Введение
Опасно обострившийся к концу ХХ в. конфликт между деятельностью человека и возможностями природы привел к критическим пределам нагрузки на биосферу. В мире все чаще раздаются голоса, что если в ближайшие 15 лет не принять меры, то природа не сможет самовосстановиться, и начнется необратимый процесс самоуничтожения всего живого.
Современный экологический кризис характеризуется следующими проявлениями:
- постепенное изменение климата планеты вследствие изменения баланса газов в атмосфере;
- общее и местное (над полюсами, отдельными участками суши) разрушение биосферного озонового экрана;
- загрязнение Мирового океана тяжелыми металлами, сложными органическими соединениями, нефтепродуктами, радиоактивными веществами, насыщение вод углекислым газом;
- разрыв естественных экологических связей между океаном и водами суши в результате строительства плотин на реках, приводящий к изменению твердого стока, нерестовых путей и т.п.;
- загрязнение атмосферы с образованием кислотных осадков, высокотоксичных веществ в результате химических и фотохимических реакций;
- загрязнение вод суши, в том числе речных, служащих для питьевого водоснабжения, высокотоксичными веществами, включая диоксины, тяжелые металлы, фенолы;
- опустынивание планеты;
- деградация почвенного слоя, уменьшение площади плодородных земель, пригодных для сельского хозяйства;
- радиоактивное загрязнение отдельных территорий в связи с захоронением радиоактивных отходов, техногенными авариями и т.п.;
- накопление на поверхности суши бытового мусора и промышленных отходов, в особенности практически неразлагающихся пластмасс;
- сокращение площадей тропических и северных лесов, ведущее к дисбалансу газов атмосферы, в том числе сокращению концентрации кислорода в атмосфере планеты;
- загрязнение подземного пространства, включая подземные воды, что делает их непригодными для водоснабжения и угрожает пока еще мало изученной жизни в литосфере;
- массовое и быстрое, лавинообразное исчезновение видов живого вещества;
- ухудшение среды жизни в населенных местах, прежде всего урбанизированных территориях;
- общее истощение и нехватка природных ресурсов для развития человечества;
Забиваем Сайты В ТОП КУВАЛДОЙ - Уникальные возможности от SeoHammer
Каждая ссылка анализируется по трем пакетам оценки: SEO, Трафик и SMM.
SeoHammer делает продвижение сайта прозрачным и простым занятием.
Ссылки, вечные ссылки, статьи, упоминания, пресс-релизы - используйте по максимуму потенциал SeoHammer для продвижения вашего сайта.
Что умеет делать SeoHammer
— Продвижение в один клик, интеллектуальный подбор запросов, покупка самых лучших ссылок с высокой степенью качества у лучших бирж ссылок.
— Регулярная проверка качества ссылок по более чем 100 показателям и ежедневный пересчет показателей качества проекта.
— Все известные форматы ссылок: арендные ссылки, вечные ссылки, публикации (упоминания, мнения, отзывы, статьи, пресс-релизы).
— SeoHammer покажет, где рост или падение, а также запросы, на которые нужно обратить внимание.
SeoHammer еще предоставляет технологию Буст, она ускоряет продвижение в десятки раз,
а первые результаты появляются уже в течение первых 7 дней.
Зарегистрироваться и Начать продвижение
- изменение размера, энергетической и биогеохимической роли организмов, переформирование пищевых цепей, массовое размножение отдельных видов организмов;
- нарушение иерархии экосистем, увеличение системного однообразия на планете.
Существенную роль в нарушении экологического баланса Земли играет каждое государство, каждый человек. Решение экологических задач на современном этапе должно реализовываться в деятельности как государственных специальных органов, так и всего общества. Целью такой деятельности является рациональное использование природных ресурсов, устранение загрязнения среды, экологическое обучение и воспитание всей общественности страны.
Государственная политика защиты окружающей среды
Необходимость бережного отношения к природе, ее защиты понимали еще философы древности. Например, древнегреческий философ-материалист Эпикур еще в V в. до н.э. пришел к выводу: «Не следует насиловать природу, следует повиноваться ей…», который не утратил своей актуальности и в настоящее время.
Существовала и другая концепция подхода к природе, дающая право беспредельного господства над ней. Некоторые современные исследователи считают основоположником такого подхода Ф. Энгельса, который считал, что в отличие от животного, только пользующегося внешней природой, «человек… заставляет ее служить своим целям, господствует над ней». Может быть, в развитие этого тезиса родился в 1950-х годах широко известный в нашей стране мичуринско-лысинковский лозунг, оправдывающий насилие над окружающей средой: «Нам нельзя ждать милости от природы, взять их у нее – наша задача». Вместе с тем мысль о господстве над природой Ф.Энгельсом разъясняется так: «… все наше господство над ней состоит в том, что мы, в отличие от всех других существ, умеем познавать ее законы и правильно их применять». В этом заключается большая научная ценность теории и гуманизм Ф.Энгельса как мыслителя.
В настоящее время для защиты среды обитания в каждой стране разрабатывается природоохранное законодательство, в котором присутствует раздел международного права и правовой охраны внутри государства, содержащий юридические основы сохранения природных ресурсов и среды существования жизни. ООН в декларации Конференции по окружающей среде и развитию (г. Рио-де-Жанейро, июнь 1992 г.) юридически закрепила два основных принципа правового подхода к охране природы.
1. Государствам следует внести эффективное законодательство в области ораны окружающей среды, выдвигаемые задачи и приоритеты должны отражать реальную ситуацию в области охраны окружающей среды и ее развития, в которой они будут реализовываться.
Сервис онлайн-записи на собственном Telegram-боте
Попробуйте сервис онлайн-записи VisitTime на основе вашего собственного Telegram-бота:
— Разгрузит мастера, специалиста или компанию;
— Позволит гибко управлять расписанием и загрузкой;
— Разошлет оповещения о новых услугах или акциях;
— Позволит принять оплату на карту/кошелек/счет;
— Позволит записываться на групповые и персональные посещения;
— Поможет получить от клиента отзывы о визите к вам;
— Включает в себя сервис чаевых.
Для новых пользователей первый месяц бесплатно.
Зарегистрироваться в сервисе
2. Государство должно разработать национальное законодательство, касающееся ответственности за загрязнение окружающей среды и нанесение другого экологического ущерба и компенсации тем, кто пострадал от этого.
Из общих принципов правового подхода к охране природы следует, что все государства должны иметь жесткое и одновременно разумное природоохранное законодательство, однако до сих пор у многих членов ООН такого законодательства нет. Например, в России до сих пор нет закона о возмещении вреда, причиненного здоровью людей неблагоприятными воздействиями окружающей среды, связанными с хозяйственной или другой деятельностью, а также других необходимых актов. Академик Н.Моисеев в обобщенной форме сложившуюся ситуацию обрисовал так: «Дальнейшее развитие цивилизации возможно только в условиях согласования стратегии природы и стратегии человека».
В различные исторические периоды развития нашей страны система органов экологического управления, контроля и надзора всегда зависела от формы организации охраны окружающей природной среды. Когда вопросы охраны природной среды решались за счет рационального использования природных ресурсов, управление и контроль осуществлялись множеством организаций. Так, в 1970-80-е годы в бывшем СССР управлением и охраной окружающей природной среды занималось 18 различных министерств и ведомств.
Такие природные объекты, как вода и воздух, находились в ведении нескольких ведомств одновременно. При этом, как правило, функции контроля за состоянием природной среды совмещались с функциями эксплуатации и использования природных объектов. Получалось, что министерство или ведомство от имени государства контролировало само себя. Общий координационный орган, который бы объединял природоохранную деятельность, отсутствовал. Понятно, что такая система управления и контроля порождала преступное отношение к природе, прежде всего, со стороны самих министерств и ведомств, а также подчиненных им крупных предприятий, которые являлись основными загрязнителями и разрушителями природной среды.
Историки полагают, что природоохранное право впервые появилось в ХIII в. Это был эдикт короля Эдуарда, запрещающий использовать каменный уголь для отопления жилищ в Лондоне. В России этому праву положили начало указы Петра I по охране лесов, животного мира и др. Все это были попытки комплексного подхода к защите природной среды. Такая же попытка была осуществлена сразу же после октября 1917 г. путем издания декретов «О земле» (1917 г.), «О лесах» (1918 г.), «О недрах земли» (1920 г.) и кодексов – Земельного (1922), Лесного (1923). Однако и в них принцип господства над природой, приоритет «производственной необходимости» доминировали над проблемами охраны окружающей среды.
Отчасти это объяснялось требованиями выживания страны, необходимостью ее интенсивного развития, но такой подход не обеспечивал эффективной природоохранной деятельности и вел к деградации природы. При этом, говоря словами академика А. Яблокова, «любые, самые замечательные законодательные акты не могут быть реализованы без поддержки народа. А народ еще недавно ориентировали на то, чтобы взять у природы все возможное, и побыстрее». До сих пор такой подход довольно часто остается доминирующим.
В результате перестройки организации охраны природы начиная с 1988 г. еще в бывшем СССР и его республиках были созданы государственные комитеты охраны природы. Они должны были стать координаторами всей природоохранной деятельности, единым центром комплексного управления природопользования взамен многочисленных ведомственных структур. Однако, до конца решить эту задачу так и не удалось.
Недостаточно устранить примат производства над экологией, а также нарушение экологических требований в процессе хозяйствования. Необходимо повышение экологической культуры общества, в том числе правовой, на базе знания естественно-научных законов и экологических правовых нормативных актов.
С 1991 года российский Комитет по охране природы был упразднен, а вместо него было организовано Министерство охраны окружающей среды и природных ресурсов РФ. В его состав вошли преобразованные в комитеты природоохранные службы Гидромет, лесного хозяйства, водных ресурсов, охраны и использования недр, рыболовства. На базе шести реорганизованных министерств и ведомств был создан природоресурсный блок, соединяющий в едином центре всю службу охраны окружающей природной седы. Однако и этот блок оказался неуправляемым, и годичная практика его функционирования показала, что он был не способен решать поставленные задачи.
Решение экологических задач на современном этапе должно реализовываться в деятельности как государственных специальных органов, так и всего общества. Целью такой деятельности является рациональное использование природных ресурсов, устранение загрязнения среды, экологическое обучение и воспитание всей общественности страны.
Правовая охрана окружающей природной среды заключается в создании, обосновании и применении нормативных актов, которыми определяются как объекты охраны, так и меры по ее обеспечению. Эти вопросы экологического права, регулирующего отношения между природой и обществом.
Природоохранное законодательство
Охрана окружающей среды и рациональное использование природных ресурсов представляет собой сложную и многоплановую проблему. Решение ее сопряжено с регулированием взаимоотношений человека и природы, подчинением их определенной системе законоположений, инструкций и правил. В нашей стране такая система установлена в законодательном порядке.
Правовая охрана природы представляет собой совокупность установленных государством правовых норм и возникающих в результате их реализации правоотношений, направленных на выполнение мероприятий по сохранению естественной среды, рациональному использованию природных ресурсов, оздоровлению окружающей человека жизненной среды в интересах настоящего и будущих поколений. Это система государственных мероприятий, закрепленных вправе и направленных на сохранение, восстановление и улучшение благоприятных условий, необходимых для жизни людей и развития материального производства.
В систему правовой охраны природы России входят четыре группы мероприятий:
1. Правовое регулирование отношений по использованию, сохранению и возобновлению природных ресурсов.
2. Организация воспитания и обучения кадров, финансирование и материально-техническое обеспечение природоохранных действий.
3. Государственный и общественный контроль за выполнением требований охраны природы.
4. Юридическая ответственность правонарушителей.
В соответствии с экологическим законодательством объектом правовой охраны выступает природная среда
– объективная, существующая вне человека и независимо от его сознания реальность, служащая местом обитания, условием и средством его существования.
Источниками экологического права признаются нормативно-правовые акты, в которых содержатся правовые нормы, регулирующие экологические отношения. К ним относятся законы, указы, постановления и распоряжения, нормативные акты министерств и ведомств, законы и нормативно- правовые акты субъектов Федерации. Наконец, в числе источников экологического права большое место занимают международно-правовые акты, регулирующие внутренние экологические отношения на основе примата международного права.
Следует выделить шесть основных периодов экологического законодательства:
1918-1922 гг. – возникновение и становление законодательных актов об охране и использовании природных ресурсов;
1922-1957 гг. – активное развитие союзного законодательства природоресурсного направления;
1953-1963 гг. – принятие во всех республиках СССР законов об охране природы (например, Закон РСФСР об охране природы был принят в 1960 г.);
1968-1980 гг. – проведение кодификации союзного и республиканского законодательства о земле, недрах, водах, лесах, животном мире, атмосферном воздухе. Принятие по этим объектам соответствующих основ законодательства Союза ССР и союзных республик, кодексов в союзных республиках;
1985-1990 гг. – попытка перестроить общественные отношения в охране природы и рациональном использовании природных ресурсов, разработать закон об охране природы в СССР и создать специальные органы управления в СССР и республиках;
с 1991 г. и до настоящего времени - суверенизация России, распад союза ССР, пересмотр законодательства Российской Федерации, в том числе экологического, принятие Закона об охране окружающей природной среды (1991 г.), Федерального закона «Об охране окружающей среды» (2001 г.), Земельных кодексов (1991г. и 2001 г.), Закона РФ о недрах (1992 г.), Лесного кодекса (1997 г.), Воздушного кодекса (1997 г.), федеральных законов «О животном мире» (1995 г.), «Об охране атмосферного воздуха» (1999 г.) и других актов экологического направления.
Развитие нашего общества, научно-технический прогресс создают новые экологические проблемы, связанные с охраной окружающей природной среды и рациональным использованием природных ресурсов. Меняется техника, технология, условия жизни человека, требующие новых законов по охране природы. Поэтому развитие эколого-правовых норм – процесс непрерывный и неизбежный.
Правовое обеспечение экологического контроля
Экологический контроль – важное звено организационно-правового механизма ООС. В задачи экологического контроля входят наблюдение за состоянием окружающей среды и ее изменениями под влиянием хозяйственной и иной деятельности, проверка соблюдения требований экологического законодательства и нормативов качества окружающей среды, выполнения мероприятий по рациональному использованию природных ресурсов и оздоровлению окружающей среды.
Выполнение этих целей предполагает экологический мониторинг, государственный, производственный, муниципальный и общественный контроль, каждый из которых имеет свои специфические функции и адекватные им средства реализации.
В Законе «Об охране окружающей среды» разработана специальная глава об экологическом контроле (гл. II). В ст. 64 этой главы закрепляются задачи экологического контроля. В ст. 65 предусматривается наличие контрольного органа государственной власти в области государственного экологического контроля и функций хозяйственного использования природных ресурсов.
В п.5 этой статьи запрещается совмещение функций государственного контроля в области ООС (государственного экологического контроля) и функций хозяйственного использования природных ресурсов.
Статья 66 закрепляет права, обязанности и ответственность государственных инспекторов в области охраны окружающей среды. В частности государственные инспектора обязаны:
- предупреждать, выявлять и пресекать нарушения законодательства в области ООС;
- разъяснять нарушителям законодательства в области охраны окружающей среды их права и обязанности;
- соблюдать требования законодательства.
Статья 67 раскрывает цели и содержание производственного экологического контроля:
- обеспечение выполнения в процессе хозяйственной и иной деятельности мероприятий по охране окружающей среды - рациональному использованию и восстановлению природных ресурсов;
- соблюдение требований в области охраны окружающей среды, установленных экологическим законодательством. Субъекты хозяйственной и иной деятельности обязаны представить сведения об организации производственно-экологического контроля в органы исполнительной власти и органы местного самоуправления.
С ст. 68 раскрываются цели и содержание муниципального и общественного контроля. Впервые дополнительно представлены полномочия в области экологического контроля муниципальным органом власти.
Общественный экологический контроль осуществляется общественным и иными некоммерческими объединениями в соответствии с их уставами, а также гражданами в соответствии с законодательством. Статья 69 закрепляет обязанность государственного учета объектов, оказывающих негативное воздействие на окружающую среду. Подобный учет необходим для государственного регулирования природоохранной деятельности, а также текущего и перспективного планирования мероприятий по снижению негативного воздействия и иной деятельности на окружающую среду.
Таким образом, всестороннее использование и сочетание указанных видов экологического контроля призвано обеспечить эффективность охраны окружающей среды, выявление экологических правонарушителей, привлечение к различным формам ответственности за экологические правонарушения.
Органы управления, контроля и надзора по охране природы, их функции
Исключительно важную роль в реализации основ природоохранного законодательства играют органы управления, контроля и надзора в области охраны окружающей природной среды России. Действующей структурой органов управления охраны окружающей природной среды предусматриваются две категории: органы общей и специальной компетенции.
К государственным органам общей компетенции
относятся: Президент, Федеральное Собрание, Государственная Дума, Правительство, представительные органы власти субъектов Федерации, муниципальные органы. К государственным органам специальной компетенции
относятся те, которые предназначены выполнять только природоохранные функции.
В соответствии с постановлением Правительства РФ от 5 апреля 1993 года № 270 Министерству охраны окружающей среды и природных ресурсов РФ отводились как природоохранные функции, так и функции рационального использования и охраны видов природных ресурсов, применяемых в экономике страны. Однако последние функции были чисто символическими. Названное Министерство не имело практических и юридических прав для их реализации. Все сводилось к таинственному слову «координация», правовое содержание которого в России не зафиксировано ни в одном документе. Этот термин обретает конкретный смысл только через расшифровывающие его документы, но их не было в положении о Минприроды России. Не было, соответственно, и подразделений, осуществляющих данную функцию. Фактически координация выполнялась правительственной комиссией по охране окружающей среды и природопользованию.
В октябре 1996 г. была утверждена новая структура органов управления и охраной окружающей природной среды на федеральном уровне. Природоохранные функции были распределены между двумя органами: Государственным комитетом РФ по охране окружающей среды (Госкомэкология) и Министерством природных ресурсов, созданными на основе упраздненного Минприроды. Все природоохранные функции перешли к Госкомэкологии. На Министерство природных ресурсов возлагалось осуществление функций рационального использования и охраны видов природных ресурсов, применяемых в экономике России.
В соответствии с Указом Президента РФ от 17 мая 2002 г. № 867 Госкомэкологии, Минприроды и Федеральная служба лесного хозяйства России были объединены в единый государственный орган – Министерство природных ресурсов Российской Федерации.
Основными стратегическими целями экологической политики России
являются:
- последовательное решение проблем развития хозяйственного комплекса государства, при котором полностью учитываются экологические и природно-географические условия конкретных территорий для обеспечения благосостояния народов, населяющих эти территории;
- последовательное достижение на каждой конкретной территории надлежащего качества среды обитания, отвечающим не только принятым сегодня санитарно-гигиеническим нормам, но и той системе его оценок, которое учитывало бы генетическое здоровье население;
- восстановление и сохранение биосферного равновесия (на локальном, региональном и глобальном уровнях) генетического фонда животного и растительного мира;
- рациональное использование всего природоресурсного потенциала России.
Реализации перечисленных направлений должно способствовать формирование эффективной системе органов государственного управления в области экологии и природопользования. Они должны рассматриваться в тесной взаимосвязи и объединяться механизмом управления в единую систему.
По-видимому, наряду с основами природоохранного законодательства необходим экологический кодекс, который перевел бы правовые экологические нормы в ранг моральных ценностей и имел бы нравственную направленность и воспитательное значение.
Задачи и полномочия органов управления Российской Федерации и ее субъектов в области охраны природы
Высшие федеральные, а также республиканские, областные, краевые законодательные органы России, согласно Закону РФ «Об охране окружающей среды», призваны определять основные направления государственной природоохранной политики, утверждать экологические программы, устанавливать правовые основы и нормы (в пределах своей компетенции).
На Правительство возложены задачи реализации экологической политики и выполнения программ, координации деятельности всех органов в области ООС, образования, использования внебюджетного экологического фонда, установления порядка за природопользование, обеспечения населения экологической информацией (примером такой информации являются первые в России государственные доклады (отчеты) о состоянии окружающей природной среды РФ в 1994, 1995, 1996 гг.).
По конституции РФ природопользование, охрана окружающей природной среды, обеспечение экологической безопасности составляют совместную компетенцию Федерации и субъектов Федерации. Вопросы, входящие в компетенцию названных органов, можно подразделять на семь комплексных групп
.
1.Определение основных направлений экологической политики, утверждение экологических программ, установление правовых и экономических основ регулирования охраны окружающей природной среды и обеспечение экологической безопасности.
2.Планирование, финансирование и материально-техническое обеспечение экологических программ, координация природоохранной деятельности.
3.Учет и оценка природных ресурсов, прогноз состояния окружающей среды, ведение кадастра природных ресурсов, осуществление мониторинга окружающей среды.
4.Утверждение нормативов вредных воздействий, платежей за использование природных ресурсов, за выбросы, сбросы вредных веществ, захоронение отходов. Выдача разрешений на природопользование, выброс, сброс, захоронение вредных веществ. Формирование и расходование экологических фондов.
5.Государственный экологический контроль, государственная экологическая экспертиза, решение об ограничениях, приостановлении, прекращении деятельности экологически вредных производств и услуг. Привлечение к административной и уголовной ответственности за экологические преступления. Предъявление иска в суд, арбитражный суд о взыскании ущерба, причиненного экологическим правонарушителям.
6.Организация заповедного дела, охрана памятников природы, ведение Красной книги, экологическое воспитание и образование.
7.Международное сотрудничество.
Указанные в перечне вопросы и задачи призваны решать все управленческие структуры. Разграничение сферы деятельности их идет по двум направлениям: пространственному и ресурсовому. Согласно первому, представительные и исполнительные органы Федерации осуществляют указанные полномочия в масштабе всей территории России. Органы субъектов Федерации реализуют свои полномочия в границах, представляемых ими административно-территориальных образований (области, краев и т.д.). Так, утверждение основных направлений экологической политики, экологических программ различного уровня, оценка, мониторинг, контроль, охрана заповедных объектов, экологическое воспитание и образование являются предметом деятельности государственных органов и их уровней.
Однако, в рамках одного и того территориального пространства могут находиться ресурсы разного значения: республиканского, краевого, областного, муниципального ведения или же представляющие исключительную федеральную собственность. Это определяет объем представленных полномочий. Например, выдача разрешений на природопользование практически принадлежит всем органам управленческого уровня. Однако, каждый раз оно распространяется на те природные ресурсы, которые находятся соответственно в ведении Федерации, субъектов Федерации и местных органов.
Согласно данному порядку, разрешение на использование земель, недр, вод, лесов, составляющих федеральные ресурсов, выдается исполнительным органам Федерации. Такие же права принадлежат областным, краевым органам в отношении природных ресурсов, находящихся в их владении. Местные исполнительные органы обладают этим правом применительно к ресурсам муниципальной собственности. Например, право на выдачу разрешений на отдельные виды лесопользования. Конкретные полномочия раскрываются в отраслевых законодательных актах.
Существует также разграничение полномочий в области охраны окружающей природной среды между представительными и исполнительными органами управления. Оно построено на конституционном разделении властей.
Представительные органы решают общие вопросы, не требующие исполнительно-распределительных действий. Так, согласно Закону РФ «Об охране окружающей среды», всего пять вопросов относится к исключительной компетенции высшего представительного органа:
- определение основных направлений экологической политики;
- утверждение государственной экологической программы;
- определение правовых основ регулирования природных отношений;
- определение полномочий в области охраны окружающей природной среды и порядка организации деятельности органов управления в данной области;
- установление режима в зонах чрезвычайно экологических ситуаций и в зонах экологического бедствия.
Также определяется компетенция представительных органов республик в составе РФ. К их ведению относятся следующие:
- утверждение программ по рациональному использованию и ООС;
- создание экологических фондов и определение порядка предоставления земельных участков;
- объявление на своей территории природных объектов памятниками природы;
- принятие решение об образовании и деятельности природоохранных инспекций.
В соответствии с Законом о местном самоуправлении городские и районные представительные органы власти имеют следующие полномочия:
o разрабатывают порядок охраны и использования природных ресурсов;
o запрещают проведение на подведомственной им территории мероприятий, которые могут быть неблагоприятными по своим экологическим последствиям;
o выносят решения о прекращении строительства или эксплуатации объектов в случае нарушения экологических, санитарных или строительных норм;
o объявляют природные объекты местного назначения памятниками природы и определяют режим их ораны.
Некоторые полномочия в области ООС принадлежат сельским и поселковым представительным органам:
- установление на подведомственной территории порядка и условий размещения предприятий, которые не являются муниципальной собственностью;
- остановка строительства или прекращение эксплуатации объектов, если выявлены нарушения санитарных и экологических норм;
- Запрещение на подведомственной территории проведение мероприятий, ведущих к неблагоприятным экологическим последствия. При этом последние меры могут осуществляться на основании заключения или комитета по охране окружающей природной среды.
Задача
Определить годовой экономический ущерб, наносимый предприятием выбросами в атмосферу и в водный объект и размер платы предприятия за загрязнение окружающей среды. Указать из каких источников предприятие будет платить за загрязнение окружающей среды.
Предприятие расположено в селитебно-промышленной зоне города, имеет один источник выбросов в атмосферу. Около 40% зоны активного загрязнения (ЗАЗ) занимают территории промышленных предприятий и санитарно-защитных зон, 15% ЗАЗ занята жилой застройкой со средней плотностью населения 50 чел./га, остальная часть ЗАЗ занята пригородными зонами отдыха.
Среднегодовое значение модуля скорости ветра U равно 2 м/с. Среднегодовое значение разности температур в устье источника и окружающей атмосфере (А7) составляет 35°С. На предприятии прерывный, односменный процесс производства. Продолжительность смены 3 часа. Рабочих дней в году 253. Объём выбросов в атмосферу, содержание примесей и высота источника выбросов представлены в таблице 1.
Таблица 1
| Вариант |
Высота источника, м |
Объем
выбросов, м3
/час
|
Содержание примесей, мг/м3
|
| Окись углерода |
Окись азота |
Сероводород |
Формальдегид |
Сернистый ангидрид |
| 6 |
55 |
34585 |
2100 |
700 |
150 |
60 |
2400 |
Показатели относительной опасности (А), для относительных веществ, содержащихся в выбросах, равны, усл.т/т:
окись углерода – 1,
окись азота – 41,1,
сероводород – 54,8,
формальдегид – 310,
сернистый ангидрид – 22.
Данные, характеризующие водохозяйственный участок, объём сброса сточных вод и содержание примесей в сточной воде представлены в таблице 2.
Таблица 2
| Вариант |
d |
Объем сбросов, тыс. м3
/год |
Содержание примесей, г/м3
|
| Взвешенные в-ва |
нефтепродукты |
хлориды |
сульфаты |
СПАВ |
| 6 |
0,70 |
2500 |
9,5 |
0.22 |
20 |
35 |
3 |
Показатели относительной опасности (Аi) для отдельных веществ, поступающих в реку со сточными водами, равны, усл. т/т:
хлориды - 0,003,
взвешенные вещества - 0,05,
нефтепродукты - 20,
сульфаты - 0,002,
СПАВ - 2.
Коэффициент инфляции для расчета ущерба Кинфл =10.
Предприятие имеет разрешение на предельно допустимый выброс в атмосферу в объемах, приведенных в табл 3.
Таблица 3
| Вариант |
ПДВ по отдельным веществам, т/год |
| окись углерода |
окись азота |
сероводород |
формальдегид |
сернистый ангидрид |
| 6 |
130 |
35 |
7 |
1 |
150 |
Данные по разрешенному предельно допустимому сбросу в водный объект представлены в табл. 4
Таблица 4
| Вариант |
ПДС по отдельным веществам, т/год |
| взвешенные вещества |
нефтепродукты |
хлориды |
сульфаты |
СПАВ |
| 6 |
22 |
0,45 |
43 |
60 |
6,8 |
Нормативы платы за выбросы загрязняющих веществ от стационарных источников в атмосферу и за сброс загрязняющих веществ в водные объекты представлены в табл. 5.
Таблица 5
| Наименование загрязняющих веществ |
Норматив платы за 1 т загрязняющих веществ в пределах ПДВ, ПДС (На.), руб. |
Выброс в атмосферу:
окись углерода
окись азота
сероводород
формальдегид
сернистый ангидрид
|
0,005
0,275
2,065
5,500
0,330
|
Сброс в воду:
взвешенные вещества
нефтепродукты
хлориды
сульфаты
СПАВ
|
2,950
44,350
0,007
0,020
4,435
|
Коэффициент экологической ситуации для региона (Кэ) в задаче принять равным 1,5. Региональный коэффициент индексации платы за загрязнение окружающей природной среды (Кинд-рег) равен 48.
Методические указания к решению задачи
Определение годового экономического ущерба от загрязнения воздушного бассейна производится по формуле:

где у - константа, численное значение которой при оценке выбросов в атмосферу, применяется равным 2,4 руб. / усл т;
d - безразмерная величина, численное значение которой определяется типом загрязняемой территории.
При выбросе газов на территории промышленного района d принимается равной 4, в населенных местах с плотностью населения n чел./га ~ 0,1 n, а в пригородных зонах отдыха - 8. Если ЗАЗ неоднородна, то

где SЗАЗ
- общая площадь ЗАЗ;
j - номер части ЗАЗ, относящейся к одному из типов территорий; k - общее число типов территорий, попавших в ЗАЗ.
Безразмерная величина f значение которой для газообразных веществ и легких частиц, оседающих со скоростью менее 1 см/с, определяется по формуле:

где h - высота устья источника загрязнения, м;
j - поправка на тепловой подъем факела выбросов в атмосферу (безразмерная);
U - среднегодовое значение скорости ветра на уровне флюгера, м/с.
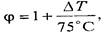
В свою очередь, поправка j определяется по формуле:

где D Т - среднегодовое значение разностей температур в устье источника и в окружающей атмосфере на уровне устья.
Приведенная масса годового выброса загрязнений определяется по формуле:

где n - общее число примесей, выбрасываемых в атмосферу;
Ai
- показатель относительной опасности i-го вещества;
mi
- масса годового выброса i-го вещества в атмосферу, т/год;
Кинфл
- коэффициент инфляции, численное значение которого
в задаче принимается равным 10.
Расчет годового экономического ущерба от загрязнения водоемов производится по формуле:

где у - константа, численное значение которой рекомендуется принимать равным 400 руб./усл.т;
d - константа, имеющая разные значения для различных водохозяйственных систем (безразмерная).
М - приведенная масса годового сброса примесей конкретным источником, усл. т/год;
Кинфл
- коэффициент инфляции, численное значение которого в задаче принимается равным 10.
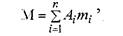
Значение М определяется по формуле:

где i - номер сбрасываемой примеси;
n - общее количество примесей, содержащихся в источнике;
Аi
- показатель относительной опасности сброса i-го вещества в водоём; усл.т/т;
mi
- общая масса годового сброса г-го вещества, т/год.
Плата за выбросы, сбросы загрязняющих веществ в атмосферу и водные объекты в размерах, не превышающих ПДВ и ПДС, определяется по формуле:

где
П - плата за выбросы (сбросы:) загрязняющего вещества в размерах, не превышающих ПДВ (ПДС), руб.;
Сi
- ставка платы за выброс (сброс) 1 тонны i-го загрязняющего вещества в пределах ПДВ (ПДС), руб.;
Мi
- фактический выброс (сброс) загрязняющего вещества, т;
МHi
- ПДВ (ПДС) загрязняющего вещества, т.
Ставка платы за выброс (сброс) загрязняющего вещества определяется по формуле:

где Нd
i
- базовый норматив платы за выброс (сброс) 1 т i-го загрязняющего вещества в размерах, не превышающих ПДВ (ПДС), руб.
Кэ - коэффициент экологической ситуации в данном регионе.
Киндл-рег
- региональный коэффициент индексации платы за загрязнение.
Если Мi
> МHi
, то разница между Мi
и МHi
является сверхлимитным загрязнением.
Плата за сверхлимитное загрязнение определяется на основе ставки платы в пределах ПДВ (ПДС) с повышающим коэффициентом, равным 25.
Суммарная плата за загрязнения определяется по формуле:

где
Ппд
- плата за выбросы (сбросы) в пределах ПДВ (ПДС), руб;
Псх
- плата за сверхлимитное загрязнение, руб.
Платежи за ПДВ (ПДС) осуществляются за счет себестоимости продукции, а платежи за превышение их - за счет прибыли, остающейся в распоряжении природопользователя.
Решение
1. Определение годового экономического ущерба от загрязнения воздушного бассейна.
d = ( 40*4+15*0,1*50+45*8) / 100 = 5 ,95
f = 100 м / (100м+1,4667*55) * 4 м/с / ( 1 м/с + 2 м/с) = 0,7195
j = 1+ 35о
С/ 75о
С = 1,4667
М = 55,13*1 + 13,06*41,1 + 3,97*54,8 + 310*1,58 +22*63,00 = 2685,252 т/год
m1
= 34585* 2100* 253* 3* 10-9
= 55,13 т/ год
m2
= 34585* 700* 253* 3* 10-9
= 13,06 т/ год
m3
= 34585* 150* 253* 3* 10-9
= 3,97 т/ год
m4
= 34585* 60* 253* 3* 10-9
= 1,58 т/ год
m5
= 34585* 2400* 253* 3* 10-9
= 63,00 т/ год
У = 2,4* 5,95* 0,7* 2685,252* 10 = 268417,79 рублей
2. Определение годового экономического ущерба от загрязнений водного бассейна.
m1
= 9,5 *2500 * 10-3
= 23,75 т/ год
m2
= 0,22 *2500 * 10-3
= 0,55 т/ год
m3
= 20 *2500 * 10-3
= 50 т/ год
m4
= 35 *2500 * 10-3
= 87,5 т/ год
m5
= 3 *2500 * 10-3
= 7,5 т/ год
М = 0,003*50 + 0,05*23,75 + 20*0,55 + 0,002*87,5 + 2*7,5 = 27,51 т/ год
У = 400 * 0,70 * 27,51 * 10 = 77028 рублей
3. Ставка платы за выброс загрязняющего вещества в атмосферу:
с1
= 0,005* 48 *1,5 = 0,36 руб.
с2
= 0,275* 48 *1,5 = 19,8 руб
с3
= 2,065* 48 *1,5 = 148,68 руб
с4
= 5,5* 48 *1,5 = 396 руб
с5
= 0,330* 48 *1,5 = 23,76 руб
4. Плата за выбросы в атмосферу.
П = 0,36*55,13 + 19,8*13,06 + 148,68*3,97 + 396*1,58 + 23,76*63,00 = 2991,25 рублей
5. Ставка за сброс в водный объект.
с1
= 2,950* 1,5* 48 = 212,4 руб.
с2
= 44,350* 1,5* 48 = 3193,2 руб.
с3
= 0,007* 1,5* 48 = 0,504 руб.
с4
= 0,02* 1,5* 48 = 1,44 руб.
с5
= 4,435* 1,5* 48 = 319,32 руб.
6. Суммарная плата за загрязнения:
Побщ
= (212,4*22 + 212,4*25*1,75) + (3193,2*0,45 + 3193,2*25*0,10) + (0,504*43 + 0,504*25*7) + (1,44*60 + 1,44*25*27,5) + (319,32*6,8 + 319,32*25*0,7) = 32330,988 рублей.
Заключение
Экологическая ситуация в Российской Федерации может быть стабилизирована и улучшена только путем коренного изменения ориентации социально-экономического развития страны, формирования новых ценностных и нравственных установок, пересмотра структуры потребностей, целей, приоритетов и способов деятельности человека. Это требует целого комплекса радикальных политических, социально-экономических, законодательных, технологических мер. При этом важно и необходимо соблюдение принципа разумных компромиссов при разрешении возникающих конфликтов между необходимостью соблюдения экологических рекомендаций и ограничений и потребностями развития хозяйственной сферы.
Ведущим направлением охраны окружающей природной среды, с точки зрения государства и нас самих, должно стать формирование системы непрерывного экологического образования, охватывающего все структуры общества. Для этого на местах необходимо всячески содействовать гуманизации и экологизации сферы образования и воспитания детей – нашего будущего поколения. В системе профессионального образования необходимо объединять процессы приобретения профессиональных знаний и освоения экологических аспектов конкретной производственной деятельности.
Важной является государственная поддержка развития краеведения, распространения знаний о природе и взаимодействии с ней человека в средствах массовой информации, расширения сети зоопарков, природно-исторических парков, дендропарков, музеев, демонстрирующих производство экологически чистых продуктов, пришкольных участков и других организации и объектов, увеличивающих возможности непосредственного знакомства человека с природой, традициями и лучшими примерами природопользования.
Исходя из расчетов нашей задачи, можно сказать, что годовой экономический ущерб, наносимый предприятием выбросами в атмосферу, составил 268417,79 рублей, а в водный объект - 77028 рублей, и размер платы предприятия за загрязнение окружающей среды соответственно в атмосферу будет 2991,25 рублей, общая суммарная плата за загрязнение составляет 32330,988 рублей. Плата за загрязнение окружающей среды закладывается в себестоимость продукции, значит, за наносимый ущерб природе платит потребитель.
Список использованной литературы
1. Арустамов А.Э. и др. Природопользование: Учебник. – 5-е изд-е, перераб. И доп. – М.: Издательско-торговая корпорация «Дашков и Ко
», 2003. – 312 с.
2. Инженерная экология и экологический менеджмент / М.В. Буторина, П.В. Воробьев, А.П. Дмитриева и др.: Под ред. Н.И. Иванова, И.М. Фадина. – М.: Логос, 2002. – 528 с.: ил.
3. Охрана окружающей среды/ Под ред. С.В.Белова. М.: Высшая школа, 1983.264 с.
4. Стадницкий Г.В., Родионов А.И. Экология. СПб.: Химия, 1996. 240 с.
5. Экологические проблемы: что происходит, кто виноват и что делать? : Уч.пособие / Под ред. В.И. Данилова-Данильяна. М.: Изд-во МНЭПУ, 1997. 332 с.
6. Методические указания.
|