Федеральное государственное образовательное учреждение высшего профессионального образования
"СИБИРСКИЙ ФЕДЕРАЛЬНЫЙ УНИВЕРСИТЕТ"
Институт цветных металлов и материаловедения
Кафедра аналитической и органической химии
КУРСОВАЯ РАБОТА
БЕТУЛИН И ЕГО ПРОИЗВОДНЫЕ
Руководитель
С.А. Кузнецова
Студент ХФ06-21бс
А.С. Сегинев
Красноярск 2009
Содержание
Введение
Глава 1 Литературная часть
1.1 Экстрактивные вещества внешнего слоя коры березы
1.2 Бетулин
1.3 Диацетат бетулина
1.4 Бетулиновая кислота
1.5 Другие сложные эфиры бетулиновой кислоты
Заключение
Список литературы
В последние годы, когда береза вовлекается все больше в химическую переработку, ее экстрактивные вещества исследуют в более широком аспекте. Одним из основных продуктов её переработки является бетулин, которые обладает широким спектром ценных медицинских свойств. В связи с этим имеет большое значение изучение структуры бетулина и схожих с ним веществ, в том числе производных.
Вещества растительного происхождения находят широкое применение в качестве биологически активных добавок и лекарственных средств. В последнее время возрастает внимание специалистов к растительным тритерпеноидам, сочетающим их доступность с ценной биологической активностью. Наиболее богата экстрактивными веществами внешняя кора различных видов берез, в экстрактах которой преобладают пентациклические тритерпеноиды ряда лупана и β-амирина, причем основным компонентом является бетулин. Бетулин и его производные проявляют широкий спектр биологической активности (противовирусную, противоязвенную, противоопухолевую, капилляроукрепляющую и другую) Целенаправленная химическая модификация природных биологически активных соединений приводит в ряде случаев к получению веществ, которые обладают более широким спектром действия и низкой токсичностью.
Основную массу внешнего слоя коры березы составляют органические вещества (около 99%), которые можно подразделить на структурные компоненты и экстрактивные вещества. К структурным компонентам относят углеводную и ароматическую части древесины.
Углеводная часть древесины представляет собой комплекс полисахаридов (ВМС), называемый холоцеллюлозой [1].
Ароматическая часть древесины, или лигнин, представляет собой смесь ароматических полимеров (ВМС) родственного строения. Доля лигнина равна ≈20%. Лигнин в анализе древесины рассматривается как "негидролизуемая" часть. После экстрагирования подходящими органическими растворителями и полного гидролиза углеводной части древесины лигнин выделяется в виде негидролизуемого остатка. По сравнению с полисахаридами лигнин более легко окисляется. Это свойство используют в анализе для делигнификации древесины (удаления лигнина. после экстрагирования органическими растворителями и обработки древесины подходящим окислителем в виде остатка получается холоцеллюлоза) [2].
Забиваем Сайты В ТОП КУВАЛДОЙ - Уникальные возможности от SeoHammer
Каждая ссылка анализируется по трем пакетам оценки: SEO, Трафик и SMM.
SeoHammer делает продвижение сайта прозрачным и простым занятием.
Ссылки, вечные ссылки, статьи, упоминания, пресс-релизы - используйте по максимуму потенциал SeoHammer для продвижения вашего сайта.
Что умеет делать SeoHammer
— Продвижение в один клик, интеллектуальный подбор запросов, покупка самых лучших ссылок с высокой степенью качества у лучших бирж ссылок.
— Регулярная проверка качества ссылок по более чем 100 показателям и ежедневный пересчет показателей качества проекта.
— Все известные форматы ссылок: арендные ссылки, вечные ссылки, публикации (упоминания, мнения, отзывы, статьи, пресс-релизы).
— SeoHammer покажет, где рост или падение, а также запросы, на которые нужно обратить внимание.
SeoHammer еще предоставляет технологию Буст, она ускоряет продвижение в десятки раз,
а первые результаты появляются уже в течение первых 7 дней.
Зарегистрироваться и Начать продвижение
Экстрактивные вещества - вещества, которые извлекаются из сырья органическими растворителями или водой без каких либо химических превращений [1].
Кора березы имеет две четко различимые части― внешнюю и внутреннюю. Наиболее богата экстрактивными веществами внешняя часть коры: их содержание доходит до 40%. Основным компонентом практически всех экстрактов является бетулин, обусловливающий белый цвет коры [3].
Бетулин обнаружен в березе бородавчатой, или повислой, и березе пушистой, наиболее широко распространенных в России. Содержание бетулина во внешней части коры варьируется в пределах 10-35% в зависимости от вида березы, место и условий ее произрастания, возраста дерева и других факторов [4].
В экстрактах коры этих берез наряду с бетулином содержатся его окисленные производные: бетулиновая кислота, бетулиновый альдегид, метиловый эфир бетулиновой кислоты, бетулоновый альдегид, бетулоновая кислота.
Бетулин и бетулиновая кислота представляют интерес для медицины в качестве основы для разработки новых противовирусных агентов. Они являются ингибиторами вируса полиомиелита, лихорадочных и респираторных заболеваний. Бетулин способен ингибировать развитие микробактерий туберкулеза [3].
Бетулиновая кислота проявляет высокую эффективность при подавлении роста клеток меланомы, проявляет антибактериальную активность относительно ряда микроорганизмов грамположительных и грамотрицательных, а также грибов.
Под влиянием бетулоновой кислоты и ее амидов происходит улучшение цитостатической структуры тканей печени, почек, сердца, селезенки и тимуса, что позволяет делать вывод об органопротекторном действии бетулоновой кислоты. Она проявляет высокую активность в отношении клеток меланомы [5].
Постоянным спутником бетулина является лупеол (10% от бетулина). Было установлено, что он является активным цитостатиком. Описано сильное ингибирующее действие лупеола в отношении лейкоцитарной эластазы человека. Показано также, что лупеол обладает свойствами супрессора роста клеток человеческой лейкемии [6]. Известна способность лупеола снижать риск формирования камней в почках путем предотвращения повреждения тканей в почек, а так же влиять на процесс растворения мочекаменных конкрементов. Эти данные позволили отнести лупеол к уролитикам [7].
Сервис онлайн-записи на собственном Telegram-боте
Попробуйте сервис онлайн-записи VisitTime на основе вашего собственного Telegram-бота:
— Разгрузит мастера, специалиста или компанию;
— Позволит гибко управлять расписанием и загрузкой;
— Разошлет оповещения о новых услугах или акциях;
— Позволит принять оплату на карту/кошелек/счет;
— Позволит записываться на групповые и персональные посещения;
— Поможет получить от клиента отзывы о визите к вам;
— Включает в себя сервис чаевых.
Для новых пользователей первый месяц бесплатно.
Зарегистрироваться в сервисе
Наряду с производными лупана кора березы содержит тритерпены ряда олеонана и урсана.
Суберин, содержание которого в бересте коры березы составляет от 20 до 30% масс., представляет собой комплекс гидрокислот и фенольных кислот, связанных между собой простыми эфирными связями с образованием сетчатой полимерной структуры - полиэстолида. При его гидролизе образуются сложные смеси так называемых субериновых кислот. Химический состав и строение субериновых веществ определяется способами их извлечения из бересты [8].
Бетулин - это тритерпеновый спирт ряда лупана, имеющий химическую формулу С30
Н50
О2
и химическое название бетуленол. Он содержится в большом количестве растений (орешник, календула, солодка и пр), но в промышленных масштабах мы получаем его экстракцией из бересты - наружного слоя коры березы белой (betula alba). Нашей компании принадлежит ряд патентов на производство и применение бетулина.
Несмотря на то, что бетулин известен своими целебными свойствами давно (он был открыт Т.Е. Ловицем - преемником М.В. Ломоносова - в 1778г), в последние годы в мировой фармакологии наблюдается небывалый всплеск интереса к нему. Исследованиями специалистов разных стран доказано, что сам бетулин (бетуленол) и его производные - бетулиновая кислота и другие дериваты обладают выраженной фармакологической активностью и оказывают следующие действия:
Многообразие действий бетулина определено философией происхождения этого вещества: растения синтезируют Бетулин для защиты от всех неблагоприятных факторов внешней среды и накапливают его исключительно в своей оболочке.
Действие бетулина на организм:
активно ингибирует фермент эластазу, ответственную за потерю упругости эластичными волокнами кожи;
стимулирует синтез коллагена и останавливает воспалительные процессы в коже, защищая ее от воздействия протеинкиназ;
отбеливает кожу за счет тормозящего действия на меланогенез.
Не вызывает сомнений выраженная противовирусная активность бетулина, особенно в отношении всех форм вируса герпеса. Противогрибковое действие бетулина открывает широкие перспективы в его применении, как для профилактики, так и для лечения микозов кожи, ногтей и волос. Учеными США и Японии доказана противомеланомная активность самого бетулина и его дериватов. При включении бетулина в крема он продемонстрировал солнцезащитное действие (УФО-фильтр), что защищено патентами США, Польши и других стран
Предложены различные способы выделения бетулина из коры березы. В соответствии с березовую кору экстрагируют бензолом, выделившийся при охлаждении бетулин отфильтровывают и сушат. Для его извлечения использовалась также последовательная экстракция измельченной коры петролейным эфиром, четыреххлористым углеродом и хлороформом. Предложен многостадийный метод выделения бетулина из коры березы, включающий экстракцию трихлорэтиленом, прямое ацелирование экстракта и гидролиз диацетата бетулина.
Диацетат бетулинола [3,28-диацетокси-луп-20 (29) - ен (1)] обладает гиполипидемическим и желчегонным действием. Кроме того, диацетат бетулинола служит сырьем для многих органических синтезов, таких как получение бетулиновой кислоты, серопроизводных бетулина, синтез аминопроизводных диацетата бетулина и других.
Известные способы получения диацетата бетулина основаны на классических реакциях ацетилирования бетулина, предварительно выделенного из коры березы. Как правило, они являются многостадийными и нередко требуют использования токсичных и дорогостоящих реагентов. Известно, что попытка синтеза диацетата бетулина прямой этерификацией бетулина уксусной кислотой без использования минеральной кислоты в качестве катализатора не позволила получить целевой продукт высокого качества. Кроме того, несмотря на постоянное усовершенствование способов извлечения бетулина из бересты, процесс его получения остается технически сложным. Все это удорожает синтез диацетата бетулина и не дает возможности достичь его высокого выхода в расчете на исходное содержание бетулина в березовой коре. Целью данного исследования стала разработка нового простого способа получения диацетата бетулина непосредственно из бересты коры березы, идентификация и подтверждение его структуры, изучение его антиоксидантной активности.
Современные способы получения диацетата бетулинола основаны на реакциях ацетилирования бетулина, выделенного из коры березы. Известны способы получения диацетата бетулинола из бетулина, кипячением бетулинола в смеси пиридина и уксусного ангидрида, а также при кипячении бетулинола в смеси уксусной кислоты и уксусного ангидрида. Также известен метод получения диацетата бетулинола ацетилированием бетулинола смесью уксусной кислоты и ацетатов спиртов С1
-С4
в присутствии катализатора. В соответствии с данным способом диацетат бетулинола получают путем ацетилирования бетулинола в реакторе, снабженном дефлегматором. В реактор загружают бетулинол, уксусную кислоту и алкилацетат. Нижние границы соотношений бетулинол: уксусная кислота и бетулинол: алкилацетат обусловлены выполнением условия полного растворения твердого бетулинола в реакционной смеси. В качестве катализатора в исходную смесь добавляют п
-толуолсульфокислоту. Процесс проводят в условиях кипения реакционной смеси в течение 4-6 ч. Полученный продукт имеет в своем составе до 93% диацетата бетулинола. Недостатками данных способов является использование токсичных и дорогостоящих химикатов, необходимость дополнительной стадии - получения бетулинола из бересты.
Бетулиновая кислота - растительный пентациклический тритерпеноид, обладающий избирательным цитотоксическим действием в отношении различных опухолевых клеток. Противоопухолевая активность была показана на опухолевых клетках человека (на клеточных линиях меланом, лимфом, нейробластом), а также на модели in vivo
, на бестимусных мышах, несущих человеческую меланому. В настоящее время бетулиновая кислота проходит клинические исследования в США в качестве средства для лечения злокачественной меланомы. Бетулиновая кислота блокирует рост меланомы без вреда для нормальных клеток. В настоящее время из бетулина и бетулиновой кислоты в промышленных условиях получают биологически активные добавки, березовый спирт, водно-жировую эмульсию с содержанием бетулина 25%, березовый воск.
Получение бетулиновой кислоты обычно происходит в две стадии: окисление бетулина в бетулоновую кислоты и последующее восстановление бетулоновой кислоты
Ацильные производные бетулина проявляют выраженную анти-ВИЧ-гепатопротекторную, противоязвенную, противовоспалительную, ранозаживляющую и иммуномоделирующую активности. Так, 3,28-О-диникотинат бетулина проявляет гепатопротекторную и анти-ВИЧ-активность. Установлено, что 3,28-О-диметилсукцинат бетулина проявляет высокую анти-ВИЧ-активность, причём диметилсукцинильные производные бетулина оказались более активными, чем С3
или С28
моноэфиры. Ацильные производные бетулина обладают гепатопротекторными свойствами.
Показано, что ряд ацилатов бетулина превосходит гепатопротекторное действие бетулина и силибора, проявляющееся при лечении заболеваний печени подопытных животных, вызванных ССl4
, тетрациклином и этанолом. Наиболее высокую активность имеет бисгемифталат бетулина в дозе 20 мг/ кг, превосходящий по активности известный гепатопротектор "Карсил".
Диникотинат бетулина способствует восстановлению уровня маркерных ферментов сыворотки крови щелочной фосфотазы и билирубина. Кроме того, данное соединение уменьшает интенсивность процесса переходного окисления липидов в ≈1,8 раза и обладает аниоксидантными свойствами. Некоторые из бутилатов бетулина обладают гепаторотекторной, противовоспалительной, противовирусной и иммуностимулирующей активностью.
Бисгемифталат бетулина проявляет высокую противовирусную активность в сочетании в иммуностимулирующим действием.
Диацетат бетулина обладает желчегонным действием. Кроме того, диацетат бетулинола служит сырьем для многих органических синтезов, таких как получение бетулиновой кислоты, серопроизводных бетулина, синтез аминопроизводныхдиацетата бетулина и др.
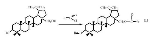
Введение бисгемифталата бетулина подопытным животным приводит к уменьшению проявлений интоксикации и ускорению восстановления функции гепатоцитов. Противоязвенный эффект бисгемифталата и диникотината бетулина аналогичен активности препаратов "Вентер" и "Омез" в дозах 12 и 20 мг/кг. Эфиры бетулина с пальмитиновой и линолевой кислотами проявляют антиартритное действие. Анализ литературных данных показал, что многие ацильные производные бетулина обладают биологической активностью широкого спектра действия, но, вместе с тем, возможности этого класса производных бетулина далеко не исчерпаны. Необходимо расширить круг ацильных производных бетулина для выявления наиболее эффективных в плане биологической активности представителей этого класса тритерпеноидов. Сложные эфиры бетулина можно синтезировать из бетулина и соответствующих хлорангидридов:

Таким способом можно получить ацилированием бетулина 28-О- (1-адамантат) бетулина, 28-О-гидроциннамат бетулина, 3,28-О-дикаприлат бетулина. В качестве ацилирующих реагентов, как правило, применяют ангидриды или хлорангидриды карбоновых кислот в присутствии пиридина или третичных аминов.
Изучены литературные данные по свойствам бетулина и его основных производных. Рассмотрены основные пути выделения бетулина из коры берёзы. Изучены способы синтеза его производных.
1. Кислицын А.Н. Экстрактивные вещества бересты: выделение, состав, свойства, применение / А.Н. Кислицын // Химия древесины. - М.: Химия, 1994. - 361с.
2. Оболенская А.В. Лабораторные работы по химии древесины и целлюлозы / А.В. Оболенская, А.А. Леонович. ― М.: Высшая школа, 1991. - 594с.
3. Толстиков Г.А. Бетулин и его производные. Химия и биологическая активность / Г.А. Толстиков, О.Б. Флехтер, Э.Э. Шульц // Химия в интересах устойчивого развития. ―2005. - №13. - С.1-30
4. Бабкин В.А. Медицинские препараты из отходов гидролизного лигнина/В.А. Бабкин, В.П. Леванова // Химия в интересах устойчивого развития. - 1994. - №2. - С.559-580
5. Толстикова Т.Г. Терпеноиды ряда лупана - биологическая активность и фармакологические перспективы. Производные ряда лупана / Т.Г. Толстикова, И.В. Сорокина // Биоорганическая химия. ―2006. - №1. - С.42-55
6. Василенко Ю.К. Фармакологические свойства тритерпеноидов коры березы / Ю.К. Василенко, В.Ф. Семенченко // Экспериментальная и клиническая фармакология. ―1993. - №4. - С.53-55
7. Толстикова Т.Г. Терпеноиды ряда лупана - биологическая активность и фармакологические перспективы. Полусинтетические производные лупана. /Т.Г. Толстикова, И.В. Сорокина // Биоорганическая химия. ―2006. - №3. - С.291-307
8. Кузнецов Б.Н. Выделение бетулина и суберина из коры березы, активированной в условиях взрывного автогидролиза // Б.Н. Кузнецов, В.А. Левданский / Химия растительного сырья. ―1998. - №1. - С.5-9
|