Министерство образования Российской Федерации
Тульский государственный университет
Региональный центр повышения квалификации
Кафедра «Финансы и менеджмент»
Контрольно-курсовая работа по дисциплине
«Цены и ценообразование»
Тула 2008
1. Система цен
В зависимости от экономических признаков все цены в переходный период классифицируются по видам и разновидностям. Важнейшим признаком классификации цен является их дифференциация в зависимости от обслуживаемой ими сферы товарного обращения
. По этому признаку цены подразделяются на следующие виды:
Þоптовые цены на продукцию промышленности;
Þцены на строительную продукцию;
Þзакупочные цены;
Þтарифы грузового и пассажирского транспорта;
Þрозничные цены;
Þтарифы на платные услуги населению;
Þцены, обслуживающие внешнеторговый оборот.
Оптовые цены на продукцию промышленности – цены, по которым реализуется и закупается продукция предприятий, фирм и организаций независимо от форм собственности в порядке оптового оборота.
Продукция продается и покупается оптовыми партиями. В этом принципиальное отличие оптовых цен в условиях перехода к рыночным отношениям.
В свою очередь оптовые цены на продукцию промышленности подразделяются на два подвида: свободные отпускные цены (оптовые цены предприятия) и цены оптовой закупки (оптовые цены промышленности).
Свободные отпускные цены (оптовые цены предприятия)
– цены изготовителей продукции, по которым они реализуют произведенную продукцию потребителям – другим предприятиям и организациям.
Реализуя свою продукцию, предприятия или фирмы должны возместить свои издержки производства и реализации и получить такую прибыль, которая позволила бы им функционировать в условиях рынка (рисунок 1).
 |
|
|
|
|
|
Налог на
добавленную стоимость
|
|
 |
Рисунок 1. – Состав свободной отпускной цены
На основе свободных отпускных цен производятся планирование, анализ и расчет стоимостных показателей работы предприятия (фирмы).
Цены оптовой закупки (оптовые цены промышленности)
– цены, по которым предприятия и организации-потребители оплачивают продукцию предприятиям-производителям или сбытовым (оптовым) организациям
(рисунок 2).
Оптово-сбытовая скидка (оптовая надбавка) возмещает издержки обращения снабженческо-сбытовых или оптовых организаций и образует их прибыль.
Забиваем Сайты В ТОП КУВАЛДОЙ - Уникальные возможности от SeoHammer
Каждая ссылка анализируется по трем пакетам оценки: SEO, Трафик и SMM.
SeoHammer делает продвижение сайта прозрачным и простым занятием.
Ссылки, вечные ссылки, статьи, упоминания, пресс-релизы - используйте по максимуму потенциал SeoHammer для продвижения вашего сайта.
Что умеет делать SeoHammer
— Продвижение в один клик, интеллектуальный подбор запросов, покупка самых лучших ссылок с высокой степенью качества у лучших бирж ссылок.
— Регулярная проверка качества ссылок по более чем 100 показателям и ежедневный пересчет показателей качества проекта.
— Все известные форматы ссылок: арендные ссылки, вечные ссылки, публикации (упоминания, мнения, отзывы, статьи, пресс-релизы).
— SeoHammer покажет, где рост или падение, а также запросы, на которые нужно обратить внимание.
SeoHammer еще предоставляет технологию Буст, она ускоряет продвижение в десятки раз,
а первые результаты появляются уже в течение первых 7 дней.
Зарегистрироваться и Начать продвижение
Розничные цены
– цены, по которым товары реализуются в розничной торговой сети населению, предприятиям и организациям
; они, как правило, выбывают из сферы обращения и потребляются в домашнем хозяйстве или в производстве. Состав розничной цены показан на рисунке 3.
Рисунок 2. – Состав оптовой цены промышленности (цены оптовой закупки)
Рисунок 3. – Состав розничной цены
Включенный в розничную ценуакциз
– это косвенный налог на потребителя, включаемый в цену товара. Перечень товаров, облагаемых акцизом, строго ограничен действующим законодательством. В этот перечень включены главным образом престижные товары и предметы роскоши, а также легковые автомобили, алкогольные напитки и некоторые другие товары.
Налог на добавленную стоимость, являясь также косвенным налогом, оплачивается конечным потребителем. По отдельным группам товаров (основные продукты питания, медикаменты, товары детского ассортимента и некоторые другие) установлены льготные ставки НДС.
Торговая надбавка (скидка) возмещает издержки обращения торговых организаций и образует их прибыль.
Задача 1
Определить свободную отпускную (оптовую цену предприятия), цену закупки (оптовую цену промышленности) и розничную цену изделия при следующих исходных данных:
1. Затраты:
· сырье и основные материалы – 18 руб.
· вспомогательные материалы – 2 руб. 50 коп.
· топливо и электроэнергия на технологические цели – 50 коп.
· заработная плата производственных рабочих – 16 руб.
· начисления на заработную плату – 37% от заработной платы производственных рабочих
· расходы по содержанию и эксплуатации оборудования – 50% к заработной плате производственных рабочих
· цеховые расходы – 20% к заработной плате производственных рабочих
· общезаводские расходы – 80% к заработной плате производственных рабочих
· внепроизводственные расходы – 0,5% к производственной себестоимости
· транспортные расходы – 15% к производственной себестоимости
2. Рентабельность – 20% к полной (коммерческой) себестоимости.
3. НДС – 15% к свободной отпускной цене (без НДС).
4. Акциз – 40% к свободной отпускной цене (без НДС)
5. Оптовая надбавка (наценка сбытовых организаций) – 3 руб. 80 коп.
6. Торговая надбавка – 4 руб. 75 коп.
Решение:
1.Определяем себестоимость изделия:
Таблица 1. – Калькуляция себестоимости изделия
| Статьи затрат
|
Сумма, руб. коп.
|
| 1 |
2 |
| сырье и основные материалы |
18.00 |
| вспомогательные материалы |
2.50 |
| топливо и электроэнергия на технологические цели |
0.50 |
| заработная плата производственных рабочих |
16.00 |
| начисления на заработную плату |
16.00*0,37=5.92 |
| расходы по содержанию и эксплуатации оборудования |
16.00*0,50=8.00 |
| общезаводские расходы |
16.00*0,80=12.8 |
| Итого производственная себестоимость |
63.72 |
| внепроизводственные расходы |
63.72*0,005=0.32 |
| транспортные расходы |
63.72*0,15=9.56 |
| Итого полная (коммерческая) себестоимость |
73.6 |
2.Определяем прибыль в цене: 73 руб. 60 коп. * 0,20 = 14 руб. 72 коп.
3.Определяем свободную отпускную цену (без НДС):
73 руб. 60 коп. + 14 руб. 72 коп. = 88 руб. 32 коп.
Сервис онлайн-записи на собственном Telegram-боте
Попробуйте сервис онлайн-записи VisitTime на основе вашего собственного Telegram-бота:
— Разгрузит мастера, специалиста или компанию;
— Позволит гибко управлять расписанием и загрузкой;
— Разошлет оповещения о новых услугах или акциях;
— Позволит принять оплату на карту/кошелек/счет;
— Позволит записываться на групповые и персональные посещения;
— Поможет получить от клиента отзывы о визите к вам;
— Включает в себя сервис чаевых.
Для новых пользователей первый месяц бесплатно.
Зарегистрироваться в сервисе
4.Определяем НДС: 88 руб. 32 коп. * 0,15 = 13 руб. 25 коп.
5.Определяем свободную отпускную цену (с учетом НДС):
88 руб. 32 коп. + 13 руб. 25 коп. = 101 руб. 57 коп.
6.Определяем акциз: 88 руб. 32 коп. * 0,4 = 35 руб. 33 коп.
7.Определяем оптовую надбавку: 101 руб. 57 коп.*0.37= 3 руб. 80 коп.
8.Определяем цену оптовой закупки (оптовую цену промышленности): 101 руб. 57 коп. + 35 руб. 33 коп. +3 руб. 80 коп. = 140 руб. 70 коп.
9.Определяем торговую надбавку: 115 руб. 96 коп. * 0,25 = 28 руб. 99 коп.
10. Определяем розничную цену: 162 руб. 34 коп. + 28 руб. 99 коп. = 140 руб. 70 коп.
2. Ценообразование на стандартную продукцию
Одной из проблем ценообразования является установление цен на стандартную продукцию, которая регулярно реализуется покупателям в процессе хозяйственной деятельности предприятия.
В ценообразовании на стандартную продукцию ключевым является признание того, что продажная цена должна быть достаточной, чтобы возместить все затраты (постоянные и переменные) на производство, управление и реализацию продукции, а также обеспечить приемлемую прибыль на инвестиции.
Можно выделить два основных этапа ценообразования на предприятии:
– определение базовой цены, т.е. цены без скидок, наценок, транспортных, страховых, сервисных компонентов и др.;
– определение цены с учетом вышеуказанных компонентов, скидок, наценок и др.
Существует пять основных методов определения базовой цены, которые можно использовать изолированно либо в различных комбинациях друг с другом.
1. Метод полных издержек;
2. Метод стоимости изготовления (переработки);
3. Метод маргинальных (предельных) издержек;
4. Метод рентабельности (доходности) инвестиций;
5. Семейство методов маркетинговых или рыночных оценок.
Метод полных издержек
состоит в том, что к полной сумме затрат (постоянных и переменных) добавляют определенную сумму, соответствующую норме прибыли.
Несмотря на то, что этот метод ценообразования называется «затраты плюс надбавка», часть затрат скрыта в надбавке. Скрытыми являются те затраты, которые связаны с процессом реализации и управления. Некоторые предприятия выделяют эти затраты отдельно и добавляют их к базовым затратам на производство, затем прибавляя сумму надбавки в части только ожидаемой прибыли от реализации продукции.
Задача 2
Предприятие устанавливает продажную цену на один из своих стандартных видов продукции, в которую были внесены незначительные изменения. Данные бухгалтерии о затратах на проектируемую продукцию приведены в табл. 2.
При установлении продажной цены предприятие предлагает применять надбавку к сумме затрат на производство, равную 50%.
Таблица 2. – Затраты по проектируемому продукту
Затраты
|
Сумма, руб.
|
| на единицу продукции
|
всего
|
Прямые материальные
Прямые на оплату труда
Переменные накладные
Постоянные накладные (на 10000 ед. продукта)
Переменные реализационные и административные
Постоянные реализационные и административные (на 10000 ед. продукта)
|
5.70
3.80
2.85
6.65
1.90
0.95
|
66500
9500
|
Решение
На первом этапе определяется сумма совокупных поглощенных затрат на производство единицы продукции (табл. 3).
Таблица 3. – Совокупные поглощенные затраты на производство
| Затраты
|
Сумма, руб.
|
Прямые материальные
Прямые на оплату труда
Накладные (2.85 руб. переменных затрат плюс 6.65 руб. постоянных затрат, что составляет 250% от прямых затрат на оплату труда)
|
5.70
3.80
9.50
|
| Общие поглощенные затраты на производство единицы продукции |
19.00 |
На втором этапе производится расчет цены единицы продукции (табл. 4).
Таблица 4. – Форма калькуляции цены продукта
| Затраты
|
Сумма, руб.
|
Прямые материальные
Прямые на оплату труда
Накладные (250% от прямых затрат на оплату труда)
|
5.70
3.80
9.50
|
| Итого затрат на производство |
19.00 |
| Надбавка (50% от суммы затрат на производство) |
9.50 |
| Устанавливаемая продажная цена |
28.50 |
На третьем этапе составляется отчет о финансовых результатах деятельности предприятия (табл. 5), позволяющий подтвердить или опровергнуть вывод о том, что установленная продажная цена обеспечивает возмещение производственных затрат и получение прогнозируемой прибыли.
Следует иметь в виду, что предприятие получит эту прибыль только в том случае, если оно не только произведет, но и продаст 10000 единиц своей продукции по цене 28.50 руб. за единицу.
Таблица 5. – Отчет о финансовых результатах деятельности предприятия
| Показатель
|
Сумма, руб.
|
Объем продаж (10000 ед. продукта по цене 28.50 руб. за каждую)
Себестоимость реализованной продукции (10000 ед. продукта по 19 руб. за каждую)
Валовая (балансовая) прибыль
Реализационные и административные расходы (на каждую из 10000 ед. продукта приходится 1.9 руб. переменных и 0.95 руб. постоянных расходов)
Чистая прибыль
|
285000
190000
95000
28500
66500
|
Преимуществом метода полных издержек можно назвать обеспечение полного покрытия всех затрат и получение планируемой прибыли.
К недостаткам следует отнести: игнорирование эластичности спроса; снижение конкурентных стимулов к минимизации издержек; невозможность установления цены до тех пор, пока не определена доля постоянных затрат в общей их сумме и не определен уровень спроса, а уровень спроса не может быть выявлен без установления цены.
Метод стоимости изготовления
заключается в том, что к полной сумме затрат на покупное сырье, материалы, комплектующие изделия, узлы, полуфабрикаты (в расчете на единицу продукции), добавляют сумму (процент, норму прибыли), соответствующую собственному вкладу предприятия в формирование стоимости изделия.
Задача 3
Воспользуемся данными о затратах из предыдущего примера. Рентабельность данного продукта к себестоимости за вычетом прямых материальных затрат составляет 45%.
Решение
На первом этапе определяется полная себестоимость единицы продукции (табл. 6).
На втором этапе определяется величина надбавки и цена единицы продукции (табл. 7).
Преимуществом данного метода является то, что он учитывает собственный вклад предприятия в наращивание стоимости товара, а недостатком-то, что он не применим для ценовых решений на длительную перспективу.
Метод стоимости изготовления применяется в специфических условиях и в особых случаях:
- при принятии решений о наращивании массы прибыли за счет наращивания объема производства;
- при принятии решений об отказе или продолжении конкурентной борьбы;
- при принятии решений об изменении ассортиментной структуры производства (определении наиболее и наименее рентабельных изделий, изменении структуры продаж);
- при принятии решений по одноразовым (индивидуальным, немассовым) заказам.
Таблица 6. – Калькуляция себестоимости единицы продукции
| Затраты
|
Сумма, руб.
|
Прямые материальные
Прямые на оплату труда
Переменные накладные
Постоянные накладные
Переменные реализационные и административные
Постоянные реализационные и административные
|
5.70
3.80
2.85
6.65
1.90
0.95
|
| Итого полная (коммерческая) себестоимость единицы продукции |
21.85 |
Таблица 7. – Форма калькуляции цены продукта
| Затраты
|
Сумма, руб.
|
Полная себестоимость
Прямые материальные
Себестоимость за вычетом прямых материальных затрат
Надбавка (45% от себестоимости за вычетом прямых материальных затрат)
|
21.85
5.70
16.15
7.27
|
| Итого продажная цена (полная себестоимость плюс надбавка) |
50.97 |
Данный метод не заменяет, а дополняет метод полных издержек.
Метод маргинальных издержек
состоит в том, что к переменным затратам на единицу продукции добавляется сумма (процент), покрывающая затраты и обеспечивающая достаточную норму прибыли. При определении затрат на единицу продукции используется метод переменных затрат, в соответствии с которым базовые затраты состоят исключительно из переменных затрат, а именно, переменных реализационных и административных затрат, а также переменных затрат на производство. При этом сумма надбавки, прибавляемая к базовым затратам, включает суммы постоянных затрат и ожидаемой прибыли в расчете на единицу продукции.
Задача 4
Используя исходные данные задачи 2 (за исключением надбавки к сумме затрат на производство), определите отпускную цену изделия методом маргинальных издержек, если предприятие предполагает применять надбавку к сумме переменных затрат – 100%. Составить финансовый отчет.
Решение
На первом этапе определяется сумма переменных затрат и производится расчет цены единицы продукции (табл. 8).
Таблица 8. – Форма калькуляции цены продукта
| Затраты
|
Сумма, руб.
|
Прямые материальные
Прямые на оплату труда
Переменные накладные
Переменные реализационные и административные
|
5.70
3.80
2.85
6.65
|
| Итого переменных затрат |
19 |
| Надбавка (100% от суммы переменных затрат) |
19 |
| Устанавливаемая продажная цена |
38 |
На втором этапе составляется отчет о финансовых результатах деятельности предприятия (табл. 9), позволяющий подтвердить или опровергнуть вывод о том, что установленная продажная цена обеспечивает возмещение произведенных затрат и получение прогнозируемой прибыли.
Таблица 9. – Отчет о финансовых результатах деятельности предприятия
| Показатель
|
Сумма, руб.
|
Объем продаж (10000 ед. продукта по цене 28.50 руб. за каждую)
Переменные затраты (10000 ед. продукта по цене 19 руб. за каждую)
Доход (в виде разницы между суммой выручки и переменными затратами)
Постоянные затраты:
– производственные
– реализационные и административные
Чистая прибыль
|
285000
190000
95000
66500
9500
66500
|
Метод рентабельности инвестиций
основан на том, что продукт должен обеспечивать рентабельности не ниже стоимости заемных средств. К суммарным затратам на единицу продукции добавляется сумма процентов за кредит.
Задача 5
Предприятие устанавливает цену на один из своих видов продукции. Прогнозируемый годовой объем производства – 38000 единиц; предполагаемые переменные затраты на единицу продукции – 28.5 руб.; общая сумма постоянных затрат – 760 тыс. руб. Изменения, вносимые в продукцию, потребуют дополнительного финансирования (кредита) в размере 0.95 млн. руб. Процентная ставка коммерческого банка – 50% годовых. Определите отпускную цену методом рентабельности инвестиций.
Решение
Таблица 10. – Форма калькуляции цены продукта
| Затраты
|
Сумма, руб.
|
Переменные затраты на единицу изделия
Постоянные затраты на единицу изделия
(760000 руб.: 38000 ед.)
|
28.50
20.00
|
| Суммарные затраты на единицу изделия |
48.50 |
| Желательная прибыль (950 000 руб. * 0.50: 38 000 ед.) |
12.50 |
| Устанавливаемая продажная цена (не ниже) |
60.00 |
Метод рентабельности инвестиций является единственным методом, учитывающим платность финансовых результатов, необходимых для производства и реализации продукта.
К семейству методов маркетинговых оценок
можно отнести следующие:
– метод оценки реакции покупателя (продавец старается выяснить цену, по которой покупатель определенно берет товар);
– метод сходной цены (цены ориентированы на повышение конкурентоспособности товара, а не на удовлетворение потребности предприятия в финансовых ресурсах для покрытия затрат);
– метод «предложения втемную» или тендерный метод (покупатели анонимно участвуют в конкурсе предложения (тендере); выигрывает тот, чья цена предложения обеспечивает продавцу максимальную прибыль).
В формуле «затраты плюс надбавка» надбавка является одним из основных элементов, так как отдельные элементы затрат скрыты в этой надбавке. Данная надбавка является функцией нескольких переменных, одна из которых – ожидаемая предприятием прибыль на инвестированный капитал (так называемый «ROI» – return on investment).
Показатель ROI используется для определения величины надбавки, если применяется метод полных издержек или метод маргинальных издержек.
В случае использования метода поглощенных затрат (частный случай метода полных издержек) формула определения надбавки (процентная надбавка) имеет следующий вид:
Задача 6
Предприятие предполагает, что для производства 100000 ед. продукции в год необходимы инвестиции (для закупки оборудования, приобретения производственных запасов) в сумме 3.80 – млн. руб. В целом бухгалтерия предприятия предполагает, что производство и реализация продукции будет характеризоваться следующими показателями: затраты на производство единицы продукции составят 57.0 руб.; реализационные и административные расходы – 1140.0 тыс. руб. Предприятие предполагает получить 30% прибыли на инвестированный капитал. Определить размер надбавки.
% надбавка = [(3800000*0.30+1140000)/(10000*57)] = 40
Исходя из этого уровня процентной надбавки будет установлена продажная цена единицы продукции (табл. 11).
Таблица 11. – Калькуляция цены продукции
| Показатель
|
Сумма, руб.
|
Затраты на производство
Надбавка (57 руб. * 40% / 100%)
|
57.0
22.8
|
| Устанавливаемая продажная цена |
70.8 |
Данная цена подлежит корректировке с учетом ситуации на рынке с этим товаром.
В доказательство того, что 70.8 руб. устанавливаемой продажной цены продукции позволит предприятию получить 30% прибыли на инвестированный капитал, приводится отчет о финансовых результатах деятельности предприятия (табл. 12).
Таблица 12. – Отчет о финансовых результатах деятельности предприятия
| Показатель
|
Сумма, руб.
|
Объем продаж (70.9 руб. * 100000 ед.)
Затраты на производство продукции (57 руб. * 100000 ед.)
|
7090000
5700000
|
| Валовая прибыль |
1390000 |
| Реализационные и административные затраты |
1140000 |
| Чистая прибыль |
250000 |
Прогнозируемая величина ROI (исходя из вложенного капитала 3.8 млн. руб.) может быть определена с помощью формулы Дюпона:
ROI = [(250000* 100%/7090000)*(7090000/3800000)] = 6% * 1.35 = 8.1%
3. Ценообразование на новую продукцию
Установление цены на новую продукцию представляет собой наиболее сложную проблему для ценообразования из-за наличия множества неопределенностей. В целях снижения уровня неопределенности предприятие должно производить маркетинговые испытания.
Новая продукция продается в пределах выбранных регионов по различным ценам для каждого региона. Поэтому предприятие собирает сведения о конкурентоспособности продукта, зависимостях между объемами и ценами, колебаниях потенциальной прибыли при различных продажных ценах и объемах продаж. После этого продажная цена устанавливается таким образом, чтобы получить максимальную прибыль или такую прибыль, которая наиболее полно отвечает долгосрочным перспективам деятельности предприятия.
Маркетинговые испытания позволяют получать необходимую информацию, которая помогает убедиться в том, что производство и сбыт продукции будут успешными.
При установлении цены на новую продукцию применяются две ценовые стратегии, известные как «снятие сливок» и «проникающее» ценообразование.
Стратегия «снятия сливок»
предусматривает установление высокой первоначальной цены на новую продукцию с ее прогрессивным снижением по прошествии времени, пока рынок продукции переходит из зарождающейся стадии в стадию зрелости.
Целью данной ценовой стратегии является максимизация краткосрочной прибыли.
Стратегия «проникающего» ценообразования
предполагает установления низкой первоначальной цены в целях достижения быстрого массового признания продукции на этапе зарождения его жизненного цикла.
Она допускает принесение в жертву определенных краткосрочных прибылей ради достижения более сильных долгосрочных позиций на рынке.
Какую стратегию примет предприятие, зависит от того, что оно в реальности пытается достичь.
Задача 7
Предприятие изучает возможность производства нового для него изделия. Цена на аналогичную продукцию на рынке сложилась на уровне 71.25 руб. Для производства изделия в количестве 100000 единиц в год необходимы инвестиции в сумме 2.85 млн. руб. Предприятие ожидает получить прибыль на вложенный капитал на уровне 25%. Постоянные накладные и постоянные реализационные и административные расходы, связанные с изделием, составят 1.140 млн. руб. Определите плановые затраты на производство данного изделия.
Решение
На основании этих данных плановые затраты на производство одного изделия составят (руб.):
прогнозируемый объем продаж (100 000 * 71.25) 7 125 000
ожидаемая надбавка (вычитается):
– реализационные и административные расходы 1 140 000
– предполагаемая сумма ROI
(25% от 2 850 000 млн. руб.) 712 500
плановые затраты на производство 100 000 изделий 5 272 500
плановые затраты на производство одного изделия
(5 272 500: 100 000) 52.725
Следовательно, предприятие сможет производить новое изделие, только если обеспечит затраты в сумме 52.725 руб. и меньше в расчете на одно изделие.
4. Ценообразование на продукцию, производимую
по специальному заказу
В области ценообразования иногда необходимо принимать решение в специальной или необычной ситуации, например, предприятие может получить крупный заказ на производство продукции при условии установления специальной разовой цены или предприятие может попытаться загрузить неиспользуемые мощности путем выпуска новой продукции. Считается, что в таких нестандартных ситуациях более оправданно применение метода переменных затрат, чем метода поглощенных затрат на производство, по двум причинам. Во-первых, метод переменных затрат позволяет получить более детальную информацию по сравнению с методом поглощенных затрат на производство. Структура этой информации позволяет также раскрыть взаимосвязи «затраты – объем – прибыль». Во-вторых, метод переменных затрат позволяет обеспечить предприятие более гибкой информацией, которая уже адаптирована к любой ценовой проблеме, без необходимости выполнения дополнительной аналитической работы с базой данных о затратах.
Задача 8
На предприятие обратились с предложением приобрести партию его товара в количестве 10000 единиц по цене 22.80 руб. за единицу. Затраты на изделие составляют: прямые материальные на единицу изделия –8.55 руб.; прямые на оплату труда на единицу продукции – 5.70 руб.; переменные накладные на единицу продукции – 4.75 руб.; постоянные накладные на 100000 единиц продукции – 950 тыс. руб.; переменные реализационные и административные на единицу продукции – 2.85 руб.; постоянные реализационные и административные на 100000 единиц продукции – 190 тыс. руб. Предприятие применяет надбавку к сумме переменных затрат в размере 80%. Определите возможность принятия такого заказа.
Решение
Для иллюстрации применения метода переменных затрат в специальных ситуациях в области ценообразования рассмотрим две формы калькуляции цены предприятия, выпускающего пылесосы (табл. 13, 14).
Таблица 13. – Калькуляция цены (метод поглощенных затрат на производство)
| Статья
|
Сумма, руб.
|
Прямые затраты на материалы
Прямые затраты на оплату труда
Накладные расходы (100% от прямых затрат на оплату труда)
|
22.80
5.70
5.70
|
| Итого затраты на производство |
34.20 |
| Надбавка – 80% |
27.36 |
| Устанавливаемая продажная цена |
61.56 |
Предприятие не смогло бы продать все изделия, которые оно производит, даже через оптовые фирмы.
Выясним, следует ли компании принять такое предложение.
Таблица 14. – Калькуляция цены (метод переменных затрат)
| Статья
|
Сумма, руб.
|
Прямые затраты на материалы
Прямые затраты на оплату труда
Переменные накладные расходы
Переменные реализационные и административные затраты
|
22.80
5.70
4.75
2.85
|
| Итого переменные затраты |
36.1 |
| Надбавка – 80% |
22.88 |
| Устанавливаемая продажная цена |
64.98 |
Форма калькуляции цены, подготовленная на основе метода поглощенных затрат на производство, мало поможет принятию решения. Если компания попытается сравнить нужную общую сумму затрат на производство 34.20 руб. с предлагаемой ценой 22.80 руб., то заказ будет явно экономически невыгодным:
– объем продаж (10000 ед. по цене 22.80 руб.) – 2 280 000 руб.
– поглощенные затраты на производство
(10000 ед. по цене 34.20 руб.) – 3 420 000 руб.
– чистые убытки от выполнения заказа – 140 000 руб.
В то же время, поскольку на предприятии имеются неиспользуемые мощности, руководство может согласиться на размещение заказа. Проблема заключается в том, что никто реально не знает исходя из указанной формулы калькуляции цены, какой из возможных вариантов действий является наиболее предпочтительным.
Форма калькуляции цены на основе метода переменных затрат позволяет получить необходимые для принятия обоснованного решения данные. Так как эта форма учитывает изменение затрат, то она позволит руководству принять правильное решение без проведения дополнительного анализа соотношения «затраты – объем – прибыль».
Таким образом, поскольку предприятие имеет неиспользуемые мощности, то она несет постоянные накладные расходы независимо от заказа зарубежного партнера. Любые денежные средства, полученные сверх суммы переменных затрат на единицу продукции будут способствовать росту общей рентабельности. Вместо того чтобы сопоставлять продажную цену единицы продукции с общей суммой затрат на производство в размере 34.20 руб., следует сравнить эту величину со стоимостью переменных затрат на единицу продукции. Это сделать просто, если калькуляция цены продукции составляется на основе метода переменных затрат. Переменные затраты на единицу продукции по предприятию составляли 36.1 руб. Проведем следующий анализ:
– объем продаж (10000 ед. по цене 22.80 руб.) – 2 280 000 руб.
– переменные затраты (10000 ед. по цене 36.1 руб.) – 3 610 000 руб.
– сумма разницы между выручкой и общими переменными затратами в соответствии с условиями заказа – 1 330 000 руб.
Калькуляция на основе метода переменных затрат позволяет увидеть краткосрочное преимущество принятия заказа дистрибьютора. Однако до принятия окончательного решения предприятие должно тщательно взвесить долгосрочные последствия принятия заказа, особенно в части перспектив сохранения позиций на зарубежном рынке. Принятие 22.8 руб. в качестве продажной цены должно быть предметом переговоров с зарубежными дилерами о возможностях получения прибыли в долгосрочной перспективе. Предприятие может почувствовать, что лучше забыть о 1 330 000 руб. прироста валового дохода в целях защиты своих будущих долгосрочных позиций на рынке.
Таким образом, метод переменных затрат позволяет получить базу данных, необходимую для принятия ценовых решений в специальных ситуациях, помогая руководству предприятия выделить те виды затрат, которые имеют отношение к специальным ценовым решениям и ориентируют его на принятие наиболее эффективных решений.
Метод ценообразования на основе переменных затрат в общей форме представлен в табл. 15.
Метод переменных затрат позволяет получить верхний и нижний пределы продажной цены.
Таблица 15. – Ценообразование методом переменных затрат (общая модель)
Переменные затраты:
– прямые затраты на материалы 8.55
– прямые затраты на оплату труда 5.70
– переменные накладные расходы 4.75
– переменные реализационные и
административные расходы 2.85
|
Итого переменные затраты 21.85 «пол» (нижний)
Надбавка (покрытие постоянных затрат и
получение ожидаемой прибыли) 17.48
|
| Устанавливаемая продажная цена29.33 «потолок» (верхний) |
Верхним пределом является цена, которую предприятие желает получить и в действительности должно получить по основному объему продаж за длительное время. Однако пример показывает, что в определенных пределах предприятие может снижать цену до такого низкого предела, который позволяет возместить сумму понесенных переменных затрат.
5. Формирование цены на конкурентном рынке
Цены подвергаются изменениям на рынке под воздействием спроса и предложения.
Спрос
можно определить как желание и возможность потребителя купить товар или услугу в определенное время и в определенном месте.
Цена спроса
есть цена, которую готов уплатить покупатель при некотором значении спроса на данный товар.
Законом изменения спроса в зависимости от цены
на рынке свободной конкуренции признается, что при неизменности всех прочих условий снижение цены ведет к возрастанию спроса. И наоборот, повышение цены уменьшает спрос.
Эту зависимость принято отображать в виде графика (рисунок 5) и обозначать через D
(от англ. dimension – измерение, размеры, величина).

Рисунок 5. – Кривая спроса
На практике часто бывает достаточно использовать линейные зависимости типа:
или ,
где - спрос в натуральных единицах;
- цена спроса;
- постоянные коэффициенты, которые находятся эмпирическим путем.
В этом случае график спроса изображается отрезком прямой (рисунок 6).

Рисунок 6. – Линейный график спроса
Предложение
– это то количество товаров (услуг), которое продавцы готовы предложить покупателю в определенное время и в конкретном месте.
Цена предложения
есть цена, по которой продавец готов продать товар при соответствующем объеме предложения данного товара, или продавцы при данной цене товара готовы его поставить на рынок в некотором количестве (объеме).
Законом изменения рыночного предложения в зависимости от цены
считается возрастание рыночного предложения при повышении цены и его уменьшении при снижении цены на данный товар, если прочие условия остаются без изменений.
Типичный график зависимости предложения от цены представлен на рисунке 7. Принято обозначать его через S
(от англ. supply– предложение, поставка).
График предложения на практике бывает удобно и достаточно для принятия решения представить в виде линейной зависимости:
или ,
где - предложение товара на рынке в натуральном выражении;
– цена предложения этого товара;
– постоянные коэффициенты, которые находятся по эмпирическим данным.
Тогда график предложения будет представлен в виде отрезка прямой (рисунок 8).

Рисунок 7. – Кривая предложения

Рисунок 8. – Линейный график предложения
Рыночная цена
в условиях свободной конкуренции устанавливается вследствие равновесия спроса и предложения.
Графически это отображается путем совмещения обоих графиков спроса и предложения (рисунок 9).

Рисунок 9. – График равновесия цены спроса и цены предложения
Единственной уравновешивающей ценой, т.е. единственной ценой, которая может сохраняться, потому что она удовлетворяет интересам покупателей и продавцов, является такая цена, при которой сумма предложения и сумма спроса равны друг другу
. Конкурентное равновесие всегда находится в точке пересечения графиков спроса и предложения (точка Е
), которая поэтому называется точкой равновесия.
График равновесия цены спроса и предложения в линейных функциях дает более удобную интерпретацию цены равновесия в практическом применении (рисунок 10).
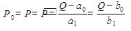
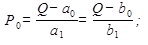
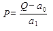
В таком случае практическое нахождение рыночной цены равновесия становится достаточно простым делом, если известны линейная функция спроса и линейная функция предложения. Рыночная цена равновесия находится путем приравнивания уравнений:
или 
где Р0
– рыночная цена равновесия цене спроса и цене предложения одновременно.

Рисунок 10. – График равновесия цены спроса и цены предложения в линейных функциях
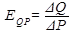
В условиях рынка динамика спроса и предложения обусловлена воздействием большого количества факторов. Для того чтобы количественно измерить чувствительность спроса и предложения к изменению этих факторов, используется понятие эластичности.
Эластичность
– это мера реагирования одной переменной на изменение другой, или число, которое показывает процентное изменение одной переменной в результате 1%-ного изменения другой переменной.
Особую важность представляет эластичность спроса от цены, или ценовая эластичность. Эластичность показывает, в какой степени изменение цены влияет на величину спроса.
Ценовая эластичность спроса определяет чувствительность покупателей к изменению цен с точки зрения количества товаров, которые они приобретают.
Степень ценовой эластичности измеряют при помощи коэффициента эластичности по формуле:
или 
где через обозначается положительное или отрицательное изменение соответственно Q
(величины спроса или предложения) и Р
(цены товара).
Если небольшие изменения цены приводят к значительным изменениям количества приобретаемой продукции, то спрос эластичен
. В этом случае коэффициент эластичности спроса от цены больше единицы
( > 1
).
Если изменения цены сопровождаются незначительным изменением объема продаж, то спрос неэластичен. При неэластичном спросе
коэффициент эластичности меньше единицы ( < 1
).
Наряду с эластичным и неэластичным спросом может быть специфический случай (так называемая единичная эластичность
), когда процентное изменение цены сопровождается точно таким же (процентным) изменением количества проданных товаров. В результате общая выручка остается неизменной ( = 1
).
Различают положительные и отрицательные эластичности.
Положительные эластичности
отражают одинаково направленные изменения взаимосвязанных величин: обе возрастают или уменьшаются.
Отрицательные эластичности
характеризуют разную направленность изменения величин: одна возрастает, другая уменьшается.
Эластичность спроса в зависимости от изменения цены обычно является отрицательной величиной.
Эластичность предложения в зависимости от изменения цены, как правило, представляет собой положительную величину.
Задача 9
Определить эластичность спроса и эластичность предложения по цене, а также общую выручку и расходы покупателя, если известны следующие данные:
Таблица 16. – Исходные данные
№
пп
|
Величина спроса,
шт.
|
Величина предложения,
шт.
|
Цена на единицу продукции, руб.
|
| 1 |
18 |
44 |
100 |
| 2 |
26 |
38 |
80 |
| 3 |
36 |
28 |
70 |
На основе данных таблицы построить графики спроса и предложения. Определить равновесную цену.
Решение:
1. Эластичность спроса от цены определяется по формуле , где - спрос; - цена; – обозначает приращение, положительное или отрицательное изменение соответственно или .
[(26–18)/18*100/(80–100)] = – 0.6
[(36–26)/26*80/(70–80)] = – 3.08
2. Эластичность предложения от цены определяется по формуле , где - предложение; - цена; – обозначает приращение, положительное или отрицательное изменение соответственно или .
[(38–44)/38 * 100/(80–100)] = 0.75
[(28–38)/28 * 80/(70–80)] = 2.8
Таблица 17. – Определение
эластичности
№
пп
|
Величина спроса,
шт.
|
Величина предложения,
шт.
|
Цена на единицу продукции, руб.
|
Эластичность
спроса
|
Эластичность предложения
|
| 1 |
18 |
44 |
100 |
- |
- |
| 2 |
26 |
38 |
80 |
– 0.6 |
0.75 |
| 3 |
36 |
28 |
70 |
– 3.08 |
2.8 |
3. Общая выручка и расходы покупателя:
100*18+80*26+70*36 = 6 400 руб.
4. Равновесная цена:

Если зафиксированы два значения соответствующих друг другу цены и величины спроса (предложения) товара, т.е. две точки графика спроса (предложения), то линейное уравнение спроса (предложения) можно определить методом нахождения уравнения прямой по двум точкам.




 
 
Т.о., равновесная цена составит 77,28 руб.
5. Линейные графики спроса и предложения представлены на рисунке 11. В соответствии с графиками равновесная цена составит 77 руб.
          
Спрос, предложение
Рисунок 11. – Линейные графики спроса и предложения
На основе табличного метода можно построить более точные графики спроса и предложения и определить равновесную цену (рисунок 12).
              Спрос, предложение
Рисунок 12. – Фактические графики спроса и предложения
Таким образом, равновесная цена составит 77 руб.
6. Контрактные цены
Цена может быть сразу же зафиксирована в контракте. Ее последующие изменения допускаются лишь при наличии определенных причин (условий). Для этого существуют правовые возможности, которые заносятся в контракт в виде оговорок.
Оговорка о возможности повышения или снижения расходов
.
Оговорки о возможности повышения или снижения расходов принимаются, как правило, в тех случаях, когда на цену оказывают большое влияние один или несколько факторов издержек (например, сырье или заработная плата) и путем повышения этих расходов продавец хочет перенести риск на покупателя.
В этом случае важно определить долю данного фактора в определении цены и базу для расчета происшедших изменений. Таким показателем может стать уровень издержек на день заключения сделки или какой-то другой день.
Задача 10
Определить продажную цену товара на день поставки, если известны следующие данные:
Þпродажная цена на день подписания договора поставки, руб. – 787
Þзаработная плата на день подписания договора поставки, руб. – 236,1
Þзаработная плата на день поставки товара, руб. – 157,4
Þстоимость сырья и материалов на день подписания договора поставки, руб. – 248,8
Þстоимость сырья и материалов на день поставки товара, руб. – 184,1
Þдоля заработной платы в структуре цены, % – 30
Þдоля сырья и материалов в структуре цены, % – 20
Решение
При определении цены изделия наиболее существенными факторами, влияющими на величину затрат, являются заработная плата (почти 30% цены изделия) и определенный сорт стали (до 20% цены). Соответствующая оговорка об изменении цены приобретает вид:

где Ц
– продажная цена на день поставки;
Ц0
– продажная цена на день подписания контракта;
З
– заработная плата на день поставки;
З0
-
заработная плата на день подписания контракта;
С
– стоимость сырья на день поставки;
С0
-
стоимость сырья на день подписания контракта.
При условии, что за время, прошедшее с момента подписания контракта до поставки изделия, зарплата уменьшается с 236,1 руб. до 157,4 руб., а стоимость этого сорта стали – с 248,8 до 184,1 руб., цена изделия понижается на 33% (при том условии, что базисная продажная цена изделия на день подписания контракта составляла 787 руб.)
руб.
Библиографический список
1. Абрютина М.С. Ценообразование – М.: Дело и сервис, 2005. – 256 с.
2. Основы анализа финансовой, хозяйственной и инвестиционной деятельности предприятия: Ч.I. Экономико-правовой бюллетень / Автор и составитель А.Е. Абрамов. – М.: АКДИ «Экономика и жизнь», 2004. – 98 с.
3. Ценообразование: Учеб. пособие для вузов / Всерос. заоч. фин.-экон. ин‑т; И.К. Салимжанов, О.В. Пототугалова, Т.И. Рощина и др.; Под ред. И.К. Салимжанова. – 2-е изд., доп. – М.: АО «Финстатинформ», 2006. – 158 с.
4. Ценообразование. Под ред. И.К. Салимжанова. – М.: Финстатинформ, 2006. – 159 с.
5. Цены и ценообразование: Учеб. пособие / Ф.М. Шелопаев, А.И. Суслова. – Тула: Тул. гос. ун-т, 2007. – 120 с.
6. Цены и ценообразование Учебник для вузов / Чудаков А.Д. – М.: Изд-во РДЛ, 2003. – 376 с.
7. Чубаков Г.Н. Стратегия ценообразования в маркетинговой политике предприятия. – М.: Инфра‑М, 2006. – 224 с.
|