В настоящее время при инженерных изысканиях широкое применение получили методы статического и динамического зондирования. Это очень простые методы исследований преимущественно песчаных и глинистых пород, дающие широкую информацию об их плотности, прочности, деформационных свойствах и однородности. Кроме того, с помощью этих методов можно устанавливать изменение геологического разреза по глубине, выявлять глубину залегания и мощность слабых слоев и зон плотных, прочных и коренных пород, а также изменение степени уплотнения, и упрочнения искусственно отсыпанных или намытых пород во времени. Методы зондирования позволяют получать необходимые данные для проектирования и оценки условий строительства свайных фундаментов, шпунтовых ограждений и других видов строительных работ.
Опыты состоят в задавливании или забивании в горные породы зонда с коническим наконечником (редко грунтоноса-пробоотборника). При статическом зондировании зонд задавливается в породы, при динамическом — забивается. По тем сопротивлениям, которые оказывают горные породы проникновению в них зонда, судят об их плотности, прочности и других свойствах. Естественно, что такие исследования горных пород не являются достаточно точными, они дают предварительные, главным образом приближенные представления об их свойствах. При сочетании методов зондирования с другими видами геологических работ, результативность их, т.е. точность и достоверность, значительно повышаются.
Статическое и динамическое зондирование — это полевые экспресс - методы, для интерпретации результатов которых на предварительных стадиях изысканий их надо обязательно сочетать с разведочными работами — геофизическими и горно-буровыми, а на детальных — использовать в качестве дополнительных с целью повышения детальности изысканий в целом и решения специальных вопросов (например, при проектировании свайных фундаментов и др.).
ГОСТ 20069—74 и 19912—74 и «Указания по зондированию горных пород для строительства» (СН 448-72) рекомендуют при инженерных изысканиях для конкретных зданий и сооружений зондирование производить в пределах их контуров или не более чем в 5 м от них. Для получения сопоставимых данных часть точек зондирования рекомендуется располагать на расстояниях не более 5 м от разведочных выработок, из которых производят отбор монолитов горных пород для лабораторных исследований и выполняют другие полевые исследования. Практика показывает, что данные зондирования необходимо рассматривать совместно с данными, получаемыми при бурении скважин и проходке горных выработок. Этого требуют ГОСТ 20069—74 и 19912—74. Глубину зондирования определяют исходя из необходимости исследования определенной толщи горных пород как оснований зданий и сооружений. Предельная глубина зондирования не должна превышать 20-и. Область применения статического и динамического зондирования в зависимости от вида и физического состояния горных пород регламентируется данными, приведенными в табл.1.
Забиваем Сайты В ТОП КУВАЛДОЙ - Уникальные возможности от SeoHammer
Каждая ссылка анализируется по трем пакетам оценки: SEO, Трафик и SMM.
SeoHammer делает продвижение сайта прозрачным и простым занятием.
Ссылки, вечные ссылки, статьи, упоминания, пресс-релизы - используйте по максимуму потенциал SeoHammer для продвижения вашего сайта.
Что умеет делать SeoHammer
— Продвижение в один клик, интеллектуальный подбор запросов, покупка самых лучших ссылок с высокой степенью качества у лучших бирж ссылок.
— Регулярная проверка качества ссылок по более чем 100 показателям и ежедневный пересчет показателей качества проекта.
— Все известные форматы ссылок: арендные ссылки, вечные ссылки, публикации (упоминания, мнения, отзывы, статьи, пресс-релизы).
— SeoHammer покажет, где рост или падение, а также запросы, на которые нужно обратить внимание.
SeoHammer еще предоставляет технологию Буст, она ускоряет продвижение в десятки раз,
а первые результаты появляются уже в течение первых 7 дней.
Зарегистрироваться и Начать продвижение
Таблица 1.
Область применения статического и динамического зондирования по СН 448-72
| Вид и физическое состояние горных пород |
Способ зондирования |
| статический |
динамический |
Песчаные:
крупно-, средне-, мелко- и тонкозернистые влажные и и маловлажные;
крупно-, средне-, мелкозернистые водоносные;
|
Допускаются |
| тонкозернистые пылеватые водоносные |
Допускается |
Не допускается* |
Глинистые (супеси, суглинки и глины):
твердой, полутвердой и тугопластичной консистенции;
|
Допускаются |
| мягкопластичной, текучепластичной и текучей консистенции |
Допускается |
Не допускается* |
| Песчаные и глинистые с содержанием крупнообломочного материала |
Не допускаются |
| при более 25% |
при более 40% |
| Песчаные водоносные |
При определении динамической устойчивости |
| Не допускается* |
Допускается |
| Все виды горных пород в мерзлом состоянии |
Не допускаются |
| Скальные и полускальные |
| Крупнообломочные |
Допускается по специально разработанной методике при проведении экспериментальных работ.
При статическом зондировании основными показателями свойств горных пород являются:
а) общее сопротивление зондированию Rобщ, кгс;
б) сопротивление погружению конуса Rкон кгс/см2;
в) удельное сопротивление погружению конуса Rуд. кон, кгс/см2;
г) сопротивление трению по боковой поверхности зонда Rтр, кгс/см2.
Общее сопротивление горных пород — это то сопротивление, которое они оказывают проникновению зонда. Оно равно тому усилию (кгс), которое передается зонду гидравлическим домкратом или весом груза.
При использовании современных гидравлических установок оно равно
Rобщ = pFц,
где p — показание манометра, отражающее давление в цилиндре гидравлического домкрата, кгс/см2; Fц — площадь поршня гидравлического домкрата, см2.Часть усилий, расходуемых на вдавливание зонда, расходуется на преодоление сил трения между зондом и породой. Если исключить эти сопротивления, получим сопротивление горных пород, оказываемое непосредственно проникновению конуса, т. е. сопротивление погружению конуса Rкон.
Rкон = Rобщ – Rтр.
Современные установки для статического зондирования позволяют производить измерение общего сопротивления зондированию по показаниям манометра, а сопротивления проникновению конуса — по показаниям динамометра и индикаторов часового типа.
Удельное сопротивление статическому зондированию конусом равно
Rуд = Rкон / Fк ,
где Fк - площадь поперечного сечения конуса, см2.
Удельное сопротивление — это сопротивление горных пород проникновению конуса, приходящееся на единицу его поперечного сечения. Международными конгрессами по механике грунтов и фундаментостроению (IV в 1957 г. в Лондоне и V в 1961 г. в Париже) было рекомендовано использовать для статического зондирования конус диаметром 36 мм, площадью 10 см2, с углом при вершине 60°.
Сопротивление горных пород трению по боковой поверхности зонда равно
Rтр = Rобщ – Rкон
Современные конструкции установок для статического зондирования позволяют измерять либо общее сопротивление горных пород и сопротивление их погружению конуса, либо сопротивление проникновению конуса и величину трения по боковой поверхности зонда.
Сервис онлайн-записи на собственном Telegram-боте
Попробуйте сервис онлайн-записи VisitTime на основе вашего собственного Telegram-бота:
— Разгрузит мастера, специалиста или компанию;
— Позволит гибко управлять расписанием и загрузкой;
— Разошлет оповещения о новых услугах или акциях;
— Позволит принять оплату на карту/кошелек/счет;
— Позволит записываться на групповые и персональные посещения;
— Поможет получить от клиента отзывы о визите к вам;
— Включает в себя сервис чаевых.
Для новых пользователей первый месяц бесплатно.
Зарегистрироваться в сервисе
При динамическом зондировании горных пород основными показателями являются: а) показатель динамического зондирования N; б) глубина погружения зонда от определенного числа ударов стандартного молота S (это число ударов принято называть залогом); в) условное динамическое сопротивление горных пород Rд, кгс/см2 (по ГОСТ 19912-74 обозначается pд, т. е. не так, как оно обозначается международными индексами).
Показателем динамического зондирования принято называть число ударов молота, необходимое для погружения зонда на определенную глубину. В нашей стране эта глубина принята равной 10 см. Отсюда показатель динамического зондирования равен
N = 10n / S ,
где n — число ударов в залоге; S — глубина погружения зонда от принятого числа ударов молота в залоге.
Показатель динамического зондирования зависит не только от сопротивления, оказываемого горными породами проникновению зонда, но и от сил трения, развивающихся по боковой поверхности зонда при его погружении, и от увеличения его веса с глубиной. Поэтому при обработке результатов испытаний вводят соответствующие поправки на боковое трение пород и на увеличение веса зонда. Эти поправки приводятся в методических руководствах.
Основным показателем свойств горных пород при динамическом зондировании считается условное динамическое сопротивление горных пород Rд. Только этот показатель предлагается ГОСТ 19912—74 и «Указаниями по зондированию горных пород для строительства» (СН 448—72). Его вычисляют по формуле
Rд = KП0Фn / S ,
где K — коэффициент для учета потерь энергии при ударе, определяемый по специальной таблице; П0 — коэффициент для учета влияния применяемого оборудования, определяемый по специальной таблице; Ф — коэффициент для учета трения штанг о горные породы, определяемый по данным двух испытаний, в одном из которых зондирование производится в процессе бурения; n — число ударов в залоге; S — глубина погружения зонда от принятого числа ударов молота в залоге.
Для статического и динамического зондирования применяют разнообразные установки и станки. Наиболее часто используют установки конструкции ГПИ Фундаментпроект марки С-979, БашНИИ-промстроя марки С-832 и ВСЕГИНГЕО марки СПК. Известны установки конструкции и других организаций.
Пористость горных пород
Пористость горных пород, совокупность пустот (пор), заключённых в горных породах. Количественно П. г. п. выражается отношением объёма всех пор к общему объёму горных пород (в долях единицы или процентах). Поры в горных породах по величине принято делить на субкапиллярные (менее 0,2 мк), капиллярные (0,2—100 мк), сверхкапиллярные (более 100 мк).
По форме поры могут быть различного типа — пузырчатые, каналовидные, щелевидные, ветвистые и т.п. Форма и размер отдельных пор и их взаимная связь определяют геометрию порового пространства пород.
Различают П. г. п. общую (или абсолютную, физическую, полную) — совокупность всех пор, заключённых в горных породах; открытую (насыщения) — объём связанных (сообщающихся) между собой пор; закрытую — совокупность замкнутых, взаимно не сообщающихся пор. В нефтяной геологии выделяют также эффективную П. г. п., т. е. совокупность пор, занятых нефтью, газом, и динамическую П. г. п. — объём пор, через которые при определённых давлении и температуре происходит движение насыщающих жидкостей или газов; она всегда меньше общей П. г. п.
Наиболее высокая П. г. п. свойственна почвам и рыхлым осадкам — пескам, глинам и др. (до 60—80% и более). Осадочные и вулканогенные горные породы (песчаники, известняки, лавы, туфы и др.) характеризуются большим диапазоном значений пористости (от 50 до 10% и менее). Магматические и метаморфические породы обладают, как правило, малой пористостью (0,1—3%). С возрастанием глубины залегания пород П. г. п. обычно уменьшается (особенно осадочных) и на больших глубинах может иметь очень малые значения.
В лабораторных условиях П. г. п. определяется методами свободного, вакуумного (под вакуумом) и принудительного (под давлением) насыщения горных пород жидкостью, а также методами, основанными на расширении газа, и др. В полевых условиях для оценки величины П. г. п. используются различные виды каротажа скважин. Результаты изучения П. г. п. используются для подсчёта запасов полезных ископаемых (например, нефти и газа), выборе технологии разработки полезных ископаемых и др.
Проницаемость пород и ее распределение
Характер движения нефти или газа к забою добывающей скважины определяется двумя основными факторами:
физико-химическими свойствами этих углеводородов;
структурой порового пространства среды – коллектора, в которой они распространяются.
Для описания течения углеводородов с учетом этих факторов, наряду с другими характеристиками, вводится понятие проницаемости горной породы,
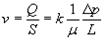
характеризующей ее способность пропускать жидкости и газы. Для оценки проницаемости пород обычно пользуются законом фильтрации Дарси, согласно которому скорость фильтрации (просачивания) жидкости в среде пропорциональна градиенту давления и обратно пропорциональна ее динамической вязкости :
.
Перепишем эту формулу в скалярной форме для одномерной задачи. Для этого выделим образец породы длиной , и предположим, что ее фильтрационные свойства одинаковы по всей длине. Тогда имеем
, (1.1)
где - скорость линейной (плоскопараллельной) фильтрации, - объемный расход жидкости в единицу времени, - площадь фильтрации, - перепад давления на выделенном участке пористой среды. Коэффициент пропорциональности в (1.1) называется коэффициентом проницаемости:
. (1.2)
Величина имеет размерность площади, и в системе СИ измеряется в :
.
Совокупность результатов, приведенных в [1] для проницаемостей пород, приводятся в табл. 1. Здесь еще раз отметим, что данные, приведенные в этой таблице, выбраны в качестве объекта для анализа из-за важности рассматриваемой характеристики. В силу специфики представления материала, в [1] отсутствует ссылка на первоисточники этой таблицы. Не понятно также, являются ли эти результаты обобщением различных данных, полученных разными авторами, или же они относятся к конкретному месторождению. В последнем случае, общие рассуждения, которые приводятся ниже, могли бы представлять некоторый практический интерес. Перейдем теперь к описанию характеристик, приведенных в табл. 1:
i – номера интервалов, на которые разбивается весь наблюдаемый диапазон значений проницаемостей. Число таких интервалов в табл. 1 равно 10.
Ni – число пород, проницаемости которых лежат в i - том интервале. Общее число исследованных пород составляет .
pi – относительное число пород, проницаемости которых попадают в i- тый интервал: , величина равна относительной доле образцов с выделенной проницаемостью. На языке математической статистики есть вероятность того, что проницаемость одной случайно выбранной породы из тысячи, попадет в интервал проницаемостей шириной .
Таблица 1
| i |
Интервал проницаемостей
(мкм2)
|
Ni |
pi |
| 1 |
0 – 0,2 |
4 |
0,004 |
| 2 |
0,2 – 0,4 |
126 |
0,126 |
| 3 |
0,4 – 0,6 |
230 |
0,230 |
| 4 |
0,6 – 0,8 |
260 |
0,260 |
| 5 |
0,8 – 1,0 |
130 |
0,130 |
| 6 |
1,0 – 1,2 |
120 |
0,120 |
| 7 |
1,2 – 1,4 |
50 |
0,050 |
| 8 |
1,4 – 1,6 |
30 |
0,030 |
| 9 |
1,6 – 1,8 |
30 |
0,030 |
| 10 |
1,8 - 2,0 |
20 |
0,020 |
Породы-коллекторы
Коллекторы нефти и газа - горные породы, которые обладают емкостью, достаточной для того, чтобы вмещать УВ разного фазового состояния (нефть, газ, газоконденсат), и проницаемостью, позволяющей отдавать их в процессе разработки. Среди коллекторов нефти и газа преобладают осадочные породы. В природных условиях залежи нефти и газа чаще всего приурочены к терригенным и карбонатным отложениям, в других осадочных толщах они встречаются значительно реже. Магматические и метаморфические породы не являются типичными коллекторами. Нахождение в этих породах нефти и газа - это следствие миграции углеводородов в выветрелую часть породы, где в результате химических процессов выветривания, а также под воздействием тектонических процессов могли образоваться вторичные поры и трещины.
Нефтяные и газовые месторождения на земном шаре встречаются в разных районах, в границах различных геоструктурных элементов. Они известны как в геосинклинальных, так и в платформенных областях и предгорных прогибах.
Скопления нефти и газа установлены в отложениях всех возрастов, начиная от кембрия и кончая верхним плиоценом. Кроме того, известны скопления нефти и газа как в более древних докембрийских, так и в более молодых четвертичных отложениях. Наибольшее количество залежей в разрезе осадочного чехла на территории бывшего СССР приходится на отложения каменноугольного (29 %), девонского (19 %) и неогенового (18 %) возраста.
По разным оценкам запасы нефти распределяются в коллекторах следующим образом: в песках и песчаниках - от 60 до 80 %; в известняках и доломитах - от 20 до 40 %; в трещиноватых глинистых сланцах, выветрелых метаморфических и изверженных породах - около 1 %. В странах Ближнего и Среднего Востока разрабатываются главным образом карбонатные коллекторы мезозойского возраста. На территории бывшего Советского Союза более 70 % нефтяных и газовых залежей приурочены к терригенным породам-коллекторам.
Основные признаки пород-коллекторов
К основным признакам, характеризующим качество коллектора, относятся пористость, проницаемость, плотность, насыщение пор флюидами (водо-, нефте- и газонасыщенность), смачиваемость, пьезопроводность, упругие силы пласта. Совокупность этих признаков, выраженных количественно, определяет коллекторские свойства породы.
Пористость - совокупность всех пор независимо от их формы, размера, связи друг с другом. Понятие пористости соответствует полной пористости породы и численно выражается через коэффициент пористости:
Кп = Vпор/Vпороды ∙ 100 %.
Открытая пористость - совокупность сообщающихся между собой пор, численно соответствующая отношению объема сообщающихся пор к объему породы.
Эффективная пористость - совокупность пор, через которые может осуществляться миграция данного флюида. Она зависит от количественного соотношения между флюидами, физических свойств данного флюида, самой породы. По А. А. Ханину (1969), эффективная пористость - объем поровой системы, способной вместить нефть и газ с учетом остаточной водонасыщенности.
Наиболее высокие значения характерны для полной пористости, затем открытой и минимальные для эффективной пористости.
Полная пористость может быть открытой в песках и слабо уплотненных песчаниках. С увеличением глубины залегания открытая пористость снижается интенсивнее, чем полная. Величина полной пористости колеблется от долей процента до десятков процентов.
По генезису поры могут быть первичными и вторичными. Первичные поры между обломочными зернами называются межзерновыми, внутри органических остатков - внутриформенными. Вторичные поры - трещины и каверны.
Размеры порового пространства - от долей микрометров до десятков метров. В обломочных породах - песчаных и алевритовых - размер пор обычно меньше 1 мм. По размеру выделяются поры сверхкапиллярные > 0,1 мм; капиллярные 0,0002-0,1 мм; субкапиллярные < 0,0002 мм; ультракапиллярные < 0,1 мкм.
Размеры и конфигурация внутриформенной пористости определяется морфологическими особенностями фоссилизированных органических остатков.
Каверны - поры, образованные в результате растворения составных частей хемогенных или биогенных пород или разложения соединений, неустойчивых в определенных термобарических обстановках. Каверны по размеру бывают от долей миллиметров до нескольких километров и разделяются на мелкие - 0,1-10 мм; крупные (микрополости) - 10-100 мм и пещеристые полости - > 100 мм.
Склонность породы к растрескиванию характеризуется ее пластичностью. Пластичность - способность твердого тела под действием механических напряжений изменять свою форму без нарушения связей между составляющими частями. Коэффициент пластичности (Кпл) - отношение всей работы, затраченной на разрушение образца, к работе, затраченной на пластическую деформацию. Коэффициент пластичности меняется от 1 до бесконечности (∞). По степени пластичности выделяются три группы пород (табл. 1).
Таблица 1. Группы пород по степени пластичности
| Группа |
Кпл |
Пример |
| Хрупкие |
1 |
Кремни |
| Пластично-хрупкие |
1 - 6 |
Большинство осадочных пород |
| Высокопластичные |
> 6 |
Глины,
аргиллиты
|
Трещины в породах бывают открытые и закрытые (за счет вторичного смыкания и минерализации). Вследствие тектонических процессов образуются системы трещин, ориентированных в определенной плоскости. Если вдоль трещин не происходит смещение пород или оно незначительно, то система трещин называется трещиноватостью. В одном пласте может быть несколько систем трещин, обычно разновозрастных.
Практический интерес представляют только открытые трещины, по которым может осуществляться миграция УВ. Обычно трещинная пористость составляет 2-3 %, иногда до 6 %.
При характеристике трещин различают густоту, плотность и раскрытость трещин. Густота трещин - количество трещин на 1 м длины в направлении, перпендикулярном простиранию трещин. Плотность трещин - густота трещин на 1 м2 площади. Если в пласте одна система трещин, то величина плотности соответствует густоте. Раскрытость трещин - расстояние между стенками трещин.
Трещинные поры разделяются по степени раскрытости. По К. И. Багринцевой (1977), трещины подразделяются на очень узкие (0,001-0,01 мм), узкие (0,01-0,05 мм), широкие (0,05-0,1 мм), очень широкие (0,1-0,5 мм) и макротрещины (> 0,5 мм). Е. М. Смехов (1974) предлагал различать микротрещины (< 0,1 мм) и макротрещины (> 0,1 мм).
Особую значимость приобретает характеристика трещин в коллекторах сложного типа, которым свойственно наличие нескольких видов пористости. В табл. 2 приводится генетическая классификация трещин ВНИГРИ (Методические рекомендации..., 1989).
Проницаемость - способность горных пород пропускать сквозь себя жидкость или газ. Пути миграции флюидов - поры, каверны, соединяющиеся каналами, трещины. Чем крупнее пустоты, тем выше проницаемость. Для оценки проницаемости обычно используется линейный закон фильтрации Дарси, согласно которому скорость фильтрации жидкости в пористой среде пропорциональна градиенту давления и обратно пропорциональна динамической вязкости жидкости. Закон Дарси применим при условии фильтрации однородной жидкости, при отсутствии адсорбции и других взаимодействий между флюидом и горной породой. Величина проницаемости выражается через коэффициент проницаемости (Кпр):
Кпр = Q m L / D p F ,
где Q - объем расхода жидкости в единицу времени; D р - перепад давления; L - длина пористой среды; F - площадь поперечного сечения элемента пласта; m - вязкость жидкости. Выразив величины, входящие в приведенное выше уравнение, в системе единиц СИ, получим: Q = м3/ с; D р = Н/ м2; L = м; F = м2; m = Н×с/ м2; Кпр = м2. Единица проницаемости в системе СИ соответствует расходу жидкости 1м3/с при фильтрации ее через пористый образец горной породы длиной 1м, площадью поперечного сечения 1 м2 при вязкости жидкости н×с/м2 при перепаде давления 1н/м2.
Практической единицей измерения проницаемости является дарси. 1 дарси - проницаемость пористой системы, через которую фильтруется жидкость с вязкостью 1 сантипуаз (сП), полностью насыщающая пустоты среды, со скоростью 1 см3/с при градиенте давления 1 атм (760 мм) и площади пористой среды 1 см2. 1 дарси = 0,981 × 10-12 м2.
Различают несколько видов проницаемости.
Абсолютная проницаемость - это проницаемость горной породы применительно к однородному флюиду, не вступающему с ней во взаимодействие, при условии полного заполнения флюидом пор среды. Абсолютная проницаемость измеряется в сухой породе при пропускании через последнюю сухого инертного газа (азота, гелия).
В природе не встречаются породы, не заполненные флюидами (различными газами, жидкими углеводородами, водой и т.д.). Обычно поровое пространство содержит в различных количествах воду, газ и нефть (в залежах). Каждый из флюидов оказывает воздействие на фильтрацию других. Поэтому редко можно говорить об абсолютной проницаемости в природных условиях.
Эффективная (фазовая) проницаемость - проницаемость горной породы для данного жидкого (или газообразного) флюида при наличии в поровом пространстве газов (или жидкостей). Этот вид проницаемости зависит не только от морфологии пустотного пространства и его размеров, но и от количественных соотношений между флюидами.
Относительная проницаемость - отношение эффективной проницаемости к абсолютной. Относительная проницаемость породы для любого флюида возрастает с увеличением ее насыщенности этим флюидом.
Все породы в той или иной мере проницаемы. Все породы по своим свойствам являются анизотропными, следовательно, и проницаемость в пласте по разным направлениям будет различной. В обломочных породах Кпр по наслоению выше, чем в направлении, перпендикулярном наслоению. В трещиноватых породах по направлению трещин проницаемость может быть очень высокой, а вкрест простиранию трещин может практически отсутствовать.
Максимальны значения проницаемости для трещинных пород. Наиболее распространенное значение Кпр для промышленно продуктивных пластов от 1·10-15 до 1·10-12 м2. Проницаемость более 1·10-12 м2 является очень высокой, характерна для песков, песчаников до глубин 1,5-2 км и трещинных карбонатных пород.
Плотность породы - отношение массы породы (г) к ее объему (см3). Плотность зависит от плотности твердой, жидкой и газообразной фаз, структурно-текстурных признаков породы, а также от пористости.
Различные литологические типы пород с глубиной уплотняются по-разному. Кd - коэффициент уплотнения породы, представляющий собой отношение плотности породы (dп) к плотности твердой фазы или минералогической плотности (dт). Коэффициент уплотнения - безразмерная величина, показывающая, во сколько раз плотность породы меньше плотности ее твердой фазы. По мере уплотнения dп®dт, а Кd®1. Коэффициент уплотнения связан с величиной полной пористости соотношением Кs = 1-Кп. Глинистые породы достигают Кd = 0,80-0,85 к глубине 1,5-2 км, затем темп уплотнения понижается. Песчаные и алевритовые породы достигают Кd = 0,90-0,95 к глубинам 3,5-5 км. Быстро уплотняются хемогенные известняки, для которых уже на глубине 0,5-1 км Кd = 0,95-0,97.
Нефтегазоносная свита
oil-and-gas bearing set of rocks, oil-and-gas - Мощная толща переслаивающихся пород регионального или ареального распространения, содержащая нефтяные и (или) газовые пласты. Свита включает коллекторы, флюидоупоры и часто нефтегазоматеринские породы. Свита может соответствовать ярусу, отделу, системе или охватывать части этих стратиграфических подразделений.
Заключение
В настоящем пособии кратко рассматривается лишь ограниченный круг вопросов, связанный с породами-коллекторами нефти и газа - основные свойства, петрографические признаки, некоторые классификации. Большое количество последних свидетельствует о разностороннем подходе к изучению коллекторов (петрографическом, генетическом, емкостно-фильтрационном и др.) и сложности самого объекта исследований.
Следует признать, что до сих пор не разработана систематика пород-коллекторов, основанная на анализе зависимостей между структурно-текстурными и фильтрационно-емкостными параметрами, не всегда удается достаточно надежно увязывать характер пористого пространства с определенными геологическими процессами и стадиями литогенеза.
Изложенные принципы типизации терригенных и карбонатных коллекторов и простейшие приемы их петрографического определения - это первый шаг в освоении сложного вопроса изучения и прогноза природных резервуаров нефти и газа.
Список литературы
Багринцева К. И. Карбонатные породы-коллекторы нефти и газа. М.: Недра, 1977. 257 с.
Бурлин Ю. К. Природные резервуары нефти и газа. М.: Изд-во Моск. ун-та, 1976. 136 с.
Геологический словарь: В 2 т. / Под ред. К. Н. Паффенгольца и др. М.: Недра, 1978. Т. 1. 486 с.; Т. 2. 456 с.
Методические рекомендации по изучению и прогнозу коллекторов нефти и газа сложного типа / Под ред. М. Х. Булач, Л. Г. Белоновской. Л.: ВНИГРИ, 1989. 103 с.
Селли К. Введение в седиментологию М.: Недра, 1981. 370 с.
Смехов Е. М. Теоретические и методические основы поисков трещинных коллекторов нефти и газа. Л.: Недра, 1974. 200 с.
Справочник по геологии нефти и газа / Под ред. Н. А. Еременко. М.: Недра, 1984. 480 с.
Ханин А. А. Породы-коллекторы нефти и газа и их изучение. М.: Недра, 1969. 356 с.
|