ПЛАН
Вступление
1.Моделирование в логистике
2. Анализ ABC-XYZ в управлении материальными запасами
Практическое задание №1
Практическое задание№ 2
Использованая литература
Вступление
Логистика - наука о планировании, контроле и управлении транспортированием, складированием и др. материальными и нематериальными операциями, совершаемыми в процессе доведения сырья и материалов до промышленных предприятий; внутризаводской переработки сырья, материалов, полуфабрикатов; доведения готовой продукции до потребителя в соответствии е его требованиями, а также передачи, обработки и хранения соответствующей информации.
Логистика (от греч. - искусство рассуждения, после - искусство снабжения армии и ее перемещение, математическая логистика).
Глобальная цель логистики - сокращение цикла, уменьшение запасов.
На стадии производства - за счет синхронизации процессов; за счет определения потребности в материальных ресурсах; что требуется? когда? сколько?; за счет саморегулирования (пр-во идет в соответствии со спросом на ту или иную продукцию).
Основная задача логистики - использование материалов, энергии, информации, персонала и средств производства. Предоставить потребителю продукцию в заданное время заданного качества в заданное место и за определенную цену.
1. Моделирование в логистике
Моделирование, как целенаправленное представление анализируемого реального или гипотетического бизнес-процесса, служит в управлении, прежде всего, двум целям.
Во-первых, это сохранение знаний о структуре, законах функционирования и управления организации в формальном виде (структурное моделирование).
Во-вторых, наполнение модели реальными данными и проведение компьютерной симуляции (имитации реального поведения объекта за отрезок времени) позволяет получить фактографическую основу для принятия решений.
Проведение имитационного моделирования, низвергающего постулат о “невозможности эксперимента в экономике”, стало возможным благодаря развитию возможностей вычислительной техники, изучению процессов принятия решения человеком, и развитию дисциплины реинжиниринга.
Особенности моделирования в логистике определяются содержанием самой логистической концепции. Логистика предполагает системный подход к интегрированному и динамическому управлению материальными, финансовыми, информационными потоками в организации, сквозь функциональные границы подразделений. Это во многом перекликается с принципами системной динамики и понятием о бизнес-процессах. Поведение организации, в терминах системной динамики, определяется ее информационно-логической структурой как системы, представляется в терминах потоков, а не функций, рассматривается в развитии и динамике.
Реклама
Бизнес-процесс может быть определен как целенаправленно преобразуемый и управляемый поток ресурсов.
Таким образом в поисках ответов на вопросы: как формируются затраты и доходы по логистической цепи, каковы ее критические параметры, факторы развития, узкие места и возможности, в чем причины возникшей проблемы, каковы будут результаты планируемых решений – менеджеру логистики помогает компьютерное моделирование бизнес-процессов.
Управление в логистике характеризуется учетом большого числа параметров, функциональных и корреляционных зависимостей, влияния стохастических факторов. Все они анализируются при построении модели, но не все включаются в нее.
Для принятия решения, модель должна отражать сущность проблемы, давая обоснование, по словам А. Эйнштейна, “…по возможности очень простое, но не проще”. Полное отражение всех реальных зависимостей в модели невозможно или экономически неоправданно.
Как сказал основатель подхода тотального качества Э. Деминг: “Все модели неправильны, но некоторые модели полезны”. Полезными модели становятся тогда, когда при их построении выполняются на практике несколько методических правил.
Первое - моделирование должно быть групповой работой. Это подразумевает не только формирование рабочей группы специалистов разного профиля, но и широкое вовлечение в сбор данных, оценку, тестирование, внесение предложений по модели менеджеров разного уровня и разных подразделений компании. Так достигается и работоспособность модели, и обучение персонала.
Второе - моделирование должно тщательно документироваться. Хорошей модели не повредит немного бюрократии. Все варианты, персонализированные предложения, получаемые в результате выполнения первого правила должны быть зафиксированы. По результатам моделирования издаются нормативные, плановые документы, должностные инструкции и т.д.
Третье – моделирование - постоянный процесс. Структурные и имитационные модели служат средством обоснования решений, разработки сценариев, обучения и коммуникации персонала. Изменение постановки задачи, влияния внешних факторов, появления новых знаний могут требовать корректировки параметров модели.
Реклама
Еще одним практическим моментом является выбор моделирования бизнес-процесса в состоянии “Как есть” или “Как должно быть”. Как правило, в методической поддержке коммерческих аналитических пакетов даются общие рекомендации по этому вопросу. Особенностью реинжиниринга можно считать третью, в общем-то, спорную, форму моделирования – “Как будет”.
Моделирование заставляет менеджеров более точно и полно формулировать описание причин возникновения проблем, возможные результаты изменений, которые они интуитивно чувствуют. В процессе формального построения модели вскрываются внутренние противоречия и сомнения в этих представлениях у разных менеджеров. Групповое построение модели требует достижения консенсуса, а распространение модели бизнес-процесса по логистической цепи улучшает коммуникацию, понимание интересов и роли других подразделений. Таким образом, улучшается столь важное в логистике взаимодействие. Модель становится средством коллективного корпоративного психоанализа. Типология моделей в логистике производна от понятия "логистическая система", которое, как известно, в силу своей громадной концептуальной емкости и многообразия промежуточных форм существования в реальной практике окончательно не установлено. Аморфное представление о сущности и нюансах логистической деятельности не способствует созданию эффективного методологического инструментария в виде модельного ряда, учитывающего специфику и фазы существования объекта логистизации. С другой стороны, неразвитость аппарата моделирования в логистике тормозит развитие ее как науки.
Приходится заимствовать из других областей знаний (системология, исследование операций, теория управления запасами и др.) различные методы и способы моделирования, но этот путь требует глубокого критического анализа имеющегося спектра моделей, переосмысления их потенциальных возможностей и органических недостатков с точки зрения логистики. В противном случае возникают серьезные трудности, а порой и недоразумения как при выборе способа моделирования, так и при объяснении существа моделируемых логистических процессов. Любой специалист в области моделирования без особого труда найдет во множестве представленных в литературе по логистике моделей немало фактов, когда результаты моделирования родственных объектов невозможно сопоставить между собой даже по шкале порядка: структурные модели выдаются за функциональные, статические за динамические, концептуальные за информационные и даже за аналитические и т.п.
Чтобы установить ассортиментный ряд моделей, который удовлетворял хотя бы скромным запросам исследователей и практиков в области логистики и помогал сократить время на поиск "нужных" моделей, целесообразно обратить более пристальное внимание на известные классификации в теории моделирования сложных физических, экономических и информационных систем. При таком подходе, по характеру фиксации состояния системы следует различать:
- ситуационное моделирование, при котором для получения прогноза вектора состояний системы Z(T) оценивается изменение состояний z(t) є Z за время Т. По этому признаку к ситуационным можно отнести модели, применяемые для оценки динамики работы службы закупок, интенсивности и мощности каналов товародвижения в распределительной сети, состояния дел по управлению производственными и товарными запасами и т.д.;
- бехивиоральное моделирование, определяющее выходные статистические характеристики y(t) єY на интервале времени [0, Т]. Отсюда бехивиоральными моделями следует считать те, которые дают статистическую оценку степени устойчивости, надежности и адаптивности системы на определенном временном отрезке. К моделям подобного рода можно отнести модели, построенные на основе теории массового обслуживания, поскольку в них используются статистические распределения интервалов между различными логистическими операциями. С их помощью можно оценить уровень функциональности логистической системы по отношению к ранее достигнутому уровню или к соответствующему стандарту в виде среднего времени выполнения и задержки заказа в системе, вероятности его потери и т.п.
В зависимости от формы модельного представления объекта логистизации модельный ряд далее можно разбить на два основных вида: физическое (материальное) и абстрактное моделирование.
Физические модели
в общем случае разделяются на натурные и макетные. Понятно, что натурные модели способны лучше других обеспечить адекватное отражение действительности. Вместе с тем проведение натурных исследований сопряжено с громадными трудностями как организационно-экономического, так и научного плана. Обычно "на натуре" удается лишь зафиксировать существующее состояние системы без возможности вариаций внешних и внутренних факторов окружающей среды.
При использовании разных вариантов макетного моделирования, например, в форме полупроизводственных испытаний, возможности экспериментатора увеличиваются, но появляется большая вероятность искажения результатов моделирования, особенно в тех случаях, когда не удается установить критерии подобия процессов в модели (макете) и натуре.
Абстрактное моделирование
остается пока наиболее приемлемым средством познания в логистике, а чаще всего и единственно возможным. По способам выражения абстрактное моделирование декомпозируется по четырем направлениям: концептуальное, математическое, имитационное и символическое моделирование.
В свою очередь концептуальные модели можно условно разграничить на вербальные модели и модели общесистемных структурных форм. В настоящее время - это наиболее распространенный тип моделей в логистике, особенно в части, именуемой теоретической. Диалектика их широкого применения в наблюдательных и описательных областях науки имеет глубокие гносеологические корни, которые, видимо, не следует нарушать, особенно там, где модели имеют трудноопределимые входы и выходы. Тем не менее, концептуальное моделирование является только средством получения начальных знаний о предмете исследования. Уровень познания наук, использующих только приемы концептуального моделирования, таков, "что они располагают большей частью морфологическими данными об изучаемых системах, иногда эти данные сводятся только к классификации. Установление устойчивых закономерностей - сравнительно редкая и большая удача".
Математические модели в высшем своем проявлении способны на многое, но дать какую-то конкретную характеристику, по которой можно было бы отнести ту или иную модель к математическому типу затруднительно. Слишком громаден диапазон математического действия: от весьма абстрактных моделей в символьных переменных до серьезной проработки вычислительных аспектов. В зависимости от степени достижения результата при описании механизма протекания исследуемых процессов за счет применения математических методов, их можно условно декомпозировать на четыре группы: аналитические (цифровые), аналоговые, кибернетические и игровые. Можно лишний раз подчеркнуть относительность такой градации. Например, если аналитические, аналоговые и кибернетические модели вполне определенно можно отнести к математическим моделям, то игровые модели способны принимать почти нулевой математический уровень в так называемых "деловых играх" и становиться почти на сто процентов аналитическими при формализации конфликтных ситуаций с применением элементов теории игр.
Но еще более сложный характер имеют имитационные модели (ИМ). И неудивительно, поскольку по названному признаку практически все классы, подклассы, виды, группы и разновидности абстрактных моделей можно считать имитацией реальной действительности. Для подтверждения правильности данного заключения можно сослаться на классическое определение сущности имитационного моделирования, которое представляется в виде "процесса формирования модели реальной системы и проведения на этой модели экспериментов в целях выявления свойств системы и определения возможных путей ее создания, совершенствования и (или) эффективного использования".
Весь вопрос заключается лишь в установлении таких правил имитации, при соблюдении которых модель не станет ложной. Среди ученых "старого" поколения бытует соответствующее мнение, согласно которому "в процессе выбора системной модели следует учитывать различную степень их изученности и по возможности избегать использования моделей, не имеющих развитого математического аппарата". Если придерживаться их мнения, то можно считать, что риск "заболеть" неадекватностью отражения реальных процессов при имитационном моделировании будет тем меньше, чем больше будет использоваться соответствующий конкретной специфике математический аппарат. На данном основании имитационные модели можно условно разделить еще на три группы: аналитические, кибернетические и информационные.
В попытке провести тонкую грань между указанными группами будем считать, что признаком аналитического имитационного моделировании являются те случаи, когда имитация структурного и функционального пространства моделируемой системы осуществляется на основе решения системы балансовых уравнений с помощью методов линейного, нелинейного, динамического, статистического и другого вида программирования.
Однако отдавать пальму первенства аналитическим, аналоговым или кибернетическим моделям при имитации реальных процессов в логистике, видимо, не стоит, поскольку многочисленные исключения подтверждают другое правило. По нему "в сложных ситуациях только отдельные слагаемые общей проблемы поддаются аналитическим оценкам как из-за отсутствия пока необходимых зависимостей, так, и это, пожалуй, главное, из-за невозможности в ряде случаев ввести шкалу измерений, "имеющую смысл". Это свойство познания действительности образует множество видов информационных моделей, которые, неся в себе все основные признаки и правила построения имитационных моделей с опорой на формальный и неформальный аппарат анализа, становятся моделями синтетического порядка, способными в конечном итоге приобрести более высокую практическую ценность по сравнению с концептуальными и аналитическими моделями.
Но даже если информационная модель удовлетворяет всем описанным выше требованиям, объем получаемых от нее сведений становится настолько обширным, что их обработка может оказаться мало эффективной. Требуется дальнейшее совершенствование программных средств путем разработки рациональных процедур формирования и использования обобщенной информации. Такие системы поиска и обработки необходимых данных уже появились и стали широко использоваться в Интернете. Одна из них, получив название "ASK JEEVES" (сервис умного поиска), быстро завоевывает мир, а ее зачинатель (Стив Берковец) стал одним из наиболее процветающих бизнесменов США.
Трудно себе представить, чтобы "сервис умного поиска" был вне рамок диалогового управления с оперативным определением функциональных и информационных связей между элементами логистической инфраструктуры. В противном случае, каким образом можно оперативно выработать и привязать оптимальные управляющие параметры к соответствующим горизонтам и фазам процесса управления? Возможность проведения итеративной диалоговой процедуры подразделяет информационные системы еще на две разновидности: диалоговые и простые, т.е. с выдачей для традиционного (без обратной связи) анализа таблиц и отношений. Здесь следует признать, что информационные модели бизнес-процесса А. Шеера, которые в последние годы все шире начинают применяться для решения логистических задач, как раз и можно отнести к диалоговым системам, имеющим элементы "ASK JEEVES".
При более близком знакомстве с подобными информационными моделями можно обнаружить, что их устройство во многом основано на использовании символических моделей, разделяющихся в свою очередь на языковые и знаковые (телеологические). В основе языковых моделей лежит строго зафиксированный определенным машинным языком (FORSIM, GPSS, SIMULA, SIMSCRIPT, BOSS, SOL, DYNAMO, MIMIC, и др.) набор однозначных понятий, а в знаковых с помощью различных знаков (кванторов, предикатов, обозначений элементов из теории множеств и т.п.) отображается набор необходимых понятий, благодаря чему в отдельных символах дается описание какого-либо реального объекта. Можно сказать, что всевозможные реляционные языки и семантические сети, основанные на алгебре отношений в совокупности с быстро развивающимся аппаратом фреймов и слотов, расширяют возможности создания и идентификации средств представления элементов, связей и предметов логистической деятельности, что в конечном итоге способствует появлению и развитию "ASK JEEVES" в логистике.
Практически все обозначенные выше типы, группы и виды моделей можно структурировать по так называемым признакам функционального и иерархического порядков. В частности, по признаку целевого назначения модели разделяются на функциональные, структурные, организационные, управляющие, обеспечивающие, а также модели данных и модели выхода. По способам управления системой иногда в логистике используются так называемые модели "толкающего" и "тянущего" типов. Модель также может получить название от преобладающего вида моделируемого потока: товарная, финансовая, управления, ресурсов, продуктов и т.д.
Градация по степени обобщения объектов моделирования образует локальные, корпоративные, региональные, отраслевые, республиканские и другие виды моделей. Каждую из них можно декомпозировать в зависимости от специфики решаемых задач. Например, локальная операционная модель (ЛОМ) может быть предназначена для исследования проблем управления транспортом, финансами, ресурсами.
Практически все области логистической деятельности пронизывает подсистема управления запасами (УЗ). Считаясь относительно молодой отраслью исследования операций, теория управления запасами уже располагает несколькими сотнями моделей, которые детально классифицируются по нескольким десяткам признаков. Приводить их в полном объеме имеет смысл лишь при создании компьютерной базы знаний по УЗ. Здесь достаточно ограничиться укрупненной классификацией, которая различает модели по: числу номенклатур; числу складов; характеру восполнения; характеру спроса; способу рассмотрения динамики; целевой функции; стратегии восполнения; способу контроля уровня запаса; учету недостач; задержке поставок
Кроме того, в зависимости от характера изучаемых процессов все модели могут быть разделены на детерминированные и стохастические, статические и динамические, непрерывные и дискретные. Однако в указанном "чистом" виде логистические процессы, и, следовательно, модели, встречаются крайне редко, особенно в детерминированной, статической и непрерывной формах, что сопряжено, главным образом, с нестационарным и независимым характером спроса. Типология моделей в логистике производна от понятия "логистическая система", которое, как известно, в силу своей громадной концептуальной емкости и многообразия промежуточных форм существования в реальной практике окончательно не установлено. Аморфное представление о сущности и нюансах логистической деятельности не способствует созданию эффективного методологического инструментария в виде модельного ряда, учитывающего специфику и фазы существования объекта логистизации. С другой стороны, неразвитость аппарата моделирования в логистике тормозит развитие ее как науки.
Наиболее часто в логистике применяется имитационное моделирование.
Имитационное моделирование – в нём закономерности, определяющие характер количественных отношений остаются непознанными, логистический процесс остаётся чёрным ящиком. Например, мы нажимает на кнопки телевизора, получая результат, не знаем, какие именно процессы происходят внутри его.
Основные процессы имитационного моделирования.
1. Конструирование модели реальной системы.
2. Постановка экспериментов на этой модели.
Цели: понять поведение логистической системы; выбрать стратегию обеспечивающую наиболее эффективное функционирование логистической системы. Как правило, имитационное моделирование осуществляется с помощью компьютеров. Основные условия, при которых рекомендуется применять имитационное моделирование.
1. Не существует законченной постановки данной задачи, либо ещё не разработаны аналитические методы решения сформулированной математической модели.
2. Аналитические модели имеются, но процедуру столь сложны и трудоёмки, что имитационное моделирование даёт более простой способ решения задач.
3. Аналитические решения существуют, но их реализация не возможна вследствие недостаточной математической подготовки персонала.
Достоинством имитационного моделирования является:
1. Этим методом можно решать более сложные задачи.
2. Данные модели позволяют достаточно просто учитывать случайные воздействия и другие факторы, которые создают трудности при аналитическом исследовании.
3. При имитационном моделировании воспроизводится процесс функционирования системы во времени.
4. Сохраняется логическая структура. Недостатки имитационного моделирования.
Недостатки:
1. Исследования с помощью этого метода обходятся дорого.
2. Необходим высококвалифицированный специалист-програмист.
3. Необходимо большое количество машинного времени.
4. Модели разрабатываются для конкретных условий и не могут применяться для других похожих моделей.
5. Велика возможность ложной имитации. Это может произойти даже при незначительных изменениях в реальных условиях.
Описание имитационной модели можно завершить словами Р. Шеннона: «Разработка и применение имитационных моделей в большей степени искусство, чем наука. Следовательно, успех или неудача в большей степени зависит не от метода, а от того, как он применяется».
2. Анализ ABC-XYZ в управлении материальными запасами
Важным инструментом управления материальными запасами является ABC/XYZ анализ. Суть метода заключается в распределении запасов по трем группам в зависимости от привлекательности (ABC) или устойчивости тенденции оборачиваемости (XYZ). Привлекательность запаса и устойчивость тенденции оборачиваемости можно оценивать по различным критериям. В решении поддерживаются три показателя: выручка, маржа и количество.
В решении можно создавать различные каталоги для классификаций ABC и XYZ. Каждый такой каталог ориентирован на использование одного из поддерживаемых критериев оценки и позволяет задавать процентное соотношение между группами A, B и C (для классификации XYZ - между ее группами). На основании этих каталогов можно формировать классификации товаров на группы ABC и XYZ. Каждая такая классификация формируется для формата (группы) предприятий, или для отдельного производства.
При разборе метода балльной оценки, для ситуаций принятия решения характерна необходимость выбора из многих альтернатив. Тот факт, что не все альтернативы имеют одинаковое значение с точки зрения влияния на общий результат, обусловливает зависимость качества решения от выявления важнейших факторов и нахождения возможностей влияния на них. Метод, с помощью которого отдельные элементы классифицируются и наглядно представляются по степени их важности для определенной проблемы, называется АБС анализом.
Исторически происхождение метода связано с решением снабженческих проблем, а именно с необходимостью концентрации усилий на тех продуктах, которые имеют наибольший вес в общей стоимости сырья и материалов. В принципе АБС анализ имеет очень широкую область применения, поскольку в соответствии с исследуемыми величинами (например, товары, клиенты) классификации могут быть подвергнуты самые разные области.
АВС анализ опирается на гипотезу о том, что в реальности нередко 20% элементов обеспечивают около 80% результата. Эта гипотеза основывается на так называемом принципе Парето, который был выдвинут итальянским экономистом Парето (1848-1923) и утверждает, что в пределах заданной группы или совокупности отдельные объекты имеют гораздо большее значение, чем то, которое соответствует их доле в численности этой группы.
Примером АВС анализа может послужить установление приоритетов выполнения управленческих задач. Важнейшие задачи (А-группа), которыми менеджер занимается каждый день, занимают около 15% его общего рабочего времени. Их ценность, в смысле вклада в достижение целей, находится в пределах 65%. Задачи средней значимости (В-группа) занимают около 20% времени и имеют долю в результате также около 20%. Малозначимые задачи требуют, напротив, около 65% времени и обеспечивают лишь примерно 15% достижения целей. Графически связь между объемом задач и значимостью (ценностью) задач с выделением групп А, В, С представлена на рис

Опираясь на пример использования АВС анализа для исследования распределения времени менеджера, можно выделить следующие этапы:
a) составление перечня всех задач, которые необходимо выполнить в течение определенного времени (неделя, день);
b) упорядочение задач по их значимости и важности (в последовательности убывания значимости);
c) присвоение каждой задаче номера;
d) оценка задач по АВС принципу: первые 15% относятся к А-группе (очень важные, нельзя делегировать, имеют большое значение для выполнения функции); следующие 20% - В-группа (важные, значительные, можно делегировать); остальные 65% - С-группа (менее важные, незначительные, обязательно делегировать);
e) проверка распределения времени на предмет соответствия важности задач: 65% времени для А-группы; 20% времени для В-группы; 15% времени для С-группы.
f) проведение корректирующих мероприятий с целью последовательной ориентации на А-задачи.
g) проверка В-задач и С-задач на возможность делегирования.
Область применения АВС-анализа распространяется наряду с установлением временных приоритетов на множество других задач. Часто используемый вариант - классификация клиентов предприятия с точки зрения их значимости для успеха фирмы и последующее деление на А-, В-, С-группы. Очень часто АВС-XYZ анализ используется для исследования значимости отдельных продуктов предприятия, с точки зрения результата (сбыта, прибыли). Это делается для оптимизации структуры сбытовой программы и очистки программы от невыгодных продуктов.
АВС анализ является эффективным методом выделения из множества влияющих факторов и элементов тех, которые имеют особое значение для достижения поставленных целей и поэтому должны обладать высоким приоритетом.
Решающее преимущество АБС -анализа заключается в простоте применения, Метод позволяет быстро сделать выводы, способствующие уменьшению перегрузки менеджера деталями и обеспечивающие лучший обзор проблемной области. С помощью АБС-анализа реализуется возможность последовательной ориентации на принцип Парето, концентрирующий деятельность на важнейших аспектах проблемы. Деятельность концентрируется на решении важнейших задач, в результате появляется возможность целенаправленного уменьшения затрат на остальные сферы.
Слабое место АВС-анализа заключается в поиске объективных критериев оценки элементов, критериев, которые имеют решающее значение для достижения результата. Данная проблема решается относительно просто для количественно измеримых факторов (есть объективные меры, которые можно использовать для сравнения). Для качественных критериев (например, качество производственной программы) характерны существенно большие требования к прини
XYZ-анализ – изучение стабильности продаж, – обычно используется вместе с ABC-анализом, позволяющим выделить ключевые для фирмы-продавца товары.
Существует два метода организации закупок. Условно их называют подходами «от продаж» и «от склада». Первый, по сути, есть просто аккумулирование опыта общения с клиентами.
Управление «от склада» означает опору не на качественную информацию, а на данные предшествующих периодов. На их основании строятся прогнозы на будущее. Именно при этих условиях хорошо работают методы SIC (статистического контроля запасов, statistical inventory method), к которым относятся ABC- и XYZ-анализ.
Смысл XYZ-анализа в изучении стабильности продаж. Если ABC-анализ позволяет определить вклад конкретного товара в итоговый результат (чаще всего в общую прибыль компании или в стоимость запасов), то XYZ-анализ изучает отклонения, скачки, нестабильность сбыта.
В категорию X включают товары со стабильными продажами. Если каждый рабочий день магазин продает сто плюс-минус пять пакетов молока, то этот продукт попадает в данную категорию.
Для группы Y допускаются более значительные отклонения.
В категории Z оказываются товары, продажи которых точно прогнозировать невозможно, слишком велики колебания.
Цель XYZ-анализа – дифференциация товаров (номенклатуры) по группам в зависимости от равномерности спроса и точности прогнозирования.
Для распределения товаров по этим категориям существует весьма несложный статистический аппарат. При сравнении данных используется формула расчета коэффициента вариации.
Методика XYZ-анализа
Основная идея XYZ анализа – группировка объектов по степени однородности исследуемого показателя (по коэффициенту вариации).
Отметим, что XYZ-анализ корректно работает только в случае нормального (гауссова) распределения данных. Впрочем, по мере увеличения полученных статистических данных распределение при соблюдении некоторых естественных условий становится все ближе к гауссову.
Первый шаг: Определить объекты анализа. Варианты: клиент, поставщик, товарная группа/подгруппа, номенклатурная единица и т. п.
Второй шаг: Определить параметр, по которому следует проводить анализ объекта. Варианты: средний товарный запас, руб.; объем продаж, руб.; доход, руб.; количество единиц продаж, шт.; количество заказов, шт. и т.п.
Третий шаг: Определить период и количество периодов, по которым необходимо сделать анализ. Варианты: неделя, декада, месяц, квартал/сезон, полугодие, год.
Общие рекомендации: Период должен оказаться не меньше, чем горизонт планирования, принятый в вашей компании. Интересная ситуация возникает, скажем, при анализе продаж и товарных запасов в фирмах, торгующих бытовой техникой, строительными материалами, запасными частями для автомобилей и т.п. Финансовый план часто составляется на месяц, а реально необходимый горизонт планирования должен быть на полгода. Анализ данных с периодом меньше квартала просто не имеет смысла. Все товары попадают в категорию Z.
Четвертый шаг: Определить коэффициент вариации для каждого анализируемого объекта. Формула коэффициента вариации приведена выше.
Пятый шаг: Отсортировать объекты анализа по возрастанию значения коэффициента вариации; далее определить группы X, Y и Z.
Этот коэффициент показывает (в процентах) степень отклонения данных от среднего значения. Высокие его значения наглядно иллюстрирует старая шутка статистиков: «Сидеть на плите с головой в холодильнике в среднем неплохо». Номенклатурные позиции (по западной терминологии, SKU – stock keeping unit) со значением коэффициента вариации от 0 до 10% попадают в категорию X, от 10 до 25% – в категорию Y, остальные – в категорию Z. Впрочем, это примерное распределение. Построение кривой XYZ во многих случаях позволяет точнее установить эти интервалы – по точкам перегиба.
Лучше всего применять XYZ-анализ в сочетании с ABC-анализом (хотя и он один даст отделу логистики существенную информацию). При этом весь ассортиментный ряд делится на девять категорий товаров.
Эксперты акцентируют внимание на том, что интегрированный ABC(XYZ)-анализ – лишь средство поддержать принятие решений. Построение матрицы не разделит товары на «плохие» и «хорошие», не выявит товары, подлежащие немедленному выводу из списка продаваемых. Всегда необходим дополнительный анализ. В категории CZ часто оказываются сопутствующие товары вроде спецодежды или чистящих средств для продаваемых механизмов. Они приносят мало дохода и закупаются клиентами нерегулярно. В категорию CX у магазинов-дискаунтеров попадут хлеб, соль и спички. Эти товары должны быть в наличии – не найдя их, покупатель может больше не прийти в магазин.
И все-таки польза от интегрированного анализа несомненна. Он служит основой управления запасами, позволяет определить «точку заказа». Для категории AX, учитывая ее финансовую значимость и предсказуемость, должны устанавливаться жесткие нормативы, соблюдению которых нужно уделять особое внимание. Для этой группы товаров рекомендуется ежедневно проверять остатки, установив четкую календарную (дата) или статистическую (по оставшемуся на складе объему запасов) точку заказа новых партий.
Матрица интегрированного анализа может использоваться даже для распределения административных ресурсов. Категория AX должна обслуживаться самыми опытными и квалифицированными сотрудниками, а группу товаров, попавших в «клетку» CZ, можно доверить новичкам начинается. Им будет несложно работать с категорией, где заказы происходят реже, допуски по отклонениям выше, и жестко лимитируется лишь сумма, расходуемая на данную товарную позицию за определенный период.
Наглядность результатов ABC(XYZ)-анализа позволяет использовать его как аргумент в общении с руководителями, чтобы подтолкнуть их к определенным действиям.
Используя XYZ-анализ, надо помнить о нескольких существенных ограничениях. Прежде всего, требование к объему используемых данных. Чем их больше, тем надежнее окажутся полученные результаты. Число исследуемых периодов должно быть не менее трех.
Не удастся применить статистические методы в случае динамично меняющейся ситуации, например, при выводе на рынок нового товара (аналогами которого компания до сих пор не торговала) или однократного приобретения каких-то товарных позиций. Когда количество продаж новинки еженедельно растет, XYZ-анализ ничего не даст, товар неизбежно попадет в «нестабильную» группу Z, XYZ лишен смысла и для предприятий или компаний, работающих под заказ, подобные прогнозы им просто не нужны.
Периодичность анализа – дело для каждой компании сугубо индивидуальное.
Весьма серьезно на результат расчетов может влиять сезонность. Вот типичный случай. Компания информирована о повышении сезонного спроса, необходимый запас товаров приобретен или произведен. Но из-за скачков продаж товар скатывается в «непредсказуемую» категорию Z Кроме того, существуют целые сегменты рынка, где применение XYZ-анализа будет совершенно бесполезно.
Практическое задание №1
Задание «Сделать или купить»
Дано:
Фирма производит и сбывает три компонента. Перед руководителем отдела поставки было поставлено задание — выучить цены на мировом рынке. Выучены такие ценовые и стоимостные показатели (табл. 1)
Для решения задания рассчитаем коэффициент варианта k по формуле
k=100+N/100
100+11/100=1,11
Таблиця 1. Исходная информация для принятия управленческого решения “сделать или купить”
| Показатели |
Компонент |
| X |
Y |
Z |
| Объем производства, ед. |
22200 |
44400 |
88800 |
| Затраты основных средств, грн. |
0,888 |
1,11 |
0,444 |
| Затраты на оплату работы основных производственных работников (на ед. продукции), грн. |
1,776 |
1,998 |
0,888 |
| Прямые витраты на единицу продукции, грн. |
0,444 |
0,666 |
0,222 |
| Постоянныезатраты на единицу продукции, грн. |
0,888 |
1,11 |
0,444 |
| Цена реализацииединицы продукции, грн. |
4,44 |
5,55 |
2,22 |
| Импортная закупочная цена, грн. |
3,052 |
4,662 |
2,22 |
Найти:
1. Предложите рекомендации руководителю фирмы относительно возможности компонента, исходя только из затрат
2. Определите размер прибыли в случае собственного производства всех компонентов
3. Определите, повлияют ли рекомендации по закупке (пункт 1) и на прибыль и в какой мере?
Решение:
При разработке рекомендаций относительно возможности закупки компонента необходимо принять во внимание только релевантные затраты на доходы, величина которых непосредственно зависит от принимаемого решения. Затраты на обе альтернативы — закупку либо собственное производство — представлены в табл.2
Таблица 2. сравнительный анализ двух альтернатив (закупки либо собственного производства)
| Релевантныезатраты |
Компонент |
| X |
Y |
Z |
| виробництво |
закупівля |
виробництво |
закупівля |
виробництво |
закупівля |
| Затраты основных материалов на единицу продукции, грн. |
0,888 |
- |
1,11 |
- |
0,444 |
- |
| Затраты на оплату труда основных производственных работников (на единицу продукции), грн. |
1,776 |
- |
1,998 |
- |
0,888 |
- |
| Прямыезатраты на единицу продукции, грн. |
0,444 |
- |
0,666 |
- |
0,222 |
- |
| Импортная закупочная цена, грн. |
- |
3,052 |
- |
4,662 |
- |
2,22 |
| Вместе релевантныезатраты на единицу продукции, грн. |
3,108 |
3,052 |
3,774 |
4,662 |
1,554 |
2,22 |
Результаты расчетов базирующихся только на расходах, показывают, что фирма должна закупать компонент Х.
Рассчитаем размер прибыли в случае собственного производства всех компонентов (табл. 3)
Таблица 3. Расчет размера прибыли в случае собственного производства всех компонентов
| Показатели |
Компонент |
| X |
Y |
Z |
| 1 |
объем производства, ед. |
22200 |
44400 |
88800 |
| 2 |
Расходы основных материалов на единицу продукции, грн |
0,888 |
1,11 |
0,444 |
| 3 |
Расходы на оплату труда основных производственных рабочих (на единицу продукции), грн. |
1,776 |
1,998 |
0,888 |
| 4 |
Прямые расходы на единицу продукции, грн. |
0,444 |
0,666 |
0,222 |
| 5 |
Постоянные расходы на единицу продукции, грн. |
0,888 |
1,11 |
0,444 |
| 6 |
Себестоимость одной единицы продукции, грн |
3,996 |
4,884 |
1,998 |
| 7 |
Цена реализации единицы продукции, грн |
4,44 |
5,55 |
2,22 |
| 8 |
Прибыль от одной единицы продукции, грн |
0,444 |
0,666 |
0,222 |
| 9 |
Прибыль на весь объем производства, грн |
9856,8 |
29570,4 |
19713,6 |
| 10 |
Общая прибыль, грн |
59140,8 |
Сделаем расчет величины прибыли с учетом рекомендаций, приведенных в табл. 2
Таблица 4. Расчет размера прибыли при комбинированном варианте (закупка или собственное производство)
| Показатели |
Компонент |
| X |
Y |
Z |
| 1 |
Объем производства, ед. |
22200 |
44400 |
88800 |
| 2 |
Расходы основных материалов на единицу продукции, грн. |
- |
1,11 |
0,444 |
| 3 |
Расходы на оплату труда основных производственных рабочих (на единицу продукции), грн. |
- |
1,998 |
0,888 |
| 4 |
Прямые расходы на единицу продукции, грн. |
- |
0,666 |
0,222 |
| 5 |
Постоянные расходы на единицу продукции, грн. |
0,888 |
1,11 |
0,444 |
| 6 |
Импортная закупочная цена, грн. |
3,052 |
- |
- |
| 7 |
Себестоимость одной единицы продукции, грн |
3,94 |
4,884 |
1,998 |
| 8 |
Цена реализации единицы продукции, грн. |
4,44 |
5,55 |
2,22 |
| 9 |
Прибыль от одной единицы продукции, грн. |
0,5 |
0,666 |
0,222 |
| 10 |
Прибыль на весь объем производства, грн. |
11100 |
29570,4 |
19713,6 |
| 11 |
Общая прибыль, грн. |
60384 |
Таким образом, проведенные расчеты показали, что при использовании комбинированного варианта фирма сможет получить прибыль в размере 60384 тыс. грн., что на 1243,2 тыс. грн. больше самостоятельного производства всех компонентов.
Практическое задание № 2
Задача размещения распределительных центров
На территории района расположено 8 магазинов, которые торгуют продовольственными товарами, их координаты (в прямоугольной системе координат), а также месячный грузооборот приведены в таблице 5. На основе исходных данных найти координаты точки (Xсклад,
Усклад), в которых рекомендовано организовать работу распределительного характера, а также построить точки, в которых были размещены магазины и склад на одном графике.
Таблица 5. Грузооборот и координаты магазинов, которые обслуживаются
| № магазина |
координата Х, км. |
координатаY, км. |
Товарооборот т/мес. |
| 1 |
11,1 |
11,1 |
15 |
| 2 |
25,53 |
45,51 |
10 |
| 3 |
53,28 |
65,49 |
20 |
| 4 |
39,96 |
29,97 |
5 |
| 5 |
66,6 |
37,74 |
10 |
| 6 |
74,37 |
22,2 |
20 |
| 7 |
89,91 |
32,19 |
45 |
| 8 |
117,66 |
49,95 |
30 |

Определим координаты центра веса грузовых потоков (Xсклад, Усклад) то есть точки, в которых может быть расположен распределительный склад по формулам:
 
Де Ві
— грузооборот і-го потребителя, Xі,
Yі
— координати і-го потребителя, n — количество потребителей
  
  
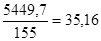
Ответ: координати склада Xсклад,
=73,65, Yсклад
= 35,16.
Использованная литература
1. Виробнича логістика, навч. Видання під ред. Танькова К.М., Тридід О.М., та Колодізева Т.О., “Інжек”, 2004р.
2. Логістика, конспект лекцій під ред.. Тридід О.М., Колодізева Т.О., Голофаева І.П.,ХНЕУ,2004р.
3. Бауерсокс Д.Д. Логістика:интегрированая цель поставок.,М.-2001г., 640с.
4. Миротин Л.Б. Транспортная логістика: уч. Пособие,М. 1996г., 212с.
5. Неруш Ю.М. Логистика 2006 г
|