Содержание
1. Полимеризующиеся ПАВ и их применение для создания покрытий
2. Специальные поверхностно-активные вещества для экстремального снижения поверхностного натяжения
1. Полимеризующиеся ПАВ и их применение для создания покрытий
Полимеризующиеся ПАВ иногда называют «функциональными», поскольку наряду с высокой поверхностной активностью эти вещества обладают определенными специфическими свойствами. Интерес к таким ПАВ вызван следующим. Часто поверхностная активность ПАВ необходима только на определенной стадии технологического процесса, но это свойство оказывается бесполезным или даже нежелательным на последующих стадиях. Такие ситуации могут быть связаны с экологическими проблемами, например, когда ПАВ медленно подвергается биоразложению в отстойниках очистных станций. Проблема может иметь технологическое происхождение, когда присутствие поверхностно-активных агентов в конечном продукте негативно влияет на его свойства.
Производство красок — хороший пример, когда ПАВ нужны на первой стадии, но нежелательны на последующих. ПАВ используются в производстве красителей в качестве эмульгаторов для связующих веществ, как диспергаторы для пигментов и для регулирования смачивания подложки. Присутствие ПАВ в сухой пленке краски часто приводит к проблемам, поскольку ПАВ действует как введенный пластификатор, приводя к размягчению и увеличению гибкости пленки. Пластифицирующее действие можно считать преимуществом системы, если бы пластификатор был распределен равномерно по всему покрытию. Но вследствие поверхностной активности ПАВ мигрирует из объема фазы и концентрируется на поверхностях раздела фаз. Было установлено, что молекулы ПАВ преимущественно накапливаются на границе раздела пленка-воздух, где они ориентируются гидрофобными «хвостами» к воздуху. По данным рентгеноэлектронной спектроскопии сухая пленка лака, содержащая 1% поверхностно-активного вещества, обнаруживает в поверхностном слое в среднем 50%-ную концентрацию ПАВ. Объемная концентрация ПАВ по-прежнему близка к 1%, так как модифицированный поверхностный слой очень тонок по сравнению с толщиной пленки. При нанесении следующего слоя краски поверхностный слой ПАВ в пленке образует так называемый слабый граничный слой, что очень часто создает трудности при перекрашивании поверхностей.
Забиваем Сайты В ТОП КУВАЛДОЙ - Уникальные возможности от SeoHammer
Каждая ссылка анализируется по трем пакетам оценки: SEO, Трафик и SMM.
SeoHammer делает продвижение сайта прозрачным и простым занятием.
Ссылки, вечные ссылки, статьи, упоминания, пресс-релизы - используйте по максимуму потенциал SeoHammer для продвижения вашего сайта.
Что умеет делать SeoHammer
— Продвижение в один клик, интеллектуальный подбор запросов, покупка самых лучших ссылок с высокой степенью качества у лучших бирж ссылок.
— Регулярная проверка качества ссылок по более чем 100 показателям и ежедневный пересчет показателей качества проекта.
— Все известные форматы ссылок: арендные ссылки, вечные ссылки, публикации (упоминания, мнения, отзывы, статьи, пресс-релизы).
— SeoHammer покажет, где рост или падение, а также запросы, на которые нужно обратить внимание.
SeoHammer еще предоставляет технологию Буст, она ускоряет продвижение в десятки раз,
а первые результаты появляются уже в течение первых 7 дней.
Зарегистрироваться и Начать продвижение
Хорошо известно, что при высыхании эмульсионных красок ПАВ могут подвергаться фазовому разделению, в результате чего по всей покрытой поверхности образуются комки размером в десятки микрон. Исследования, выполненные с помощью атомно-силовой микроскопии, показали, что такие комки ПАВ распространяются и на некоторую глубину внутрь пленки. ПАВ можно удалить из пленки водой, но тогда на месте комков на пленке появляются углубления. Такие дефекты служат причиной плохой устойчивости многих латексных красок по отношению к воде.

Рис. 1. Миграция ПАВ внутри пленки лака приводит к обогащению поверхности поверхностно-активным веществом
Один из путей преодоления проблем, связанных с присутствием ПАВ в конечных продуктах, — использование ПАВ, химически закрепляемых на частицах латекса. Можно использовать другой путь и проводить полимеризацию ПАВ на стадиях затвердевания и сушки. При этом ПАВ может образовывать гомополимер или сополимер с каким-либо компонентом смеси. В красках и лаках роль сореагента выполняют вяжущие компоненты.
Совершенно другой путь решения проблемы остаточных ПАВ в конечных продуктах состоит в использовании ПАВ с лабильными связями, спонтанно разрушающимися на определенной стадии.
Способы полимеризации ПАВ
Гомополимеризация или сополимеризация
В композициях, содержащих реакционноспособные ПАВ, гомополимеризация дифильного компонента происходит при достаточно высоких концентрациях. В технических композициях концентрация ПАВ слишком мала для гомополиме-ризации в объеме всей фазы. Однако гомополимеризация молекул ПАВ может происходит в плотных адсорбционных слоях, которые образуются либо при адсорбции из водного раствора, либо в результате миграции через пленку.
Сополимеризация может происходить в объеме фазы. Константы скорости четырех возможных путей присоединения мономера:

Автоокислительная или неавтоокислительная полимеризация.
Автоокисление, т. е. индуцированное кислородом отверждение, может происходить в процессе сополимеризации в объемной фазе и в процессе гомополимеризации монослоя на поверхности. Два ПАВ, способные к автоокислению, показаны на рис. 2.
Верхнее соединение — этоксилированный ненасыщенный моноэтаноламид. Соединения, способные к автоокислению, представляют особый интерес в комбинации с алкидными смолами. Автооксиление обычно катализируется солями кобальта или марганца.
Сервис онлайн-записи на собственном Telegram-боте
Попробуйте сервис онлайн-записи VisitTime на основе вашего собственного Telegram-бота:
— Разгрузит мастера, специалиста или компанию;
— Позволит гибко управлять расписанием и загрузкой;
— Разошлет оповещения о новых услугах или акциях;
— Позволит принять оплату на карту/кошелек/счет;
— Позволит записываться на групповые и персональные посещения;
— Поможет получить от клиента отзывы о визите к вам;
— Включает в себя сервис чаевых.
Для новых пользователей первый месяц бесплатно.
Зарегистрироваться в сервисе

Рис. 2. Два неионных ПАВ, способных к автоокислению: а — этоксилированный моноэтанол-амид линолевой кислоты; б — этоксилированный сложный моноэфир додеценилянтарной кислоты и простого эфира триметилолпропандиаллила
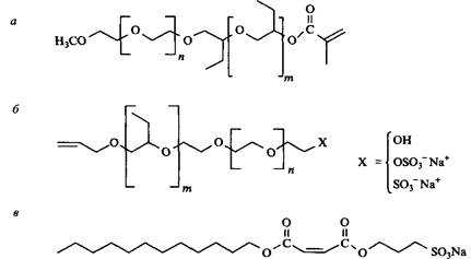
Неавтоокислительная полимеризация происходит в процессе отверждения под действием ультрафиолетового облучения или теплового воздействия с использованием свободнорадикальных инициаторов, например бензоилпероксида или персульфата калия. Подобно автоокислению, здесь также может происходить отверждение в объеме и в поверхностном слое. Поверхностно-активные вещества в этом случае, как правило, содержат активированные винильные группы, к ним относятся, например, эфиры акриловой или метакриловой кислот. Некоторые примеры поверхностно-активных веществ, способных быстро затвердевать под действием ультрафиолетового излучения, приведены на рис. 3.
Положение способных к полимеризации групп
Реакционноспособная группа может находится в полярной или гидрофобной частях молекулы ПАВ.
Для двухфазных систем жидкость-жидкость важны характеристики растворимости инициатора. Распределение инициатора между масляной и водной фазами должно быть таким, чтобы он преимущественно локализовался в той фазе, где находится полимеризующаяся группа. Если ПАВ содержит способную к полимеризации связь в полярной группе, нужен водорастворимый инициатор. Для полимеризующихся связей в гидрофобной части молекул более предпочтителен инициатор, растворимый в масле.
Полимеризация полярных групп неионных ПАВ обычно происходит в довольно жестких условиях и протекает с плохими выходами. При локализации способных к полимеризации связей в гидрофобных частях реакционная способность в двухфазных системах заметно выше. Поперечная сшивка полярных групп также должна устраняться, если ПАВ после полимеризации должно выполнять роль стерического стабилизатора дисперсных систем. Энтропийный член, являющийся главным фактором стерической стабилизации, уменьшается при ограничении свободы движения полярных групп.

Рис. 3. Примеры полимеризующихся ПАВ: а — метакрилат блок-сополимера этиленоксида и бутиленоксида с концевой метальной группой; б—блок-сополимер бутиленоксида и этиленоксида с аллильной концевой группой и с различными группами на другом конце; в — монододецилмоно-сульфопропилмалеат
Поперечная сшивка гидрофобных «хвостов» молекул ПАВ также обычно наблюдается при адсорбции полимеризующихся ПАВ на гидрофобной поверхности, что сопровождается сближением гидрофобных цепей друг с другом, а их ориентация способствует образованию межмолекулярных связей.
Применение полимеризующихся ПАВ
Эмульсионная полимеризация
Полимеризующиеся ПАВ применяются в процессах эмульсионной полимеризации, например при превращении винилхлорида в поливинилхлорид, а также акрилатов и винилацетата в латексы для покрытий. Использование реакционноспособных ПАВ при полимеризации винилхлорида приводит к образованию ПВХ с повышенной сопротивляемостью сдвиговым нагрузкам. При получении латексов полимеризующиеся ПАВ обеспечивают ряд ценных свойств продукту. Латексы в этом случае обнаруживают повышенную устойчивость к сдвигу, замораживанию и разбавлению, а также пониженное пенообразование. В целом пленочные покрытия таких латексов характеризуются лучшей адгезией и устойчивостью к воде и химическим реагентам.
Конкурентная адсорбция является источником серьезных проблем в композициях красок и в ряде других композиционных продуктов. Пигментированные латексные покрытия содержат разнообразные границы раздела фаз. Поверхностно-активные вещества будут стремиться адсорбироваться на каждой из поверхностей. Кроме того, ПАВ могут образовывать мицеллы или агрегироваться с гидрофобными сегментами молекул загустителей, которые обычно добавляются в настоящее время в латексные краски. Обычно различные ПАВ вводятся в систему одновременно с индивидуальными компонентами, например эмульгаторы с вяжущими, диспергаторы с пигментами, смачиватели также добавляются непосредственно в композиции. Система становится очень сложной, и протекающие в ней процессы конкурентной адсорбции создают проблемы во всех пигментных эмульсионных красках. ПАВ, вводимое в качестве эмульгатора для связующего, может десорбироваться с поверхности капель эмульсии и адсорбироваться на частицах пигмента, а диспергатор пигмента может также оказаться на других границах раздела фаз. Эти обменные явления служат причиной нестабильности систем и нежелательных реологических свойств. Решение проблемы в значительной мере заключается в использовании полимеризующихся поверхностно-активных веществ.
Соединения различных типов используются в качестве реакционноспособных поверхностно-активных веществ при получении латексов. Одни из них, производные малеиновой кислоты, особенно интересны, поскольку при обычной температуре они не способны к гомополимеризации. Такие соединения легко получать по реакциям малеинового альдегида с алифатическими спиртами с последующей обработкой образующего моноэфира пропансультоном. Задача состоит в том, чтобы избежать значительной го-мополимеризации, поскольку полярные с большим сродством к воде сегменты олигомерных и полимерных ПАВ оказываются локализованными на поверхности латексных частиц. После высыхания такие частицы, распределенные по всему покрытию, служат источником дефектов. И, наоборот, необходимо, чтобы реакционноспособные ПАВ преимущественно сополимеризовались с мономерами латекса. Это обеспечивает их равномерное распределение по поверхности латексных частиц. Реакционная активность полимеризующихся ПАВ не должна быть очень высокой. При больших скоростях полимеризации, протекающей в водной фазе, образуется полимер, содержащий ПАВ. Такие ассоциаты остаются в водной фазе, не адсорбируясь на поверхности частиц. При очень быстрой полимеризации ПАВ в эмульсионной капле высока вероятность того, что ПАВ в основном будет находится внутри капли.

Рис. 4. Композиции красок включают различные межфазные повержности
Полимеризующиеся ПАВ для латексов по сути представляют собой определенный тип сомономеров. Реакционноспособные ПАВ можно использовать в качестве инициаторов полимеризации. Наконец полимеризующиеся ПАВ могут выполнять роль переносчика цепей полимеризации, т. е. с их помощью можно контролировать молекулярную массу латексного полимера. На рис. 4 показаны некоторые типичные примеры ПАВ, которые могут служить инициаторами полимеризации и переносчиками цепи. Используя такие ПАВ-инициаторы, можно получить латексы с большим содержанием твердого вещества без введения дополнительных количеств ПАВ.
Латексы часто получают с использованием комбинаций неионных и анионных ПАВ. Катионные ПАВ также могут быть использованы при синтезе латексов, несмотря на то, что практическое применение положительно заряженных латексов ограничено. На рис. 23 приведены структуры трех четвертичных аммониевых ПАВ, содержащих в качестве реакционноспособных групп 4-винилфенильные группы; эти вещества использовались в качестве модельных реакционноспособных ПАВ для получения латексов.
Из рис. 5 можно сделать вывод о положительном влиянии этих же полимеризующихся ПАВ на стабильность латексов. ПАВ использовались в качестве единственных эмульгаторов в процессе эмульсионной полимеризации стирола. Для сравнения латексы были получены также в присутствии двух ПАВ, не обладающих реакционной способностью: катионного ПАВ, аналогичного среднему соединению на рис. 5, но не содержащего винильной группы, и анионного ПАВ.



Рис. 5. Структуры различных полимеризующихся ПАВ: I, II — ПАВ, которые выполняют роль инициаторов полимеризации; IV, V — ПАВ, которые способны осуществлять функцию передачи цепи. Для сравнения приведены также структуры обычного инициатора полимеризации и вещества, обладающего функцией переноса цепи
В опытах дисперсионная среда латексов постепенно разбавлялась водой путем постоянной прокачки дистиллированной воды через ячейку, удерживающую с помощью мембранного фильтра частицы латекса. В результате этого слабо связанные молекулы ПАВ десорбировались. В случае заряженных ПАВ десорбция приводила к уменьшению поверхностного заряда частиц, поэтому электрофоретическая подвижность частиц уменьшалась. При некотором значении электрофоретической подвижности латексные частицы начинают агломерировать. Все полимеризующиеся ПАВ сообщали латексным частицам большой положительный заряд, который оставался практически неизменным при разбавлении водой содержимого ячейки. Латексы, стабилизированные двумя физически адсорбирующимися ПАВ, сначала имели высокую абсолютную электрофоретическую подвижность, но при прокачке воды через ячейку подвижности непрерывно уменьшались, что указывает на десорбцию ПАВ. Результаты подтверждают различную устойчивость к разбавлению латексов, полученных разными способами.



Рис. 6. Реакционноспособные катионные ПАВ

Рис. 7. Зависимость электрофоретической подвижности полистирольных латексов от разбавления. Латексы получены с использованием полимеризующихся катионных ПАВ, показанных на рис. 6. Для сравнения приведены те же зависимости для латексов, полученных с использованием не способных к полимеризации ПАВ: бромида бензилцетилдиметиламмония, а также додецилсульфата натрия
Алкидные эмульсии
Требования защиты окружающей среды вызвали интерес к алкидным эмульсиям. Стабильные эмульсии можно получить из большинства алкидов при условии, что вязкость смол не слишком большая и прилагаемых сдвиговых сил достаточно для эмульгирования. Установлено, что применение эмульгаторов, способных участвовать в процессах автоокислительного отверждения связующего, приводит к значительному улучшению качества пленки. Поверхностно-активные вещества, в частности этоксилаты моноэтаноламидов жирных кислот с большим содержанием фракций с ненасыщенными жирнокислотными остатками, могут успешно применяться для получения алкидных эмульсий с заданной стабильностью в течение определенного срока хранения. Пленки из алкидных лаков, содержащих ПАВ этого типа, быстрее сохнут и становятся прочнее, чем пленки, содержащие то же количество не способных к полимеризации неионных ПАВ с такими же числами ГЛБ.

Рис. 8. Отверждение алкидных эмульсий, полученных с использованием обычного ПАВ и с использованием способного к полимеризации ПАВ, содержащего сопряженные двойные связи в гидрофобной части молекулы. В последнем случае большая часть ПАВ химически связывается с сеткой смолы
На рис. 8 представлена схема процесса отверждения алкидной эмульсии в присутствии обычного ПАВ и ПАВ, способного к сополимеризации с ненасыщенными ацильными цепями вяжущего.
Модифицирование поверхности
Модифицирование поверхностей твердых тел достигается при адсорбции на поверхности реакционноспособных ПАВ. При условии поперечного сшивания молекул ПАВ по всему адсорбционному слою образуется тонкая пленка, необратимо закрепленная на поверхности. Таким образом можно гидрофобную поверхность сделать гидрофильной или привить к поверхности любые функциональные группы.
Например, полиэтиленовые пленки низкой плотности можно гидрофилизовать с помощью ПАВ с одной или двумя полимеризующимися группами. Адсорбцию проводят из буферного раствора с последующей полимеризацией адсорбционного монослоя под действием ультрафиолетового облучения. Особенно хорошие результаты дает использование ПАВ с двумя гидрофобными радикалами. Такая структура молекул ПАВ обеспечивает оптимальную упаковку молекул на плоских поверхностях, поскольку критический параметр упаковки таких ПАВ близок к 1. Правильная упаковка ПАВ в адсорбционном слое необходима для эффективной реализации поперечных сшивок.

Рис. 9. Модифицирование поверхности твердого тела с использованием ПАВ, полимеризующихся при облучении ультрафиолетом
Экспериментально доказано, что ПАВ с двумя способными к полимеризации группами надежнее обеспечивают долгосрочную гидрофилизацию твердой поверхности, чем ПАВ с одной реакционноспособной группой. Причина в том, что ПАВ первого типа образуют поперечно-сшитую сетку большей молекулярной массы. Такой слой становится полностью нерастворимым в воде и необратимо закрепленным на поверхности.
Поверхность пленок красок и лаков также можно модифицировать за счет миграции растворенных ПАВ к поверхности пленка - воздух в процессах сушки и отверждения. Этот принцип иллюстрирует рис. 9 для ПАВ, полимеризующихся при УФ-облучении.
Поверхностный слой фторуглерода можно получить при растворении в лаках небольшого количества способного к полимеризации фторированного ПАВ и образовании поперечно-сшитого монослоя ПАВ на поверхности пленки. На рис. 10, а показаны два фторированных ПАВ, которые были использованы в экспериментах; ПАВ способно к полимеризации, а ПАВ — нет.
Поверхностно-активные вещества вводили в поли лак. ПММА более полярен, чем неполярные части молекул ПАВ, поэтому молекулы ПАВ ориентируются на поверхности пленка-воздух полярными группами в лак, а неполярные фторированные группы выталкиваются в сторону воздуха. По данным рентгеноэлектронной спектроскопии, на поверхности формируется плотный фторуглеродный слой. После отверждения пленки промывали растворителем. Измерения краевых углов показали, что, если в лак вводили метакрилатное ПАВ, поверхности были гидрофобными и сохраняли высокую гидрофобность в течение длительного времени. Неполимеризующиеся ПАВ вымывались растворителем, что приводило к уменьшению гидрофобности поверхности. Введение в лаки предварительно полученного полимера того же типа также приводило к существенному возрастанию краевого угла и к долговременной гидрофобности поверхности.

Рис. 10. Модифицирование поверхности пленки лака путем миграции ПАВ к поверхности пленка-воздух, инициируемой ультрафиолетовым облучением



Рис. 11. Модифицирование пленки метилметакрилатного лака с помощью фторированных ПАВ с близкими структурами: а — использованы: реакционноспособное ПАВ, содержащее метакрилатные группы; неполимеризующееся ПАВ; поверхностно-активный полимер. б — Результаты измерения краевых углов для всех трех систем
Миграция поверхностно-активного полимера к поверхности происходит очень медленно, поэтому потребовалось несколько дней для достижения равновесного поверхностного состава.
Гомополимеризация реакционноспособных ПАВ в организованных структурах, например в мицеллах, жидких кристаллах, привлекла внимание как способ «замораживания» структур для получения наноразмерных материалов различных типов. Однако попытки полимеризовать мицеллы не были успешными. Как в случае сферических, так и стержнеобразных мицелл агрегаты, которые получались в результате полимеризации, оказались намного больше по размеру, чем исходные структуры. Что касается жидких кристаллов и, особенно, везикул, результаты оказались многообещающими. Устойчивые везикулы, представляющие интерес для направленной доставки лекарственных веществ, были получены в процессе свободнорадикальной полимеризации исходных везикул. Такие везикулы не обязательно должны состоять только из способных к полимеризации ПАВ. Введение небольшого количества реакционноспособных молекул в фосфолипидные везикулы позволяет значительно повысить их устойчивость.
Несмотря на то, что много фундаментальных исследований посвящено гомо-полимеризации в растворах ПАВ, промышленный интерес к ним определяется возможностями их применения. В этих случаях ПАВ используются обычным образом, т. е. в качестве небольших добавок, в количестве нескольких процентов или еще меньше. Для подобных систем способные к полимеризации ПАВ в будущем получат еще большее распространение.
2. Специальные поверхностно-активные вещества для экстремального снижения поверхностного натяжения
В большинстве случаев гидрофобные части молекул ПАВ представлены углеводородными цепями. При соответствующем выборе полярной группы минимальное поверхностное натяжение, которое можно достичь с помощью этих ПАВ, составляет 26-28 мН/м, что обычно достаточно для большинства практических целей. Но в некоторых случаях требуется, чтобы поверхностное натяжение водных растворов было ниже указанных величин. Например, к таким случаям относится растекание водных пен по поверхности горящих масел или растекание водных композиций по поверхностям полиолефинов.
Для достижения максимального снижения поверхностного натяжения используются два типа ПАВ: силиконовые ПАВ и фторированные ПАВ. В молекулах первых неполярные группы представлены полидиметилсилоксаном, а вторых — остатками фторуглеродов или комбинацией фторуглеродных и углеводородных остатков. Силиконовые ПАВ относятся к высокомолекулярным веществам.
Фторированные ПАВ имеют следующую общую структуру:
CF3
-w
-X
или
CF3
-w
-m
-X
где X — полярная заряженная или незаряженная группа. Как правило, фторугле-родная цепь в молекулах ПАВ не очень длинная, обычнозлежит в интервале 5-9. Распространены фторированные карбоксилаты. Вследствие индуктивного эффекта, вызываемого электроотрицательными атомами фтора, такие соединения являются сильными кислотами и относительно нечувствительны к низким рН и жесткой воде. В промышленном масштабе производятся также перфорированные блок-сополимеры, аналогичные блок-сополимерам ЭО-ПО.
Фторированные ПАВ широко применяются в тех случаях, когда смачивание и растекание водных растворов затруднено. Другая известная область применения фторированных ПАВ — обработка поверхностей бумаги и тканей, чтобы сделать их одновременно гидрофобными и липофобными. Такие ПАВ, как и силиконовые ПАВ, поверхностно-активны в органических средах, поэтому используются в красках и других неводных композициях. Главный недостаток фторированных ПАВ, наряду с их высокой ценой, — низкая биоразлагаемость.
|