кслi
– стоимость служебно-бытовых помещений, руб.;
Книрi
– затраты по НИР (научно-исследовательским работам) и подготовке производства, руб.
Cтоимость производственного здания занимаемого оборудованием определяется по формуле:
Кздi
= Цпл.здi
× Рi
×hi
×ni
,
где: Цпл.здi
– стоимость 1 м.кв производственного помещения, руб.
Рi
– площадь занимаемая единицей оборудования и выносными устройствами по планировке, м.кв.;
hi
– высота производственного помещения, м;
ni
- количество единиц оборудования, ед.
Кзд2
= 240 × 10 × 50 ∙ 1 = 120000 руб.
Стоимость служебно-бытовых помещений определяется по формуле:
Кслi
= Цпл.слi
× Ррi
×hслi
× Робi
где: Цпл.слi
– стоимость 1 м.куб производственного помещения, руб.
Ррi
– площадь, приходящаяся на одного рабочего , м.кв.
Hслi
– высота служебно-бытового помещения, м;
Робi
– количество рабочих, чел.
Ксл1
= Ксл2
= 350 × 7 × 2 × 1 = 4900 руб.
Затраты по НИР и подготовке производства определим по проектируемому варианту в размере 30920 руб.
Тогда К2
= 130000 + 120000 + 4900 + 30920 = 285820 руб.
6.2.2 Определение эксплуатационных затрат
Определение заработной платы рабочих (Из)- дана в таблице 1:
Заработная плата рабочих, руб.
Таблица 22
| Показатели |
Годы |
| 1. Часовая тарифная ставка |
| зарплаты рабочих, обслужив- |
| ющих единицу оборудования |
22 |
24,64 |
27,5968 |
30,90842 |
| руб./час |
| 2. Дополнительная зарплата |
1,4 |
1,4 |
1,4 |
1,4 |
| и премии, руб/час |
| 3. Начисления на зарплату |
1,26 |
1,26 |
1,26 |
1,26 |
| руб./час |
(ЕСН) |
| 4. Часовая зарплата рабочих |
38,808 |
43,46496 |
48,68076 |
54,52245 |
| с начислениями руб/час |
| 5. Годовые затраты времени |
320 |
3725 |
3725 |
3725 |
| на обслуживание един. Обор. |
| час. |
| 6. Зарплата рабочих обслу- |
12418,56 |
161907 |
181335,8 |
203096,1 |
| живающих единицу оборуд. |
| 7. Общая зарплата рабочих |
12418,56 |
161907 |
181335,8 |
203096,1 |
| по рассчетному количеству |
| оборудования, руб |
Годовые затраты на ремонт специальных приспособлений:
;
где, 0,12 – коэффициент, учитывающий затраты на ремонт специальных приспособлений;
Кпр=30200 руб. – стоимость специальных приспособлений.
(руб.).
Для расчета затрат на ремонт и техническое обслуживание (табл. 2) принято допущение, что надежность системы составляет 88%. Тогда общая продолжительность простоев в связи с плановыми ремонтами и устранением неисправностей составляет 12% годового фонда времени работы станка.
Таблица 23
| Показатели |
Годы |
| 1. Номинальный фонд вре- |
1840 |
4000 |
4000 |
4000 |
| мени работы оборудования |
| в год, час. |
| 2. Планируемые простои за |
220,8 |
480 |
480 |
480 |
| год, час |
| 3. Стоимость ремонта |
35 |
39,2 |
43,904 |
49,17248 |
| руб/час |
| 4. Плановые расходы на |
| ремонт и техничекое об- |
7728 |
18816 |
21073,92 |
23602,79 |
| служивание единицы обо- |
| рудования, руб |
Затраты на ремонт и техническое обслуживание станка
Годовые амортизационные отчисления ИА
определяются по формуле:
;
где, НА
= 9 – норма амортизации на реновацию, %.
(руб.).
Годовые затраты на расход силовой электроэнергии ИЭ
определяется по формуле:
;
где, ЦЭ
=2,25 руб./кВт×ч – цена 1 кВт×ч электроэнергии;
М= 3 –установленная мощность электродвигателей единицы обор., кВт;
ФОБ
= 1840 – годовой действительный фонд времени работы оборудования, час; КЗ
=0.8 –коэффициент загрузки электродвигателя по времени;
КМ
=0.7– коэффициент загрузки по мощности;
r=1.05– коэффициент, учитывающий потери в сети;
ККПД
=0.95–коэффициент полезного действия электропривода.
(руб.).
Годовые эксплутационные издержки
Таблица 24
| Статьи затрат |
Годы |
| 1 |
2 |
3 |
4 |
| 1. Зарплата операторов |
12418 |
13908,16 |
15577,14 |
17446,4 |
| с начислениями, руб. |
| 2. Затраты на ремонт спе- |
4104 |
4596,48 |
5148,058 |
5765,825 |
| циальных приспособлений, |
| руб. |
| 3. Затраты на ремонт и |
7728 |
13908,16 |
15577,14 |
17446,4 |
| техническое обслуживание |
| осовного оборудования,руб. |
| 4. Амортизационные отчи- |
11700 |
13104 |
14676,48 |
16437,66 |
| сления, руб. |
| 5. Затраты на расход сило- |
73221 |
82007,52 |
91848,42 |
102870,2 |
| вой электроэнергии, руб. |
| 6. Прочие затраты |
30200 |
33824 |
37882,88 |
42428,83 |
| Итого эксплуатационные |
139371 |
156095,5 |
174827 |
195806,2 |
| издержки, руб. |
6.2.3 Определение приведенных затрат
Объем приведенных затрат можно рассчитать по следующей формуле:
, руб. (6.17)
Где Кэ
– коэффициент экономической эффективности капиталовложений (0,1);
Кi
- капиталовложения по вариантам, руб.

Приведенные затраты по проектируемому варианту не превышают объем затрат по аналогичным мероприятиям связанным с установкой и эксплуатацией аналогичного оборудования и поэтому могут быть признаны сравнительно экономически эффективными.
Основные экономические показатели по рассматриваемым мероприятиям отобразим в таблице 25.
Таблица 25 Основные экономические показатели, руб.
| Наименование показателя |
Базовый вариант |
Проектируемый вариант |
| Модернизация вентиляционной системы |
| Объем капитальных вложений |
191600 |
318000 |
| Дополнительные капитальные вложения |
127160 |
| Годовые эксплуатационные затраты |
130413,81 |
194270 |
| Удельные эксплуатационные затраты |
0,113 |
0,16 |
| Приведенные затраты |
145741,8 |
219710 |
| Установка рукавного фильтра |
| Объем капитальных вложений |
285820 |
| Годовые эксплуатационные затраты |
1393671 |
| Приведенные затраты |
167953 |
Заключение
Таким образом, изучив воздействие предприятия ЗАО «Сантарм» на экологическое состояние рабочей зоны и города, можно сделать следующие выводы:
1. В дипломном проекте рассмотрены факторы негативного воздействия предприятия, деятельность которой социализируется по выпуску санитарно-технической арматуры, на окружающую среду с учетом применяемой технологией изготовления;
2. Предложена оптимальная схема очистки воздуха, очистительное оборудование для рабочей зоны подготовительного отделения предприятия, включающее в систему пылегазоулавливающее устройство ЦН-15;
3. Расчет циклона выполнен именно для конкретных условий производства. Эффективность предлагаемой очистки воздуха рабочей зоны предприятия 97%;
4. Рассчитан анализ производственных факторов в условиях работы нескольких цехов предприятия ЗАО «Сантарм»;
5. Произведен расчет эколого-экономической эффективности предлагаемых внедрений, а именно циклонного аппарата и рукавного фильтра.
Список литературы
1. Охрана окружающей среды./Под ред. С.В. Белова.- М.: Высш. Шк., 1991
2. Родионов А. И. Техника защиты окружающей среды / А.И. Родионов, В.Н. Клушин, Н.С. Торочешников,- М: Химия,1989.
3. Родионов А.И. Технологические процессы экологической безопасности (Основы энвайроменталистики) /А.И. Родионов, В.Н. Клушин, В.Г. Систер.-Калуга: Изд-во Н. Бочкаревой,2000
4. Тимонин А.С. Инжинерно-экологический справочник. В 3-х т. Калуга: Изд-во Н. Боякаревой,2003
5. Панин В.Ф. Экология для инжинера / В.Ф. Панин, А.И. Сечин, В.Д. Федосова. Под редакцией В.Ф. Панина.- М.: Издательский дом «Ноосфера», 2001
6. Иоффе И.Л. Проектирование процессов и аппаратов химической технологии.- Л.: Химия, 1991
7. Павлов К.Ф. Примеры и задачи по курсу процессов и аппаратов химической технологии / К.Ф. Павлов, П. Г. Романков, А.А. Носков.-Л.: Химия, 1981
8. Основные процессы и аппараты химической технологии: Пособие по проектированию./ Под ред. Ю.И. Дытнерского.-М.: Химия, 1983 (1991)
9. Штокман Е.А. Очистка воздуха.- М.: Изд-во АСВ, 1999
10. Зиганшин М.Г. Проектирование аппаратов пылегазоочистки / М.Г. Зиганшин, А.А. Колесник, В.Н. Посохин- М.: «Экопресс-ЗМ», 1998
11. Защита атмосферы от промышленных загрязнений. В 2-х ч. Ч.1.: / Под ред. Калверта С., Инглунда Г.М..-М. Металлургия, 1988
12. Страус В. Промышленная очистка газов.- М.:Химия, 1981
13. Оборудование,сооружения,основы проектирования химико-технологических процессов защиты биосферы от промышленных выбросов / А.И. Родионов, Ю.П. Кузнецов, В.В. Зенков, Г.С. Соловьев.- М.: Химия, 1985
14. Гордом Г.М. Пылеулавливание и очистка газов в цветной металлургии / Г.М. Гордон, И. Л. Пейсахов.- М.: Металлургия, 1977
15. Рамм В.М. Абсорбция газов.- М.: Химия, 1976
16. Кельцев Н.В. Основы адсорбционной техники. 2-е изд.- М.: Химия, 1984
17. Белевицкий А.М. Проектирование газоочистительных сооружений.-Л.: Химия, 1990
18. Ветошкин А.Г. Технология защиты окружающей среды (Теоретические основы) / А.Г. Ветошкин, К.Р. Таранцева.- Пенза:Изд-во ПТИ, 2003
19. Ветошкин А.Г. Процессы и аппараты защиты атмосферы от газовых выбросов.-Пенза:Изд-во ПТИ, 2003
20. Инженерная защита окружающей среды (в примерах и задачах). Учеб. пособие. / Под ред. О.Г. Воробьева.- С.-Петербург, Изд-во «Лань», 2002
21. Ильичев В.Ю. Основы проектирования экобиозащитных систем / В.Ю. Ильичев, А.С. Гринин.- М.: ЮНИТИ-ДАНА, 2002
22. Аверкин А.Г. Аппараты для физико-химической очистки воздуха. Учеб пособие. В 2-х частях. Ч 1 Абсорберы. Пенза: ПГАСА, 2000
23. Аверкин А.Г. Аппараты для физико-химической очистки воздуха. Учеб пособие. В 2-х частях. Ч 2. Адсорберы. Пенза: ПГАСА, 1999
|